| Министерство образования и науки Российской Федерации
Государственное образовательное учреждение высшего профессионального образования «Чувашский государственный педагогический университет им. И.Я. Яковлева»
Кафедра математического анализа
Выпускная квалификационная работа по математике
УПРУГОПЛАСТИЧЕСКАЯ ДЕФОРМАЦИЯ ТРУБЫ ПОД ДЕЙСТВИЕМ ВНУТРЕННЕГО ДАВЛЕНИЯ
Чебоксары – 2006
ОГЛАВЛЕНИЕ
ВВЕДЕНИЕ
ГЛАВА I. ОСНОВНЫЕ УРАВНЕНИЯ ТЕОРИИ УПРУГОСТИ И ПЛАСТИЧНОСТИ
1.1 Основные понятия теории упругости
1.2 Уравнения равновесия
1.3 Формулы Коши
1.4 Линейный закон Гука
1.5 Условия пластичности
ГЛАВА II. ЗАДАЧА УПРУГОПЛАСТИЧЕСКОГО ДЕФОРМИРОВАНИЯ ТРУБЫ
2.1 Механическая постановка задачи
2.2 Математическая постановка задачи
2.3 Решение задачи
ВЫВОДЫ
ЛИТЕРАТУРА
ВВЕДЕНИЕ
Детали машин в процессе работы подвергаются внешним воздействиям.
В результате элементы этой детали изменяют форму и размеры, т.е. деформируются. Деформации после снятия нагрузки могут исчезать, а могут оставаться. Исчезающие деформации называются упругими, а остающиеся – остаточными (пластическими).
В данной работе рассматривается упругопластическая деформация трубы под действием равномерного внутреннего давления.
В первой главе приведены основные уравнения, используемые при решении поставленной задачи: основные понятия теории упругости, уравнения равновесия, формулы Коши, линейный закон Гука и условия пластичности.
Вторая глава посвящена решению поставленной задачи. Приводятся формулы для компонент напряжений и деформации в упругой и пластической зонах, также приводится трансцендентное уравнение для нахождения радиуса границы пластической и упругой областей. Задача решается в линеаризованном виде методом малого параметра.
ГЛАВА
I
. ОСНОВНЫЕ УРАВНЕНИЯ ТЕОРИИ УПРУГОСТИ И ПЛАСТИЧНОСТИ
1.1 Основные понятия теории упругости
В данном пункте получим классические уравнения деформирования в предположении, что среда эта – сплошная, однородная и изотропная, т.е. упругие свойства среды во всех направлениях одинаковы. Будем считать, что она линейно деформируема (для материала среды справедлив закон Гука), а перемещения и деформации тела достаточно малы.
При составлении уравнений механики деформируемого твёрдого тела выбирается соответствующая система координат. В зависимости от формы тела используются декартовые, полярные, цилиндрические координаты и другие.
При решении полной задачи удобно использовать полярную систему координат, в которой положение каждой точки определяется координатами r
и (рис. 1.1).

Линейная дуговая координата s
и угол связаны зависимостью ,
откуда следует соотношение между их дифференциалами .
Рассматриваемое тело находится под действием поверхностных нагрузок. В результате чего в теле появляются напряжения, которые, также как и поверхностные нагрузки, характеризуются интенсивностями. Под действием внешних нагрузок точки тела перемещаются в пространстве. Например, точка после деформации заняла положение . Полное перемещение зададим двумя компонентами: - в радиальном направлении, - в тангенциальном.
Для получения уравнений в полярной системе ординат мысленно выделим в окрестности некоторой точки тела элемент , , 1
(рис. 1.2).
На гранях этого элемента действуют напряжения, которые можно разложить на нормальную составляющую к грани (нормальное напряжение - , ) и касательную (касательное напряжение - , ).

1.
2 Уравнения равновесия
Первая группа уравнений выражает условия равновесия элемента среды во взаимодействии с соседними элементами, их называют статическими уравнениями.
Вторая группа уравнений связывает деформации элемента тела с функциями, выражающими перемещение его точек. Они называются геометрическими уравнениями.
Последняя группа уравнений – это уравнения, которые выражают зависимость между напряжениями и деформациями элемента. Именно в этих уравнениях учитываются механические свойства материала, их называют физическими.
Рассмотрим указанные уравнения подробно.
Уравнения равновесия (статические уравнения)
Эти уравнения выражают равенство нулю сумм проекций всех элементарных сил, действующих на элемент , , 1
(рис. 1.2). Приняв напряжения, указанные на этом рисунке, за положительные, получим уравнения равновесия в виде

В этих равенствах учтены проекции сил, действующих на гранях , которые они дают вследствие наклона на малые углы . Косинусы этих малых углов приняты равными единице. Заменив в приведенных равенствах
, , , ,
учтя выражение для частных дифференциалов напряжений (нижние индексы у обозначения частных дифференциалов здесь опущены в целях упрощения записи)
, , , ,
а также сохранив и отбросив слагаемые высшего порядка малости, получим уравнение равновесия в полярных координатах:

Приравняв нулю сумму моментов сил, действующих на момент , , 1,
относительно оси, проходящей через его центр перпендикулярно плоскости площадки , , и, отбросив слагаемые высшего порядка малости, получим закон парности касательных напряжений .
1.3 Формулы Коши (геометрические уравнения)
Эти уравнения устанавливают зависимость между перемещениями и деформациями. Для их вывода будем считать функции , заданными, а через них выразим деформации.
Геометрически деформация тела может быть представлена двумя группами простейших деформаций: деформацией растяжения - , и деформацией сдвига , которые соответственно выражают относительные удлинения отрезков и :
, (рис. 1.3)

и изменение прямого угла между ними на угол сдвига :
(рис. 1.4)

Будем считать, что элемент тела сначала получил перемещение из точки в точку , как жесткое целое, а затем произошел сдвиг за счет поворота его граней на малые углы , , т.е. угол сдвига равен .
Для определения деформации рассмотрим отрезок длиной . Для малых перемещений и деформаций примем, что на изменение длины отрезка влияет лишь перемещение , а его малый наклон, в общем случае вызываемый перемещением , не изменяет его длины.
Обозначим: - частный дифференциал (линейная часть приращения) функции и при изменении координаты на .
, т.е. 
Тогда
.
Аналогично
,
где производная по s
заменена на производную по по соотношению  , так как .
Для определения деформации рассмотрим рис. 1.4. Так как частные дифференциалы и , то
, .
Имеем угол сдвига
, где .
Деформации , составляют только часть полных деформаций и поэтому отмечены звездочкой. Другую часть этих деформаций получим, давая точкам элемента перемещения (рис. 1.5) и (рис. 1.6).
Соответственно получим деформации, обусловленные кривизной элемента

,
где знак минус соответствует возрастанию первоначально прямого угла элемента.
Окончательные суммарные деформации
, , 
будут

Эти равенства представляют геометрические уравнения в полярных координатах, являющиеся аналогом уравнений Коши.
1.4 Линейный закон Гука (физические уравнения)
Для линейно-упругих изотропных тел физическими уравнениями являются соотношения для обобщенного закона Гука, известные из курса сопротивления материалов
,
где и - модули упругости при растяжении и сдвиге, а - коэффициент Пуассона. Для изотропного материала они связаны зависимостью , так что независимых постоянных упругости для указанного материала имеется только две.
Запишем выражение для относительной объемной деформации элемента
,
где - модуль объемной деформации материала.
Заметим, что при модуль объемной деформации , что, согласно выражению для относительной объемной деформации, соответствует материалу, не изменяющему объем при деформации (несжимаемый материал).
В случае плоского напряженного состояния система примет вид:
.
Для плоской деформации ( ) закон Гука записывается в несколько иной форме в виду наличия напряжения :
,
.
Эта система совершенно аналогична системе, описывающей напряженное состояние, но содержит новые условные константы упругости
, ,
причем легко проверить, что справедливо равенство
.
С учетом введенных условных констант упругости физические соотношения для плоской деформации примут тот же вид, что и для случая плоского напряженного состояния, но в них надо заменить на , на .
Таким образом, любое решение приведенных выше уравнений для плоского напряженного состояния может быть применено и для соответствующего случая плоской деформации после замены действительных констант упругости данного материала на условные. Учитывая сказанное, в дальнейшем будем подразумевать под плоской задачей случай плоского напряженного состояния.
В полярной системе координат уравнения закона Гука остаются без изменения, меняются лишь индексы у напряжений и деформаций:
.
Полученные уравнения дают возможность вычислить деформации, если известны напряжения. Назовем их законом Гука в прямой форме.
Преобразуем
.
В обратной форме

или, так как , то
.
1.5 Условия пластичности
При решении задач теории пластичности во многих случаях необходимо знать, при каких условиях материал в рассматриваемой точке переходит из упругого состояния в пластическое. Такие условия называются условиями пластичности. При линейном напряженном состоянии условие пластичности устанавливается опытным путем. В этом случае отлично от нуля только главное напряжение и пластические деформации возникают, когда
; , (1.5.1)
где - предел текучести при растяжении (постоянная величина для каждого материала). При чистом сдвиге условие пластичности, получаемое экспериментальным путем, имеет вид
,
где - предел текучести при чистом сдвиге (также постоянная величина для каждого материала).
В общем случае плоского или объемного напряженных состояний экспериментально невозможно установить условия пластичности для бесконечного множества соотношений между составляющими напряжений. Поэтому условие пластичности для сложного напряженного состояния устанавливается гипотетическим путем с последующей экспериментальной проверкой.
Рассмотрим два условия пластичности, наиболее часто используемые в теории пластичности и достаточно правильно определяющие переход материала из упругого состояния в пластическое.
Первое условие – условие пластичности Треска - Сен-Венана
– гласит, что пластические деформации в материале возникают, когда максимальные касательные напряжения достигают значения, равного пределу текучести при чистом сдвиге:
. (1.5.2)
Максимальные касательные напряжения определяются формулой
: . (1.5.3)
Подставляя сюда главные напряжения при линейном напряженном состоянии (1.5.1), в момент появления пластических деформаций получаем
. (1.5.4)
Сравнивая формулы (1.5.2) и (1.5.4) заключаем, что
. (1.5.5)
После подстановки выражений ( 1.5.3 ) и ( 1.5.5 ) в формулу ( 1.5.1 ) приходим к условию пластичности Треска-Сен-Венана в таком виде:
. (1.5.6)
Второе условие – условие пластичности Мизеса-Генки
– гласит, что пластические деформации в материале возникают, когда интенсивность касательных напряжений достигает некоторого постоянного для некоторого материала значения:
. (1.5.7)
Определим эту постоянную из результатов испытаний при простом растяжении. Подставляя в формулу
(1.5.8)
главные напряжения (1.5.1), найдем значение интенсивности касательных напряжений при растяжении в момент появления пластических деформаций:
. (1.5.9)
Сравнивая формулы (1.5.9) и (1.5.7), заключаем, что постоянная
. (1.5.10)
Подставляя выражения (1.5.8) и (1.5.10) в формулу (1.5.7), приходим к условию пластичности Губера-Мизеса-Генки в такой форме:
(1.5.11)
Или
.
Оба рассмотренных условия пластичности дают весьма близкие результаты. Эксперименты несколько лучше подтверждают условие Губера-Мизеса-Генки. Кроме того, это условие удобнее с математической точки зрения, так как выражение через шесть составляющих напряжений очень громоздко, а выражается через эти составляющие сравнительно просто. Поэтому в теории пластичности чаще используется условие пластичности Губера-Мизеса-Генки.
Ассоциированный закон
Пластические деформации возникают при активном нагружении материала и не возникают при нейтральном нагружении и разгрузке.
Соотношения связи в теории пластичности формулируется обычно на основе принципа максимума Мизеса: при фиксированных параметрах для любого данного значения компонент приращений пластической деформации имеет место неравенство
, (1.5.12)
где - действительные компоненты напряжения, а - компоненты любого возможного напряженного состояния, допускаемого данной функцией нагружения:
.
Из принципа максимума Мизеса следует ассоциированный закон течения – закон направленности приращения пластической деформации (или скорости пластической деформации) по градиенту к поверхности нагружения.
В самом деле, предположим, что приращение пластической деформации не зависит от приращения напряжений.

Рассмотрим рис. 1.7. Согласно (1.5.12) угол между векторами и должен быть не тупым. В силу произвольности вектора , не выходящего за поверхность нагружения , неравенство (1.5.12) может быть выполнено только в случае ортогональности к , откуда имеем
или
, , . (1.5.13)
Выражение (1.5.13) определяет ассоциированный закон пластического течения.
ГЛАВА
II
. ЗАДАЧА УПРУГОПЛАСТИЧЕСКОГО ДЕФОРМИРОВАНИЯ ТРУБЫ
2.1 Механическая постановка задачи
Рассмотрим упругопластическое состояние трубы радиусов , находящейся под действием внутреннего давления , в случае плоской деформации.
Цель данной задачи – определить выражения для компонент напряжений, скоростей перемещений и скоростей деформации.
Методом решения задачи является метод малого параметра, в качестве которого выбирается величина , характеризующая возмущения границ трубы.
Приведем основные обозначения:
- компоненты напряжений,
- компоненты деформаций,
- радиальное и тангенциальное перемещения,
-
внутренний и внешний радиусы осесимметричной трубы,
- полярный радиус,
- полярный угол,
- полярный радиус границы пластической зоны,
- модуль сдвига.
Индекс указывает на принадлежность компонента к пластической зоне, индекс - к упругой.
Все величины, имеющие размерность напряжения, отнесём к величине предела текучести , величины, имеющие размерность длины, - к внешнему радиусу .
Обозначим:
 - внешний радиус;

2.2 Математическая постановка задачи
Предположим, что искомое решение зависит от некоторого параметра . Будем искать решение в виде рядов по степеням этого параметра
, , ,
, , ,
, . (2.2.1)
Линеаризация по параметру заключается в разложении всех исходных соотношений: уравнений равновесия, граничных условий и т.п. в ряды по этому параметру. Далее выделяются члены разложения при одинаковых степенях этого параметра, которые определяют систему уравнений, позволяющую развить метод последовательных приближений, если решение при является известным.
Уравнения равновесия линейны относительно компонент напряжений, поэтому они имеют место для любого приближения. Соотношения связи между компонентами перемещений и деформаций также линейны относительно компонент деформаций и перемещений, поэтому они сохраняют свой вид для любого приближения.
Рассмотрим граничные условия в напряжениях. Ограничимся случаем, когда граничные условия заданы на контуре в плоскости двух переменных , . Пусть на границе заданы нормальные и касательные усилия
, на . (2.2.2)
Уравнение границы представим в виде
, . (2.2.3)
Подставляя в (2.2.2) разложение и учитывая, что для компонент , справедливы разложения, аналогичные (2.2.1), получим при разложение
(2.2.4)
Ограничиваясь четвертым приближением, из (2.2.4) получим, что при имеет место
(2.2.5)
Совершенно аналогично записываются выражения линеаризованных граничных условий для : чтобы получить линеаризованные граничные условия для , надо в (2.2.5) заменить на .
В линеаризованных задачах теории пластичности необходимо уметь записывать граничные условия (2.2.2) через компоненты основной системы координат. Для этого следует учесть угол поворота напряжений при переносе их на исходную окружность ( ).

Рассмотрим рис 1.8. Угол , образован нормалью к контуру ;
- угол поворота напряжений при переносе их на исходный контур. Из известных формул теории упругости будем иметь
(2.2.6)
Если уравнение границы тела записать в виде , то
(2.2.7)
Согласно (2.2.3) можно записать
(2.2.8)
Учитывая, что
(2.2.9)
Из (2.2.9), (2.2.7), (2.2.8) получим
(2.2.10)
Обозначая , найдем
(2.2.11)
(2.2.12)
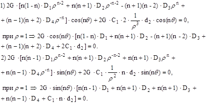
Используя (2.2.1), (2.2.5), (2.2.6), (2.2.11), (2.2.12), получим искомые линеаризованные граничные условия: при должно иметь место
(2.2.13)
Перейдем к условиям сопряжения решений. На - границе упругой и пластической областей, должно иметь место
(2.2.14)
Уравнение контура запишется в виде
(2.2.15)
Учитывая разложение (2.2.1), подставляя в (2.2.14) выражение (2.2.15), получим исходное линеаризованное условие сопряжения. Очевидно, что условия сопряжения могут быть получены из (2.2.5), если заключить левые части в квадратные скобки, поменять в них на , …, а на .
Выпишем условия сопряжения для компоненты :
(2.2.16)
Условие сопряжения для компонент имеют вид, вполне аналогичный (2.2.16).
Рассмотрим граничные условия в перемещениях:
на .
Уравнение границы представим в виде (2.2.3). Учитывая, что для компонент справедливы разложения, аналогичные (2.2.3), получим при разложения, аналогичные (2.2.4), (2.2.5).
Распишем основные соотношения, используемые для решения задачи:
Уравнения равновесия
(2.2.17)
Формулы Коши
(2.2.18)
Условие пластичности
(2.2.19)
Закон Гука
(2.2.20)
Граничные условия:
, ,
при ; (2.2.21)
при ;
при .
Решение будем искать в виде:
(2.2.22)
Уравнения равновесия (2.2.17) удовлетворяются, если ввести некоторую функцию , называемую функцией напряжений. Это функция связана с компонентами напряжения следующими зависимостями:
(2.2.23)
2.3 Решение задачи
Осесимметричное (невозмущенное) состояние
Пластичность
Определим компоненты напряжений в пластичной области .
Так как материал трубы считается несжимаемым, то имеет место условие несжимаемости:
. (2.3.1)
Труба осесимметрическая, следовательно компоненты и напряжения, и перемещения от не зависят:
, ,
, .
Условие пластичности (2.2.19) в начальном состоянии имеет вид:
. (2.3.2)
Из условий равновесий (2.2.17) вытекает:
.
Получили дифференциальное уравнение:
.
Решим:

Из граничных условий (2.2.21) имеем
.
Тогда
(2.3.3)
Определим компоненты перемещений.
Из формул Коши (2.2.18) следует:

При из граничных условий (2.2.21) следует


Упругость
Найдем компоненты деформации в упругой области .
Из закона Гука (2.2.20) вытекает
(2.3.4)
Формулы Коши (2.2.18) примут вид:

Из уравнений равновесий (2.2.17):

Решим:

Из граничных условий (2.2.21) при
 
Тогда
(2.3.5)
Радиус пластической зоны
При и 

(2.3.6)
Получили неявное уравнение для нахождения радиуса пластической зоны .
Возмущенное состояние
Пластичность
Решение будем искать в виде:
где (2.3.7)
Из условия пластичности (2.3.7) следует:
.
.

.
Формулы (2.2.23) примут вид:
(2.3.8)
Из условия пластичности (2.2.19) и формул (2.3.8) получим:
.
Функцию будем искать в виде:
.
Подставим


Пусть

Тогда


Следовательно

Или
.
Тогда функция примет вид:
. (2.3.9)
Найдем частные производные по и по .




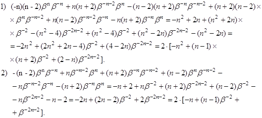
По формулам (2.3.8) при подстановке имеем:




Из этих соотношений найдём 


Составим систему уравнений и решим её.
Введём обозначения: 




(2.3.11)
Упругость
Закон Гука:
(2.3.12)
Формулы Коши:
(2.3.13)
Уравнения равновесия:
(2.3.14)
Условие несжимаемости:
(2.3.15)
Закон Гука можно переписать в виде:
 
Сложим уравнения системы:
(2.3.12)
можно записать так:
(2.3.16)
Условие несжимаемости (2.3.15) в силу (2.3.13) примет вид:

Положим

Тогда (2.3.16) запишется в виде:
(2.3.17)
Подставим (2.3.17) в (2.3.14):

Первое выражение продифференцируем по , второе - по , вычтем из первого выражения второе и разделим на . Тогда

Умножим на .

Функцию будем искать в виде:

Подставим в (2.3.18) и разделим на .

Решение будем искать в виде .


Или

Тогда



 


Тогда компоненты напряжений имеют вид:











Получили систему уравнений для нахождения коэффициентов Решим её методом Крамера.







Тогда








Тогда








Тогда






Тогда







Тогда

Найдём выражения для компонент деформации.
  
ВЫВОДЫ
Задача решена путём приведения к линеаризованному виду. На первом этапе получено решение осесимметричного (невозмущенного) состояния трубы в напряжениях, деформациях и перемещениях – формулы(2.3.3), (2.3.5), а также неоднородное нелинейное уравнение для нахождения радиуса пластической зоны (2.3.6).
Исследуя осесимметричную деформацию трубы, получено решение задачи в общем случае (n>1). Решение записано в виде (2.3.10), где коэффициенты имеют вид (2.3.11) – это в пластической зоне. В упругой зоне – это формулы (2.3.20), а коэффициенты – (2.3.21).
ЛИТЕРАТУРА
1. Александров А.В., Потапов В.Д. Основы теории упругости и пластичности. – М.: Высшая школа, 1990.– 400 с.
2. Бородин Н.А. Сопротивление материалов. – М.: Машиностроение, 1992. – 224 с.
3. Вульман С.А. О решении осесимметричных упругопластических задач методом малого параметра. – Изв. АН СССР, Механика твердого тела, 1969, №3.
4. Ершов Л.В., Ивлев Д.Д. Упругопластическое состояние конической трубы, находящейся под действием внутреннего давления. – Вестник МГУ, 1957, №2.
5. Ершов Л.В., Ивлев Д.Д. Упругопластическое состояние эллиптической трубы, находящейся под действием внутреннего давления. – Изв. АН СССР, 1957, №9.
6. Ивлев Д.Д. Метод возмущений в теории упругопластического тела. – М.:Наука, 1978. – 208 с.
7. Ивлев Д.Д. Приближенное решение упругопластических задач теории идеальной пластичности. – Докл. АН СССР, 1957, т.113, №2.
8. Ивлев Д.Д. Приближенное решение плоских упругопластических задач теории идеальной пластичности. – Вестник МГУ, 1957, №5.
9. Самуль В.И. Основы теории упругости и пластичности. – М.: Высшее образование, 1982. – 264 с.
10. Тимошенко С.П. , Гудгер Дж. Теория упругости. – М.: Наука, 1979. – 560 с.
|