Контрольная работа: Модель Стоуна
|
Название: Модель Стоуна Раздел: Рефераты по экономике Тип: контрольная работа |
| Модель Стоуна Москва 2007 СодержаниеВведение. 3 Решение задачи Стоуна для случая двух товаров. 4 Минимизация расходов потребителя: обратная задача. 7 Решение задачи Стоуна для случая трех товаров. 9 Пример 1. 9 Пример 2. 10 Пример 3. 11 Пример 4. 12 Пример 5. 14 Литература. 15 ВведениеПусть U – функция полезности потребителя. Задачу потребительского выбора можно записать в виде
(Доход мы нормировали на единицу, не теряя общности). Набор товаров
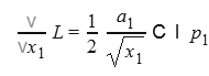
Показатели степеней ai > 0 характеризуют относительную "ценность" соответствующих товаров для потребителя. Добавив к функции (*) бюджетные ограничения (**), получим задачу потребительского выбора, которую называют моделью Р. Стоуна. Решение задачи Стоуна для случая двух товаровВыведем оптимум потребителя при покупке им двух благ X и Y (при необходимости число благ можно расширить до сколь угодно большого количества). Тогда наша задача состоит в том, чтобы максимизировать функцию полезности потребителя от этих двух благ – U (X, Y). Однако наш потребитель ограничен своим доходом (бюджетом), который он тратит без остатка на приобретение этих благ. В результате бюджет потребителя можно представить как I = PX X + PY Y. Затем мы решаем задачу на условный локальный максимум (максимум с ограничением) методом множителей Лагранжа. Составляем следующее уравнение L = U (X, Y) + l(I - PX X - PY Y), (1) где l - так называемый «множитель Лагранжа». Его экономический смысл станет нам ясен несколько позже. Первое условие максимума с ограничениями получается в результате нахождения частных производных первого порядка по X, Y и l из уравнения (1) и приравнивания их к нулю.[1] Получаем систему уравнений (2)
Последнее уравнение из (2) говорит нам о том, что доход (бюджет) потребителя расходуется на блага X и Y без остатка. Однако нас больше интересуют первые два уравнения из (3.А.2). Из них следует, что
Правые части в (3) есть ни что иное, как MUX и MUY , то есть предельные полезности благ X и Y . Отсюда получаем сформулированное в основном тексте главы 2 условие оптимума потребителя.
где l может быть интерпретирована как предельная полезность денежной единицы. Ведь для любого блага n MUn /Pn может трактоваться как темп возрастания полезности по мере увеличения затрат денег на покупку этого блага. Для того, чтобы найти точки оптимума (или, что тоже самое, спрос на блага X и Y), надо знать функцию полезности. Допустим, U = XY. Тогда по методу Лагранжа получаем
Решая систему уравнений (5) относительно X и Y получаем
Пусть, например, доход потребителя равен 100 д.е, PX = 2 д.е, PY = 5 д.е. Тогда X* = 25, Y* = 10. Если предположить, что PX стало равно 5 д.е., а PY снизилось до 4 д.е., то новые значения спроса на эти блага X* = 10, а Y* = 12,5. Заметим, что в нашем случае функции спроса достаточно простые. Спрос зависят только от цены благ и дохода потребителя. В то же время они позволяют заметить, что а) каждому значению цены блага и дохода отвечает одно значение спроса; б) если все цены и доходы меняются в одной и той же пропорции, то спрос на блага не меняется. Минимизация расходов потребителя: обратная задачаВ предыдущем разделе математического приложения ставилась задача максимизировать полезность потребителя при ограниченном доходе. Теперь ставится обратная задача: как минимизировать расходы потребителя при постоянном значении функции полезности. Эта проблема не является какой-то искусственно созданной математической задачей. Ей можно дать экономическое толкование. Представим данную кривую безразличия и соответствующее ей значение функции полезности как задающие определенный уровень жизни или уровень реального дохода потребителя. Тогда есть смысл спросить: каковы минимальные расходы, позволяющие достичь данный уровня жизни при некоторых фиксированных ценах? Такой подход также позволяет анализировать эффект ценовых изменений на эти расходы. Теперь мы минимизируем I = PX
X + PY
Y при ограничении U (X, Y) = L = ( PX
X + PY
Y) - m [U (X, Y) - Тогда имеем
Возьмем первые два уравнения из (1). Из них получаем
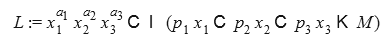
где m - величина обратная предельной полезности денежной единицы, то есть равна 1/l. Если заменить в (2) m на 1/l и возвести уравнение в степень - 1, то получим знакомое нам условие оптимума потребителя, совпадающее с (4). Решение задачи Стоуна для случая трех товаровПример 1Пусть функция полезности имеет вид
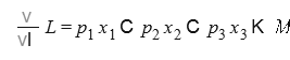
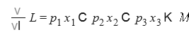
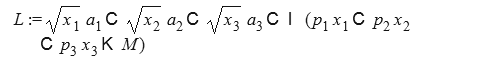
Бюджетное ограничение
составим фунцию Лагранжа
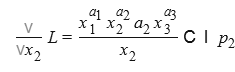
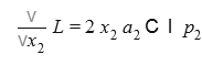
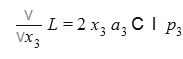
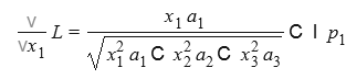
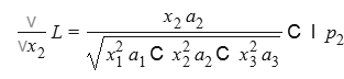
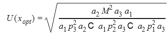
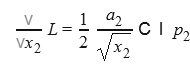
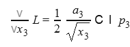
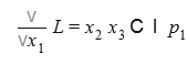
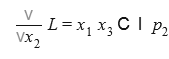
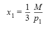
Найдем частные производные
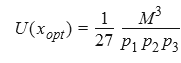
решение системы
Пример 2Пусть функция полезности имеет вид
Бюджетное ограничение
составим функцию Лагранжа
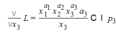
Найдем частные производные
решение системы
Пример 3Пусть функция полезности имеет вид
Бюджетное ограничение
составим функцию Лагранжа
Найдем частные производные
решение системы
Пример 4Пусть функция полезности имеет вид
Бюджетное ограничение
составим функцию Лагранжа
Найдем частные производные
решение системы
Пример 5Пусть функция полезности имеет вид
Бюджетное ограничение
составим фунцию Лагранжа
Найдем частные производные
решение системы
Литература1. Экономика. Учебник / Под ред. А. С. Булатова. – М.: Юристъ, 2001. 2. Микроэкономика. Учебники МГУ им. М. В. Ломоносова / Под ред. А. В. Сидоровича. – М.: ДИС, 2002. 3. Экономическая теория (политэкономия). Учебник / Под ред. В. И. Видянина, Г. П. Журавлевой. – М.: РЭА, 2000. 4. Курс экономики. Учебник / Под ред.Б. А. Райзберга. – М.: ИНФРА-М, 2000. 5. Экономическая теория. Учебник / Под ред. В. Д. Камаева. – М.: Владос, 2001. 6. Экономическая теория. Учебник / Под ред. В. И. Видянина, А. И. Добрынина, Г. П. Журавлевой, Л. С. Тарасевича. – М.: ИНФРА-М, 2000. 7. Микроэкономика. Учебник / Под ред. Е. Строганова, И. Андреева. – М.: Питер, 2002. [1] Условия второго порядка базируются на сложных математической технике и ничего дополнительно изучающему начальный курс экономики не дают. |







































