Курсовая работа: Проектирование асинхронного двигателя серии 4А
|
Название: Проектирование асинхронного двигателя серии 4А Раздел: Промышленность, производство Тип: курсовая работа | |||||||||||||||||||||||||||||||||||||||||||||||||||||||||||||||||||||||||||||||||||||||||||||||||||||||||||||||||||||||||||||||||||||||||||||||||||||||||||||||||||||||||||||||||||||||||||||||||||||||||||||||||||||||||||||||||||||||||||||||||||||||||||||||||||||||||||||||||||||||||||||||||||||||||||||||||||||||||||||||||||||||||||||||||||||||||||||||||||||||||||||||||||||||||||||||||||||||||||||||||||||||||||||||||||||||||||||||||||||||||||||||||||||||||||||||||||||||||||||||||||||||||||||||||||||||||||||||||||||||||||||||||||||||||||||||||||||||||||||||||||||||||||||||||||||||||||||||||||||||||||||||||||||||||||||||||||||||||
| Федеральное агентство по образованию Российской Федерации Российский государственный профессионально – педагогический университет Кафедра электрооборудования и автоматизации промышленных предприятий ПРОЕКТИРОВАНИЕ АСИНХРОННОГО ЭЛЕКТРОДВИГАТЕЛЯ СЕРИИ 4 А МОЩНОСТЬЮ 7.5 кВт АННОТАЦИЯ Пояснительная записка к курсовому проекту 03.05.03.000000.000.КП Разработал студент Группы Руководитель проекта Екатеринбург 2007 Курсовой проект содержит _____ листов текста, _____ иллюстраций, 2 таблицы, 2 используемых источника. Приведен расчет асинхронного двигателя с короткозамкнутым ротором серии 4А132 S4 У3 мощностью 7,5 кВт, включающий в себя: - выбор главных размеров - электромагнитный расчет - расчет и построение рабочих и пусковых характеристик - упрощенные тепловые и вентиляционные расчеты. Приведены схемы замещения и круговые диаграммы. Дан сборочный чертеж асинхронного двигателя. Содержание Введение 1. Выбор главных размеров 2. Определение Z1, 3. Расчет размеров зубцовой зоны статора и воздушного зазора 4. Расчет ротора 5. Расчет намагничивающего тока 6. Параметры рабочего режима 7. Расчет потерь 8. Расчет рабочих характеристик 9.Расчет пусковых характеристик Приложение: лист задания на ХП Библиография Задание Курсовой проект по электрическим машинам Тип машины - АСИНХРОННЫЙ ДВИГАТЕЛЬ 4А 132 S4 У3 Выдано студенту группы______________________________ Руководитель проекта_______________________________ 1. Номинальная мощность, кВт............................7,5 2. Номинальное фазное напряжение, В.............127 3. Число полюсов....................................................2р=4 4. Степень защиты...................................................IР44 5. Класс нагревостойкости изоляции....................F 6. Кратность начального пускового момента.....2,2 7. Кратность начального пускового тока.............7,5 8. Коэффициент полезного действия................... 9. Коэффициент мощности.....................................cos y =0.86 10. Исполнение по форме монтажа.....................М1001 11. Воздушный зазор, мм.........................................δ= Задание выдал " " 2006 г. Введение Асинхронный двигатель является преобразователем электрической энергии в механическую и составляет основу большинства механизмов, использовавшихся во всех отраслях народного хозяйства. В настоящее время асинхронные двигатели потребляют более 40% вырабатываемой электрической энергии, на их изготовление расходуется большое количество дефицитных материалов: обмоточной меди, изоляции, электрической стали и других затрат. На ремонт и обслуживание асинхронных двигателей в эксплуатации средства составляют более 5 % затрат из обслуживания всего установленного оборудования. Поэтому создание серии высокоэкономических и надежных асинхронных двигателей являются важнейшей народно – хозяйственной задачей, а правильный выбор двигателей, их эксплуатации и высококачественный ремонт играют первоочередную роль в экономии материалов и трудовых ресурсов. В серии 4А за счет применения новых электротехнических материалов иррациональной конструкции, мощность двигателей при данных высотах оси вращения повышена на 2 – 3 ступени по сравнению с мощностью двигателей серии А2, что дает большую экономию дефицитных материалов. Серия имеет широкий ряд модификаций специализированных исполнений для удовлетворительных максимальных нужд электропривода. Выбор главных размеров 1. Синхронная скорость вращения поля:
2. Высота оси вращения h=132 мм [ двигатель 4А132S4У3]
3. Внутренний диаметр статора
4. Полюсное деление 5. Расчетная мощность 6. Электромагнитные нагрузки А = 28*103 А/м; В6 = 0,87 Тл. [стр166, 1] 7. Обмоточный коэффициент для однослойной обмотки принимаем kоб1 = 0,95 [стр. 167, 1] 8. Расчетная длина воздушного зазора
9. Отношение 2.Определение 10. Предельные значения 11. Число пазов статора Принимаем Z1 = 36, тогда 12. Зубцовое деление статора
13. Число эффективных проводников в пазу [предварительно при условии а=1]
14. Принимаем, а=1, тогда un = a*u|n = 1*14 15. Окончательные значения
Значения А и 16. Плотность тока в обмотке статора (предварительно)
17. Сечение эффективного проводника (предварительно)
обмоточный провод ПЭТМ [стр. 470, 1],
18. Плотность тока в обмотке статора (окончательно)
3.Расчет размеров зубцовой зоны статора и воздушного зазора 19. Принимаем предварительно [стр. 174, 1]
[по табл. 6-11, 1 для оксидированных листов стали 20. Размеры паза в штампе принимаем hш1 = 1 мм, bш1 = 3,5 мм; [стр.179, 1]
21. Размеры паза в свету с учетом припуска на сборку b/1 = b1 - ∆bn = 9,7- 0,1 = 9,6 мм b/2 = b2 - ∆bn = 7,5 – 0,1 = 7,4 мм h/1 = h1 - ∆hn = 12,5 – 0,1 = 12,4 мм Площадь поперечного сечения паза для размещения проводников
22. Коэффициент заполнения паза
4 . Расчет ротора 23. Воздушный зазор
24. Число пазов ротора стр. 185, 1, 2p = 4 и Z1 = 36 Z2 = 34 25. Внешний диаметр D2 =D – 2δ = 149-2*0,4 26. Длина 27. Зубцовое деление 28. Внутренний диаметр ротора равен диаметру вала, так как сердечник непосредственно насажен на вал.
KB = 0,23 при h = 132 мм и 2p = 4 по табл. 6-16,1 29. Ток в стержне ротора I2 = k1I1Hv1 = 0,89*26,2*14,08 = 328,3 А k1 = 0,89 при cosφ = 0.86
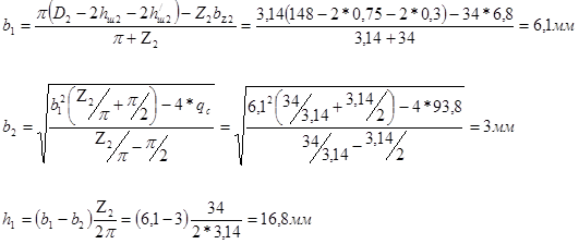
30. Площадь поперечного сечения стержня 31. Паз ротора. Принимаем Допустимая ширина зубца
Размеры паза:
Полная высота паза:
Сечение стержня:
33. Корткозамыкающие кольца. поперечного сечения.
Размеры замыкающих колец: bкл = 1,25*hn2 =1,25 *22,4 = 28 мм
5. Расчет намагничивающего тока 34. Значение индукций:
расчетная высота ярма ротора при 2р=4 стр. 194,1
35. Магнитное напряжение воздушного зазора:
где 36. Магнитные напряжения зубцовых зон: статора Fz1 = 2hz1Hz1 = 2*15,5*10-3*1330 = 41,23 A ротора Fz2 = 2hz2Hz2 = 2*22,1*10-3*2010 = 88,84 А (по таблице П-17, для стали 2013 Нz1 = 1330 A/м при Вz1 = 1,75 Тл; Нz2 = 2010 A/м при Вz2 = 1,89 Тл; hz1 = 15,5 мм; hz2 = hn2 – 0,1b2 = 22,4 – 0,1*3 = 22,1 мм) 37. Коэффициент насыщения зубцовой зоны
38. Магнитные напряжения ярм статора и ротора
по табл. П-16 Ha = 450 А/м при Ва = 1,45Тл; Нj = 185 А/м при Вj = 1,00 Тл.
39. Магнитное напряжение на пару полюсов
40. Коэффициент насыщения магнитной цепи
41. Намагничивающий ток:
относительное значение: 6. Параметры рабочего режима 42. Активное сопротивление фазы обмотки статора:
Длина нагревостойкости изоляции F расчетная Для меди Длина проводников фазы обмотки:
Длина вылета лобовой части катушки:
Относительное значение:
43. Активное сопротивление фазы обмотки ротора:
где для алюминиевой обмотки ротора Приводим
Относительное значение:
44. Индуктивное сопротивление фазы обмотки статора:
где h3 = 13,3 мм, b = 7,5 мм, h2 = 0 мм,
Относительное значение:
45. Индуктивное сопротивление фазы обмотки ротора:
где по табл. 6-23, 1
где
Приводим
Относительное значение:
7. Расчет потерь 46. Основные потери в стали:
47. Поверхностные потери в роторе:
где к02 = 1,5
48. Пульсационные потери в зубцах ротора:
49. Сумма добавочных потерь в стали:
50. Полные потери в стали:
51. Механические потери:
для двигателей 2р = 4 коэф. 52. Добавочные потери при номинальном режиме:
53. Холостой ход двигателя:
8. Расчет рабочих характеристик 54
Потери, не меняющиеся при изменении скольжения:
Принимаем Результаты расчёта приведены в таблице 2. характеристики представлены на рис. 6. Расчет и построение круговой диаграммы
Масштаб тока
Масштаб мощности
9. Расчет пусковых характеристик 55. Расчет пусковых характеристик, Рассчитываем точки характеристик, соответствующие скольжению S=1. Пусковые характеристики спроектированного двигателя представлены на рис. 2. Параметры с учетом вытеснения тока
для
Активное сопротивление обмотки ротора:
где
Приведенное сопротивление ротора с учетом действия эффекта вытеснения тока: Индуктивное сопротивление обмотки ротора:
Ток ротора приближенно без учета влияния насыщения:
56. Учет влияния насыщения на параметры, Принимаем для S=1 коэффициент насыщения
[по рис. 6-50, стр, 219,1 для Коэффициент магнитной проводимости пазового рассеяния обмотки статора с учетом влияния насыщения:
Коэффициент магнитной проводимости дифференциального рассеяния обмотки статора с учетом влияния насыщения:
Таблица 2 Расчет пусковых характеристик
Индуктивное сопротивление фазы обмотки статора с учетом влияния насыщения:
Коэффициент магнитной проводимости пазового рассеяния ротора с учетом влияния насыщения и вытеснения тока:
Коэффициент магнитной проводимости дифференциального рассеяния обмотки статора с учетом влияния насыщения:
Приведенное индуктивное сопротивление фазы обмотки ротора с учетом влияния вытеснения тока и насыщения:
Сопротивление взаимной индукции обмоток в пусковом режиме:
Расчет токов и моментов:
Критическое скольжение:
где 10. Тепловой расчет 57. Превышение температуры внутренней поверхности сердечника статора над температурой воздуха внутри двигателя:
по табл, 6-30, К=0,2 по рис 6-59
Перепад температуры в изоляции пазовой части обмотки статора:
где для изоляции класса нагревостойкости F по стр, 237, 1 для
Превышение температуры наружной поверхности лобовых частей над температурой воздуха внутри машины:
Среднее превышение температуры обмотки статора над температурой воздуха внутри машины:
Превышение температуры воздуха внутри машины над температурой окружающей среды:
где
Среднее превышение температуры обмотки статора над температурой окружающей среды:
11. Расчет вентиляции 58. Расчет вентиляции, Требуемый для охлаждения расход воздуха:
Расход воздуха, обеспечиваемый наружным вентилятором:
Список использованной литературы: 1. Копылов И.П. «Проектирование электрических машин» Москва «Энергия» 1980 г. 2. Методические указания к выполнению курсового проекта по электрическим машинам № 11, 1990 г. [128, 1984] Приложение 2
|
|||||||||||||||||||||||||||||||||||||||||||||||||||||||||||||||||||||||||||||||||||||||||||||||||||||||||||||||||||||||||||||||||||||||||||||||||||||||||||||||||||||||||||||||||||||||||||||||||||||||||||||||||||||||||||||||||||||||||||||||||||||||||||||||||||||||||||||||||||||||||||||||||||||||||||||||||||||||||||||||||||||||||||||||||||||||||||||||||||||||||||||||||||||||||||||||||||||||||||||||||||||||||||||||||||||||||||||||||||||||||||||||||||||||||||||||||||||||||||||||||||||||||||||||||||||||||||||||||||||||||||||||||||||||||||||||||||||||||||||||||||||||||||||||||||||||||||||||||||||||||||||||||||||||||||||||||||||||||















































где
где













