Курсовая работа: Проектирование валов электродвигателя
|
Название: Проектирование валов электродвигателя Раздел: Промышленность, производство Тип: курсовая работа |
| 1. Кинематический расчет привода Выбор электродвигателя. 1.1 Нахождение мощности на выходе.
1.2 Определение общего КПД привода. hобщ = hред × h6 подш × h2 муфты , где: hред – КПД редуктора; hподш – КПД подшипников; hмуфты – КПД муфты. hмуфты = 0,95; hред = 0,96; hподш = 0,99; hобщ = 0,96 × 0,996 × 0,952 = 0,816. 1.3 Определение требуемой мощности электродвигателя.
1.4 Определение частоты вращения вала электродвигателя.
nвх = nпр × u, где: u = uбыстр × uтих ; Из таблицы 1.2 [1] выбраны передаточные отношения тихоходной и быстроходной передачи: uтих = (2,5…5,6); uбыстр =8 nвх = nв × u = 42 × (2,5…5,6) ×8= 840…1882 об/мин. Исходя из мощности, ориентировочных значений частот вращения, используя табл. 24.9 (уч. П.Ф. Дунаев, О.П. Леликов) выбран тип электродвигателя: АИР 112М4/14321.5 Определение вращающего момента на тихоходном валу Pm = Pэ.тр× hмуфты × hред = 5,48×0,95×0,96 =5016 кВт
1.6 Определение действительного фактического передаточного числа.
Uд = Uред = 34,095 2. Предварительный расчет валов Крутящий момент в поперечных сечениях валовБыстроходного Tб = 30.19 H×м Промежуточного Tпр = 212.95 H×м Тихоходного Tт = 1140.5H×м Предварительные значения диаметров (мм) различных участков стальных валов редуктора определяют по формулам: Для быстроходного:
Для промежуточного:
Для тихоходного:
Выбираем роликовые радиально-упорные однорядные подшипники легкой серии. Для быстроходного вала: 7205А d=25мм, D=52мм, Tнаиб=16,4мм, r=1,5мм; Для промежуточного: 7207А d=35мм, D=72мм, Tнаиб =18,5мм, r=2мм; Для тихоходного: 7213А d=65мм, D=120мм, Tнаиб =25мм, r=2,5мм; 3. Расчет подшипников При расчете подшипников силы, действующие в зацеплении, взяты из распечаток, сделанных на ЭВМ по стандартным программам, разработанным на кафедре РК – 3. 3.1 Расчет подшипников на быстроходном валу 3.1.1 Определение сил, нагружающих подшипники При проектировании быстроходного вала редуктора применили роликовые радиально-упорные однорядные подшипники по схеме установки в распор. Диаметр вала под подшипник: dп = 25 мм. Fr = 717.65 H
Ft = 1940.2 H T = 30.2 Н·м
3.1.1.1 Реакции в горизонтальной плоскости
3.1.1.2 Pеакции в вертикальной плоскости
3.1.1.3 Реакции от консольной силы
3.1.1.4 Полная реакция в опорах В расчете принимаем наихудший вариант действия консольной силы
3.1.2.1 Предварительный выбор подшипника За основу берем роликовые радиально-упорные однорядные подшипники легкой серии: 7205А d=25мм, D=52мм, Tнаиб=16,4мм, r=1,5мм Динамическая грузоподъемность Сr = 29,2 кН Расчетные параметры: Y=1.6; e=0.37; X=0.4 3.1.2.2 Эквивалентные нагрузки на подшипник с учетом переменности режима работы Pr = (V·XFr + Y·Fa) ·Ks Kt [4, стр. 83], где V – коэффициент вращения кольца, V = 1, так как вращается внутреннее кольцо, Ks - коэффициент безопасности, Ks = 1,4 [4, таблица 7.3, стр. 84]. Kt – температурный коэффициент, Kt = 1, так как t £ 100 °C. Fr и Fa - радиальные и осевые силы действующие на подшипник КЕ - коэффициент эквивалентности, зависящий от режима работы. Так как у нас режим работы – 3 то КЕ = 0,56 [4, стр. 83]. X и Y - коэффициенты радиальных и осевых нагрузок;
что меньше e=0.37, следовательно X = 1 и Y = 0 (по табл.17.1, стр. 354, [1]).
что больше e=0.37, следовательно X = 0,4 и Y =1,6 (по табл.17.1, стр. 354, [1]).
3.1.2.3 Определение расчетного ресурса подшипника. Требуемый ресурс работы подшипника L = 20000 часов L10
h
= a1
·a23
· (106
/60·n) · (Cr/Pr
) где к – показатель степени уравнения кривой усталости, для роликовых подшипников к = 10/3=3,33; a1 – коэффициент, учитывающий безотказность работы. Р = 90% a1 = 1 [1, стр.351], a23 – коэффициент, учитывающий качество материала и условия смазки подшипника a23 = 0,65 [1, стр.352]. L10 h = 1·0,65·(106 /60·1432)·(29200/1733,3)3,33 » 91853,2 часов >> L = 20000 часов. 3.2. Расчет подшипников на промежуточном валу 3.2.1 Определение сил, нагружающих подшипники При проектировании промежуточного вала редуктора применили роликовые радиально-упорные однорядные подшипники по схеме установки в распор. Диаметр вала под подшипник: dп = 35 мм. Fr 1= 717,65 H;Fr2 = 2610,7 H
Ft1 = 1940.2 H;Ft2 7078,6 H T = 212,9Н·м
3.2.1.1 Реакции в горизонтальной плоскости
3.2.1.2 Pеакции в вертикальной плоскости
3.2.1.4 Полная реакция в опорах . В расчете принимаем наихудший вариант действия консольной силы
3.2.2.1 Предварительный выбор подшипника За основу берем роликовые радиально-упорные однорядные подшипники легкой серии: 7207А d=35мм, D=72мм, Tнаиб=18,5мм, r=2мм Динамическая грузоподъемность Сr = 48,4 кН Расчетные параметры: Y=1.6; e=0.37; X=0.4 3.2.2.2 Эквивалентные нагрузки на подшипник с учетом переменности режима работы
что меньше e=0.37, следовательно X = 1 и Y = 0 (по табл.17.1, стр. 354, [1]).
что больше e=0.37, следовательно X = 0,4 и Y = 1,6 (по табл.17.1, стр. 354, [1]).
3.2.2.3 Определение расчетного ресурса подшипника L10 h = 1·0,65·(106 /60·234)·(48400/4644,8)3,33 » 113522,3 часов >> L = 20000 часов. 3.3 Расчет подшипников на тихоходном валу 3.3.1 Определение сил, нагружающих подшипники. При проектировании тихоходного вала редуктора применили роликовые радиально-упорные однорядные подшипники по схеме установки в распор. Диаметр вала под подшипник: dп = 65 мм. Fr = 2610,7 H
Ft = 7078,6 H T = 1140,5 Н·м
3.3.1.1 Реакции в горизонтальной плоскости.
3.3.1.2 Pеакции в вертикальной плоскости
3.3.1.3 Реакции от консольной силы
3.3.1.4 Полная реакция в опорах . В расчете принимаем наихудший вариант действия консольной силы
3.3.2.1 Предварительный выбор подшипника. За основу берем роликовые радиально-упорные однорядные подшипники легкой серии: 7213А d=65мм, D=120мм, Tнаиб=25мм, r=2,5мм Динамическая грузоподъемность Сr = 108 кН Расчетные параметры: Y=1.5; e=0.4; X=0.4 3.3.2.2Эквивалентные нагрузки на подшипник с учетом переменности режима работы
что меньше e=0.4, следовательно X = 1 и Y = 0 (по табл.17.1, стр. 354, [1]).
что больше e=0.4, следовательно X = 0.4 и Y =1.5 (по табл.17.1, стр. 354, [1]).
3.3.2.3 Определение расчетного ресурса подшипника L10 h = 1·0,65·(106 /60·42)·(108000/14463,4)3,33 » 208503,6 >> L = 20000 часов. 3.4 Расчет подшипников приводного вала
Исходные данные: FК =8442 Н – консольная сила на конце вала; lК =148 мм – расстояние до точки приложения консольной силы; lоб =600 мм – расстояние между опорами; lпр =300 мм – расстояние между звездочками; l=150 мм - расстояние между звездочкой и опорой вала; Ft =7100 H – окружная сила на двух звездочках; n=42 об/мин Определение радиальных реакций в опорах: Реакции от окружной силы:
Реакции от консольной силы:
Суммарные реакции на опоры:
Опора 1 нагружена больше, следовательно, дальнейший расчет будет вестись по этой опоре. Выбор подшипника. Выбирается подшипник шариковый радиальный сферический двухрядный средней серии1313.
Определение эквивалентной нагрузки.
Определение расчетного ресурса. Для сферического подшипника
Подбор посадки подшипника. Внутреннее кольцо подшипника вращается, нагружение циркуляционное.
по таблице 7.6 [2 c.113] выбирается поле допуска на вал k6. Наружное кольцо подшипника неподвижно, нагружение местное. По таблице 7.7 [2 c.113] выбирается поле допуска на отверстие L0. 3. Проверочный расчет валов на прочностьПроверку статической прочности выполняют в целях предупреждения пластических деформаций в период действия кратковременных перегрузок. Уточненные расчеты на сопротивление усталости отражают влияние разновидности цикла напряжений, статических и усталостных характеристик материалов, размеров, формы и состояния поверхности. 4.1 Расчет тихоходного вала 4.1.1 Расчетная схема
Силы, действующие на вал. Консольно действующая нагрузка.
4.1.2 Расчет на статическую прочность Коэффициент перегрузки
где Тmax – максимальный кратковременно действующий крутящий момент. В расчете определяют нормальные s и касательные t напряжения в рассматриваемом сечении вала при действии максимальных нагрузок.
где Mmax – суммарный изгибающий момент, Mkmax=Tmax – крутящий момент,
Частные коэффициенты запаса прочности.
Общий коэффициент запаса прочности по пределу текучести
Сечение 1. Значит, тихоходный вал в сечении 1 прочен. Сечение 2.
Значит, тихоходный вал в сечении2 прочен. Тихоходный вал прочен по статической нагрузке. 4.1.3 Расчет на сопротивление усталости. Для каждого из установленных предположительно опасных сечений вычисляют коэффициент S.
где Ss и St - коэффициенты запаса по нормальным и касательным напряжениям.
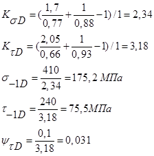
Пределы выносливости вала в рассматриваемом сечении.
Сечение 1.
по таблицам 10.2 – 10.13 [2 c. 165-171].
Значит, вал в сечении 1 прочен. Сечение 2.
по таблицам 10.2 – 10.13 [2 c. 165-171].
Значит, вал в сечении 2 прочен. Тихоходный вал прочен. 4.2 Расчет промежуточного вала 4.2.1 Расчетная схема
4.2.2 Расчет на статическую прочность Сечение 1.
Значит, промежуточный вал в сечении 1 прочен. Сечение 2.
Значит, промежуточный вал в сечении 2 прочен. Промежуточный вал прочен по статической нагрузке. 4.2.3 Расчет на сопротивление усталости. Пределы выносливости вала в рассматриваемом сечении. Сечение 1.
по таблицам 10.2 – 10.13 [2 c. 165-171].
Значит, вал в сечении 1 прочен. Сечение 2.
по таблицам 10.2 – 10.13 [2 c. 165-171].
Значит, вал в сечении 2 прочен. Промежуточный вал прочен. 5. Выбор смазки редуктора Для уменьшения потерь мощности на трение и снижения интенсивности износа трущихся поверхностей, а также для предохранения их от заедания, задиров, коррозии и лучшего отвода теплоты трущиеся поверхности деталей должны иметь надежную смазку. Для смазывания передач широко применяют картерную систему. В корпус редуктора заливают масло так, чтобы венцы колес были в него погружены. Колеса при вращении увлекают масло, разбрызгивая его внутри корпуса. Масло попадает на внутренние стенки корпуса, откуда стекает в нижнюю его часть. Внутри корпуса образуется взвесь частиц масла в воздухе, которая покрывает поверхность расположенных внутри корпуса деталей. Принцип назначения сорта масла следующий: чем выше окружная скорость колеса, тем меньше должна быть вязкость масла и чем выше контактные давления в зацеплении, тем большей вязкостью должно обладать масло. Поэтому требуемую вязкость масла определяют в зависимости от контактного напряжения и окружной скорости колес. Контактные напряжения (из распечатки).
По таблице 11.1 [2 c. 173] выбирается кинематическая вязкость. По таблице 11.2 [2 c. 173] выбирается марка масла И-Г-А-32. И – индустриальное Г – для гидравлических систем А – масло без присадок 32 – класс кинематической вязкости Подшипники смазываем тем же маслом. Так как имеем картерную систему смазывания, то они смазываются разбрызгиванием. 6. Проверка прочности шпоночного соединения Все шпонки редуктора призматические со скругленными торцами, размеры длины, ширины, высоты, соответствуют ГОСТ 23360-80. Материал шпонок – сталь 45 нормализованная. Все шпонки проверяются на смятие из условия прочности по формуле:
Допускаемое напряжение смятия [dсм ]=200МПа Быстроходный вал: 30,2 Н·м; Входной конец вала =Ø17…22 мм; b·h·l =4·4·18;
Промежуточный вал: 212,9 Н·м; Диаметр вала: Ø40мм; b·h·l =12·8·32;
Тихоходный вал: 1140,5 Н·м; Шпонка под колесо: Ø75мм; b·h·l =20·12·63;
Выходной конец вала: Ø55мм; b·h·l =16·10·80;
Приводной вал: 1140,5 Н·м; Входной конец вала: Ø55мм; b·h·l =16·10·80;
Шпонка под звездочки: Ø85мм; b·h·l =22·14·63;
7. Подбор муфты 7.1 Выбор упруго-предохранительной муфты Муфта комбинированная (упругая и предохранительная) с разрушающимся элементом. Предохранительная муфта отличается компактностью и высокой точностью срабатывания. Обычно применяется в тех случаях, когда по роду работы машины перегрузки могут возникнуть лишь случайно .Может работать только при строгой соосности валов .В качестве разрушающегося элемента обычно используют штифты, выполняемые из стали или из хрупких материалов(серый чугун ,бронза).В момент срабатывания штифт разрушается и предохранительная муфта разъединяет кинематическую цепь .Для удобства эксплуатации муфты в гнезде ставят комплект втулок вместе со штифтом .В этом случае сопряжение втулок с полумуфтами H7/g6, штифта с втулками H7/h6.Одну из полумуфт устанавливают при посадке Н7/f7,предусматривая по торцам минимальный зазор 0.05…0.10 мм .Чтобы торцы втулок не задевали друг за друга ,следует предусматривать зазор на 0.05…0.10 мм больший ,чем между торцами полумуфт. Материал полумуфт – чугун СЧ20. Материал пальцев – сталь 45. Расчетный вращающий момент:
При проектировании муфты принимают размеры в мм:
Далее определяют: 1. диаметр стержней
где [ Е=2,15
2. число стержней Стержень материал: 65С2ВА ( [
Стержни располагаем в отверстиях, расположенных на окружностях разных диаметров (в 2 ряда). 7.2 Выбор упругой муфты По атласу деталей машин под ред. Решетова определяем муфту упругую втулочно-пальцевую типа МУВП ГОСТ 12080-66. Список использованной литературы 1. М.Н. Иванов. Детали машин. М.: «Машиностроение», 1991. 2. П.Ф. Дунаев, О.П.Леликов – Конструирование узлов и деталей машин. М.: «Высшая школа», 1985. 3. Д.Н. Решетов – Детали машин. Атлас конструкций в двух частях. М.: «Машиностроение», 1992. 4. Тибанов В.П., Варламова Л.П. Методические указания к выполнению домашнего задания по разделу «Cоединения». М., МГТУ им. Н.Э. Баумана, 1999. |



















































,
























