Курсовая работа: Рішення лінійних рівнянь першого порядку
|
Название: Рішення лінійних рівнянь першого порядку Раздел: Рефераты по математике Тип: курсовая работа | ||
Курсова робота: Рішення лінійних рівнянь першого порядку Зміст 1. Введення 2. Постановка задачі 3. Знаходження власних чисел і побудова ФСР 4. Побудова фундаментальної матриці рішень методом Ейлера 5. Знаходження наближеного рішення у вигляді матричного ряду 6. Побудова загального рішення матричним методом 7. Задача Коші для матричного методу 8. Рішення неоднорідної системи Графіки Висновок Література 1. ВведенняРозглянемо систему лінійних рівнянь першого порядку, записану в нормальній формі:
де коефіцієнти аij, i=1,2,….,n, до=1,2,.,n, є постійними величинами; yi =yi (t), i=1,2,…,n-невідомі функції змінної t. Якщо всі bi (t) (i=1,2,…,n) покласти рівним нулю (bi (t) =0), те вийде однорідна система, що відповідає неоднорідній системі (1). Позначаючи матрицю системи через А (х), а вектор
Якщо
Усяка сукупність n функцій
певних і безупинно в інтервалі (a; b), називається рішенням системи (1) у цьому інтервалі, якщо вона обертає всі рівняння системи (1) у тотожності:
справедливі при всіх значеннях x з інтервалу (a, b). Загальне рішення неоднорідної системи являє собою суму загального рішення відповідної однорідної системи й приватного рішення неоднорідної. 2. Постановка задачіЦіль роботи: дослідження методів рішення системи диференціальних рівнянь із постійною матрицею:
Завдання. 1. Знайти власні числа й побудувати фундаментальну систему рішень (ФСР). 2. Побудувати фундаментальну матрицю методом Ейлера. 3. Знайти наближене рішення у вигляді матричного ряду. 4. Побудувати загальне рішення матричним методом. Досліджувати залежність Жорданової форми матриці А від її власних чисел. 5. Вирішити задачу Коші.
Початкові умови: Вектор початкових умов: [1, 2, 3, 4] t = 0 3. Знаходження власних чисел і побудова ФСРОднорідною лінійною системою диференціальних рівнянь називається система рівнянь виду:
Якщо в матриці системи Фундаментальною системою рішень однорідної лінійної системи рівнянь називається базис лінійного простору рішень (, тобто n лінійно незалежних рішень цієї системи. Для побудови фундаментальної системи рішень диференціального рівняння необхідно знайти власні числа характеристичного полінома, тому що залежно від їхнього виду (характеристичні числа можуть бути дійсними різними, кратними, комплексними) будується фундаментальна система рішень. Для того щоб ця система n лінійних однорідних рівнянь із n невідомими мала нетривіальне рішення, необхідно й досить, щоб визначник системи (вронскиан) дорівнює нулю:
Із цього рівняння ступеня n визначається значення k, при яких система має нетривіальні рішення. Рівняння (4) називається характеристичним. Запишемо характеристичний поліном, для цього скористаємося функцією CHARPOLY
Для знаходження власних чисел скористаємося функцією SOLVE (U, (), що повертає характеристичні числа матриці А в вектор (. Одержимо:
Вийшло два дійсно корені Матрицю y (x (, стовпцями якої є рішення, що утворять фундаментальну систему, називають фундаментальною матрицею.
І загальне рішення системи буде виглядати в такий спосіб:
Знайдемо рішення даної системи за допомогою методу Ейлера. 4. Побудова фундаментальної матриці рішень методом ЕйлераМетод Ейлера полягає в наступному. Рішення системи (1) перебуває у вигляді:
Функція (5) є рішенням системи (1), якщо Якщо власні значення
де З1 , З2 , …, Сn - довільні числа. Для випадку кратних корінь рішення системи приймає вид
де Pi (x) - поліноми ступеня не вище, ніж (до-1), що мають у сукупності до довільних коефіцієнтів. Так що серед коефіцієнтів цих поліномів до коефіцієнтів є довільними, а залишилися до·n-k выражаются через них. Якщо для кратного власного значення
Якщо для власного значення
Щоб знайти вектори Для даного завдання минулого знайдені наступні власні значення:
Побудували фундаментальну систему рішень:
Знайдемо 1 рядок фундаментальної матриці рішень для характеристичного числа
Де аij знайдемо по вираженню:
Отримана матриця:
Вирішуємо систему:
Отриманих корінь:
Тоді перший рядок буде мати вигляд:
Аналогічно знайдемо другий рядок фундаментальної матриці рішень для першого характеристичного числа - 1. Отримані значення:
Тоді другий рядок буде мати вигляд:
Знайдемо третю й четверту рядки фундаментальної матриці рішень для першого характеристичного числа Отримані значення:
Відокремлюючи в ньому речовинні й мнимі частини, одержимо два речовинних рішення, які й становлять першу й другу рядки фундаментальної матриці рішень
Аналогічно інші 3:
Запишемо знайдену фундаментальну матрицю рішень:
Помножимо транспоновану фундаментальну матрицю рішень на вектор вільних коефіцієнтів
Зробимо перевірку знайденого рішення в такий спосіб:
Одержуємо нульову матрицю-стовпець:
що показує, що загальне рішення знайдене вірно. 5. Знаходження наближеного рішення у вигляді матричного рядуДамо визначення матричному ряду й експонентній функції матриці. Матричні ряди. Розглянемо нескінченну послідовність матриць
Нехай
де по визначенню покладемо A0 = En . Експонентна функція матриці. Як приклад розглянемо статечної ряд, рівний:
Тому що радіус збіжності відповідного числового ряду
Дорівнює нескінченності, то ряд сходиться при всіх А. Сума ряду називається експонентною функцією (експонентою) і позначається через еА , якщо ехр{А}. Приблизно вектор рішень можна знайти як добуток матричного ряду:
і вектора початкових умов y0 = [y1 ,y2 , ….yk ]. Формула є матричною задачею Коші в наближеному виді. Експонентою
де Е - одинична матриця. Матриця Для одержання розкладання по 7 перших членах (аналогічно по 8,10 і 10). Результатом буде матриця 4*4. Отримані матриці множимо на вектор початкових умов S= [1,2,3,4] і одержуємо наближене рішення у вигляді матричного ряду.
При збільшенні членів розкладання ряду вектор наближених рішень буде прагнути до вектора точних рішень. Цей факт можна спостерігати, графічно порівнюючи зображення точного й наближеного рішень (див. додаток). Помножимо на відповідний вектор початкових умов і одержимо наближене рішення у вигляді матричного ряду, запишемо отримане рішення для n=7. [s1 ≔ 1, s2 ≔ 2, s3 ≔ 3, s4 ≔ 4]
6. Побудова загального рішення матричним методомМатричний метод рішення системи рівнянь (1) заснований на безпосереднім відшуканні фундаментальної матриці цієї системи. Експонентою eA матриці А називається сума ряду де Е - одинична матриця. Властивість матричної експоненти: а) якщо АВ=ВА, те еА+В =еА *еВ = еВ *еА ; б) якщо А=S- 1*B*S, те еА =S-1 *eB *S, де матриця S - це матриця перетворення змінних із власного базису в базис вихідних змінних. в) матриця y (t) =eAt є рішенням матричної задачі Коші: т.е. є фундаментальною матрицею системи (1). Із властивості в) треба, що рішення y (t) системи (1) задовольняючій умові y (0) =y0 , визначається вираженням y (t) =eAt *y0 . Таким чином, задача знаходження рішень системи рівнянь (1) еквівалентна задачі відшукання матриці eAt по матриці А. Для обчислення матриці eAt зручно представити матрицю А в виді:
де матриця S - це матриця перетворення змінних із власного базису в базис вихідних змінних, а BА - жорданова форма матриці А, тому що eAt = S-1 *eBt *S. Жорданова форма матриці залежить від виду характеристичних чисел. 1. Нехай характеристичні числа дійсні кратні, тоді Жорданова форма матриці розмірності nxn має вигляд:
де 2. Якщо серед корінь характеристичного полінома є, як дійсні різні, так і дійсних кратних корінь, то матриця В має вигляд:
де 3. При наявності серед корінь характеристичного полінома корінь комплексно-комплексно-сполучених Жорданова клітка виглядає в такий спосіб:
де а Тому що в нашім випадку серед характеристичних чисел присутні, як комплексно-комплексно-сполучені корінь л = 2 - ?? л = 2 +?, так і дійсний різних корінь л = - 1? л = 1, те жорданова матриця виглядає в такий спосіб:
З рівняння A* S = S* В, де S - матриця, одержуємо систему 16-го порядку, з якої знаходимо елементи матриці S. Отримана матриця S буде виглядати в такий спосіб:
Вирішуємо систему 16-го порядку з рівняння A* S = S* В
Знаходимо деякі елементи й одержуємо наступну матрицю S:
Зробимо перевірку A* S - S* В=0:
Значить матриця переходу знайдена вірно. Для знаходження вектора рішень y необхідно помножити матрицю S на
Для комплексних чисел
Для випадку корінь дійсних різних:
У нашім випадку
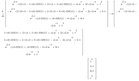
Звідси знайдемо загальне рішення в=S*
|
(1)
; 

(3)
(4)


(6)

або 







































, F (t) - вектор праві частини.
- приватне рішення неоднорідної системи




