Контрольная работа: Типовой расчет
|
Название: Типовой расчет Раздел: Рефераты по математике Тип: контрольная работа |
1. Найти сумму ряда:
Решение. Разложим знаменатель на множители.
Значит,
Разложим дробь
то есть:
Следовательно,
Тогда, исходный ряд примет вид:
Найдём n – первые членов ряда, записывая дроби с одинаковыми знаменателями друг под другом:
Сложим n – первых членов ряда и найдём их сумму.
Тогда искомая сумма равна:
Ответ: 2. Найти сумму ряда:
Решение. Разложим дробь
то есть:
Следовательно,
Тогда, исходный ряд примет вид:
Найдём n – первых членов ряда
Сложим n – первых членов ряда
и найдём их сумму.
Тогда искомая сумма равна:
Ответ: 3. Исследовать ряд на сходимость
Решение. Так как
Воспользуемся признаком Даламбера.
Тогда,
Так как Ответ: Ряд 4. Исследовать ряд на сходимость
Решение. Преобразуем n – член этого ряда.
Сравним ряд
Тогда,
Поскольку А = 1 (0<A<+∞) – действительное число. Следовательно, ряды либо сходятся, либо расходятся. Ряд Ответ: ряд 5. Исследовать ряд на сходимость
Решение. Воспользуемся признаком Даламбера.
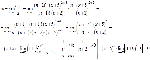
Находим m по формуле:
Тогда:
Так как Ответ: ряд 6. Исследовать ряд на сходимость
Решение. Рассмотрим ряд
Поскольку
Воспользуемся признаком Даламбера.
Находим m по формуле:
Тогда:
Так как Согласно признаку сравнения сходится и ряд Ответ: ряд 7. Вычислить сумму ряда с точностью α..
Решение. Прежде чем находить сумму ряда необходимо убедиться, что данный ряд сходится. Проверим исходный ряд на сходимость.
Воспользуемся признаком Лейбница: 1)
2)
Следовательно, ряд Проверим абсолютную сходимость ряда Воспользуемся признаком Даламбера:
Находим m по формуле:
Тогда: Следовательно, ряд
Вычисляем члены ряда с точностью до 4 цифр после запятой до тех пор, пока какой-нибудь член ряда по модулю не будет меньше α. = 0,001: а1 = -1,5 а2 = 0,1042 а3 = - 0,0016 а4 = 0,0000093 Для приближённого вычисления ряда достаточно первых трех членов ряда (по следствию признака Лейбница: сумма сходящегося знакопеременного числового ряда не превышает его первого члена). Следовательно, ошибка при вычислении не превысит 0,0000093, а, значит, и Следовательно:
Ответ: 8. Найти область сходимости функционального ряда
Решение. Рассмотрим два интервала: 1) Проверим необходимый признак сходимости рядов: Необходимый признак не выполняется. Следовательно, при 2) Проверим необходимый признак сходимости рядов:
Необходимый признак не выполняется. Следовательно, при При
то есть ряд расходится. Окончательно, получаем ряд расходится Ответ: 9. Найти область сходимости функционального ряда
Решение. Воспользуемся признаком Даламбера:
В данном примере:
Следовательно, ряд Ответ: 10. Найти сумму ряда:
Решение. Найдём область абсолютной сходимости ряда, пользуясь признаком Даламбера:
то есть При Следовательно, Перепишем данный ряд:
Обозначим сумму трёх рядов через
Определяем область сходимости этих рядов, пользуясь признаком Даламбера: 1)
то есть Следовательно, 2)
то есть Следовательно, 3)
то есть Следовательно, Найдём сумму ряда
Это сумма бесконечной геометрической прогрессии:
Найдём сумму ряда
Обозначим сумму ряда в скобках за
Продифференцируем
Отсюда:
сумму ряда
Обозначим сумму ряд в скобках за
Тогда, продифференцируем
Отсюда:
Следовательно:
Ответ: |

.
,
,
, 









расходится.
расходится.
.
, 


.
α. = 0,001.
, 


.
.


.
,
.
сходится при любом Х, т.е. 






.



.

для всех
для всех