Курсовая работа: Классификация математических моделей, используемых в экономике и менеджменте
|
Название: Классификация математических моделей, используемых в экономике и менеджменте Раздел: Рефераты по экономике Тип: курсовая работа | |||||||||||||||||||||||||||||||||||||||||||||||||||||
Курсовая работа Классификация математических моделей, используемых в экономике и менеджменте Содержание Введение 1. Математические модели в экономике и менеджменте 1.1 Классификация экономико-математических моделей 2. Оптимизационное моделирование 2.1 Линейное программирование 2.1.1 Линейное программирование как инструмент математического моделирования экономики 2.1.2 Примеры моделей линейного программирования 2.2 Динамическое программирование 2.2.1 Модель динамического программирования 2.2.2 Принцип оптимальности и уравнение Беллмана 2.2.3 Общее описание процесса моделирования и построения вычислительной схемы динамического программирования 2.2.4 Оптимальное распределение ресурсов 2.2.5 Оптимальное управление запасами 2.2.6 Задача о замене Заключение ВведениеСовременная математика характеризуется интенсивным проникновением в другие науки, во многом этот процесс происходит благодаря разделению математики на ряд самостоятельных областей. Математика стала для многих отраслей знаний не только орудием количественного расчёта, но также методом точного исследования и средством предельно чёткой формулировки понятий и проблем. Без современной математики с её развитым логическим и вычислительным аппаратом был бы не возможен прогресс в различных областях человеческой деятельности. Экономика как наука об объективных причинах функционирования и развития общества пользуется разнообразными количественными характеристиками, а поэтому вобрала в себя большое число математических методов. Актуальность данной темы состоит в том, что в современной экономике используются оптимизационные методы, которые составляют основу математического программирования, теории игр, сетевого планирования, теории массового обслуживания и других прикладных наук. Изучение экономических приложений математических дисциплин, составляющих основу актуальной экономической математики, позволяет приобрести некоторые навыки решения экономических задач и расширить знания в этой области. Целью данной работы является изучение некоторых оптимизационных методов, применяемых при решении экономической задач. 1. Математические модели в экономике и менеджментеМатематические модели в экономике. Широкое использование математических моделей является важным направлением совершенствования экономического анализа. Конкретизация данных или представление их в виде математической модели помогает выбрать наименее трудоёмкий путь решения, повышает эффективность анализа. Все экономические задачи, решаемые с применением линейного программирования отличаются альтернативностью решения и определенными ограничивающими условиями. Решить такую задачу - значит выбрать из всех допустимо возможных (альтернативных) вариантов лучший, оптимальный. Важность и ценность использования в экономике метода линейного программирования состоят в том, что оптимальный вариант выбирается из достаточно значительного количества альтернативных вариантов. Самыми существенными моментами при постановке и решении экономических задачах в виде математической модели являются: · адекватность экономико-математической модели действительности; · анализ закономерностей, соответствующих данному процессу; · определение методов, с помощью которых можно решить задачу; · анализ полученных результатов или подведение итога. Под экономическим анализом понимается прежде всего факторный анализ. Пусть y=f(xi ) - некоторая функция, характеризующая изменение показателя или процесса; x1 ,x2 ,…,xn - факторы, от которых зависит функция y=f(xi ). Задана функциональная детерминированная связь показателя y с набором факторов . Пусть показатель y изменился за анализируемый период. Требуется определить, какой частью численное приращение функции y=f(x1 ,x2 ,…,xn ) обязано приращению каждого фактора. Можно выделить в экономическом анализе - анализ влияния производительности труда и численности работающих на объем произведенной продукции; анализ влияния величины прибыли основных производственных фондов и нормируемых оборотных средств на уровень рентабельности; анализ влияния заемных средств на маневренность и независимость предприятия и т. п.. В экономическом анализе, кроме задач, сводящихся к разбиению его на составляющие части, существует группа задач, где требуется функционально увязать ряд экономических характеристик, т.е. построить функцию, содержащую в себе основное качество всех рассматриваемых экономических показателей. В этом случае ставится обратная задача- так называемая задача обратного факторного анализа. Пусть имеется набор показателей x1 ,x2 ,…,xn , характеризующих некоторый экономический процесс F. Каждый из показателей характеризует этот процесс. Требуется построить функцию f(xi ) изменения процесса F, содержащую основные характеристики всех показателей x1 ,x2 ,…,xn Главный момент в экономическом анализе - определение критерия, по которому будут сравниваться различные варианты решения. Математические модели в менеджменте. Во всех сферах человеческой деятельности большую роль играет принятие решений. Для постановки задачи принятия решения необходимо выполнить два условия: · наличие выбора; · выбор варианта по определенному принципу. Известны два принципа выбора решения: волевой и критериальный. Волевой выбор, наиболее часто используемый, применяют при отсутствии формализованных моделей как единственно возможный. Критериальный выбор заключается в принятии некоторого критерия и сравнении возможных вариантов по этому критерию, Вариант, для которого принятый критерий принимает наилучшее решение, называют оптимальным, а задачу принятия наилучшего решения – задачей оптимизации. Критерий оптимизации называют целевой функцией. Любую задачу, решение которой сводится к нахождению максимума или минимума целевой функции, называют экстремальной задачей. Задачи менеджмента связаны с нахождением условного экстремума целевой функции при известных ограничениях, накладываемых на ее переменные. В качестве целевой функции при решении различных оптимизационных задач принимают количество или стоимость выпускаемой продукции, затрат на производство, сумму прибыли и т.п. Ограничения обычно касаются людских материальных, денежных ресурсов. Оптимизационные задачи менеджмента, различные по своему содержанию и реализуемые с использованием стандартных программных продуктов, соответствуют тому или иному классу экономико-математических моделей. Рассмотрим классификацию некоторых основных задач оптимизации, реализуемых менеджментом на производстве. Классификация задач оптимизации по функции управления:
Сочетание различных элементов модели приводит к различным классам задач оптимизации:
1.1Классификация экономико-математических моделейСуществует значительное разнообразие видов, типов экономико-математических моделей, необходимых для использования в управлении экономическими объектами и процессами. Экономико-математические модели подразделяются на макроэкономические и микроэкономические в зависимости от уровня моделируемого объекта управления, динамические, которые характеризуют изменения объекта управления во времени, и статические, которые описывают взаимосвязи между разными параметрами, показателями объекта именно в то время. Дискретные модели отображают состояние объекта управления в отдельные, фиксированные моменты времени. Имитационными называют экономико-математические модели, используемые с целью имитации управляемых экономических объектов и процессов с применением средств информационной и вычислительной техники. По типу математического аппарата, применяемого в моделях, выделяются экономико-статистические, модели линейного и нелинейного программирования, матричные модели, сетевые модели. Факторные модели. В группу экономико-математических факторных моделей входят модели, которые с одной стороны включают экономические факторы, от которых зависит состояние управляемого экономического объекта, а с другой – зависимые от этих факторов параметры состояния объекта. Если факторы известны, то модель позволяет определить искомые параметры. Факторные модели чаще всего предоставлены простыми в математическом отношении линейными или статическими функциями, которые характеризуют связь между факторами и зависимыми от них параметрами экономического объекта. Балансовые модели. Балансовые модели как статистические, так и динамические широко применяются в экономико-математическом моделировании. В основе создания этих моделей лежит балансовый метод – метод взаимного сопоставления материальных, трудовых и финансовых ресурсов и потребностей в них. Описывая экономическую систему в целом, под её балансовой моделью понимают систему уравнений, каждое из которых выражает потребность баланса между изготовленными отдельными экономическими объектами количества продукции и совокупной потребностью в этой продукции. При таком подходе экономическая система состоит из экономических объектов, каждый из которых выпускает некоторый продукт. Если вместо понятия «продукт» ввести понятие «ресурс», то под балансовой моделью необходимо понимать систему уравнений, которые удовлетворяют требования между определенным ресурсом и его использованием. Наиболее важные виды балансовых моделей: · Материальные, трудовые и финансовые балансы для экономики в целом и отдельных ее отраслей; · Межотраслевые балансы; · Матричные балансы предприятий и фирм. Оптимизационные модели. Большой класс экономико-математических моделей образуют оптимизационные модели, которые позволяют выбрать из всех решений наилучший оптимальный вариант. В математическом содержании оптимальность понимается как достижение экстремума критерия оптимальности, называемой также целевой функцией. Оптимизационные модели чаще всего используются в задачах нахождения лучшего способа использования экономических ресурсов, что позволяет достичь максимального целевого эффекта. Математическое программирование образовалось на основе решения задачи про оптимальный раскрой листов фанеры, что обеспечивает наиболее полное использование материала. Поставив такую задачу, известный российский математик и экономист академик Л.В.Канторович был признан достойным Нобелевской премии в экономике. 2. Оптимизационное моделирование2.1 Линейное программирование2.1.1 Линейное программирование как инструмент математического моделирования экономикиИсследование свойств общей системы линейных неравенств ведется с XIX в., а первая оптимизационная задача с линейной целевой функцией и линейными ограничениями была сформулирована в З0-е годы XX в. Одним из первых зарубежных ученых, заложивших основы линейного программирования, является Джон фон Нейман, широко известный математик и физик, доказавший основную теорему о матричных играх. Среди отечественных ученых большой вклад в теорию линейной оптимизации внесли лауреат Нобелевской премии Л.В. Канторович, Н.Н. Моисеев, Е.Г. Гольштейн, Д.Б. Юдин и многие другие. Линейное программирование традиционно считается одним из разделов исследования операций, который изучает методы нахождения условного экстремума функций многих переменных. В классическом математическом анализе исследуется общая постановка задачи определения условного экстремума, однако в связи с развитием промышленного производства, транспорта, агропромышленного комплекса, банковского сектора традиционных результатов математического анализа оказалось недостаточно. Потребности практики и развитие вычислительной техники привели к необходимости определения оптимальных решений при анализе сложных экономических систем. Главным инструментом для решения таких задач является математическое моделирование, т.е. формализованное описание изучаемого процесса и исследование его с помощью математического аппарата. Искусство математического моделирования состоит в том, чтобы учесть как можно более широкий спектр факторов, влияющих на поведение объекта, используя при этом по возможности несложные соотношения. Именно в связи с этим процесс моделирования часто носит многоэтапный характер. Сначала строится относительно простая модель, затем проводится ее исследование, позволяющее понять, какие из интегрирующих свойств объекта не улавливаются данной формальной схемой, после чего за счет усложнения модели обеспечивается большая ее адекватность реальности. При этом во многих случаях первым приближением к действительности является модель, в которой все зависимости между переменными, характеризующими состояние объекта, являются линейными. Практика показывает, что значительное количество экономических процессов достаточно полно описывается линейными моделями, а следовательно, линейное программирование как аппарат, позволяющий отыскивать условный экстремум на множестве, заданном линейными уравнениями и неравенствами, играет важную роль при анализе этих процессов. 2.1.2 Примеры моделей линейного программированияНиже будут рассмотрены несколько ситуаций, исследование которых возможно с применением средств линейного программирования. Так как основным показателем в этих ситуациях является экономический— стоимость, то соответствующие модели являются экономико-математическими. Задача о раскрое материалов. На обработку поступает материал одного образца в количестве в единиц. Требуется изготовить из него к разных комплектующих изделий в количествах, пропорциональных числам а1 ,..., ак . Каждая единица материала может быть раскроена n различными способами, при этом использование i-го способа (i=1,…,n) дает bij, единиц j-го изделия (j = 1,...,k). Требуется найти план раскроя, обеспечивающий максимальное число комплектов. Экономико-математическая модель этой задачи может быть сформулирована следующим образом. Обозначим xi — число единиц материалов, раскраиваемых i-м способом, и x — число изготавливаемых комплектов изделий. Учитывая, что общее количество материала равно сумме его единиц, раскраиваемых различными способами, получим:
Условие комплектности выразится уравнениями:
Очевидно, что xi
Целью является определить такое решение Х= (x1 ,…,xn ), удовлетворяющее ограничениям (1)-(3), при котором функция F = x принимает максимальное значение. Проиллюстрируем рассмотренную задачу следующим примером Для изготовления брусьев длиной 1,5 м, 3 м и 5 м в соотношении 2:1:3 на распил поступают 200 бревен длиной 6 м. Определить план распила, обеспечивающий максимальное число комплектов. Чтобы сформулировать соответствующую оптимизационную задачу линейного программирования, определим все возможные способы распила бревен, указав соответствующее число получаемых при этом брусьев (табл. 1). Таблица 1
Обозначим через xi — число бревен, распиленных i-м способом (i = 1.2, 3, 4); х —число комплектов брусьев. С учетом того, что все бревна должны быть распилены, а число брусьев каждого размера должно удовлетворять условию комплектности, оптимизационная экономико-математическая модель примет следующий вид х → max при ограничениях: x1 +x2 +x3 +x4 =200 4x1 +2x2 =2x x2 +2x3 =x x4 =2x xi
Задача выбора оптимальной производственной программы предприятия. Пусть предприятие может выпускать n различных видов продукции. Для выпуска этих видов продукции предприятие использует М видов материально-сырьевых ресурсов и N видов оборудования. Необходимо определить объемы производства предприятия (т.е. его производственную программу) на заданном интервале планирования [0, Т], чтобы максимизировать валовую прибыль предприятия. Далее будем полагать, что валовая прибыль есть выручка, полученная от реализации продукции за вычетом условно-постоянных и переменных затрат. Иными словами, необходимо максимизировать целевую функцию вида:
где ai — цена реализации продукции вида i; bi — переменные затраты на выпуск одной единицы продукции вида i; Zp — условно постоянные затраты, которые будем предполагать независимыми от вектора х = (x1 ,..., xn ). При этом должны быть выполнены ограничения на объемы используемых материально-сырьевых ресурсов и время использования оборудования на интервале [0,T]. Обозначим через Lj(j = l,...,M) объем запасов материально-сырьевых ресурсов вида j, а через τk (k = 1,..., N) — время, в течение которого может быть использовано оборудование вида k. Известно потребление материально-сырьевых ресурсов вида j на выпуск одной единицы продукции вида i, которое обозначим через lij (i = 1,..., n; j = 1,...,М). Известно также tik — время загрузки одной единицы оборудования вида k изготовления одной единицы продукции вида i (i = 1,..., n; k = 1,..., N). Через mk обозначим количество единиц оборудования вида k (k=l,...,N). При введенных обозначениях ограничения на объем потребляемых материально-сырьевых ресурсов могут быть заданы таким образом:
Ограничения на производственные мощности задаются следующими неравенствами
Кроме того, переменные xi ≥0 i=1,…,n (7) Таким образом, задача выбора производственной программы, максимизирующей прибыль, заключается в выборе такого плана выпуск х = (х1 ...,хn ), который удовлетворял бы ограничениям (5)-(7) и максимизировал бы функцию (4). В некоторых случаях предприятие должно поставить заранее оговоренные объемы продукции Vt другим хозяйствующим субъектам и тогда в рассматриваемой модели вместо ограничения (1.7) может быть включено ограничение вида: xt > Vt i= 1, ...,n. Задача о диете. Рассмотрим задачу составления душевого рациона питания минимальной стоимости, которое бы содержало определенные питательные вещества в необходимых объемах. Будем предполагать, что имеется известный перечень продуктов из n наименований (хлеб, сахар, масло, молоко, мясо и т.д.), которые мы будем обозначать буквами F1
,...,Fn
. Кроме того, рассматриваются такие характеристики продуктов (питательные вещества), как белки, жиры, витамины, минеральные вещества и другие. Обозначим эти компоненты буквами N1
,...,Nm
. Предположим, что для каждого продукта Fi
известно (i = 1,...,n) количественное содержание в одной единице продукта указанных выше компонент. В этом случае можно составить таблицу, содержащую характеристику продуктов: F1 ,F2 ,…Fj …Fn _____________ N1 a11 a12 …a1j …a1N N2 a21 a22 …a2j …a2N Ni ai1 ai2 …aij …aiN Nm am1 am2 …amj …amN Элементы этой таблицы образуют матрицу, имеющую m строк и n столбцов. Обозначим ее через A и назовем матрицей питательности. Предположим, что мы составили рацион х = (х1 ,x2 ,...,хn ) на некоторый период (например, месяц). Иными словами, мы планируем каждому человеку на месяц х, единиц (килограммов) продукта F1 ,x2 единиц продукта F2 и т.д. Нетрудно вычислить, какое количество витаминов, жиров, белков и прочих питательных веществ получит человек за этот период. Например, компонента N1 присутствует в этом рационе в количестве a11 x1 + a12 x2+…+ a1n xn поскольку согласно условию в x1 единицах продукта F1 согласно матрице питательности содержится a11 x1 единиц компоненты N1 ; к этому количеству добавляется порция а12 x2 вещества N1 из х2 единиц продукта F2 и т.д. Аналогично можно определить и количество всех остальных веществ Ni в составляемом рационе (х1 ,..., хn ). Допустим, что имеются определенные физиологические требования, касающиеся необходимого количества питательных веществ в Ni
(i/ = 1,..., N) в планируемый срок. Пусть эти требования заданы вектором b = (b1
...,bn
), i-я компонента которого bi
указывает минимально необходимое содержание компонента Ni
в рационе. Это означает, что коэффициенты xi
вектора х должны удовлетворять следующей системе ограничений: a11 x1 + a12 x2+…+ a1n xn ≥b1 a21 x1 + a22 x2+…+ a2n xn ≥b2 (8) am1 x1 + am2 x2+…+ amn xn ≥bm Кроме того, из содержательного смысла задачи очевидно, что все переменные х1 ,...,хn неотрицательны и поэтому к ограничениям (8) добавляются еще неравенства x1 ≥0; x2 ≥0;… xn ≥0; (9) Учитывая, что в большинстве случаев ограничениям (8) и (9) удовлетворяет бесконечно много рационов, выберем тот из них, стоимость которого минимальна. Пусть цены на продукты F1 ,...,Fn равны соответственно с1 ,…,cn Следовательно, стоимость всего рациона х = (х1 ..., хn ) может быть записана в виде c1 x1 + c2 x2 +…+ cn xn →min (10) Окончательно формулировка задачи о диете заключается в том, чтобы среди всех векторов х = (x1 ,...,хn ) удовлетворяющих ограничениям (8) и (9) выбрать такой, для которого целевая функция (10) принимает минимальное значение. Транспортная задача. Имеется m пунктов S1 ,..., Sm производства однородного продукта (угля, цемента, нефти и т.п.), при этом объем производства в пункте Si равен ai единиц. Произведенный продукт потребляется в пунктах Q1 ...Qn и потребность в нем в пункте Qj составляет kj единиц (j = 1,...,n). Требуется составить план перевозок из пунктов Si (i = 1,...,m) в пункты Qj (j = 1,..., n), чтобы удовлетворить потребности в продукте bj , минимизировав транспортные расходы. Пусть стоимость перевозок одной единицы продукта из пункта Si в пункт Qi равна cij . Будем далее предполагать, что при перевозке хij единиц продукта из Si в Qj транспортные расходы равны cij xij. Назовем планом перевозок набор чисел хij ci = 1,..., m; j = 1,..., n, удовлетворяющий ограничениям:
xij ≥0, i=1,2,…,m; j=1,…,n (11) Содержательный смысл уравнений (11) состоит в том, что из пункта Si
при плане хij
вывозится во все пункты Qj
объем При плане перевозок (хij ) транспортные расходы составят величину
Окончательное формирование транспортной задачи таково: среди всех наборов чисел (хij ), удовлетворяющих ограничениям (11), найти набор, минимизирующий (12). 2.2 Динамическое программирование2.2.1 Модель динамического программированияДинамическое программирование – метод оптимизации, приспособленный к операциям, в которых процесс принятия решений может быть разбит на отдельные этапы (шаги). Такие операции называют многошаговыми. В основе метода динамического программирования лежит принцип оптимальности, сформулированный Беллманом. Этот принцип и идея включения конкретной задачи оптимизации в семейство аналогичных многошаговых задач приводят к рекуррентным соотношениям – функциональным уравнениям – относительно оптимального значения целевой функции. Их решение позволяет последовательно получить оптимальное управление для исходной задачи оптимизации.
Дадим общее описание модели динамического программирования. Рассматривается управляемая система, которая под влиянием управления переходит из начального состояния Состояние где Предполагаем впредь, что состояние системы в конце k-го шага зависит только от предшествующего состояния системы
Равенства (1.1) получили название уравнений состояний. Функции Варьируя управления U, получим различную «эффективность» процесса, которую будем оценивать количественно целевой функцией Z, зависящей от начального состояния системы
Показатель эффективности k-го шага процесса управления, который зависит от состояния
Обычно условиями процесса на управление на каждом шаге Задачу пошаговой оптимизации можно сформулировать так: определить совокупность допустимых управлений Для единообразия формулировок (но не вычислительных процедур!) в дальнейшем будем говорить только о задаче максимизации, имея в виду, что если необходимо минимизировать Z, то заменив Z на Z’=-Z перейдем к максимизации Z’. Начальное состояние Если переменные управления ДП применяется при оптимизации как детерминированных, так и стохастических процессов. В некоторых задачах, решаемых методом ДП, процесс управления естественно разбивается на шаги. Например, при распределении на несколько лет ресурсов деятельности предприятия шагом естественно считать временной период; при распределении средств между n предприятиями номером шага естественно шага номер очередного предприятия. В других задачах разбиение на шаги вводится искусственно. Например, непрерывный управляемый процесс можно рассматривать как дискретный, условно разбив его на некоторые временные отрезки – шаги. Исходя из условий каждой конкретной задачи, длину шага выбирают таким образом, чтобы на каждом шаге получить простую задачу оптимизации и обеспечить требуемую точность вычислений. 2.2.2 Принцип оптимальности и уравнение БеллманаМетод динамического программирования состоит в том, что оптимальное управление строится постепенно, шаг за шагом. На каждом шаге оптимизируется управление только этого шага. Вместе с тем на каждом шаге управление выбирается с учетом последствий, так как управление, оптимизирующее целевую функцию только для данного шага, может привести к неоптимальному эффекту всего процесса. Управление на каждом шаге должно быть оптимальным с точки зрения процесса в целом. Иллюстрацией к сказанному выше может служить задача о выборе кратчайшего пути для перехода их точки A в точку В, если маршрут должен пройти через некоторые пункты. На рис. 2 эти пункты обозначены кружками, а соединяющие их дороги – отрезками, рядом с которыми проставлены соответствующие расстояния. С точки зрения интересов оптимизации только каждого ближайшего шага – выбора кратчайшего пути из данной точки в соседнюю – следует двигаться по маршруту, проходящему через точки А, А1 , А3 , А2 , А4 , В. Длина этого маршрута равна 34. Такой путь из А в В не является кратчайшим. Например, маршрут, проходящий через точки А, А3 , А4 , В имеет меньшую длину, равную 25. Решив эту задачу, мы убедимся, что второй путь также не является оптимальным.
Приведенный пример многошаговой операции показывает, что управление в каждом шаге надо выбирать с учетом его последствий на предстоящих шагах. Это основное правило ДП, сформулированное Р. Беллманом называется принципом оптимальности. Оптимальное управление обладает таким свойством, что каково бы ни было начальное состояние на любом шаге и управление, выбранное на этом шаге, последующие управления должны выбираться оптимальными относительно состояния, к которому придет система в конце данного шага. Использование этого принципа гарантирует, что управление, выбранное на любом шаге, является не локально лучшим, а лучшим с точки зрения процесса в целом. Так, если система в начале k-го шага находится в состоянии
Назовем величину
Получившего название основного функционального уравнения ДП, или уравнения Беллмана. Из уравнения (5) может быть получена функция
Соотношения (5) для определения последовательности функций Решая уравнения (2.2) для определения условного максимума показателя эффективности за n-k+1 шагов, начиная с k-го шага, определяем соответствующее оптимальное управление Основное значение уравнения (2.2, в котором реализована идея динамического программирования, заключается в том, что решение исходной задачи определения максимума функции (1.2) n переменных 2.2.3 Общее описание процесса моделирования и построения вычислительной схемы динамического программированияОбщая задача оптимизации, чтобы ее можно было описать моделью ДП должна удовлетворять следующим условиям : 1.Задача может интерпретироваться как n-шаговый процесс управления, а показатель эффективности процесса может быть представлен в аддитивной форме, т.е. как сумма показателей эффективности на каждом шаге. 2.Структура задачи инвариантна относительно числа шагов п, т. е. должна быть определена для любого nи не зависеть от этого числа. 3.На каждом шаге состояние системы определяется конечным числом s параметров состояния и управляется конечным числом rпеременных управления, причем sи rне зависят от числа шагов п. 4.Выбор управления на k-м шаге не влияет на предшествующие шаги, а состояние в начале этого шага есть функция только предшествующего состояния и выбранного на нем управления (отсутствие последействия). Построение модели ДП сводится к следующим основным моментам: 1) выбирают способ деления процесса на шаги; 2) вводят параметры состояния 3) записывают уравнение состояния
4) вводят показатели эффективности на k-м шаге
5) вводят в рассмотрение условные максимумы 6) из ограничений задачи определяют для каждого шага множества Dk допустимых управлений на этом шаге; 7) записывают основные для вычислительной схемы ДП функциональные уравнения Беллмана
Несмотря на единообразие в общем построении модели ДП, приведенном выше, вычислительная схема строится в зависимости от размерности задачи, характера модели (дискретной или непрерывной), вида функций (3.1), (3.2) и других характеристик модели. При всем разнообразии вычислительных схем ДП можно отметить в них некоторые общие черты. 1. Решение уравнений (3.3) проводят последовательно, начиная с (3.4). Этот этап получил название условной оптимизации. 2. В результате последовательного решения п частных задач на условный максимум определяют две последовательности функций: 3. Указанные последовательности функций в дискретных задачах получают в табличной форме, а в непрерывных моделях их можно получить аналитически. 4. После выполнения первого этапа (условной оптимизации) приступают ко второму этапу — безусловной оптимизации. а) Если начальное состояние
а затем — искомое безусловное оптимальное управление по цепочке
В этой цепочке переход, указанный сплошной линией, проводят по последовательности б) Если задано множество
откуда находят Иногда на этапе условной оптимизации вычислительный процесс удобно строить в направлении, обратном описанному выше, т. е. от 1-го шага к л-му. Этот способ получил название прямого хода вычислений в отличие от вышеизложенного, который называется обратным ходом. Уравнения состояний для прямого хода удобно записывать в виде
Они могут быть получены решением уравнений (1.1) относительно
В результате решения этих уравнений получим последовательности
Этап безусловной оптимизации не отличается принципиально от аналогичного этапа в обратном ходе вычислений:
если указано множество
2.2.4 Оптимальное распределение ресурсовКласс задач, рассматриваемый в данной главе, имеет многочисленные практические приложения. В общем виде эти задачи могут быть описаны следующим образом. Имеется некоторое количество ресурсов, под которыми можно понимать денежные средства, материальные ресурсы (например, сырье, полуфабрикаты, трудовые ресурсы, различные виды оборудования и т. п.). Эти ресурсы необходимо распределить между различными объектами их использования по отдельным промежуткам планового периода или по различным промежутками по различным объектам так, чтобы получить максимальную суммарную эффективность от выбранного способа распределения. Показателем эффективности может служить, например, прибыль, товарная продукция, фондоотдача (задачи максимизации) или суммарные затраты, себестоимость, время выполнения данного объема работ и т. п. (задачи минимизации). Вообще говоря, подавляющее число задач математического программирования вписывается в общую постановку задачи оптимального распределения ресурсов. Естественно, что при рассмотрении моделей и вычислительных схем решения подобных задач методом ДП необходимо конкретизировать общую форму задачи распределения ресурсов. В дальнейшем будем предполагать, что условия, необходимые для построения модели ДП, в задаче выполняются. Опишем типичную задачу распределения ресурсов в общем виде. Задача 1. Имеется начальное количество средств Требуется определить такой способ распределения ресурсов (количество средств, выделяемых каждому предприятию в каждом плановом году), чтобы суммарный доход от sпредприятий за п лет был максимальным. Следовательно, в качестве показателя эффективности процесса распределения ресурсов за п лет принимается суммарный доход, полученный от s предприятий:
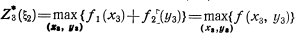
Количество ресурсов в начале k-го года будем характеризовать величиной Если предположить, что доход в дальнейшем распределении не участвует, то уравнение состояния процесса имеет вид
Если же некоторая часть дохода участвует в дальнейшем распределении в каком-нибудь году, то к правой части равенства (4.2) прибавляется соответствующая величина. Требуется определить nsнеотрицательных переменных Вычислительная процедура ДП начинается с введения функции
При k=n согласно (2.2) получаем
Далее необходимо последовательно решить уравнения (4.4) и (4.3) для всех возможных
и будем пользоваться одним параметром В течение k-го года состояние Задача 2. Планируется деятельность двух предприятий (s=2) в течение п лет. Начальные средства составляют Требуется найти оптимальный способ распределения имеющихся средств. Будем рассматривать процесс распределения средств как n-шаговый, в котором номер шага соответствует номеру года. Управляемая система — два предприятия с вложенными в них средствами. Система характеризуется одним параметром состояния Показатель эффективности k-гoшага равен Показатель эффективности задачи — доход, полученный от двух предприятий в течение п лет — составляет
Уравнение состояния выражает остаток средств
Пусть
где При дискретном вложении ресурсов может возникнуть вопрос о выборе шага Δх в изменении переменных управления. Этот шаг может быть задан или определяется исходя из требуемой точности вычислений и точности исходных данных. В общем случае эта задача сложна, требует интерполирования по таблицам Рассмотрим двумерную задачу, аналогичную предыдущей, в которой строится дискретная модель ДП процесса распределения ресурсов. Задача 3. Составить оптимальный план ежегодного распределения средств между двумя предприятиями в течение трехлетнего планового периода при следующихусловиях: 1) начальная сумма составляет 400; 2) вложенные средства в размере х приносят на предприятии I доход f1 (x)и возвращаются в размере 60% от х, а на предприятии II — соответственно f2(x) и 20%; 3) ежегодно распределяются все наличные средства, получаемые из возвращенных средств: 4) функции f1 (x)и f2(x)заданы в табл. 1:
Модель динамического программирования данной задачи аналогична модели, составленной в задаче 1. Процесс управления является трехшаговым. Параметр
А функциональные уравнения в виде
Попытаемся определить максимально возможные значения, для которых необходимо проводить табулирование на k-м шаге (k=l, 2, 3). При
Это облегчит дальнейшие расчеты. Так как Проведем условную оптимизацию по обычной схеме. 3-й шаг. Основное уравнение (4.9)
Как указывалось выше, Оптимизация 2-го шага проведена в табл. 5 согласно уравнению вида (4.10):
При этом может быть получен максимальный доход, равный Zmax=99,l. Прямой подсчет дохода по табл. 2 для найденного оптимального управления дает 97,2. Расхождение в результатах на 1,9 (около 2%) объясняется ошибкой линейной интерполяции. Мы рассмотрели несколько вариантов задачи оптимального распределения ресурсов. Существуют другие варианты этой задачи, особенности которых учитываются соответствующей динамической моделью. 2.2.5 Оптимальное управление запасамиКласс задач, в которых рассматривается оптимальное управление Запасами, является наиболее характерным для динамического программирования. Это обусловлено тем, что в задачах управления запасами процесс естественно разворачивается во времени, причем управление как раз и заключается в том, что решение на данном промежутке времени принимается с учетом того состояния, к которому пришла система за предшествующие периоды времени. Кроме того, эти задачи связаны, как правило, с дискретным характером переменных и, следовательно, решаются довольно сложно другими методами. Наконец, весьма важным обстоятельством является то, что форма зависимостей задачи для каждого периода времени является довольно простой (часто — линейной), что облегчает решение частной задачи оптимизации на каждом шаге, в то время как единовременное решение общей задачи с большим числом переменных (для многих промежутков времени и кусочно-линейной или нелинейной целевой функцией для всего процесса) является достаточно сложным. Проблема управления запасами является одной из важнейших областей практического приложения экономико-математических методов, в том числе методов математического программирования. Мы ограничимся анализом некоторых простейших задач с целью иллюстрации их решения методами динамического программирования. При формулировке задач управления запасами используют такие понятия. Запасы — это любые денежные или материальные ценности, которые периодически пополняются (производятся, доставляются и т. д.) и некоторое время сохраняются с целью расходования их в последующие промежутки времени. Уровень запасов в любой момент времени определяется начальным уровнем запасов плюс пополнение и минус расход за промежуток времени от начального момента до данного. Управление запасами в общем случае состоит в воздействии на соотношение между двумя основными факторами— пополнением и расходом. Цель управления — оптимизация некоторого критерия, зависящего от расходов на хранение запасов, стоимости поставок, затрат, связанных с пополнением, штрафов и т. д. В такой общей постановке подобные задачи могут иметь самое разнообразное практическое применение. Например, под запасами можно понимать продукцию предприятия, которая производится непрерывно (пополнение) и отгружается потребителям определенными дискретными партиями (расход). При этом спрос на продукцию предполагается наперед заданным (детерминированный спрос) или подверженным случайным колебаниям (стохастическая задача). Управление запасами состоит в определении, размеров необходимого выпуска продукции для удовлетворения заданного спроса. Цель — минимизация суммарных затрат на хранение и пополнение запасов. Под запасами можно понимать запасы сырья или других материалов, поставляемых дискретными партиями (пополнение) и должных обеспечить непрерывное потребление в процессе производства (расход). Критерием оптимальности могут служить суммарные затраты на хранение запасов, замораживание оборотных средств и поставки запасов. Запасами могут быть товары, поставляемые в магазин определенными партиями и предназначенные для удовлетворения непрерывного, но подверженного случайным колебаниям покупательского спроса. Критерий оптимальности — суммарные затраты на поставки, хранение запасов и изменение производственного ритма в связи с вариациями спроса. Запасами могут быть и сезонные товары, сохраняющиеся на складе ограниченной емкости. Товары можно покупать и продавать в различных количествах по ценам, меняющимся во времени. Задача состоит в определении политики покупок и продаж, обеспечивающих максимум суммарной прибыли, и является примером задачи складирования. Число таких примеров можно было бы умножить. Однако в настоящем параграфе мы рассмотрим лишь некоторые простейшие динамические модели задач управления запасами. Если в задаче исходные данные определены однозначно, то задачи называются детерминированными; если же хотя бы часть данных носит случайный характер и заданы распределения вероятностей, то соответствующие задачи называются стохастическими. В этой главе мы ограничимся примерами детерминированных задач управления запасами. Рассмотрим модель задачи управления запасами при заданном расходе. Управление в этих задачах будет сводиться к пополнению. Задача 1. Планируемый период разделен на nпромежутков времени (дни, месяцы, кварталы и т. д.), в которых задан расход dk (k=l, 2, ..., п), производимый в конце каждого из промежутков. Известны начальный уровень запасов и зависимость суммарных затрат на хранение и пополнение запасов в данном периоде от среднего уровня хранимых запасов и их пополнения. Требуется определить размеры пополнения запасов в каждом промежутке времени для удовлетворения заданного расхода из условия минимизации суммарных затрат за весь планируемый период времени. Составим математическую модель задачи. Обозначим размер пополнения запасов в k-м промежутке времени через xk
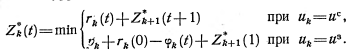
, а уровень запасов в начале этого промежутка (после произведенного расхода) — через
Следовательно, затраты в k-м промежутке можно рассматривать как функцию Целевая функция задачи — суммарные затраты — запишется в виде
Требуется определить переменные xk
, которые связаны с переменными
выражающими уровень запаса в начале (k+1)-гoпромежутка через сумму уровня запасов в начале k-гoпромежутка Ставится задача — найти совокупность п переменных xk , удовлетворяющих ограничениям (5.3) — (5.5) и минимизирующих функцию (5.2). Подобные задачи при большом числе переменных и нелинейности функций Дадим описание динамической модели задачи. Будем рассматривать n-шаговый процесс оптимизации с параметрами состояния В задачах управления запасами чаще всего возникает именно такая ситуация, поэтому продемонстрируем построение прямой схемы вычислений. Обозначим через Начинаем с условной оптимизации 1-го шага в предположении, что к концу этого шага система окажется в состоянии
На k-м шаге получим соответственно
В соответствии с формой рекуррентных соотношений удобно и уравнение состояния (5.3) записать в виде
При решении локальных задач в соответствии с уравнениями (5.6) и (5.7) будем считать, что состояние
Функцию затрат также удобно привести к зависимости от состояния в конце шага, используя уравнение (5.8):
Выполнив условную оптимизацию, получим последовательно
Далее (безусловная оптимизация), находим Zmax
=
Данная задача является примером общего случая, когда функции Если Модель задачи с вогнутыми функциями затрат на производство и хранение называется динамической моделью экономически выгодного размера партии . Вогнутость функции производственных затрат встречается, например, в случае, если выпуск продукции связан с затратами на дополнительную операцию, переналадку оборудования или освоение нового оборудования. После этой подготовительной стадии процесса производства (больших единовременных затрат) выпуску каждой дополнительной единицы продукции соответствуют не меняющиеся пропорциональные затраты. Другим примером может служить модель задачи пополнения запасов у внешнего поставщика, который нередко делает скидки в зависимости от размера закупаемой партии, назначает ступенчатые цены. Например, функция
является вогнутой, так как коэффициент при xh убывает с ростом xh Известно, что глобальный минимум вогнутой функции достигается по крайней мере в одной из угловых точек области. В рассмотренном выше случае область задана системой п линейных уравнений (5.3). и условиями неотрицательности (5.4) и (5.5). Угловым точкам области соответствуют опорные решения системы (5.3); в каждом из которых не более чем п переменных xk
и Из уравнения состояния (5.8) получим
При проведении условной оптимизации на k-м шаге согласно уравнению (5.7) достаточно сравнить и выбрать наименьшее из двух значений в указанных двух точках, которые принимает выражение, содержащееся в фигурных скобках:
Для 1-го шага (k=1) имеем
Оптимальное управление пополнением запасов xk
на любом k-м шаге имеет следующий вид:
Задача 2. Определить оптимальное пополнение запасов в течение четырех периодов при следующих условиях:
Задача носит дискретный характер. Для упрощения, поскольку расход и пополнение кратны 50, расчеты будем вести в целых партиях. Таким образом, d1
= 3, d2
=l, d3
= 2, d4
= 2, переменные xh
и параметры Для 1-го шага имеем единственное значение
Прежде чем перейти к табулированию, определим предельные значения для параметров состояния. Так как В заключение настоящей главы рассмотрим тип задач, названных выше задачами складирования. Особенностью этих задач является наличие двух переменных управления (двумерная модель). Однако решение этих задач значительно упрощается благодаря линейности целевой функции. Задача 3. Емкость склада по хранению запасов ограничена некоторой величиной с. В каждом из п промежутков времени запасы могут пополняться с затратами Уточним постановку задачи. Возможны три варианта в очередности пополнения и расходования запасов в каждом из промежутков времени: I вариант — пополнение предшествует расходу; II вариант — расход предшествует пополнению и III вариант — очередность любая. В III варианте выбор оптимальной стратегии означает не только определение размера пополнения и расхода, но и выбор оптимальной очередности в каждом из промежутков времени. Указанные варианты условия отразятся на форме ограничений модели задачи. Составим динамическую модель задачи. Рассмотрим n-шаговый процесс, понимая под k-м шагом промежуток времени, в котором принимается решение о пополнении или расходовании запасов (k = 1, 2,..., п). В качестве параметров состояния
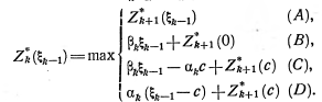
Будем решать задачу с помощью обратной вычислительной схемы, т. е. используя рекуррентные соотношения в виде
Переменные задачи должны удовлетворять условиям неотрицательности:
и дополнительным ограничениям для всех k, зависящих от варианта постановки задачи:
III вариант: или (5.15), или (5.15'). Первые неравенства в (5.15) и (5.15') диктуются ограниченной емкостью склада, вторые — условием, согласно которому расход не может превышать наличные запасы. Для III варианта альтернативные условия означают, что если будет принято решение сначала пополнить запасы, а затем их расходовать, то должны выполняться условия (5.15); если же будет принят противоположный порядок, то должны выполняться условия (5.15'). Решение задач условной максимизации по двум переменным согласно рекуррентным соотношениям (5.12) и (5.13) в общем случае представляет собой сложную задачу, однако линейность функций
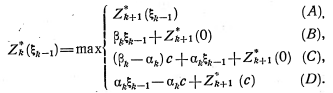
максимумы которых определяются на каждом шаге, а также ограничений, налагаемых на переменные, позволяет значительно упростить решение всех этих частных задач. Рассмотрим подробнее решение задачи в I варианте постановки. Ограничения (5.14) и (5.15) определяют при данном значении параметра При этом для последнего (n-го) шага можно ограничиться выбором из двух альтернатив, так как значение Итак, для n-го шага получаем
Для выполнения оптимизации на последующих шагах предварительно найдем из уравнения (5.11) значение
При выполнении практических расчетов оказывается достаточным не табулировать функции В случае II варианта исходной постановки задачи получим область, изображенную на рис. 7. В новой области изменятся лишь координаты вершины С; находим
Наконец, при III варианте постановки задачи на каждом шаге мы должны выбрать наибольшее число по формулам (3.12'), (3.13') и сравнить его с наибольшим числом, найденным по формулам (3.12"), (3.13"). Сопоставив полученные таким образом два значения Поскольку выражение (3.12") содержится среди альтернатив выбора по формуле (3.12'), для k-го шага достаточно производить выбор только по соотношению (3.12'). Аналогично, так как среди четырех альтернатив в формуле (3.13") только третья альтернатива отличается от выбираемых по формуле (3.13'), то достаточно производить выбор по формуле (3.13'), добавив пятую альтернативу. 2.2.6 Задача о заменеОдной из важных экономических проблем, с которыми приходится встречаться на практике, является определение оптимальной стратегии в замене старых станков, производственных зданий, агрегатов, машин и т. д., другими словами, старого оборудования — на новое. Старение оборудования включает его физический и моральный износ, в результате чего растут производственные затраты по выпуску продукции на старом оборудовании, увеличиваются затраты на его ремонт и обслуживание, а вместе с тем снижаются производительность и так называемая ликвидная стоимость. Наступает момент, когда старое оборудование более выгодно продать, заменить новым, чем эксплуатировать ценой больших затрат. При этом оборудование можно заменить либо новым оборудованием того же вида, либо новым, более совершенным в техническом отношении, с учетом технического прогресса. Оптимальная стратегия замены оборудования состоит в определении оптимальных сроков замены. Критерием оптимальности при определении сроков замены может служить либо прибыль от эксплуатации оборудования, которую следует максимизировать, либо суммарные затраты на эксплуатацию в течение рассматриваемого промежутка времени, подлежащие минимизации. Известно, что при заданном плане выпуска продукции максимизация прибыли эквивалентна минимизации затрат. Практически удобнее пользоваться вторым критерием, вводя для учета снижения производительности условно приведенные затраты. Условимся считать, что решения о замене оборудования принимаются периодически в начале каждого промежутка (года, месяца, недели и т. д.), на которые разбит плановый период. Предположим также, что оборудование может использоваться неограниченно долго, если тратить достаточные суммы на его ремонт. Основной характеристикой оборудования является его возраст. От возраста оборудования зависят эксплуатационные расходы, затраты на производство, производительность и ликвидная стоимость. Эти показатели изменяются, если учитывать технический прогресс, не только при замене старого оборудования новым, с новыми технико-экономическими характеристиками, но и новым того же типа, еще не использованным. В последнем случае изменение вызвано моральным износом. Метод ДП обеспечивает единый подход к решению всех видов задач о замене. При составлении модели ДП мы рассматриваем процесс замены как n-шаговый, разбив весь плановый период на п промежутков. Так как в начале каждого из этих промежутков принимается решение либо о сохранении оборудования, либо о его замене, то управление на k-м шаге (k=l, ..., п) содержит всего лишь две альтернативные переменные. Обозначим через ис решение, состоящее в сохранении старого оборудования, а через и3 — решение, состоящее в замене старого оборудования новым. Функциональные уравнения, благодаря наличию двух альтернативных управлений на каждом шаге, содержат лишь две величины: одна выражает условную прибыль (условные затраты) при управлении uс , другая — тот же показатель при управлении из . Условная оптимизация на каждом шаге состоит в вычислении двух величин и в выборе из них наибольшей (наименьшей). Это значительно упрощает расчеты на стадии условной оптимизации и позволяет решать вручную задачи о замене с большим числом шагов. Рассмотрим две модели ДП задачи о замене оборудования. В одной из них в качестве показателя эффективности выберем прибыль, которую следует максимизировать, в другой — суммарные затраты на эксплуатацию, которые следует минимизировать. Задача 1. Определить оптимальные сроки замены оборудования в течение п лет, при которых прибыль от эксплуатации оборудования максимальна, если известны: р — начальная стоимость оборудования; f(t) —стоимость производимой продукции на оборудовании возраста t лет; r(t) —ежегодные затраты на эксплуатацию оборудования возраста tлет; Рассмотрим n-шаговый процесс, считая k-м шагом номер k-гoгода от начала эксплуатации (k=l, 2, ..., п). Выше указывалось, что управление на k-м шаге выбирается из двух возможных решений: uс — сохранить и продолжать использование старого оборудования или и3 — заменить оборудование новым. Будем считать, что в начале планового периода возраст оборудования равен t0
. Состояние Если к началу k-гoшага система находилась в состоянии Уравнение состояния (1.2) для данного процесса имеет вид
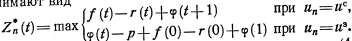
Определим прибыль на k-м шаге (показатель эффективности k-гoшага), соответствующую каждому из альтернативных управлений ис и и3 . Выбирая на k-м шаге управление ис , мы сможем произвести продукции стоимостью f(t) на старом оборудовании, что потребует затрат r(t), поэтому прибыль равна f(t)—r(t). Обозначим ее через
При управлении и3
получим доход
Построим обратную вычислительную схему решения данной задачи методом ДП. Обозначим через
Сравнив эти две величины для всех возможных значений t<nполучим значения
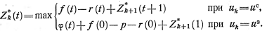
В уравнении (6.5) величина •Процесс условной оптимизации на каждом шаге, начиная с n-го, сводится к сравнению двух величин в уравнениях (6.4) и (6.5) и выбору наибольшей из них. Этап условной оптимизации заканчивается, как обычно, получением последовательностей функций На этапе безусловной оптимизации для Замечание. В задаче 1 не рассматривался вопрос о том, что происходит с оборудованием после п лет его эксплуатации. Можно предположить, что п неограниченно велико и, рассматривая процесс для достаточно большого значения п, получить закономерность в оптимальном управлении в виде периодически повторяющихся циклов замены и использования старого оборудования, (такой пример будет рассмотрен ниже). Можно также предположить, что после л лет использования оборудование продается и ликвидная стоимость присоединяется к общей прибыли. Во втором случае уравнения (6.4) принимают вид
Рассмотрим некоторую модификацию задачи 1. Задача 2. В задаче 1 предположим, что ежегодные затраты на эксплуатацию, ликвидная и начальная стоимость зависят не только от возраста оборудования t, но и от времени, прошедшего с начала процесса. Пусть rh
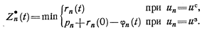
{t)—затраты на эксплуатацию в течение k-гoгода, если со времени последней замены прошло tлет; Требуется определить оптимальные сроки замены старого оборудования новым в течение п лет с тем, чтобы минимизировать затраты на его содержание. Показатель эффективности в данной задаче — суммарные затраты на эксплуатацию оборудования. Затраты на k-м шаге, как и прежде, зависят от выбранного управления. При управлении иk
= ис
эти затраты равны Пусть Zk *{t)—условные минимальные затраты за n—k+1 шагов с k-гoпо n-й включительно, если к началу k-гoшага возраст оборудования составлял tлет, при условии, что был выбран оптимальный режим эксплуатации. Рекуррентные соотношения для Zk *{t) имеют вид
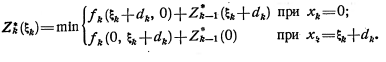
Для n-го шага соответственно получим
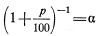
Вычислительный процесс строится как и в предыдущей задаче. Введение в условие задачи функций, оценивающих затраты, выпуск продукции и стоимость, зависящие не только от возраста t, но и непосредственно от k, т. е. от времени, прошедшего с начала процесса, является косвенным способом учета технического прогресса. Как уже отмечалось неоднократно, модели ДП очень гибки и в смысле возможностей анализа чувствительности к вариации исходных данных, и в смысле возможностей включения в модель различных модификаций задачи. Так, например, аналогичная модель может быть построена для задач, в которых ежегодно рассматривается более двух вариантов управления («сохранение», «замена», «реконструкция» и т. д.). Можно рассматривать задачи, в которых затраты или прибыль зависят не только от возраста оборудования, но и еще от одного параметра, например, времени, прошедшего после восстановительного ремонта, и т. д. Замечание. Если функции затрат, ликвидная и начальная стоимости в задаче 2 зависят от времени τ, прошедшего с начала эксплуатационного периода, и τ не совпадает с k, то состояние системы следует характеризовать двумя параметрами τ и t. В заключение главы рассмотрим задачу определения оптимальной стратегии замены оборудования при бесконечном плановом периоде. Задача 3. Определить оптимальные сроки замены оборудования при неограниченном времени его использования, если известны: р — начальная стоимость; r(t) — эксплуатационные затраты на содержание оборудования возраста tлет в течение ближайшего года; В задаче будем минимизировать затраты. Параметр состояния есть время: При рассмотрении бесконечного процесса необходимо ввести так называемый дисконтирующий множитель 0<α<1, позволяющий привести сумму в последующий момент времени к настоящему моменту с учетом ежегодного роста по правилу сложных процентов. Если имеется первоначальная сумма а руб., то через п лет она составит, при процентной ставке р%, сумму Учитывая этот множитель и повторяя весь ход рассуждений, изложенный в предыдущих задачах, получим следующие функциональные уравнения:
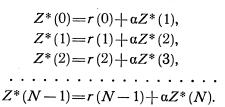
Поскольку конечного шага нет, обратный ход выпол-. нить нельзя, поэтому решим уравнения явно следующим образом. Для 1-го шага имеем
Так как Пусть оптимальным является решение о сохранении для первых N шагов и о замене на (N+1)-м шаге. Задача состоит в определении этого числа N. Запишем последовательность рекуррентных соотношений для этих N шагов:
Исключив из этих равенств последовательно Z*(2),Z*(3), … получим
Но для (N+ 1)-го шага по предположению оптимальным является решение о замене оборудования, следовательно,
Подставляя значение Z*(N) в равенство (6.10) и разрешая полученное при этом уравнение относительно Z*(0), найдем
Величина Z*(0) равна необходимому минимуму затрат на весь процесс. Теперь, полагая последовательно N= 1, 2, 3, .... вычисляем значение Z*(0) и находим среди них наименьшее. ЗаключениеВ данной курсовой работе рассмотрены виды математических моделей, используемых в экономике и менеджменте, а также их классификация. Особое внимание в курсовой работе уделено оптимизационному моделированию. Изучен принцип построения моделей линейного программирования, также приведены модели следующих задач: · Задача о раскрое материалов; · Задача выбора оптимальной производственной программы предприятия; · Задача о диете; · Транспортная задача. В работе представлены общие характеристики задач дискретного программирования, описан принцип оптимальности и уравнение Беллмана, приведено общее описание процесса моделирования. Для построения моделей выбраны три задачи: · Задача оптимального распределения ресурсов; · Задача об оптимальном управлении запасами; · Задача о замене. В свою очередь для каждой из задач построены различные модели динамического программирования. Для отдельных задач приведены числовые расчеты, в соответствии с построенными моделями. Список литературы: 1. Вавилов В.А., Змеев О.А., Змеева Е.Е. Электронное пособие “Исследование операций” 2. Калихман И.Л., Войтенко М.А. “Динамическое программирование в примерах и задачах”, Москва ”Высшая школа”, 1979 3. Косоруков О.А., Мищенко А.В. “Исследование операций”, Москва, 2003 4. Материалы из сети Internet. |
|||||||||||||||||||||||||||||||||||||||||||||||||||||
(12)
(1.3)
(3.13)
(4.1)
(4.3)
(4.4)
средств и, следовательно, состояние 
(5.2)


(5.13’)
(5.13’’)
(6.7)
(6.9)

(6.11)