Учебное пособие: Организация военной связи
|
Название: Организация военной связи Раздел: Рефераты для военной кафедры Тип: учебное пособие | |
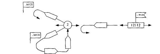
1. Основы организации связи 1.1 Связь как основное средство управления войсками Управление войсками может осуществляться путем личного общения командиров, через офицеров штаба, высылаемых в войска, и с помощью различных технических средств, в первую очередь средств связи. Личное общение позволяет командиру более детально выяснить обстановку, лично довести до подчиненных (или уточнить) свое решение, оказать им практическую помощь и проконтролировать их действия. Личное общение, кроме того, обеспечивает возможность психологического и эмоционального воздействия на подчиненных при постановке боевых задач, что может иметь немаловажное значение в сложных условиях современного боя. Личное общение может осуществляться вызовом командиров подчиненных подразделений к старшему начальнику, выездом старшего командира к подчиненным, совместным размещением ПУ старшего и подчиненного командиров, а также командиров взаимодействующих подразделений. Однако личное общение как метод управления войсками применяется лишь в отдельных случаях в зависимости от обстановки. Кроме личного общения практикуется высылка офицеров штаба в подчиненные и взаимодействующие войска. Офицеры штаба могут высылаться с целью передач приказов, осуществления контроля за выполнением ранее отданных распоряжений, уточнения обстановки в подчиненных и взаимодействующих подразделениях и оказания им помощи. Офицеры штаба должны поддерживать связь с выславшим их начальником, для чего они могут использовать существующую связь между командирами (штабами) или обеспечиваться средствами связи. При этом необходимо учитывать, что ни один штаб не в состоянии одновременно выслать большое число офицеров, т. к. это создало бы значительные трудности в его работе. Кроме того, в условиях применения оружия массового поражения (ОМП), высокоточного оружия (ВТО) и обычных средств поражения при резких и частых изменениях обстановки личное общение и высылка офицеров штаба часто будут невозможны или затруднены. При том нужная срочность доведения распоряжений и передачи донесений практически не могут быть обеспечены. В современном общевойсковом бою управление войсками и оружием может осуществляться только с помощью технических средств. Это управление самолетами (вертолетами) в воздухе, движущимися объектами на поле боя, средствами ПВО, воздушными (морскими) десантами, частями (подразделениями) и органами разведки, действующими на значительном удалении от ПУ старшего командира (начальника). Поэтому в современном бою потребностям и условиям управления в большей степени отвечают технические средства связи, а эффективность боевого применения частей и подразделений непосредственно зависит от состояния связи. Связь военная является основным средством управления войсками и оружием. Она предназначена для обмена информацией в системах управления войсками и оружием. Опыт прошлых воин, и особенно Великой Отечественной войны, локальных войн современности показал, что успехи и неудачи боевых действий во многих случаях зависели от состояния связи. При потере связи командиры и штабы не могли своевременно получать информацию о боевой обстановке, реагировать на ее изменение и своевременно ставить новые задачи подчиненным войскам. В результате этого войска действовали нецелеустремленно, нарушалось взаимодействие, что часто приводило к тяжелым последствиям. Наоборот, в тех случаях, когда связь работала достаточно хорошо, управление войсками не нарушалось, войска действовали слаженно и добивались успеха. Чем эффективнее, совершеннее применяемое на поле боя оружие и боевая техника и чем сложнее боевые действия войск, тем выше роль связи. В одной из директив периода Великой Отечественной войны Ставка Главнокомандования Красной Армии так определило значение связи: «Потеря связи есть потеря управления войсками, а потеря управления войсками неизбежно ведет к поражению». При ведении маневренных боевых действий пункты управления могут часто перемещаться, что вызывает необходимость обеспечения устойчивой связи при нахождении командиров и штабов в движении, требует более быстрого развертывания узлов связи, обеспечение связи в движении и с коротких остановок. В условиях современного общевойскового боя роль связи еще более возрастает, она становится основным, иногда единственным средством управления войсками.Это обусловлено: * насыщением войск коллективным быстродействующим оружием, ракетно-ядерными и зенитно-ракетными комплексами, армейской авиацией, боевыми машинами пехоты и т.д., боевая эффективность которых находится в прямой зависимости от непрерывности управления ими; * увеличением размаха динамичности боевых действий, затрудняющих личное общение командиров и требующих обмена информацией независимо от того, находится ПУ на месте или в движении; * увеличением количества объектов, которыми необходимо управлять в современном бою; * возрастанием количества сообщений, передаваемых между ПУ, при значительных удалениях их друг от друга; * значительным сокращением сроков на передачу, прием и обработку сообщений; * внедрением в процесс управления войсками и оружием комплекса средств автоматизации, требующих для работы каналов связи высокого качества. В конечном счете все это приводит к значительному усложнению задач связи по обеспечению непрерывного управления войсками в бою. 1.2 Основные задачи связи. Требования, предъявляемые к связи В соответствии с оперативно-тактическими условиями ведения боевых действий, предназначением системы управления, решаемыми войсками задачами и требованиями, предъявляемыми управлением войсками, перед связью ставятся следующие основные задачи: 1. Обеспечение устойчивой связи с вышестоящим штабом и своевременного приема сигналов боевого управления. 2. Обеспечение управления подчиненными частями (подразделениями) и оружием в любых условиях обстановки. Управляя подчиненными войсками в бою, командир в любое время должен знать, где находятся, что делают и в чем нуждаются подчиненные ему войска, своевременно получать разведывательные данные о противнике и влиять на ход боевых действий путем отдачи войскам дополнительных распоряжений и указаний, нанесения ядерных ударов по противнику, ввода в бой вторых эшелонов и резервов и другими имеющимися у него средствами. Поэтому связь должна обеспечивать командиру и штабу, начальникам родов войск, специальных войск и служб своевременное поступление данных о складывающейся обстановке, передачу подчиненным войскам приказов, распоряжений и команд, донесений в старший штаб и т.п. 3. Обеспечение своевременной передачи сигналов оповещения и предупреждения войск о непосредственной угрозе применения противником ОМП и ВТО, о радиоактивном, химическом и бактериологическом (биологическом) заражении. В современных условиях эта задача связи имеет особо важное значение. При получении от разведки данных об угрозе применения противником ОМП и ВТО, о радиоактивном, химическом и бактериологическом (биологическом) заражении, а также в результате прогнозирования радиационной и химической обстановки вследствие применения противником ОМП и ВТО необходимо обеспечить быструю передачу установленных сигналов оповещения, с тем, чтобы войска, для которых создается угроза поражения, имели возможность своевременно принять меры защиты. 4. Обеспечение обмена информацией между взаимодействующими частями и подразделениями. В современном бою важнейшим условием достижения успеха является четкое взаимодействие всех родов войск и соседей по цели, месту и времени. Для того, чтобы достигнуть поставленной цели, войска должны действовать согласованно, а это возможно только при наличии связи между ними. 5. Обеспечение управления органами боевого, технического и тылового обеспечения боевых действий частей (подразделений). Для ведения современного общевойскового боя требуется большой расход различных материальных средств – боеприпасов, горючего, специального снаряжения, продуктов питания и т.д. Особо важное значение имеет своевременная доставка боеприпасов, топлива и других средств обеспечения. Для того, чтобы своевременно пополнить войска всеми материальными средствами, эвакуировать больных и раненых, организовать эвакуацию и ремонт вышедшей из строя боевой техники и оружия, контролировать доставку боеприпасов, топлива, связь должна обеспечивать постоянное руководство со стороны командира и его заместителей по тылу и по вооружению, а также начальников родов войск и служб подчиненными тыловыми частями и подразделениями. Кроме того, связь должна обеспечивать руководство начальниками тыла подчиненных частей и заместителями и командиров по вооружению. Перечисленные задачи связи конкретизируются, расширяются и дополняются в зависимости от вида боевых действий и складывающихся условий боевой обстановки. Поскольку понятие «связь» по своему физическому смыслу характеризует процесс обмена информацией между органами и объектами управления в бою, то этот процесс должен удовлетворять выполнению определенных требований, предъявляемых к нему управлением войсками и оружием. Выполнять качественно стоящие перед связью задачи она может только в том случае, если будет своевременной, достоверной и безопасной при передачи всех видов сообщений. Своевременность связи Своевременность связи – способность связи обеспечивать передачу (доставку) документальных сообщений или ведение переговоров в заданные сроки. Требования по своевременности передачи сообщений определяются допустимым временем их пребывания в системе связи в зависимости от степени важности (ценности) информации и времени, необходимого для принятия решения и выполнения необходимых действий по данной информации. В соответствии с этим все сообщения подразделяются на ряд категорий срочности: «Монолит», «Воздух», «Ракета», «Самолет», «Обыкновенная». К категории срочности «Монолит» относятся распоряжения Генерального штаба по централизованному боевому управлению ВС РФ. Категорию срочности «Воздух» составляют другие распоряжения Генерального штаба: сигналы и распоряжения видов Вооруженных Сил, военных округов, групп войск, флотов, оперативных объединении и соединении о приведении их в высшие степени боевой готовности, отмобилизовании и другие особо важные распоряжения по управлению войсками; сигналы и распоряжения по оповещению при ракетной и авиационной опасности, радиационном, химическом и бактериологическом (биологическом) заражении; донесения и запросы о начале боевых действии или нарушении государственной границы РФ вооруженными силами иностранных государств. К категории срочности «Ракета» относятся оперативные директивы, боевые приказы и боевые распоряжения; донесения о приведении войск в установленные степени боевой готовности, боевые донесения, оперативные и разведывательные сводки. Категорию срочности «Самолет» составляют распоряжения и донесения по вопросам мобилизации; об обнаружении и уничтожении средств ядерного нападения и ядерно-минных заграждений противника; донесений о действиях средств воздушного нападения, воздушных, морских десантов противника и распоряжения по борьбе с ними; распоряжения и донесения об опасных явлениях природы и других стихийных бедствиях; заявки, распоряжения и донесения о полетах особо важных летательных аппаратов, о внеплановых вылетах, об обеспечении безопасности полетов; метеоданные; донесения и сводки по применению родов войск (сил) и по всем видам обеспечения. К категории «Обыкновенная» относятся все другие сообщения. В тактическом звене управления время передачи и доведения сообщений (приказов) боевого управления должно быть не более 30 с при вероятности своевременной передачи 0.9, а время передачи подтверждений донесений о получении и выполнении их не должно превышать 1.5 мин с вероятностью 0.8. Своевременность связи достигается: готовностью связи к действию; высокой квалификации личного состава и четкой организации дежурства на узлах и линиях связи; правильным выбором средств и способов организации связи для передачи информации с учетом ее прочности, формы представления и объема; контролем на узлах связи времени прохождения сообщений и предоставлением переговоров в установленные (нормативные) сроки; применением средств быстродействия; созданием на пунктах управления удобств в пользовании связью; четкой организации оперативно-технической службы на узлах связи; непрерывным управлением связью. Достоверность связи Достоверность связи – способность связи обеспечивать воспроизведение передаваемых сообщений в пункте приема с заданной точностью. Достоверность связи достигается: использованием для передачи сообщений каналов связи лучшего качества; передачи сообщений одновременно по нескольким независимым каналам связи; повторением передачи сообщений; передачей сообщений способом обратной проверки; применением аппаратуры повышенной достоверности; поддержанием технических характеристик и электрических параметров средств связи в пределах эксплуатационных норм. Безопасность связи Безопасность связи – способность связи обеспечивать сохранение в тайне от противника содержания передаваемых (принимаемых) сообщений и противостоять вводу ложной информации. Безопасность связи достигается: применением засекречивающей аппаратуры связи, соблюдением правил ее эксплуатации; предварительным шифрованием и кодированием информации, использованием таблиц позывных и документов скрытого управления войсками; ограничением круга лиц, допускаемых к ведению переговоров по разрешенным к применению открытым каналам связи, применением эффективных способов паролирования и аппаратуры имитозащиты; проверки подлинности полученных сообщений путем обратной передачи принятого текста; строгим соблюдением правил установления связи, ведения переговоров; выполнением требований режима секретности при обработке и хранении информации в автоматизированных системах управлений, на узлах, станциях и аппаратных связи. 1.3 Части и подразделения сухопутных войск. Средства связи и их классификация. Виды связи Части и подразделения связи Сухопутных войск относятся к специальным войскам и организационно входят в состав соединений и частей Сухопутных войск. Они предназначены для развертывания систем связи и обеспечения управления войсками во всех видах их боевой деятельности. На них возлагаются также задачи по развертыванию и эксплуатации систем и средств автоматизации на пунктах управления, проведению организационных и технических мероприятий по обеспечению безопасности связи. Части и подразделения связи мотострелковых и танковых соединении, частей и подразделений организационно подразделяются на батальоны, роты, взводы, отделения (экипажи) связи, а также станции (отделения) ФПС. Их структура и оснащение средствами связи определяется штатами соответствующих соединений (частей). Для обеспечения управления войсками в современном бою применяются средства электросвязи – радио-, радиорелейные, тропосферные, космические, проводные, а также подвижные и сигнальные средства. Радиосредства применяются во всех звеньях управления. Они являются важнейшими, а иногда единственными средствами, способными обеспечить управление подразделениями (частями) в самой сложной обстановке и при нахождении командиров и штабов в движении. Радиосредства позволяют установить связь с объектами, местоположение которых неизвестно, через территорию, занятую противником, через непроходимые и зараженные участки местности. Радиосредства позволяют передавать боевые приказы, распоряжения, донесения, команды и сигналы одновременно неограниченному числу корреспондентов, устанавливать непосредственную связь через несколько инстанций вверх и вниз. Но при применении радиосредств необходимо учитывать: возможность определения противником мест нахождения работающих на передачу радиостанций; подверженность радиолиний воздействию средств радиоподавления противника; зависимость качества радиосвязи от условий прохождения радиоволн и возможных помех в пункте приема, условия электромагнитной совместимости радиоэлектронных средств, размещенных на одном узле связи, пункте управления и особенно в одном объекте, уменьшения дальности связи при работе радиосредств в движении; влияние на радиосвязь высотных ядерных взрывов. В тактическом звене управления применяются радиосредства ультракоротковолнового (УКВ) и коротковолнового (KB) диапазонов, УКВ радиосредства при этом составляют основной парк радиосредств в ТЗУ. Радиорелейные средства способны обеспечить высококачественную многоканальную связь, практически мало зависящую от времени года и суток, состояния погоды и атмосферных помех. Но при их применении необходимо учитывать: зависимость дальности связи от рельефа местности; малую дальность связи или невозможность работы радиорелейных станций в движении, громоздкость антенных устройств; возможность перехвата передач и радиоподавления противником радиорелейных линий. Проводные средства обеспечивают высокое качество связи, простоту организации связи, большую скрытность работы по сравнению с радио- и радиорелейными средствами. Проводные каналы не подвержены воздействию преднамеренных радиопомех противника. Однако большая уязвимость проводных средств от всех видов вооружения противника, действий диверсионно-разведывательных групп, малой скорости работ по прокладке и снятию полевых линий связи, значительные трудозатраты при эксплуатационном обслуживании затрудняют их применение. Тропосферные и космические средства связи в тактическом звене могут применяться только для обеспечения связи соединении с вышестоящим штабом и взаимодействующими командирами (штабами). Подвижные средства связи предназначаются для обеспечения фельдъегерско-почтовой связи во всех видах боевых действий и используются для доставки боевых документов, секретных и почтовых отправлений. Доставляя в подчиненные части (подразделения) оригиналы боевых документов, подвижные средства обеспечивают абсолютную достоверность связи. Однако необходимо учитывать значительное время, требующееся для доставки документов и возможность захвата противником доставляемых боевых приказов, распоряжений, донесений и т.д. В качестве подвижных средств могут использоваться вертолеты, бронетранспортеры, автомобили, мотоциклы, а в некоторых случаях боевые машины пехоты, танки, лыжники и пешие посыльные. Сигнальные средства связи применяются для передачи заранее установленных команд, донесении, сигналов оповещения, управления и взаимодействия, взаимного опознавания, обозначения своих войск. В качестве сигнальных используются зрительные (сигнальные ракеты, дымовые шашки, фонари, флажки) и звуковые (сирены, свистки) средства. Роль и значение различных средств связи определяются их тактико-техническими характеристиками и требованиями обеспечения управления войсками и оружием в конкретных условиях обстановки. Основными средствами связи является то, которое в данной обстановке наиболее полно обеспечивает потребность управления. Во всех случаях для связи следует применять те средства, которые обеспечивают максимальное сохранение в тайне не только содержание сообщения, но и самого факта его передачи. С помощью технических средств связи образуются каналы и тракты радио-, радиорелейной, тропосферной, космической и проводной связи. В зависимости от оконечных средств и вида передаваемых сообщений по ним организуются виды связи: телефонная, телеграфная, передача данных, факсимильная, видеотелефонная. Все они могут быть или засекреченными, или открытыми. С помощью подвижных средств организуется фельдъегерско-почтовая связь. Телефонная связь обладает высокой оперативностью и приближает управление к условиям личного общения. Телефонные переговоры в тактическом звене составляют основную часть от общего объема информации и ведутся с использованием засекречивающей аппаратуры и документов скрытого управления войсками (СУВ). Телеграфная засекреченная буквопечатающая связь обеспечивается в соединениях с вышестоящим штабом. Слуховая радиотелефонная связь организуется как с вышестоящим штабом, так и с подчиненными частями (подразделениями). Она используется для передачи телеграмм, радиограмм, команд и сигналов. Передача данных находит применение для обмена информацей в автоматизированных системах управления. При этом наличие на автоматизированных рабочих местах должностных лиц пунктов управления комплекса средств по передаче, приему и отображению информации (дисплей, чертежно-графический аппарат, алфавитно-цифровое печатающее устройство и др.) значительно повышает возможности по информационному обмену. Относительно высокая помехозащищенность данного вида связи позволяет осуществлять обмен короткими кодограммами данных даже в сложных условиях помеховой обстановки. Факсимильная связь обеспечивает передачу черно-белых и цветных изображений боевых и формализованных документов, схем, карт, чертежей. Видеотелефонная связь соединяет в себе достоинства телефонной и факсимильной связей, максимально приближая управление к условиям личного общения и позволяя доводить до подчиненных приказы, распоряжения с использованием карт, схем, макетов и заслушивать их решения не выезжая за пределы своего пункта управления. 1.4 Система связи, ее элементы и принципы построения. Требования, предъявляемые к системе связи Средства связи по выполненным задачам и функциональным признакам объединяются в узлы, линии и сети связи. Для обеспечения управления войсками и оружием в каждом звене управления создается система связи. Основное ее предназначение – обеспечение своевременного обмена информацией между элементами систем управления (между органами управления и объектами управления) в условиях, исключающих непосредственное общение. Система связи – совокупность взаимоувязанных и согласованных по задачам узлов и линий связи различного назначения, создаваемых (развертываемых) для решения задач обеспечения управления войсками. Система связи должна обеспечивать: своевременный и безопасный обмен информации между пунктами управления с высокой степенью достоверности при ведении боевых действий с применением как ядерного и высокоточного оружия, так и обычных средств поражения; наиболее полное использование технических возможностей различных средств связи; высокую защищенность каналов связи от радиоподавления противника. Система связи соединения (части) включает следующие элементы: узлы связи пунктов управления соединения (части) и подчиненных частей (подразделений), вспомогательные узлы связи, линии прямой связи между пунктами управления, линии привязки узлов связи пунктов управления к опорной сети связи объединения, сеть ФПС, органы технического обеспечения связи и автоматизированной системы управления, ПУ связью, резерв связи. Основу системы связи составляют узлы связи пунктов управления и линии связи, построенные (развернутые) между ними. Узлы связи пунктов управления обеспечивают обмен всеми видами документированной информации и ведения переговоров в процессе управления войсками. Вспомогательные узлы связи (ВУС) обеспечивают связь с частями и подразделениями, действующими на значительном удалении от ПУ, Линии прямой связи развертываются непосредственно между узлами связи пунктов управления с использованием радио-, радиорелейных, проводных и других средств связи. Линии привязки развертываются между УС ПУ и опорными узлами (узлами привязки) опорной сети связи с объединением (государственной сети связи). Сеть ФПС предназначена для приема, обработки и доставки всех видов боевых документов и почтовых отправлений, поступающих в адрес штабов, личного состава и исходящих от них. Она включает станцию, отделение и обменные пункты ФПС, подвижные средства и установленные маршруты их движения (полетов). Органы технического обеспечения связи и автоматизированной системы управления предназначены для выполнения потребностей части и подразделений связи в средствах связи и автоматизации управления, поддержания их в постоянной готовности к применению и обеспечению безотказной работы, быстрого восстановления (ремонта) при их повреждении. Они включают подразделения ремонта и технического обслуживания. Пункт управления связью (ПУС) предназначен для обеспечения устойчивости функционирования системы связи в любых условиях и обстановки. Организационно он состоит из аппаратной (рабочего места), оборудованной средствами связи и другими техническими устройствами, предназначенной для размещения и работы боевого расчета ПУС. Резерв связи предназначен для решения внезапно возникающих задач, вызванных изменениями в тактической обстановке и обстановке по связи. Он создается за счет штатных сил и средств связи. Под принципами построения системы связи понимаются основные руководящие положения, определяющие структуру и порядок функционирования системы связи. Они выработаны на основе научного обобщения опыта организации связи в ходе боевых действий, учений войск и анализа современных требований управления войсками в бою. Основными принципами построения системы связи являются: организация прямых (непосредственных) связей между узлами связи пунктов управления, организация связи через вспомогательные узлы связи. В тактическом звене управления системы связи строятся в основном по принципу прямых связей. Принцип организации прямых связен заключается в том, что связь от ПУ старшего штаба с ПУ подчиненных частей устанавливается непосредственно, т.е. напрямую. По этому принципу УС располагаются только на ПУ частей и подразделений (рис 1). Рисунок 1 Построение системы связи по принципу организации прямых связей
Система связи, построенная по данному принципу обладает рядом положительных качеств: развертывается в наиболее короткие сроки, проще решаются вопросы установления и обеспечения связи всех видов, четко определяется ответственность за связь по направлениям; облегчается управление системой связи; облегчается охрана и оборона узлов связи. Вместе с тем применение этого принципа приводит к сосредоточению на УС ПУ большого количества различных средств связи и обслуживающего личного состава, снижает эффективность использования многоканальных средств связи, затрудняет получение обходных каналов связи, повышает уязвимость системы связи от огня противника, затрудняет маскировку и снижает мобильность ПУ. Принцип организации связи через ВУС предусматривает такую структуру построения системы связи, при которой связь от ПУ старшего штаба с ПУ подчиненных частей обеспечивается не напрямую, а через систему вспомогательных (опорных) УС. (Рис. 2.) Рисунок 2 Построение системы связи по принципу организации связи через вспомогательные узлы связи
Система связи, построенная по принципу организации связи через ВУС, имеет следующие преимущества: более эффективное использование многоканальных средств; сокращение количества средств связи на УС ПУ; возможность установления в короткое время проводной и радиорелейной связи при изменении оперативно-тактического построения войск, перегруппировке и смене ПУ, возможность создания входных каналов связи; повышение мобильности УС ПУ. Однако применение этого принципа приводит к увеличению времени на составление каналов связи при ручном способе измерения параметров каналов и их коммутации на ВУС, необходимости частых изменений в распределении каналов на ВУС, вследствие непрерывного изменения положения войск и ПУ в ходе боевых действий, усложнению управления связью, затруднено организацией охраны и обороны элементов системы связи. Указанные недостатки не позволяют в тактическом звене строить системы связи полностью (в «чистом виде») по принципу организации связи через вспомогательные узлы связи. Поэтому практически в настоящее время при построении системы связи в тактическом звене в сочетании с принципом организации прямых связей находят рациональное применение вспомогательные УС. ВУС в дивизии используется эпизодически, преимущественно в районах сосредоточения, исходных районах и при ведении боевых действий на широком фронте. Система связи должна создаваться и функционировать в соответствие с основными принципами организации связи: единство системы связи для всех родов войск и служб; комплексного применения средств связи на информационных направлениях; ответственности старшего штаба за связь с подчиненными; согласованного применения и тактического взаимодействия частей (подразделений) связи; строгой регламентации организации и обеспечения связи взаимодействия. Единство системы связи заключается в согласованном использовании всех сил и средств связи под единым руководством начальника штаба и начальника связи, в создании для обеспечения управления войсками (в том числе частями, подразделениями родов войск и служб) общих узлов, линий и станций связи. Единство системы связи позволяет наиболее рационально применять силы и средства связи, осуществлять маневр ими на главных информационных направлениях. Комплексное применение средств связи на информационных направления предусматривает, что при построении системы связи на направлениях связи планируется использование различных средств связи в зависимости от их тактико-технических возможностей и условии боевой обстановки. Это вполне очевидно, ибо нет универсальных средств, способных решать все задачи связи в любой обстановке. Только комплексное применение средств связи (радио-, радиорелейных, проводных, подвижных) позволит наиболее полно реализовать возможности системы связи по обеспечению устойчивого и непрерывного управления войсками. Ответственность за связь с подчиненными частями (подразделениями) возлагается на вышестоящий штаб. Он разрабатывает все необходимые данные по связи, выделяет силы и средства для организации проводной, радиорелейной и фельдъегерско-почтовой связи. Организация радиосвязи осуществляется силами и средствами вышестоящего и подчиненных штабов, при этом предусматривается возможность ее установления на одну – две инстанции вверх и вниз. При потере связи как старший, так и подчиненный штаб обязаны принять все меры для немедленного ее восстановления. Командиры и начальники штабов в случае нахождения их вне своих пунктов управления обязаны иметь при себе средства связи, позволяющие поддерживать постоянную и устойчивую связь со старшими и подчиненными командирами, штабами, штабами приданных (поддерживающих) частей (подразделений) и уметь лично вести переговоры с использованием средств связи. Это в разной степени относится к начальникам родов войск и служб. Отрыв командиров и начальников от средств связи хотя бы на непродолжительное время недопустим, это может привести к потере управления войсками. Необходимость установления связи через 1–2 инстанции возникает при потере непосредственной связи между пунктами управления старшего и подчиненного звена, а также и в других случаях: для быстрого получения вышестоящим штабом данных об обстановке, минуя промежуточные инстанции; для централизованного управления при переподчинении войск; для управления сводными формированиями при потере боеспособности частей (подразделений) и т.п. Установление связи на 1–2 инстанции вверх и вниз достигается, в основном, по радио: созданием старшим штабом специальных дежурных радиосетей; назначением и знанием личным составом экипажей КШМ, МБУ и радиостанций постоянных позывных командующего (командира) и начальника штаба (для дивизии – фронта Главкома на ТВД; для полка – армии, фронта; для батальона – дивизии). Силы и средства связи при развертывании и функционировании системы связи соединения (части) должныприменяться согласованно (по единому плану) итесно взаимодействовать по месту, решаемым задачам и времени развертывания узлов, линий связи и установления связей (очередности выполнения задач). Части (подразделения) связи взаимодействуют с подразделениями (средствами) начальников направлений связи старшего штаба, с узлами привязки (государственной сети связи, стационарным, опорными узлами), с подразделениями (средствами) связи приданных (поддерживающих) частей и подразделений, пограничных войск, с узлами связи штабов гражданской обороны и военных комиссариатов. Взаимодействие осуществляется по вопросам: размещения средств связи и автоматизации на УС ПУ; количества, вида и времени установления связи; привязки и выдачи каналов на УС ПУ; совместных действий по охране и обороне узлов и линий связи, а также ликвидации последствий применения противником ОМП. Кроме того, система связи соединения (части) должна сопрягаться с другими системами связи. Сопряжение системы связи одного звена управления с системами связи других звеньев заключается в проведении мероприятий, направленных на обеспечение их согласованного функционирования. Система связи одного звена не является изолированной системой, ее элементы органически входят в систему связи старшего звена. Одновременно оно включает в себя элементы системы связи подчиненных частей. Поэтому система связи определенного звена должна организационно и технически сопрягаться с системами связи старшего и подчиненных звеньев управления. Организационно сопряжение систем достигается построением линий связи между УС различных систем связи, а технически – применением однотипной каналообразующей и оконечной аппаратуры на этих линиях связи. При построении системы связи необходимо учитыватьрегламентации по организации и обеспечению связи взаимодействия. Порядок организации этой связи устанавливает штаб, который организует взаимодействие войск (частей, подразделений). При отсутствии указании или потере связи штабы взаимодействующих соединении (частей, подразделений) обязаны немедленно принять меры к установлению связи между собой. При отсутствии распоряжения об организации связи взаимодействия ответственность за установление и поддержание связи возлагается: за связь по фронту – на правого соседа; за связь от войск, расположенных к тылу, к войскам, находящимся впереди – на штаб соединения (части), находящихся в тылу; за связь общевойскового соединения (части) с соединениями (частями) родов войск – на штабы соединений (частей) родов войск; за связь общевойскового соединения части с частями (подразделениями) специальных войск – на штабы общевойсковых соединений (частей); за связь общевойскового соединения (части) с соединениями (частями) других видов Вооруженных Сил – на штабы соединений (частей) других видов Вооруженных Сил. Связь взаимодействия между соединениями (частями, подразделениями) по фронту и от тыла к фронту устанавливается: по радио- и радиорелейным линиям – средствами каждого; по проводным линиям, а также подвижными – средствами правого соседа и соединения (части, подразделения), находящегося в тылу (втором эшелоне, резерве); по опорным сетям – с использованием каналов (цепей), выделяемых вышестоящим штабом. Связь взаимодействия между соединениями (частями), действующими навстречу друг другу, устанавливается: ФПС – средствами старшего штаба; другими средствами связи – средствами каждого из взаимодействующих частей. Связь взаимодействия общевойсковых соединений (частей, подразделений) с соединениями (частями, подразделениями) родов войск устанавливается: по радио и радиорелейным линиям – средствами каждого; по проводным линиям – средствами соединения (части) родов войск. Связь взаимодействия общевойсковых соединений (частей, подразделений) с поддерживающей авиацией устанавливается через группы боевого управления (авианаводчиков), прибывающих на пункты управления соединений (частей, подразделений) со своими радиосредствами, а также обеспечивается по каналам системы связи соединения и объединения. Связь взаимодействия общевойсковых соединений (частей) с воздушно-десантными (десантно-штурмовыми) частями (подразделениями) устанавливается радиосредствами каждого из взаимодействующих штабов, в полете через ГБУ авиацией, в исходном районе для десантирования – с использованием каналов опорной сети, выделяемых штабом объединения. Связь взаимодействия общевойсковых соединений (частей) с соединениями (частями) специальных войск устанавливается: по радио и радиорелейным линиям – средствами каждого; по проводным линиям – средствами общевойсковых соединений (частей). Связь взаимодействия общевойсковых соединений (частей) Сухопутных войск с соединениями (частями) Военно-Морского Флота устанавливается: по радиорелейным линиям – средствами каждого; по радио – через представителей флота, прибывающих со своими радиосредствами на ПУ соединения (части) Сухопутных войск; по проводным линиям – средствами общевойсковых соединений (частей). Связь взаимодействия общевойсковых соединений (частей) Сухопутных войск с пограничными и внутренними войсками организуется и осуществляется в соответствии с указаниями вышестоящего штаба. Связь взаимодействия общевойсковых соединений (частей) Советской Армии с соединениями (частями) армий союзных государств обеспечивается по указанию штаба, организующего взаимодействие, и, как правило, взаимным обменом оперативными группами со средствами радиосвязи, Оповещение войск об угрозе применения противником ОМП, ВТО, о воздушном противнике, радиоактивном, химическом и бактериологическом заражении осуществляется вне всякой очереди по всем действующим каналам связи соединения (части, подразделения). а также сигнальными средствами. Авиация опознает свои войска по сигналам «Здесь линия фронта», подаваемых в ходе боевых действий и «Мы свои войска», подаваемым при расположении на месте, при совершении марша, а также при действиях на отдельных направлениях в отрыве от главных сил. Сухопутные войска опознают свою авиацию по ходам действующей системы радиолокационного опознавания, а в условиях визуальной видимости – по сигналам, подаваемым вертолетами и самолетами с помощью зрительных средств (бортовых огней, сигнальных патронов). Для целеуказания между авиацией и войсками применяются радио- и радиотехнические средства, дымовые, осветительные, трассирующие снаряды и мины, ориентирно-сигнальные, дымовые бомбы и ракеты. Таким образом, система связи соединения (части) должна быть всегда в боевой готовности к обеспечению управления войсками и оружием, обладать необходимой устойчивостью, мобильностью, пропускной способностью и разведзащищенностью. Боевая готовность системы связи – состояние системы связи, характеризующее степень ее способности немедленно приступить к обеспечению управления войсками и оружием в любых условиях обстановки. Основным показателем боевой готовности системы связи принято считать время перевода ее с мирного на военное положение, в более высокую степень боевой готовности. Под «временем перевода системы связи» понимается время, необходимое частям и подразделениям связи для выполнения мероприятий по изменению структуры системы в соответствии со сложившейся обстановкой. Время перевода устанавливается для каждого соединения (части) оперативной директивой в соответствии с их предназначением. Для системы связи, как и для войск, установлены четыре степени боевой готовности: Постоянная, Повышенная, Военной опасности, Полная. При этом требованием является достижение упреждающей готовности систем связи к управлению войсками по отношению к готовности органов управления, войск и оружия. Боевая готовностьПостоянная – состояние системы связи, при котором обеспечиваются потребности управления войсками при расположении частей и подразделений в пунктах постоянной дислокации. Система готова к приему и передаче сигналов оповещения и боевого управления при приведении войск в более высокие степени боевой готовности, спланированы мероприятия по переводу системы связи в полную боевую готовность, части и подразделения связи укомплектованы личным составом и техникой по штатам мирного времени и с ними проводится боевая подготовка. Боевая готовностьПовышенная – состояние системы связи, при котором обеспечивается перевод системы связи в наивысшую готовность к выполнению мероприятий, предусмотренных планом. При приведении системы связи в повышенную боевую готовность усиливаются дежурные смены гарнизонных узлов связи, производится погрузка возимых запасов на автотранспорт, в районы боевого предназначения высылаются оперативные группы штабов со средствами связи, проводится ряд других мероприятий по плану боевой готовности. Боевая готовностьВоенная опасность – состояние системы связи, при котором обеспечивается надежное управление войсками при выходе в любой из заранее спланированных районов сосредоточения (отмобилизование) или в незапланированные районы. По этой степени готовности части и подразделения связи постоянной готовности доукомплектовываются до штатов военного времени, а сокращенного и скадрованного состава – отмобилизовываются. Экипажам и должностным лицам по связи вручаются необходимые документы и данные по связи, в указанных районах сосредоточения частично развертываются полевые системы связи с выделением достаточного резерва связи на случай немедленного решения непредусмотренных планами задач, вводится круглосуточное дежурство на элементах системы связи, техника длительного хранения приводится в готовность к боевому применению, организуется охрана и оборона важных элементов системы связи. Боевая готовность системы связи достигается: заблаговременной подготовкой и непрерывным совершенствованием системы связи, проведением систематических тренировок по ее приведению в высшие степени боевой готовности; четкой организацией и бдительным несением дежурства на узлах, станциях и линиях связи; правильным пониманием начальниками связи, командирами частей и подразделений своих задач, своевременным принятием решения на организацию связи, планированием связи, постановкой задач частям и подразделениям связи; своевременным доведением до штабов и войск документов по связи; высоким уровнем специальной подготовки и полевой выучки личного состава частей и подразделений связи; постоянной технической готовностью средств связи к боевому применению, а личного состава – к выполнению поставленных задач; своевременным боевым, техническим и тыловым обеспечением частей и подразделений связи; высоким моральным состоянием, дисциплиной и бдительностью личного состава; осуществлением твердого и непрерывного управления связью. Устойчивость системы связи – способность системы связи обеспечивать управление войсками и оружием при всех воздействующих факторах. Устойчивость системы связи определяется ее живучестью, помехоустойчивостью и надежностью. Живучесть – способность системы связи обеспечивать управление войсками и оружием в условиях воздействия оружия противника. Помехоустойчивость – способность системы связи обеспечивать управление войсками и оружием в условиях воздействия помех всех видов. Надежность – способность системы связи обеспечивать связь, сохраняя во времени эксплуатационные показатели в пределах соответствующих условий войсковой эксплуатации, технического обслуживания, восстановления и ремонта. Устойчивость системы связи достигается: созданием широко разветвленной системы связи в соответствии с принятой системой управления войсками, комплексным применением средств связи на информационных направлениях; организацией взаимно независимых обходных и резервных линий и каналов связи; планированием и проведением мероприятий по защите системы связи от поражающих факторов всех видов оружия, средств технической разведки и РЭБ противника; знанием личным составом части (подразделения) связи приемов защиты от преднамеренных помех противника и умением применять их в конкретных условиях РЭО; созданием, правильным применением и своевременным восстановлением резерва связи; осуществлением быстрого маневра средствами и каналами связи; наличием аварийно-восстановительных команд по ликвидации последствий применения противником оружия массового поражения; своевременным проведением всех видов технического обслуживания техники связи и автоматизированного управления и строгим соблюдением правил их технической эксплуатации; высокой специальной выучкой и морально-психологической подготовкой личного состава части (подразделения) связи; охраной и обороной узлов, станций и линий связи. Мобильность системы связи – способность системы связи в установленные сроки развертываться, свертываться, перемещаться и изменять структуру построения в соответствии с обстановкой. Мобильность системы связи достигается: правильным уяснением задач, поставленных старшим начальником, и четкой их постановкой подчиненным; совершенствованием тактики действий частей (подразделений) связи по развертыванию и свертыванию узлов, станций и линий связи; высокой маршевой подготовкой и содержанием в исправном состоянии средств подвижности, способностью частей, подразделений связи выполнять задачи в любое время суток и года, а также в любых метеорологических условиях; широким использованием средств механизации работ при развертывании узлов и линий связи; быстрым маневром каналами, силами и средствами связи; использованием средств автоматизации при планировании, установлении и обеспечении; оперативным и устойчивым управлением связью. Пропускная способность системы связи – возможность системы связи передавать заданные потоки сообщений в единицу времени. В целом пропускная способность системы связи определяется пропускной способностью направлений связи, то есть максимальным количеством сообщений, которые могут быть переданы на направлениях связи за определенный период времени при заданной своевременности, достоверности и безопасности передачи. Необходимая пропускная способность системы связи должна быть такой, чтобы в самых сложных и напряженных условиях обстановки (в час наибольшей нагрузки – ЧНН) время прохождения сообщений, циркулирующих на направлениях связи, не превышало установленных сроков. Пропускная способность системы связи достигается: организацией между узлами связи необходимого количества линий и каналов связи; эффективным использованием каналов, линий, сетей и средств связи; высокой оперативностью составления и коммутации каналов; строгим выполнением должностными лицами органов управления установленных объемов передаваемых сообщений (длительности ведения переговоров); соблюдением на узлах связи очередности передачи сообщений по категориям срочности; сокращением времени обработки и прохождения сообщений на узлах (станциях) связи; широким внедрением средств быстродействия и автоматизации передачи (приема) сообщений; четкой организацией оперативно-технической службы на узлах связи; постоянным контролем за прохождением сообщений в установленные сроки; использованием средств связи непосредственно с рабочих мест командиров и офицеров штаба и умением их лично пользоваться средствами связи; высокой квалификацией личного состава узлов связи; созданием на узлах связи и в шифрорганах (кодогруппах) специальных абонентских пунктов для передачи криптограмм по коммутируемым телефонным каналам. Разведзащищенность системы связи – способность системы связи противостоять всем видам разведки противника. Из всех видов разведки противника, направленных на вскрытие системы связи, самой эффективной является радиоразведка, позволяющая в реальном масштабе времени определять местоположение и оперативно-тактическую принадлежность радиоизлучаю-щих средств, а по их совокупности – линий и узлов связи. Поэтому, занимаясь разведза-щищенностью системы связи, в первую очередь необходимо обратить внимание на защищенность ее от радиоразведки противника. Показателями разведзащищенности являются время вскрытия системы связи и время вскрытия УС ПУ. Разведзащищенность системы связи достигается: установлением и соблюдением режимов работы технических средств управления и связи; планированием и проведением мероприятий по защите системы связи от технических средств разведки противника; сохранением в тайне от противника мероприятий по организации связи; рациональным выбором средств и способов обеспечения связи; применением аппаратуры быстродействия, сверхбыстродействия и засекречивания; организацией контроля за выполнением установленных режимов работы различных средств связи и других мер маскировки, требований СУВ (скрытого управления войсками), а также немедленным пресечением выявленных нарушений. 1.5 Способы организации радио-, радиорелейной и проводной связи. Связь подвижными средствами 1.5.1 Радиосвязь Радиосвязь является важнейшей, а во многих случаях и единственной связью, способной обеспечить управление войсками в самой сложной обстановке и при нахождении командиров и штабов в движении. Радиосвязь может быть установлена: с объектами, местоположение которых неизвестно; через территорию, занятую противником; через непроходимые и зараженные участки местности; с объектами, находящимися в воздухе и в море. Она позволяет осуществлять передачу боевых приказов, распоряжений, донесений и сигналов одновременно большому числу корреспондентов. Однако при организации и обеспечении радиосвязи необходимо учитывать: возможность перехвата переговоров и передач; возможность определения противником мест нахождения работающих радиостанций и создания им преднамеренных радиопомех; зависимость состояния связи от условии прохождения радиоволн и возможных помех в пункте приема; условия электромагнитной совместимости (ЭМС) радиоэлектронных средств; сильное влияние на связь высотных ядерных взрывов (ВЯВ); уменьшение дальности действия радиостанций при работе их в движении. Радиосвязь может организовываться по радионаправлениям и радиосетям. Применение того или иного способа либо его разновидности в каждом отдельном случае зависит от конкретных условий обстановки, назначения данной связи, степени ее важности, специфики боевых действий данного рода войск, характера и особенностей организации управления, потребности в обмене информацией; необходимости маскировки от радиоразведки противника и защиты от его радиопомех, наличия радиосредств и других факторов. Радионаправлеиие – способ организации радиосвязи между двумя пунктами управления (командирами, штабами). Рис. 3. Рисунок 3 Организации связи по радионаправлению.
В зависимости от назначения радионаправления могут быть постоянно действующими, дежурными, резервными и скрытными. В постоянно действующем радионаправлении радиостанции корреспондентов осуществляют непрерывную работу на прием и имеют возможность в любой момент вызвать друг друга. Обмен между ними ведется по мере необходимости. В дежурном радионаправлении радиостанция одного корреспондента непрерывно работает на прием, а другого – включается на прием и передачу только для ведения обмена. Такие направления организуются обычно для связи с разведывательными и разведывательно-штурмовыми группами, действующими в тылу противника, с подводными лодками и в других случаях, когда один из корреспондентов по тем или иным причинам не может непрерывно находиться на приеме. Резервные радионаправления создаются с целью обеспечения начальнику связи маневра связями в ходе боя, когда по условиям обстановки может появиться необходимость в установлении новых или усиления существующих связей. Работа в резервных радионаправлениях открывается для временной или постоянной связи по сигналам, передаваемым по другим каналам связи, или по расписанию. Скрытые радионаправления создаются в целях защиты радиосвязи от преднамеренных помех противника. До появления помех на основных радиосвязях обе радиостанции должны находиться на приеме. Работа на передачу открывается только в том случае, когда при нарушении всех основных связях с данным корреспондентом имеется острая необходимость передачи ему важного сообщения. Связь по радионаправлению может обеспечиваться на одной или двух частотах. При работе на одной частоте возможна только симплексная работа (передача и прием каждым корреспондентом ведутся поочередно). При наличии двух частот связь может осуществляться также и в полудуплексном (имеется возможность в любой момент перебить своего корреспондента) или дуплексном (связь между двумя корреспондентами, при которой оба имеют возможность одновременно вести как передачу, так и прием) режиме при определенном разносе частот передатчика и приемника. Применение радионаправлений во всех случаях обеспечивает необходимую быстроту и простоту установления связи, а также увеличивает скорость передачи сообщений при обмене и наиболее полно реализует данные частотно-диспетчерской службы при групповом методе назначения частот. Связь по радионаправлениям повышает маскировку от противника работы радиостанций, особенно при применении линейных или индивидуально-линейных позывных, работе без позывных, а также при ведении приема и передачи на разных частотах, достаточно разнесенных друг от друга по диапазону. Кроме того, применение этого способа позволяет наиболее эффективно использовать антенны направленного излучения, что в ряде случаев может резко увеличить дальность связи. Основным недостатком данного способа является повышенный расход радиосредств на пункте управления, от которого организуется связь по радионаправлениям, и частот, необходимых для установления этих связей. Развертывание большого количества радиостанции на пункте управления делает его громоздким и менее подвижным (мобильным). Способ организации связи по радионаправлениям применяется прежде всего в тех случаях, когда появляется необходимость в организации особо важных связей и потребность в передаче большого количества сообщений. Кроме того, радионаправление является пока основным способом, позволяющим применять аппаратуру засекречивания телеграфной буквопечатающей связи. Радиосеть – способ организации радиосвязи между тремя и более пунктами управления (командирами, штабами). Также, как и радионаправления, радиосети могут быть постоянно действующими, дежурными, резервными и скрытными. Назначение каждой из них в общем случае аналогично назначению соответствующих радионаправлений. Состав радиосети определяется в каждом отдельном случае ее назначением. Как правило, при двустороннем обмене одна радиосеть не должна иметь более 4–5 радиостанций. В тех радиосетях, в которых связь поддерживается только путем передачи коротких команд, распоряжений, донесений и сигналов, число радиостанций может быть значительно большим. К таким радиосетям могут быть отнесены танковые и авиационные радиосети, некоторые радиосети взаимодействия, радиосети оповещения и др. В общем случае организация связи по радиосетям представляет значительно большую сложность по сравнению с организацией связи по радионаправлениям. Работа в радиосети в зависимости от ее назначения может быть организована па общей частоте или различных частотах приема и передачи, на одной вызывной и нескольких рабочих частотах, на частотах передатчиков (комбинированная радиосеть), на частотах дежурного приема. Работа в радиосети на одной частоте (Рис. 4). Рисунок 4 Организация связи по радиосети на овной частоте.
Отличается своей простотой, так как позволяет устанавливать связь между любой парой корреспондентов данной сети без перестройки своих радиостанций. В радиосети при этом могут либо одновременно работать между собой два корреспондента, либо вестись циркулярная передача. Так как переговоры между двумя корреспондентами сети слышат все остальные, то обеспечивается взаимная информация между ними. Для организации радиосвязи по радиосети на одной частоте расходуется минимальное количество частот и радиосредств. Недостатком такой радиосети является относительно низкая пропускная способность. Кроме того, при этом способе снижаются разведзащищенность радиосети, возможности защиты ее от помех противника и затрудняется использование данных частотно-диспетчерской службы. Связь на одной частоте наиболее широко применяется в ротных, батальонных, полковых радиосетях, в радиосетях командиров дивизий, армейских корпусов, командующих армиями, в танковых, авиационных, артиллерийских и других радиосетях, работав которых осуществляется преимущественно телефоном или слуховым телеграфом. При работе на двух радиочастотах (рис. 5) главная радиостанция радиосети ведет передачу для починенных на одной частоте, а прием от них на другой. Подчиненные при этом слышат работу только главной радиостанции. Обмен информацией между подчиненными, таким образом, отсутствует, а установление связи между ними без перестройки передатчиков и приемников невозможно. Рисунок 5 Организация радиосети ни различных частотах приема и передачи
Использование для работы двух частот дает возможность осуществить полудуплексную и дуплексную связь, несколько повысить радиомаскировку и затруднить противнику создание помех. Основной недостаток работы в радиосети на двух частотах заключается в том, что подчиненные корреспонденты при необходимости вызвать главную радиостанцию должны обязательно предварительно прослушать ее частоту приема и убедиться в том, что эта частота в данный момент не занята передачей со стороны другого подчиненного корреспондента. Но такое предварительное прослушивание требует или перестройки своего приемника, что крайне нежелательно, или наличия дополнительного приемника при радиостанции. Вследствие этого подобные радиосети не находят широкого применения. Для повышения своевременности связи практикуется создание радиосетей в комбинации с резервными радионаправлениями. (Рис. 6) Рисунок 6 Организация связи штабу армии со штабом подчиненных соединений по радиосети с возможностью вывода радиостанции любого корреспондента на резервные радионаправления
При необходимости любой из корреспондентов радиосети по заранее установленному радиосигналу, передаваемому главной радиостанцией, может быть выведен в одно из этих резервных радионаправлении. Работа в радиосети наодной вызывной и нескольких рабочих частотах (Рис. 7) осуществляется следующим образом. На вызывной частоте производится вызов необходимого корреспондента, предложение о согласии и согласие на обмен, а также передача радиосигналов и коротких радиограмм. Длительный обмен осуществляется на одной из свободных в данный момент рабочих частотах, закрепленных за данной радиосетью, на которую перестраиваются обе радиостанции по договоренности между собой. На случай возможности вызова кого-либо из них третьим корреспондентом необходимо на время выхода для обмена оставлять на вызывной частоте дополнительные приемники (радиостанции). Рисунок 7 Организация связи по радиосети на одной вызывной и нескольких рабочих частотах
Работа в радиосети на одной вызывной и нескольких рабочих частотах затрудняет противнику ведение радиоразведки и дает возможность работать между собой одновременно нескольким парам корреспондентов, то есть повышает пропускную способность радиосети в целом. Такая организация радиосвязи применяется обычно в радиосетях взаимодействия с большим количеством корреспондентов. Работа в радиосети на частотах передатчиков (комбинированная радиосеть) в зависимости от назначения данной связи может осуществляться различными вариантами. Один из этих вариантов применяется только для обеспечения связи старшего начальника (штаба) с подчиненными при их небольшом количестве. Главная радиостанция при этом ведет передачу подчиненным на частоте своего передатчика (по радиосети), а прием от них осуществляет на частотах их передатчиков, то есть по радионаправлениям (Рис. 8). Такая комбинированная радиосеть сочетает в себе некоторые достоинства связи по обычной радиосети и радионаправлению. Она позволяет осуществлять циркулярную передачу, дает возможность главной радиостанции вести передачу для одного подчиненного с одновременным приемом от всех и обеспечивает дуплексную связь, обладает относительно высокой радиомаскировкой и сокращает расход передатчиков на пункте управления старшего штаба. Однако при этом повышается расход приемников при главной радиостанции и частот, необходимых для обеспечения связи. Связь между подчиненными по такой радиосети невозможна. Рисунок 8 Организация связи в радиосети на частотах передатчиков (комбинированная радиосеть)
Указанный вариант комбинированной радиосети наиболее выгодно применять в тех случаях, когда потребность в прямых переговорах между старшим начальником и подчиненными невелика, а между подчиненными вообще отсутствует; постановка задач подчиненным ведется короткими сигналами и командами, а обеспечение приема донесений от подчиненных имеет особо важное значение. Подобные комбинированные радиосети находят широкое применение в войсках ПВО, в частности для обеспечения управления радиолокационными постами и получения донесении от них. Для обеспечения связи одновременно между несколькими радиостанциями сети, когда каждая из них должна производить циркулярные передачи, применяется другой вариант комбинированной радиосети, при котором каждой радиостанции назначается своя частота передачи. В этом случае любая радиостанция сети передачу осуществляет на частоте своего передатчика, а прием – на частотах передатчиков корреспондентов. (Рис. 9) Такой вариант радиосвязи на частотах передатчиков применяется обычно в радиосетях взаимного оповещения ПВО.
При работе в радиосети на частотахдежурного приема вхождение в связь между корреспондентами осуществляется на присвоенных им частотах дежурного приема, а ведение обмена – на тех же частотах или частотах, назначаемых специально для обмена. Работа в радиосети на частотах дежурного приема возможна по нескольким вариантам. Первый вариант. Для осуществления связи каждому корреспонденту назначается своя частота приема, на которой ведется непрерывное дежурство (Рис. 10). Вызов при этом производится путем настройки приемника и передатчика (приемопередатчика) вызывающего корреспондента на частоту дежурного приема вызываемого. Ответ вызываемого корреспондента и обмен (переговор) между ними осуществляется на этой же частоте. Рисунок 10 Вариант радиосети на частотах дежурного приема (fi. f2 f3 f4 частоты дежурного приема корреспондентов радиосети)
По сравнению с остальными вариантами работы радиосети на частотах дежурного приема данный вариант отличается относительной простотой, так как установление связи и ведение обмена (переговора) осуществляется на одной частоте, а перестройку радиостанции производит лишь один из корреспондентов (вызывающий). С другой стороны, возможность ведения обмена только в симплексном режиме делает этот вариант малопригодным для работы буквопечатанием. Исходя из указанных причин первый вариант может применяться только для работы телефоном и слуховым телеграфом, причем наиболее удобно использовать радиостанции, собранные по трансиверной (совместной) схеме и имеющие заранее подготовленные частоты, так как при этом производится более быстрая перестройка приемопередатчика с одной частоты на другую. На случай вызова первого корреспондента (при работе со вторым на частоте последнего) со стороны третьего необходимо иметь вторую радиостанцию или по крайней мере дополнительный приемник. Тогда одна из этих радиостанций (приемник) должна находиться постоянно на своей частоте дежурного приема, а другая – работать по заданию для установления связи с необходимыми корреспондентами на их частотах (Рис. 11). Рисунок 1] Использование двух радиостанций для обеспечения связи по радиосети на частотах дежурного приема по первому варианту
Замена второй радиостанции приемником значительно ухудшает своевременность связи, так как при вызове занятого работой на другой частоте корреспондента он должен прервать переговор, перестроить радиостанцию на свою частоту, предупредить вызывающего корреспондента о том, что он занят и снова перестроить радиостанцию на прежнюю частоту для продолжения переговора. Поэтому такая комбинация радиостанции с дополнительным приемником может применяться только при недостатке радиостанций. Второй вариант. Для осуществления связи каждому корреспонденту, так же как и в предыдущем случае, назначается своя частота дежурного прием. Вызов при этом производится на частоте прием вызываемого, ответ – на частоте приема вызывающего, а обмен – на этих же двух частотах (Рис. 12).
Таким образом, при наличии радиостанции с раздельным приемом и передачей перестраивается только передатчик. Приемник непрерывно находится на частоте дежурного приема, присвоенной данному корреспонденту. Обмен может производиться в симплексном, полудуплексном режимах, что обеспечивает работу буквопечатанием. Основным недостатком данного варианта при использовании радиостанции, у которых приемник и передатчик размещены в одном автомобиле, является значительная трудность такого назначения частот корреспондентам, которое исключало бы во всех случаях помехи от работы собственного передатчика своему приемнику. Помех можно избежать только в том случае, если разнос между двумя любыми частотами дежурного приема будет не менее минимально необходимого разноса между частотами приемника и передатчика одной радиостанции. Второй недостаток данного варианта заключается в необходимости перестройки передатчика не только вызывающего, но и вызываемого корреспондента, что увеличивает время для установления связи между ними. Третий вариант. Для осуществления связи по этому варианту каждому корреспонденту назначается не одна, а две частоты: первая – для приема, вторая – для передачи (Рис. 13). Рисунок 13 Вариант радиосети на частотах дежурного приема ffi, f^ /j, f^fs-частоты дежурного приема корреспондентов радиосети; // , /?,…. fa/ – частоты передачи корреспондентов)
В этом случае вызывающий должен настраивать свой передатчик и приемник соответственно на частоты приема и передачи вызываемого. Перестройку радиостанции производит только вызывающий. Назначение таких пар частот, закрепленных за каждым корреспондентом, позволяет значительно увеличить количество одновременно возможных связей без взаимных помех. Поэтому данный вариант наиболее целесообразно применять при использовании радиостанций, у которых приемник и передатчик размещены в одном объекте. Разумеется, что у каждого корреспондента должно быть развернуто по две радиостанции: первая – для ответа на вызов, вторая – для работы по заданию. Четвертый вариант. Отличие данного варианта от всех предыдущих заключается в том, что обмен при установлении связи осуществляется не на частотах дежурного приема, закрепленных за корреспондентом, а на других (рабочих) закрепленных за данной радиосетью частотах, которые указываются одним из корреспондентов (как правило, вызывающим). Установление связи может производиться любым из трех предыдущих вариантов в зависимости от указаний начальника, организующего эту связь. Однако наиболее целесообразно устанавливать связь по первому варианту, как самому простому (Рис. 14). Рисунок 14 Вариант радиосети на частотах дежурного приема (f. /_, /j, /<, /, – частоты дежурного приема корреспондентов радиосети: f/^ // _> и/ц, f^ – пары рабочих частот для обмена в дуплексном режиме)
Достоинствами организации связи по радиосети на частотах дежурного приема являются: высокая радиомаскировка и защита от преднамеренных помех противника; удобство осуществления связи через инстанцию как вниз, так и вверх; независимость работы одной пары корреспондентов от одновременной работы других пар, что обеспечивает более высокую по сравнению с другими разновидностями работы по радиосети пропускную способность направлений связи и возможность одновременного осуществления связи между значительным количеством корреспондентов; более высокая эффективность использования радиосредств при поддержании связи с большим количеством корреспондентов по сравнению со связью по направлениям. К недостаткам организации работы по радиосети на частотах дежурного приема следует отнести: невозможность ведения циркулярных передач; необходимость перестройки радиостанции при каждом установлении связи с другими корреспондентами, что усложняет работу радистов, требует более высокой их квалификации и замедляет процесс установления связи; большую потребность в частотах; трудность назначения частот дежурного приема для обеспечения связи без взаимных помех с другими радиостанциями на данном пункте управления. Радиосвязь на частотах дежурного приема может применяться для обеспечения связи взаимодействия между оперативными объединениями, соединениями, а иногда частями. При необходимости частоты дежурного приема могут быть использованы также для обеспечения связи с подчиненными и со старшим начальником, особенно связи через инстанцию. При этом для связи между соединениями лучше всего использовать первый вариант, как наиболее простой. В оперативном звене управления в принципе возможно применение любого варианта. Практически в армии и во флоте наиболее целесообразно применять первый вариант в сочетании с четвертым, то есть установление связи и кратковременный обмен осуществлять на частоте дежурного приема вызываемого корреспондента, а для длительного обмена корреспонденты должны переходить в радионаправления, используя специально выделенные для этой цели рабочие частоты. Кроме того, в оперативном звене управления может применяться и третий вариант. Второй вариант, вследствие присущих ему недостатков, основным из которых является трудность в назначении частот, находит ограниченной применение. Следует подчеркнуть, что связь на частотах дежурного приема целесообразно организовать только при наличии радиосредств, обеспечивающих беспоисковую и бесподстроечную связь и позволяющих осуществлять быстрый переход с одной частоты на другую. При использовании радиостанций, оборудованных специальными устройствами частотной адаптации, радиосвязь между ними может быть организованапо абонентской радиосети. Для работы абонентской радиосети назначается группа частот, одинаково доступных любому корреспонденту этой сети. С целью обеспечения связи между двумя радиостанциями сети вызывающий корреспондент вызов производит на одной из свободных частот указанной группы. Специальное устройство вызываемого корреспондента контролирует все назначенные для связи в абонентской радиосети частоты и при получении вызова на одной из них перестраивает свой приемопередатчик на данную частоту. Связь между двумя корреспондентами осуществляется на этой же частоте в радионаправлении (Рис. 15). Рисунок J5 Организация связи в абонентской радиосети
Одновременно может работать несколько радионаправлений (пар корреспондентов абонентской радиосети) с сохранением при этом для главной радиостанции возможности ведения циркулярных передач и приоритетного вызова любой радиостанции сети. Общее число таких радионаправлений может быть равно числу частот в группе, назначаемых для работы абонентской радиосети. При ограниченном количестве радиосредств, радиочастот и времени на разработку радиоданных радиосвязь может обеспечиватьсяметодом вхождения радиостанций в действующие радиосети. Для обеспечения вхождения радиостанции старшего начальника (штаба) в радиосети подчиненных командиров (штабов) в них выделяются строки позывных для радиостанции старшего командира (штаба). Такой метод вхождения в радиосети наиболее полно отвечает требованиям радиомаскировки и не вызывает трудностей в организации и обеспечении радиосвязи. Радиостанциям командующих (командиров) для вхождения в радиосети подчиненных могут назначаться на определенный период времени дополнительные радиопозывные, которые должны знать на память радисты всех радиосетей. При вхождении в сети должен осуществляться обмен паролями между радиостанциями для предотвращения радиодиверсии со стороны противника. Вхождение радиостанции в радиосеть другого подразделения (части, соединения) связано с некоторыми трудностями, вытекающими из необходимости обязательного предварительного прослушивания работы в этой радиосети. Кроме того, появление в радиосети посторонних радиостанций нарушает нормальную работу сети, задерживая обмен между корреспондентами. В силу этого взаимного вхождения в радиосети целесообразно применять лишь в качестве дополнительной связи на случай нарушения основных или при отсутствии возможности обеспечения связи другими методами. Это обычно имеет место для обеспечения связи между соседними батальонами разных полков и соседними полками разных дивизий. Связь методом применения радиостанции «посредника» организуется в тех случаях, когда появляется особая необходимость скрыть от радиоразведки противника местонахождение какого-либо штаба, командира или объекта. Для работы в качестве радиостанции «посредника» выделяются специальные радиостанции или используются радиостанции подчиненных узлов связи. При этом передача радиограммы (телефонограммы) производится в адрес «посредника», а принимает ее как радиостанция «посредника», так и тот корреспондент, для которого она фактически передается (Рис. 16). При выборе места размещения радиостанции «посредника» учитывается замысел маскировки, условия распространения радиоволн и наличие связи (проводной) с «посредником» из пункта радиоприема скрываемого корреспондента. Радиограмма скрываемому корреспонденту считается переданной, если получено подтверждение о приеме ее от радиостанции «посредника» после проверки качества приема радиограммы скрытым корреспондентом. Рисунок] 6 Организация связи методом «посредника»
Из сравнения рассматриваемых способов организации радиосвязи и их разновидностей можно сделать вывод, что все они в значительной мере отличаются друг от друга и такого универсального способа, который бы удовлетворял всем требованиям при любых условиях обстановки, не существует. Поэтому применять те или иные способы и их разновидности необходимо в строгом соответствии с реальными потребностями и конкретными оперативно-тактическими условиями. Переприем и ретрансляция радиопередач Радиосвязь между двумя или несколькими корреспондентами может осуществляться непосредственно, либо через промежуточные пункты. Промежуточные пункты используются в тех случаях, когда расстояние между корреспондентами превышает дальность действия радиостанций и непосредственная связь между ними не обеспечивается. Кроме того, они могут применяться с целью радиомаскировки, защиты радиосвязи от преднамеренных помех противника, при неблагоприятных условиях прохождения радиоволн и для обеспечения радиосвязи между двумя оконечными радиостанциями, имеющими различные диапазоны частот. Промежуточные пункты могут производить переприем или ретрансляцию передачи. Для переприема на таком пункте достаточно иметь одну радиостанцию, которая принимает радиограмму от одного корреспондента и затем передает ее другому. Работа всех трех радиостанций при этом ведется на одной частоте (Рис. 17). Рисунок 17 Принцип использования промежуточной радиостанции для переприема
Наличие переприема в значительной степени замедляет обмен между оконечными радиостанциями. Для осуществления ретрансляции радиопередач на промежуточном (ретрансляционном) пункте необходимо иметь для радиостанции, настроенные на разные частоты. На рис. 18 и 19 изображены схемы симплексной ретрансляции. При этом по схеме рис. 18 ретрансляция может обеспечиваться только путем переключения радиостанций ретрансляционного пункта на прием или передачу по мере необходимости автоматически или вручную. Рисунок 18 Схема двусторонней симплексной ретрансляции
Рисунок 19 Схема двусторонней автоматической симплексной ретрансляции
Такая ретрансляция применятся обычно только при радиотелефонной связи, осуществляемой, как правило, радиостанциями малой мощности. Схема двусторонней дуплексной ретрансляции изображена на рис. 20. Рисунок 20 Схема двусторонней дуплексной ретрансляции
При устройстве ретрансляции следует иметь в виду, что дальность связи между оконечными радиостанциями увеличивается не в два, а в 1,5 – 1,7 раза вследствие накопления шумов в пункте ретрансляции. Для установления и поддержания связи назначаются следующие радиоданные частоты, позывные радиостанции, пароли и ключи к радиодокументам. Радиоданные определяются старшим штабом. Использование произвольных радиоданных запрещается. 1.5.2 Радиорелейная связь Радиорелейная связь обеспечивает высококачественные дуплексные каналы связи, практически мало зависящие от времени года и суток, от состояния погоды и атмосферных помех. При организации радиорелейной связи необходимо учитывать зависимость ее от рельефа местности, что вызывает необходимость тщательного выбора трассы линии связи, невозможность работы или значительное уменьшение дальности действия радиорелейных станций в движении, возможность перехвата передач и создания радиопомех противником. Радиорелейная связь может быть организована по направлению, по сети и по оси. Применение того или иного способа в каждом отдельном случае зависит от конкретных условий обстановки, особенностей организации управления, рельефа местности, важности данной связи, потребности в обмене, наличия средств и других факторов. Направление радиорелейной связи – это способ организации связи между двумя пунктами управления (командирами, штабами) (Рис. 21). Рисунок 21 Организация радиорелейной связи по направлениям
Этот способ обеспечивает наибольшую надежность работы направления связи и большую ее пропускную способность, но по сравнению с другими способами обычно требует повышенного расхода частот и радиорелейных станций при штабе, организующем связь. Кроме того, при организации связи по направлениям возникают трудности в размещении большого количества радиорелейных станций без взаимных помех на узле связи старшего штаба и исключается возможность маневра каналами между направлениями. Сеть радиорелейной связи – это способ организации связи, при котором связь старшего пункта управления (командира, штаба) с несколькими подчиненными пунктами управления (командирами, штабами) осуществляется с помощью одного радиорелейного полукомплекта (Рис. 22). Рисунок 22 Организация сети радиорелейной связи
При работе по сети передатчики радиорелейных станций подчиненных корреспондентов постоянно настроены на частоту приемника главной станции. Следует иметь в виду, что при отсутствии обмена все станции сети должны находиться в симплексном режиме, то есть в режиме дежурного приема. Право вызова предоставляется преимущественно главной станции. После вызова главной станцией одного из корреспондентов переговор между ними может продолжаться в дуплексном режиме. По окончании переговора станции вновь переключаются в симплексный режим. Количество радиорелейных станций в сети не должно превышать трех-четырех. Связь по сети возможна главным образом при условии, когда главная станция работает на ненаправленную (штыревую) антенну. В зависимости от обстановки подчиненные корреспонденты могут использовать как штыревые, так и направленные антенны. Если подчиненные корреспонденты находятся относительно главной станции в каком-либо одном направлении или в пределах сектора направленного излучения антенны главной станции, то связь старшего командира с подчиненными может обеспечиваться по сети и при работе на направленную антенну, имеющую сравнительно большой угол направленности (60 – 70°). Ось радиорелейной связи – это способ организации радиорелейной связи, при котором связь старшего пункта управления (командира, штаба) с несколькими подчиненными пунктами управления (командирами, штабами) осуществляется по одной радиорелейной линии, развернутой в направлении перемещения своего пункта управления или одного из пунктов управления подчиненных штабов (Рис. 23). Рисунок 23 Организация оси радиорелейной связи
Связь пункта управления старшего штаба с пунктами управления осуществляется через опорные (вспомогательные) узлы связи, на которых производится распределение телефонных и телеграфных каналов между пунктами управления. По сравнению со связью по направлениям организация радиорелейной связи по оси уменьшает количество радиорелейных станций на узле связи пункта управления старшего штаба и тем самым упрощает назначение частот этим станциям без взаимных помех, дает возможность осуществлять маневр каналами, обеспечивает более эффективное их использование, сокращает время для выбора и расчета трасс, облегчает управление радиорелейной связью и требует меньшего количества личного состава, необходимого для охраны и обороны промежуточных станций. Недостатками этого способа являются зависимость всей радиорелейной связи от работы осевой линии и необходимость в дополнительной коммутации каналов на опорных (вспомогательных) узлах связи. Пропускная способность оси определяется емкостью осевой линии, поэтому организация радиорелейной связи по оси целесообразна лишь в том случае, если на осевой линии используются многоканальные станции, а на линиях привязки – малоканальные. Применение для оси малоканальных станций не дает должного эффекта, так как требует значительного количества этих станций и частот. Радиорелейная связь осуществляется непосредственно или через промежуточные (ретрансляционные) радиорелейные станции. Эти станции развертываются в тех случаях, когда связь непосредственно между оконечными станциями не обеспечивается вследствие удаленности их друг от друга или по условиям рельефа местности, а также при необходимости выделения каналов в промежуточном пункте. 1.5.3 Проводная связь Проводная связь обеспечивает удобство ведения переговоров и передач, относительно большую скрытность по сравнению с радио- и радиорелейной связью, почти не подвержена воздействия преднамеренных помех. При организации проводной связи необходимо учитывать: возможность обеспечения связи только между неподвижными пунктами; большую уязвимость кабельных линий от ядерных взрывов, ударов авиации, огня артиллерии противника, от танков, бронетранспортеров и автомашин; сложность прокладки и снятия линий на зараженной и труднопроходимой местности, громоздкость материальной части и сравнительно малую скорость работ по прокладки и снятию линий связи; потребность в большом количестве сил и средств для перевозки, прокладки, эксплуатационного обеспечения и охраны линий связи. Проводная связь в зависимости условии обстановки и наличия сил и средств может быть организована по направлению или по оси. Направление проводной связи – способ организации связи между двумя пунктами управления (командирами, штабами) (Рис. 24). Рисунок 24 Организация проводной связи по направлениям
Проводная связь, организованная по направлениям, по сравнению со связью по оси придает большую устойчивость всей системе связи, так как при повреждении какой-либо одной линии связь нарушается только с одним из пунктов управления. Кроме того, такой способ организации проводной связи обычно обеспечивает большую пропускную способность всей системы связи в целом. Однако организация связи проводными средствами по направлениям замедляет установление связи, требует повышенного расхода сил и средств и исключает маневр каналами связи между направлениями. Ось проводной связи – способ организации связи, при котором связь старшего пункта управления (командира, штаба) с несколькими подчиненными пунктами управления (командирами, штабами) осуществляется по одной проводной линии, проложенной в направлении перемещения своего пункта управления или одного из пунктов управления подчиненных соединений (частей) Рис. 25. Рисунок 25 Организация проводной связи по оси
На оси проводной связи обычно оборудуются опорные (вспомогательные) узлы связи, от которых прокладываются линии привязки к пунктам управления старшего штаба и подчиненных соединений (частей, подразделений). По сравнению со связью по направлению проводная связь по оси дает значительную экономию в силах и средствах, обеспечивает более быстрое установление связи и позволяет обеспечивать маневр каналами. Недостатком этого способа является зависимость связи с несколькими пунктами управления от состояния осевой линии. Пропускная способность оси зависит от емкости осевой линии. Проводная связь по направлениям имеет более широкое применение в обороне, в исходном положении для наступления и при расположении войск на месте. При прокладке линий связи для предохранения их от повреждений используются складки местности, траншеи, ходы сообщения, а на подходах к узлам связи и пересечениях с маршрутами движения транспорта и танков линии зарываются в землю или укладываются в ровики. 1.5.4 Связь подвижными средствами В качестве подвижных средств связи используются вертолеты, бронетранспортеры, автомобили и мотоциклы. Подвижные средства применяются для обеспечения фельдъегерско-почтовой связи с вышестоящим штабом, между пунктами управления подчиненных частей (подразделений) во всех видах боевых действий, при передвижении и расположении войск на месте. Фельдъегерско-почтовая связь обеспечивает доставку штабам соединений, частей и подразделений практически неограниченного количества подлинных боевых документов – приказов, распоряжений, донесений и других секретных и служебных документов, а также постоянное общение личного состава между собой и населением страны путем доставки (пересылки) почтовых отправлений. Доставка документов в подлинном виде исключает возможность искажения сообщений и обеспечивает высокую скрытность их содержания. При организации фельдъегерско-почтовой связи следует учитывать: характер местности; состояние и загруженность маршрутов, скорость и проходимость подвижных средств; местонахождения пунктов управления и посадочных площадок; необходимость охраны фельдъегерей, доставляющих почтовые отправления. В зависимости от условий обстановки, местности, а также от наличия и состояния подвижных средств фельдъегерско-почтовая связь может быть организована по направлениям, по круговым маршрутам и по осям. Направление фельдъегерско-почтовой связи – способ организации связи подвижными средствами между двумя пунктами управления (командирами, штабами) при котором секретные и почтовые отправления доставляются по проложенному между ними маршруту (Рис. 26). Рисунок 26 Организация фельдъегерско-почтовой связи по направлениям
Этот способ применяется для организации фельдъегерско-почтовой связи с соединениями и частями, выполняющими наиболее важные задачи, и обеспечивает более быструю по сравнению с другими способами доставку всех видов секретных и почтовых отправлений, но требует большого количества подвижных средств и личного состава. Организация ФПС по направления находит широкое применение в оперативных объединениях и соединениях. Круговой маршрут фельдьегерско-почтовой связи – способ организации связи подвижными средствами старшего пункта управления (командира, штаба) с двумя и более подчиненными пунктами управления (командирами, штабами), при котором секретные и почтовые отправления доставляются одним рейсом последовательно (поочередно) в зависимости от проложенного между ними маршрута (Рис. 27). Рисунок 27 Организация фельдъегерско-почтовой связи по круговому маршруту
Этот способ применяется обычно при ограниченном количестве подвижных средств связи и обеспечивает доставку всех видов секретных и почтовых отправлений в более продолжительные сроки по сравнению со связью по направлениям. Он обычно находит широкое применение в соединениях и частях, а также в оперативном тылу. Ось фельдъегерско-почтовой связи – способ организации связи подвижными средствами старшего пункта управления ' (командира, штаба) с двумя и более подчиненными пунктами управления (командирами, штабами), при котором секретные и почтовые отправления доставляются через обменный пункт, развернутый вышестоящим штабом в районе дислокации подчиненных частей (Рис. 28). Рисунок 28 Организация фелъдъегерско-почтовой связи по оси
Этот способ применяется обычно при обеспечении ФПС с группировкой войск, действующих на отдельных направлениях, или с войсками, находящимися на значительном удалении. Секретные и почтовые отправления доставляются фельдъегерями (посыльными) и воинскими почтальонами. Подвижные средства связи пользуются правом преимущественного движения по всем дорогам и переправам и должны иметь установленный опознавательный знак (пропуск), а фельдъегеря – удостоверения установленного образца. При нахождении ПУ в движении станция ФПС должна быть готова принять все секретные и почтовые отправления, в том числе и доставляемые самолетами (вертолетами). С этой целью устанавливается определенный порядок обозначения станций ФПС. Порядок адресования всех видов секретных и почтовых отправлении определяется особыми положениями. Каждому соединению (части) выдается почтовый аттестат, предназначенный для приписки с узлами и станциями ФПС или к предприятиям МС. Воинские части, входящие в состав соединения, приписываются к станции ФПС своего соединения. Части, нс входящие в состав соединения, приписываются к станциям ФПС по указанию старшего начальника связи. 1.6 Режимы работы средств связи. Дисциплина связи В целях повышения скрытности связи и создания благоприятной электромагнитной обстановки на УС устанавливаются режимы работы излучающих средств связи и порядок использования средств связи (очередность ввода в действие линий радио-, радиорелейной, тропосферной и космической связи). Порядок использования и режимы работы излучающих средств связи определяются командиром (начальником штаба) с учетом условии обстановки, замысла действий и указаний вышестоящего штаба (распоряжения по связи вышестоящего штаба). Режимами работ излучающих средств связи могут быть: полное запрещение работы на передачу (режим радиомолчания); частичное разрешение работы; работа без ограничений. В ходе подготовки боевых действий, как правило, сохраняется режим работы всех средств связи, ранее развернутых в данном районе. Полное запрещение работы излучающих средств связи на передачу (режим радиомолчания) применяется обычно по прибытии войск в новый район и в период подготовки к боевым действиям. Частичное разрешение работы средств связи на передачу означает, что в отдельных радиосетях (радионаправлениях) и т.п. допускается работа на передачу на определенное время и в определенном районе. Вводится частичное разрешение обычно при перегруппировках (выдвижении) войск, на завершающем периоде подготовки боевых действий, при отражении внезапного нападения воздушного противника и др. случаях. Необходимые ограничения и разрешения в использовании средств связи устанавливаются распоряжением по связи штаба соединения (части) в зависимости от конкретных условий обстановки, характера боевых действий войск, потребностей системы управления и проводимых мероприятий оперативной (войсковой) маскировки. Режим работы без ограничений означает, что любое излучающее устройство может работать на передачу по мере необходимости. С началом боевых действий работа средств связи осуществляется без ограничений. Важнейшим условием обеспечения скрытности управления войсками является строгое поддержание дисциплины связи. Дисциплина связи – есть строгое и точное соблюдение установленных режимов работы, правил установления связи и ведения переговоров (передач) по каналам связи. Дисциплина связи достигается: твердым знанием и четким выполнением личным составом правил установления связи, ведения обмена и переговоров по средствам связи; соблюдением установленного режима работы излучающих средств связи, порядка их использования и мероприятий по радиомаскировке; высоким уровнем личной подготовки командиров, офицеров штабов по скрытому управлению войсками и использованию средств связи; установлением действенного контроля за использованием всех средств связи, особенно радио- и радиорелейных; воспитанием личного состава частей и подразделений связи в духе высокой бдительности. Командиры и начальники всех степеней обязаны немедленно принимать меры к пресечению нарушений дисциплины связи и правил скрытого управления войсками. 1.7 Узлы и линии связи Узлы связи (УС) являются важнейшими элементами системы связи. От их работы зависит непрерывность и устойчивость управления войсками. УС – организационно-техническое объединение сил и средств связи и автоматизированного управления, развернутых на пункте управления или в пункте распределения (коммутации) каналов (сообщений), для обмена информацией в процессе управления войсками. УС классифицируются по назначению, степени мобильности и степени автоматизации. По назначению УС подразделяются на УС ПУ, опорные (ОУС) и вспомогательные узлы связи (БУС), узлы фельдъегерско-почтовой связи (УФПС) и узлы контроля безопасности связи (УКБС). УС ПУ является его элементом и предназначен для обмена информацией с другими ПУ и обеспечения внутренней связи. ОУС предназначены для привязки к ним УС ПУ или вспомогательных узлов связи, образования, распределения (коммутации) каналов (сообщений) и передачи их на УС ПУ иВУС. ВУС предназначены для обеспечения связи с соединениями, частями, подразделениями и учреждениями, действующими в отрыве от основной группировки, а также для создания обходных направлений и повышения устойчивости системы связи. УФПС – организационное объединение подвижных сил и средств связи, обеспечивающих фельдъегерско-почтовую связь (прием, обработку и доставку секретных и служебных документов, всех видов почтовых отправлений). В качестве подвижных средств связи могут использоваться автомобили, бронетранспортеры, мотоциклы, вертолеты и самолеты связи, почтовые вагоны, катера связи и другие транспортные средства. УКБС предназначены для осуществления радиоконтроля, а также контроля за использованием связи и выполнением мероприятий по обеспечению безопасности связи, охране и обороне элементов системы связи. По степени мобильности УС подразделяются на стационарные и подвижные. Стационарные узлы связи (Ст.УС) оборудуются в защищенных и незащищенных сооружениях и предназначены для обеспечения управления войсками как в мирное, так и в военное время. Они должны иметь линии привязки к загородным пунктам выделения каналов государственной сети связи и стационарной опорной сети связи объединения. Подвижные УС предназначены для обеспечения управления войсками в полевых условиях как на месте, так и движении и способны перемещаться. Они обеспечивают управление войсками в ходе боевых действий, в мирное время – при выходе войск в районы сосредоточения и на учениях. Подвижные УС оборудуются: полевые – на автомобилях, бронетранспортерах, кораблях, в железнодорожных вагонах, специальных прицепах и контейнерах, воздушные – на вертолетах и самолетах. По степени автоматизации УС подразделяются на автоматизированные и неавтоматизированные. Автоматизированные УС – узлы связи, на которых процессы передачи сообщений, коммутации каналов и сообщений, а также управление узлом связи автоматизированы. Неавтоматизированные УС – узлы связи, на которых коммутация каналов (линий) и абонентов производится вручную. УС ПУ должны отвечать следующим основным требованиям: быть в постоянной готовности к передаче (приему) всех видов информации (обеспечению переговоров) в заданные сроки, с требуемой достоверностью и безопасностью; обеспечивать максимальные удобства пользования средствами связи и автоматизации; обладать высокой живучестью, разведзащищенностью и надежностью; удовлетворять требованиям электромагнитной совместимости радиоэлектронных средств, развертываемых на пункте управления; обладать высокой мобильностью и обеспечивать устойчивую связь в движении. Средства связи и автоматизации на УС организационно и технически объединяются в отдельные элементы (группы), в основу организационно-технического построения узлов связи положены два основных принципа: объединение средств связи в отдельные элементы по типам и назначению в системе связи (по видам и родам связи); объединение разнотипных средств связи в отдельные элементы в соответствии их оперативно-тактическим предназначениям (направлснческие группы по информационным направлениям). Организационная структура и состав УС определяется их предназначением. В состав УС ПУ соединения (части) могут входить следующие элементы: группа командно-штабных машин (КШМ); телефонная станция (ТФСт.); телеграфная станция (ТГСт.); группа каналообразования (ГКО); группа радиостанций средней мощности (ГРСтСМ); экспедиция; электропитающая станция (ЭПСт.); группа технического обслуживания (ГТО). В зависимости от принадлежности, предназначения УС и условий боевой обстановки некоторые элементы могут отсутствовать или объединяться с другими элементами УС. Группа КШМ предназначена для обеспечения связи должностными лицами ПУ непосредственно с их рабочих мест. Телефонная станция предназначена для обеспечения абонентам засекреченной и открытой телефонной связи по каналам, образованным различными средствами, а также внутренней связи на пункте управления. Телеграфная станция предназначена для обеспечения засекреченной и открытой телеграфной связи. Группа каналообразования предназначена для образования каналов на линиях прямой радиорелейной, тропосферной, космической связи и приема каналов первичном сети от ОУС старшего штаба. Группа радиостанций средней мощности предназначена для образования телефонных, телеграфных (буквопечатающих, слуховых) радиоканалов. Электропитающая станция предназначена для централизованного энергоснабжения элементов узла связи. Группа технического обслуживания предназначена для обеспечения безотказной работы средств связи и повышения эффективности их боевого применения. Порядок размещения УС ПУ определяется расположением основных элементов ПУ. условиями местности, а также количеством развертываемых средств связи. Размещение на местности УС ПУ соединения (части) в ходе боевых действий производится группами машин. Командно-штабные машины, телефонная, телеграфная экспедиции развертываются, как правило, вблизи группы управления. Радиостанции средней мощности, радиорелейные и тропосферные станции, станция космической связи размещаются вне пункта управления с соблюдением требований разведзащищенности, электромагнитной совместимости, биологической защиты личного состава и возможностей обеспечения устойчивости дистанционного управления. Средства связи, прибывающие на УС от вышестоящего штаба и взаимодействующих соединений (частей), размещаются по согласованию с начальником УС, который является старшим по отношению ко всем средствам связи, развернутым на пункте управления. УС ПУ соединения (части) перемещаются в составе колонн своих пунктов управления одним эшелоном, обеспечивая связь в движении и с коротких остановок. Линия связи – элемент системы связи, обеспечивающий образование каналов и групповых трактов первичной сети связи, имеющих общую среду распространения, линейные или антенно-мачтовые устройства, а также силы и средства их обслуживания. Линии связи подразделяются: по характеру оборудования и условиям эксплуатации на стационарные и полевые; по используемым средствам – на радио-, радиорелейные, космические и проводные (воздушные и кабельные); по предназначению в системе связи – на осевые, рокадные, прямой связи, привязки, соединительные, дистанционного управления и абонентские. В соединении (части) используются в основном линии прямой связи, соединительные, дистанционного управления и абонентские. Стационарные линии связи развертываются (строятся) заблаговременно для обеспечения связи в мирное время и при ведении боевых действий в начальном периоде войны. Полевые линии связи развертываются для обеспечения связи в ходе боевых действий (учений, маневров). Для их развертывания используются полевые, радиорелейные, тропосферные, космические и проводные средства связи. Полевые линии связи должны обладать высокой устойчивостью, разведзащищенностью и пропускной способностью. Это достигается: высокой подготовкой частей и подразделений связи; использовании линий связи в соответствии с их тактико-техническими характеристиками и условиями обстановки; широким применением аппаратуры засекречивания; поддержанием в исправном состоянии аппаратуры; организацией защиты линий связи от воздействия комплексного поражения и радиопомех противника, их охраной и обороной. Развертывание, эксплуатация и техническое обслуживание полевых линий связи осуществляется частями и подразделениями связи. Линии прямой связи развертываются непосредственно между узлами связи пунктов управления с использованием радио-, радиорелейных, тропосферных, космических и проводных (кабельных) средств. В тех случаях, когда обеспечение прямой связи между оконечными радио- и радиорелейными станциями по условиям прохождения радиоволн и значительных расстояний невозможно, могут развертываться ретрансляционные (переприемные) станции (пункты). Линии привязки развертываются между УС ПУ и опорными узлами (узлами привязки) опорной сети связи объединения (государственной сети связи). Привязка УС ПУ общевойсковых и ракетных соединений обеспечивается силами и средствами старшего штаба, а соединений и частей родов войск и специальных войск – собственными силами и средствами. Для соединения элементов УС между собой развертываются соединительные линии. Абонентские линии развертываются для соединения оконечных средств связи абонента с элементами УС.
2. Боевое обеспечение системы связи В боевой обстановке система связи подвергается интенсивному воздействию ОМП, обычных средств поражения, случайных и преднамеренных помех. Под боевым обеспечением понимается комплекс мероприятии, направленных на обеспечение безопасности связи, разведзащищенности и устойчивости функционирования системы связи, недопущение внезапного нападения противника, снижение эффективности его воздействия на систему и части (подразделения) связи, создание им благоприятных условий для обеспечения управления частями (подразделениями). Основными задачами боевого обеспечения являются обеспечение безопасности связи, защита системы и части (подразделения) связи от технических средств разведки противника, радиоэлектронная защита, защита от средств поражения противника, инженерное обеспечение, химическое обеспечение, гидрометеорологическое и топогеодезическое обеспечение, разведка связи и местности, охранение. 2.1 Защита от технических средств разведки. Радиомаскировка К техническим средствам разведки противника относятся радиолокационные, фотографические, телевизионные, лазерные, инфракрасные, акустические и другие средства. Защита системы, частей (подразделений) связи от технических средств разведки противника включает планирование и проведение мероприятий, направленных на снижение эффективности радиолокационных, телевизионных, фотографических, лазерных, инфракрасных, акустических и других технических средств разведки противника в получении сведений и системах управления и связи, группировке войск, замысле их действии и других данных о наших войсках. Она достигается: проведением мероприятий по маскировке элементов системы связи; высоким уровнем подготовки и бдительностью офицеров штабов и личного состава частей (подразделений) связи, организацией и постоянным контролем безопасности связи и выполнения маскировочных мероприятий; своевременным вскрытием и принятием мер по пресечению нарушений требований скрытого управления войсками, правил ведения связи и пользования аппаратурой засекречивания; выявлением и устранением демаскирующих признаков в организации и использовании средств связи и в характеристиках их излучения. Мероприятия по защите системы, частей (подразделений) связи от технических средств разведки противника планируются и проводятся начальником связи всех звеньев на основе указаний командира соединения (части), распоряжения вышестоящего штаба и принятого решения на организацию связи. Мероприятия по защите системы, частей (подразделений) связи от технических средств разведки противника отражаются в плане связи и плане организации и контроля безопасности связи. Одним из важнейших мероприятий по маскировке элементов системы связи является радиомаскировка. Радиомаскировка – комплекс согласованных по цели, месту и времени организованных технических мероприятий, направленных на противодействие радиоразведке противника. Она проводится во всех видах боевой деятельности войск. В зависимости от масштабов и характера решаемых задач радиомаскировка делится на оперативную и войсковую. Оперативная радиомаскировка – комплекс мероприятий, направленных на введение противника в заблуждение относительно истинной группировки, состояния и деятельности наших войск, а также намерения командования. Оперативная радиомаскировка является составной частью оперативной маскировки войск и проводится по плану штаба объединения. Войсковая радиомаскировка – комплекс организационных и технических мероприятий, проводимых с целью повышения разведзащищенности системы связи. Способы войсковой радиомаскировки определяются доступными для войск связи мерами противодействия радиоразведке противника по обнаружению и опознаванию источников излучения, определению их местоположения и принадлежности, перехвату и дешифрованию сообщений. К организационным мероприятиям по защите системы связи от радиоразведки противника относятся: * выявление и уничтожение постов радиоперехвата, анализа и пеленгования противника; * ограничение допуска лиц к работе на радиосредствах; * управление войсками с помощью формализованных документов, короткими сигналами и командами с соблюдением требований СУВ; » сокращение до минимума времени работы радиосредств на излучение; » запрещение работы открытым текстом или по открытым радиоканалам специалистов связи, а также допуска должностных лиц штабов с явно выраженными дефектами речи и радистов с характерным почерком при работе ключом; » ведение радиообмена без применения позывных и выдачи квитанций; * выделение высококвалифицированных радиоспециалистов для работы в наиболее важных радиосетях (радионаправлениях); » организация строгого контроля за соблюдением дисциплины связи и правил СУВ; * создание ложных радиосетей (по плану вышестоящего штаба) с имитацией работы в них применительно к реально действующим радиосетям и радионаправлениям; » обеспечение связи проводными и подвижными средствами, когда это позволяют условия обстановки (в районах сосредоточения войск, на марше, в обороне). К техническим мероприятиям по защите системы связи от радиоразведки относятся: » работа радиосредств минимально необходимой мощностью; » применение антенн направленного действия, использование экранирующих и отражающих свойств местности и местных предметов; * настройка радиосредств без выхода в эфир (на эквиваленты антенн); * применение аппаратуры засекречивания, передачи данных и датчиков кода Морзе, исключающих индивидуальный почерк радистов при работе на радиостанциях; » работа радио- и радиорелейных станций режиме дежурного приема при отсутствии нагрузки; » своевременное устранение характерных признаков в работе радиосредств, обусловленных неисправностью радиопередающих устройств, линий дистанционного управления ими и оконечной аппаратуры. 2.2 Защита радио- и радиорелейных линий связи от радиоподавления противника Защита радио- и радиорелейных линии связи от радиоподавления противника является одним из основных элементов обеспечения устойчивости системы связи. Радио-, радиорелейную связь нельзя считать организационной правильно, если нс разработаны и не доведены до частей задачи и мероприятия по защите ее от преднамеренных помех противника. Защита радио- и радиорелейной связи от радиоподавления достигается: выявлением и нарушением функционирования средств разведки и радиоподавления противника; проведением мероприятий по радиомаскировке; проведением организационных и технических мероприятий по защите от преднамеренных помех; совершенствованием навыков работы личного состава в условиях применения противником средств РЭБ. К основным организационным мероприятиям защиты от радиопомех противника относятся: * использование группового метода назначения частот и осуществление маневра ими; * организация скрытых и дублирующих радиосетей (радионаправлении) и обходных каналов связи; * использование частот, на которых затруднено создание преднамеренных помех из-за условий распространения радиоволн; переход на другие частоты с одновременным продолжением работы на подавляемой частоте; * применение адаптивных радиолинии и помехозащищенных методов связи (пространственно и частотно-разнесенные прием и передача, быстродействие и сверхбыстродействие, медленнодействие, слуховая телеграфная связь и др.); » поиск и уничтожение забрасываемых противником передатчиков помех разового действия; * применение переприемных и ретрансляционных пунктов, в том числе размещенных на летно-подъемных средствах; » организация на важнейших направлениях связи нескольких радиосетей различных диапазонов частот. Технические мероприятия защиты от помех осуществляются личным составом, обслуживающим средства связи. К ним относятся: » применение антенн направленного действия; » сужение полосы частот, изменение полосы пропускания приемника и тон-сигнала при слуховом приеме телеграфных сообщений, отстройка от помех незначительным смещением частоты приема; * маневр мощностью передающих устройств; * ориентирование антенн, при котором направление минимального приема диаграммы направленности совпадает с направлением прихода помехи. Проведение мероприятий необходимо осуществлять после того, как установлено, что радиопомехи создаются не забрасываемыми передатчиками помех или своими радио-излучающими средствами, а средствами радиоэлектронного подавления противника. При применении забрасываемых передатчиков помех используются следующие меры защиты: * обеспечение связи командиру с воздушного пункта управления; * немедленный вывод группы КШМ узла связи пункта управления из зоны, блокируемся помехами; * работа KB радиостанции в низкочастотной части диапазона, где эффективное использование передатчиков помех одноразового использования затруднено. 2.3 Электромагнитная совместимость и мероприятия по ее обеспечению Под электромагнитной совместимостью (ЭМС) понимается способность радиоэлектронных средств одновременно функционировать в реальных условиях эксплуатации с требуемым качеством при воздействии на них непреднамеренных радиопомех и не создавать недопустимых радиопомех другим радиоэлектронным средствам. К непреднамеренным помехам относятся: атмосферные, индустриальные, космические и взаимные. Наибольшая интенсивность атмосферных и индустриальных помех наблюдается на частотах ниже 1–2 МГц. На более высоких частотах влиянием этих помех можно пренебречь. Космические помехи проявляются в дециметровом и сантиметровом диапазонах волн и вероятность их появления невелика. Взаимные помехи возникают при совместной работе радиоэлектронных средств. Они наблюдаются во всем радиочастотном диапазоне, имеют большие уровни и, поэтому, оказывают сильное мешающее воздействие на работу линий радиосвязи. Причинами возникновения проблем ЭМС являются: 1. Высокая концентрация радиоэлектронных средств различного назначения. 2. Ограниченность частотного, пространственного и временного ресурсов. 3. Техническое несовершенство передающих и приемных устройств. Решение проблемы ЭМС радио- и радиорелейных средств связи достигается проведением комплекса организационных и технических мероприятий. К организационным мероприятиям относятся: » оценка радиоэлектронной обстановки (т.е. оценка состава и условий использования радиоэлектронных средств в данном районе или на объекте в данное время): * выполнение норм территориального разноса (удаления) КШМ, радио-, радиорелейных станций на ПУ и в колоннах; » рациональное распределение и назначение частот для средств связи, размещенных в одном объекте (КШМ, аппаратной) и на одном ПУ; » регламентация работы радиоэлектронных средств во времени; «выявление и устранение источников взаимных помех; * контроль за соблюдением режимов работы РЭС; * использование рельефа местности для снижения эффективности мешающих излучений; * правильный выбор, размещение и ориентирование антенн; * постоянный контроль за поддержанием в норме технических характеристик средств связи. Технические мероприятия по обеспечению ЭМС направлены на улучшение технических характеристик радиоэлектронных средств, которые и определяют их электромагнитную совместимость. Они проводятся на этапах разработки средств связи и их модернизации. К техническим мероприятиям относятся: » правильный выбор рабочего диапазона частот вновь разрабатываемых радиоэлектронных средств; » стандартизация и нормирование технических характеристик радиоэлектронных средств; * разработка устройств, которые повышают устойчивость работы радиоэлек тронных средств при воздействии взаимных помех; * разработка адаптивных систем связи. 2.4 Защита сил и средств связи от средств поражения противника Защита сил и средств связи от поражающих факторов всех видов оружия организуется и осуществляется с целью максимального ослабления воздействия на них оружия массового поражения (ядерного, химического, биологического (бактериологического) и обычного (в первую очередь, высокоточного) оружия противника), сохранения их боеспособности и обеспечения выполнения поставленных задач. Общее руководство организацией защиты от средств поражения осуществляет начальник связи соединения (части). Непосредственным ее организатором являются командиры (штабы) частей и подразделении связи. Мероприятия по защите элементов системы связи от средств поражения противника осуществляется силами и средствами частей, подразделений и экипажей станций (аппаратных) связи во всех условиях обстановки. Проведение этих мероприятий не должно приостанавливать выполнение боевых задач. Защита личного состава и средств связи от ОМП составляет основу боевого обеспечения системы и подразделений связи. Она организуется и проводится во всех видах боевых действий. Основными мероприятиями по защите сил и средств связи от ОМП являются: непрерывное ведение в части и подразделениях связи радиационной, химической и биологической (бактериологической) разведки; своевременное оповещение (предупреждение) частей (подразделений) связи о непосредственной угрозе и начале применения противником ОМП, а также о своих ядерных ударах, о радиоактивном, химическом и биологическом (бактериологическом) заражении; рассредоточение части (подразделения) и элементов системы связи на местности; инженерное оборудование позиций развертывания элементов системы связи и районов расположения частей (подразделений) связи; использование защитных и маскирующих средств местности; использование индивидуальных средств защиты, защитных свойств командно-штабных специальных машин, аппаратных, станций; своевременное и полное обеспечение подразделений связи индивидуальными и коллективными средствами защиты, средствами специальной обработки, приборами радиационной и химической разведки; выбор наиболее целесообразных способов преодоления зон заражения; обеспечение безопасности и защиты личного состава частей (подразделений) связи при их действиях в районах разрушений, затоплений, поморов и зонах заражения; восстановление системы связи и боеспособности частей (подразделений) связи. На элементах системы связи и в подразделениях связи организуется также постоянный контроль за радиоактивным облучением личного состава, заражением местности и средств связи, своевременно проводятся санитарно-гигиеничсские, противоэпидемические и специальные профилактические мероприятия. После применения противником ОМП принимаются срочные меры по ликвидации его последствий. Кроме того, предусматриваются и проводятся мероприятия по обеспечению устойчивой связи в условиях электромагнитных возмущений, вызванных высотными ядерными взрывами. К высокоточному оружию (ВТО) относятся системы вооружения, боеприпасы которых обеспечивают высокую боевую эффективность не за счет мощности боевой части, а за счет точности стрельбы с вероятностью попадания в цель не менее 0.93 с первого выстрела (пуска). Основными видами ВТО являются управляемые ракеты (УР), управляемые авиационные бомбы и кассеты с боевыми элементами индивидуального наведения. Общими мерами противодействия разведывательно-ударным комплексам (РУК) и ВТО противника являются: выявление и оповещение войск о действии РУК и ВТО; поражение и вывод из строя РУК и их элементов; инженерное оборудование, маскировочные работы на элементах системы связи и районах размещения частей (подразделений) связи, нелинейное «очаговое» размещение элементов УС на местности; оборудование ложных элементов УС ПУ с помощью комплексного использования металлических уголковых отражателей (ОМУ) и тепловых ловушек типа КФП-1–180 (ложная тепловая цель – каталитическая фитильная печь); широкое применение на УС тепловых ловушек для имитации теплоизлучения бронетанковой техники и сооружений; использование специальных радиопоглощающих покрытий типа «Кольчуга», «Тень-2» ВФ-ФЗ, ВКФ-1, а также покрытие техники щитами из пиломатериалов, хвороста, тростника, дерна, соломы и других подручных материалов; применение табельных маскировочных комплектов типа МКТ (зимний), МКС (синтетический летний), универсальных масок каркасных (УМК), масок скрытия РЛС (МГС), универсальных комплектов «Конспект», «Ворс»; применение камуфляжа (деформирующей окраски техники); применение водно-полимерного покрытия (ВПП) на технике связи; экранирование выхлопных устройств и двигателей транспортных средств, агрегатов ЭПСт листами, масками из асбеста, стеклоткани; создание аэрозольных и дымовых завес района УС; перемещение колонн УС ПУ отдельными группами по 6–8 аппаратных с расстояниями между группами не менее 100–150 м, а между аппаратными не менее 70 м. Мероприятия по защите системы, частей и подразделений связи отражаются в пояснительной записке к плану связи соединения (части), в боевом распоряжении части связи, в боевом приказе командира части и на рабочих картах. 2.5 Разведка связи и местности. Охранение Разведка связи ведется с целью установления наличия и состояния местных средств связи в полосе действий соединения (части) и возможности их использования для обеспечения связи, выявления имущества и складов связи, оставленных противником. Она проводится путем изучения карт, схем связи, военно-экономического описания района боевых действий, осмотром местности и местных объектов связи, изучения документов и средств связи, захваченных у противника, опросом местных жителей. Штаб части связи создает для этих целей специальную группу (команду). Разведка местности проводится с целью получения необходимых сведений о ее особенностях, влияющих на развертывание и функционирование системы связи, на передвижение и маневр частей и подразделений связи. Она включает добывание и анализ данных: о рельефе, состоянии грунта, районах размещения и развертывания узлов, станции и линий связи, наличии и характере водных и других преград; районах разрушений, пожаров и затоплений; возможных направлениях преодоления районов радиоактивного, химического и биологического (бактериологического) заражения; защитных свойствах естественных укрытий; наличии и состоянии дорог и площадок для посадки самолетов и вертолетов связи. Для непосредственной разведки мест развертывания узлов, линий и станций связи создаются рекогносцировочные группы из частей (подразделений) связи. В их задачу входит разведка маршрутов выдвижения в районы развертывания, выбор мест развертывания элементов УС, а также предварительная разведка этих районов на наличие мин, фугасов, радиоактивного, химического и биологического (бактериологического) заражения. Разведка связи и местности организуется начальником связи. Начальник связи соединения (части) определяет задачи разведки, сроки их выполнения, силы, средства и способы ведения разведки. Штабом подчиненных частей (подразделений) задачи по разведке связи могут указываться в распоряжении по связи или доводиться до них отдельным распоряжением. Непосредственно подчиненным частям связи задачи по разведке связи и местности, как правило, ставятся при отдаче им предварительных распоряжений и постановке задач по обеспечению связи. Полученные разведывательные сведения отображаются на рабочих картах и докладываются начальнику связи. Охранение элементов системы, части и подразделений связи организуется и осуществляется с целью не допустить проникновения разведки противника в районы расположения узлов, станций, частей и подразделений связи, исключить внезапное нападение на них наземного противника, его воздушных десантов (аэромобильных групп) и обеспечить охраняемым частям (подразделениям) время и выгодные условия для развертывания элементов системы связи и их работу. Охрана проводных линий связи организуется также в целях недопущения подслушивания противником ведущихся по ним переговоров. Части (подразделения) связи охраняются: на марше походным, при расположении на месте – сторожевым и во всех случаях обстановки, кроме того, непосредственным охранением. Во время марша (перемещения) узлов, резервов, частей и подразделении связи в колоннах организуется наблюдение, устанавливаются сигналы оповещения и порядок действий подразделений (экипажей) при нападении противника. Для оповещения и передачи команд на марше используются радио- и сигнальные средства связи. При организации охранения элементов системы, частей и подразделений связи при нахождении их на месте предусматриваются следующие мероприятия: наиболее опасные направления прикрываются заграждениями, проходы к УС перекрываются постами и секретами, у основных объектов выставляются часовые, остальные объекты охраняются патрулями и дозорными. УС ПУ охраняются по общему плану охраны и обороны ПУ, развертываемого штабом соединения (части), силами и средствами части (подразделения) связи совместно с общевойсковыми подразделениями, предназначенными для охраны пункта управления. Непосредственное охранение элементов УС осуществляется личным составом части (подразделения) связи. Для отражения нападения противника привлекается весь личный состав дежурных и свободных от дежурства смен, а также расположенные вблизи другие подразделения. Охрана организуется должностными лицами, свободными от несения дежурства. Вспомогательные узлы, резервы связи, ретрансляционные (переприемные) пункты и другие элементы системы связи следует размещать преимущественно вблизи расположения войск. Охранение БУС, РП (ПРП) и других элементов связи, а также районов расположения части, подразделений и резервов связи организуется распоряжением командира части (подразделения) связи. Командир части (подразделения) при организации охранения обычно указывает: на каких направлениях (в каких районах) сосредоточить особое внимание; где, какое охранение, к какому времени иметь и какие силы для этого привлечь; какое непосредственное охранение иметь в подразделениях. |



























