Курсовая работа: Зеркальная антенна РЛС
|
Название: Зеркальная антенна РЛС Раздел: Рефераты по коммуникации и связи Тип: курсовая работа |
Министерство образования и науки Российской Федерации РГРТА Кафедра РТС Пояснительная записка к курсовой работе по дисциплине "Антенны и устройства СВЧ" на тему: "Зеркальная антенна РЛС" Рязань 2004 Содержание 1. Введение 2. Расчёт геометрических параметров зеркала и облучателя 2.1 Основные параметры усечённого параболоида 2.2 Основные размеры зеркала 2.3 Основные размеры рупора 3. Расчёт основных электрических параметров и уточнение геометрических 3.1 Расчёт диаграммы направленности рупора 3.2 Аппроксимация диаграммы направленности рупора 3.3 Расчёт распределения амплитуды поля на излучающей поверхности зеркала 3.4 Аппроксимация распределения амплитуды поля на излучающей поверхности зеркала 3.5 Диаграмма направленности зеркальной антенны 3.6 Расчёт КНД зеркальной антенны 4. Конструктивный расчёт 4.1 Расчёт профиля зеркала 4.2 Облегчение конструкции зеркала 4.3 Расчёт допуска на точность установки облучателя в фокусе 4.4 Расчет допусков на точность изготовления зеркала 4.5 Описание конструкции 5. Заключение Список литературы Приложение 1. ВведениеЗеркальные антенны являются наиболее широко распространенным типом антенн в дециметровом и особенно в сантиметровом диапазонах волн. Такое широкое применение зеркальных антенн объясняется относительной простотой их конструкции, возможностью получения диаграммы направленности (ДН) почти любого типа из применяемых на практике, высоким КПД, малой шумовой температурой и т.д. Зеркальные антенны легко позволяют получить равносигнальную зону, а некоторые их типы могут применяться для быстрого перемещения (качания) ДН в пространстве без заметных искажений её формы в значительном секторе углов. Зеркальные антенны являются наиболее распространённым типом антенн, используемых для радиотелескопов и антенн с очень большой направленностью, применяемых для целей космической связи. Широко используются зеркала с параболической формой поверхности (параболоид вращения, усечённый параболоид вращения, параболический цилиндр.), также распространены сферические зеркальные антенны, двухзеркальные антенны. 2. Расчёт геометрических параметров зеркала и облучателя2.1 Основные параметры усечённого параболоида
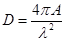
2.2 Основные размеры зеркалаОсновные размеры зеркала определим из выражения для коэффициента направленного действия (КНД) Для передающей зеркальной антенны необходимо обеспечить такое облучение, чтобы ослабление поля на краях по всему контуру зеркала было одинаково и составляло 10-14 дБ относительно его центра. С учётом этого условия определяем коэффициент использования поверхности по таблице приведенной в [2]: Теперь можно определить площадь раскрыва:
Так как по заданию
Зададимся углом раскрыва зеркала в вертикальной плоскости
Так как на краях зеркала должно быть обеспечено ослабление поля 10 дБ, то ширина нормированной диаграммы направленности облучателя по мощности на уровне 0,1 (по напряжённости на уровне 0,3) должна быть равной углу раскрыва зеркала. В качестве облучателя возьмем пирамидальный рупорный облучатель, возбуждаемый прямоугольным волноводом. 2.3 Основные размеры рупора
Размеры раскрыва рупора выберем по требуемой диаграмме направленности в соответствующей плоскости. Ширина диаграммы направленности связана с размерами раскрыва
где
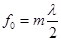
Выберем стандартный волновод по заданной длине волны Пересчитаем по уравнению стыковки высоту рупора в плоскости Е
Углы раскрыва рупора в плоскости Е и в плоскости Н:
3. Расчёт основных электрических параметров и уточнение геометрических3.1 Расчёт диаграммы направленности рупораНормированная диаграмма направленности рупора в плоскости Е:
Нормированная диаграмма направленности рупора в плоскости Н:
3.2 Аппроксимация диаграммы направленности рупораАппроксимируем диаграмму направленности рупора в плоскости Е в пределах главного лепестка функцией Диаграмма направленности достаточно хорошо аппроксимируется функцией
Значения
Таким образом Пересчитываем фокусное расстояние для оптимального угла раскрыва
Уточняем фокусное расстояние по синфазности излучения облучателя назад с основным излучением антенны. Для обеспечения синфазности излучения должно выполняться условие
3.3 Расчёт распределения амплитуды поля на излучающей поверхности зеркалаНормированное распределение амплитуды поля в вертикальной плоскости описывается выражением
Нормированное распределение амплитуды поля в горизонтальной плоскости описывается выражением
где
3.4 Аппроксимация распределения амплитуды поля на излучающей поверхности зеркалаТак как амплитуда поля на краях раскрыва зеркала отлична от нуля, то В этом случае удобна аппроксимация В вертикальной плоскости
В горизонтальной плоскости
где
3.5 Диаграмма направленности зеркальной антенныНенормированная диаграмма направленности зеркальной антенны без учёта тени от облучателя определяется выражением
Нормированная диаграмма направленности с учётом тени от облучателя: в вертикальной плоскости
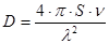
3.6 Расчёт КНД зеркальной антенны
4. Конструктивный расчёт4.1 Расчёт профиля зеркалаЗеркало представляет собой усечённый параболоид вращения. Так как нужно обеспечить одинаковое (10-14 дБ) ослабление поля на краях по всему контуру зеркала, то его нужно обрезать не по прямой линии, а по некоторой кривой, являющейся контуром равной интенсивности поля. Диаграмма прямоугольного рупора на заданном уровне (10 дБ) имеет сечение, близкое к эллиптическому. Такую же эллиптическую форму должен иметь контур зеркала. [3]
Уравнение поверхности зеркала в декартовой системе координат имеет следующий вид: Сечение зеркала вертикальной плоскостью имеет вид:
Сечение зеркала горизонтальной плоскостью имеет вид:
4.2 Облегчение конструкции зеркалаС целью уменьшения веса и парусности параболических антенн их отражатели выполняют из решёток или перфорируют. Решётчатая поверхность выполняется из металлических проводов или пластин. Расстояния между элементами решётки должны быть меньше половины длины волны, вектор электрического поля, излучаемого облучателем, должен быть параллельным элементам решётки. Зеркало можно считать хорошим, если коэффициент прохождения не превышает 1%. Коэффициент прохождения определяется как отношение энергии волны, прошедшей за зеркало, к энергии падающей волны. Коэффициент прохождения для параболоида вращения можно рассчитать по следующей приближённой формуле: Рассчитаем основные параметры для решётки, выполненной из металлических проводов. Зависимость коэффициента 4.3 Расчёт допуска на точность установки облучателя в фокусеДля получения в раскрыве параболической антенны волны с плоским фазовым фронтом необходимо фазовый центр облучателя помещать по возможности точнее в фокусе параболической поверхности. Определим, с какой точностью необходимо выполнять это условие. Допустимый сдвиг облучателя из фокуса определяется неравенством
4.4 Расчет допусков на точность изготовления зеркалаПри определении допуска на точность изготовления зеркала исходят из допустимой фазовой ошибки в раскрыве, равной Допуск в центральной части зеркала 4.5 Описание конструкцииПолученная зеркальная антенна состоит из следующих частей (см. приложение): 1) рефлектор (зеркало), представляющий собой усечённый параболоид вращения, и выполненный из тонких металлических проводов; 2) облучатель - пирамидальный рупор, обеспечивающий вертикальную поляризацию; 3) опоры рефлектора; 4) механизм вращения по азимуту; 5) подзеркальник; 6) механизм вращения по углу места; 7) питающий волновод; 8) оббортовка; 9) опоры облучателя; 10) платформа антенны. 5. ЗаключениеВ результате выполнения работы была разработана зеркальная антенна, удовлетворяющая заданным техническим требованиям: обеспечена веерная диаграмма направленности ( Список литературы1. Власов В.И., Берман Я.И. "Проектирование высокочастотных устройств радиолокационных станций". Ленинград, издательство "Судостроение". Ленинград, 1972. 2. Жук М.С., Молочков Ю.Б. "Проектирование антенно-фидерных устройств". М. -Л., издательство "Энергия", 1966. 3. Драбкин А.Л. и др. "Антенно-фидерные устройства". Изд.2-е, дополненное и переработанное. М., "Сов. радио", 1974. 4. Дорохов А.П. "Расчёт и конструирование антенно-фидерных устройств". Издательство Харьковского университета, 1960. Приложение
|






при 
, 
, 







