Курсовая работа: Параметри роботи компресора
|
Название: Параметри роботи компресора Раздел: Промышленность, производство Тип: курсовая работа |
ЗМІСТ 1. Розрахунок турбокомпресора 2. Розрахунок компресора Література 1. РОЗРАХУНОК ТУРБОКОМПРЕСОРА Вихідні дані: Марка двигуна по ДСТ………………………………...….4ЧН 12/14 Діаметр циліндра………………………………………….Д ц =0,12 м Хід поршня…………………………………………………S = 0,14 м Температура навколишнього повітря…………………….t о =293 К Барометричний тиск повітря……………………...P o = 1013000,1013 Па Вибираємо: Теоретично необхідна кількість повітря для повного згоряння 1-го кг палива………………………………………………… Коефіцієнт надлишку повітря……….…………………….a = 2,5 Швидкість поршня…………………………………………C m = 9 м/с Адіабатний ККД……………………………………………η ад. = 0,7 P s /P k = 0,98 η 0 = 0,7 T 01 = 300 К ∆T a = 20 К γ r = 0,03 Температура вихлопних газів………………………….......T r = 750 К Ступінь стиску……………………………………..…….....ε = 14 P a /P s = 0,85 Газова стала………………………………………………...R = 287 Кількість циліндрів……………………………………….…z = 4 Тактність двигуна…………………………………….……..i = 4 Витрата пального…………………………………….……...g е = 0,21 Ступінь підвищення тиску………………………...…….…π к = 1,5 φ а = 1,16 ∆Р a = 0,002 Обороти:
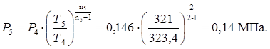
Тиск повітря у ресивері двигуна:
Температура повітря після компресора:
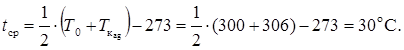
Температура повітря у ресивері:
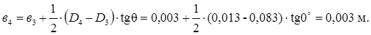
Температура повітря на початку стиску: Коефіцієнт наповнення:
Змінний об’єм циліндра:
Витрата повітря через компресор:
Потужність двигуна:
Середній ефективний тиск:
Густина повітря: ρ =1,205. Об’ємний розхід:
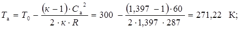
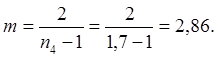
Вибираємо турбокомпресор за Q або G за діаграмами ТКР-7. 2. РОЗРАХУНОК КОМПРЕСОРА Основні вихідні дані. Витрати повітря через компресор (з розрахунків)…………G к = 0,079 м/с Ступінь підвищення тиску (з попередніх розрахунків)………..π к = 1,5 ККД компресора по ГОСТ 9658-81………………………………n к = 0,68 Діаметр колеса на виході……………………………………….D 2 = 0,07 м Число лопаток колеса……………………………………………...z к = 14 Число лопаток дифузора…………………………….…………….z д = 17 Розрахунок параметрів і показників компресора. Показник адіабати…………………………………………….к пр = 1,397 Температура після компресора при адіабатному стиску:
Середня температура в процесі стиску:
Середня теплоємність при постійному об’ємі:
Уточнене значення показника адіабати:
Перевірка:
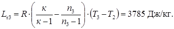
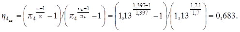
к пр - значення прийняте на початку розрахунку; ∆к - повинна бути в межах 0,2%. Питома робота, затрачувана на привід компресора:
R = 287- газова постійна; Товщина лопаток на виході δ 2 = 0,002 м; Емпіричний коефіцієнт циркуляції К 90 = 0,015. Коефіцієнт циркуляції:
Коефіцієнт дискового тертя: α д = 0,05. Коефіцієнт робот:
Окружна швидкість колеса на діаметрі D2 :
Частота обертання ротора турбокомпресора:
Потужність, що споживається компресором:
Розрахунок вхідного пристрою та обертового прямуючого апарата (ОПА). Тиск перед компресором:
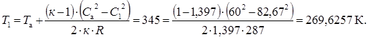
Швидкість на вході в компресор: Ca = 60. Параметри потоку на вході: - температура:
- тиск:
- щільність:
Прохідний перетин вхідного патрубка:
Відносна величина швидкості потоку на вході в колесо (рекомендовані значення):
Швидкість на вході в колесо:
Температура повітря перед колесом:
Коефіцієнт втрат у вхідному пристрої:
Втрата вхідному пристрої:
Коефіцієнт для визначення ділення показника політропи:
Показник політропи у вхідному пристрої:
Тиск на вході в колесо:
Щільність на вході:
Прохідний перетин колеса на вході:
Відносна величина діаметра маточини колеса:
Діаметр маточини:
Відносний зовнішній діаметр колеса на вході:
Зовнішній діаметр колеса на вході:
Середній діаметр колеса на вході:
Окружна швидкість на середньому діаметрі:
Відносна швидкість потоку на вході у ОПА:
Кут потоку на вході в колесо:
Розрахунок робочого колеса компресора. Коефіцієнт втрат на вході в колесо:
Втрати на вході в колесо:
Коефіцієнт втрат при повороті потоку в колесі:
Втрати при повороті потоку:
Втрати на тертя диска о газ:
Сумарні втрати в колесі:
Температура повітря на виході з колеса:
t 2 = 25,9531о С. Коефіцієнт для визначення показника політропи в колесі:
Показник політропи стиску повітря в колесі:
Тиск на виході з колеса:
Щільність повітря на виході:
Крок лопаток на виході:
Коефіцієнт загромадження перетину на виході:
Радіальні складові абсолютної і відносної швидкостей:
Окружна складова абсолютної швидкості:
Абсолютна швидкість повітря на виході з колеса:
Окружна складова відносної швидкості:
Відносна швидкість потоку на виході:
Кут виходу потоку в абсолютному русі:
Кут виходу потоку у відносному русі:
Кут відставання потоку:
Ширина лопаток колеса на виході:
Ступінь підвищення тиску в колесі:
Адіабатний ККД робочого колеса:
Розрахунок безлопаточного дифузора. Відносний зовнішній діаметр дифузора:
Зовнішній діаметр дифузора:
Відносна ширина дифузора на виході:
Ширина дифузора на виході:
Відносна зміна щільності повітря в дифузорі:
Швидкість потоку на виході із дифузора:
Температура потоку на виході:
Показник політропи процесу стиску в дифузорі:
Тиск на виході з дифузора:
Щільність повітря на виході:
Перевірка відносної зміни щільності:
Перевірка:
(r 3 /r 2 )пр - значення прийняте на початку розрахунку; D (r 3 /r 2 ) - повинна бути в межах 1%. Втрати в щілинному дифузорі:
Ступінь підвищення тиску в дифузорі:
Адіабатний ККД безлопаточного дифузора:
Розрахунок лопаточного дифузора. Зовнішній діаметр дифузора:
Кут розкриття дифузора в меридіальній площині:
Ширина дифузора на виході:
Кут потоку на вході в дифузор:
Кут виходу потоку:
Крок лопаток на вході при z д = 13:
Товщина лопаток на вході:
Коефіцієнт загромадження перетину на вході:
Прохідний перетин на вході в дифузор:
Швидкість потоку на вході в дифузор:
Товщина лопаток на виході з дифузора:
Крок лопаток на виході:
Коефіцієнт загромадження перетину на виході:
Прохідний перетин на виході:
Дифузорність каналів лопаточного дифузора:
Показник політропи в дифузорі:
Коефіцієнти безрозмірного рівняння збереження енергії:
Ступінь підвищення температури в дифузорі:
Температура повітря на виході:
Швидкість потоку на виході із дифузора:
Тиск повітря на виході:
Щільність повітря:
Втрати в лопаточному дифузорі:
Ступінь підвищення тиску в дифузорі:
Адіабатний ККД лопаточного дифузора:
Розрахунок збірного равлика. Швидкість потоку на виході з компресора:
Температура потоку на виході з компресора:
Показник політропи в збірному равлику:
Тиск на виході:
Щільність повітря на виході:
Прохідний перетин вихідного патрубка:
Втрати у вихідному пристрої:
Ступінь підвищення тиску в равлику:
Адіабатний ККД равлика:
Розрахунок параметрів стиснутого повітря і ККД компресора. Температура загальмованого потоку на виході:
Тиск загальмованого потоку:
Ступінь підвищення тиску в компресорі:
Перевірка:
π кпр - значення прийняте на початку розрахунку; ∆π к - повинна бути в межах 3%. Питома адіабатна робота компресора:
Сумарна витрата енергії на подолання опорів:
Коефіцієнт для випередження показника політропи в компресорі:
Показник політропи стиску повітря в компресорі:
Робота компресора при політропному стиску:
Адіабатний ККП компресора:
Перевірка:
∆η к - повинна бути в межах 3%. |









,


хв-1
.














































при β
= 1,0503.


















