Реферат: Електромагнітні хвилі
|
Название: Електромагнітні хвилі Раздел: Рефераты по физике Тип: реферат | ||||||||
РЕФЕРАТ на тему:” Електромагнітні хвилі ” План 1. Природа електромагнітних хвиль. 2. Хвильові рівняння електромагнітних хвиль. 3. Енергія електромагнітних хвиль. Вектор Пойнтінга. 1. Природа електромагнітних хвиль Існування електромагнітних хвиль – змінного електромагнітного поля, яке поширюється в просторі з кінцевою швидкістю, – випливає з рівнянь Максвелла. Рівняння Максвелла сформульовані ще в 1865 р. на основі узагальнення емпіричних законів електричних і магнітних явищ і розвитку ідеї Фарадея. Вирішальну роль для підтвердження теорії Максвелла зіграли досліди Герца (1888), які довели, що електричні й магнітні поля дійсно поширюються у вигляді хвиль, властивості яких повністю описується рівняннями Максвелла. В інтегральній формі рівняння Максвелла мають вигляд:
З цих рівнянь можна зробити кілька важливих висновків: - змінне магнітне поле - причиною виникнення статичного електричного поля є наявність у просторі статичних електричних зарядів - струм провідності - магнітних зарядів в природі не існує (4). Джерелом електромагнітних хвиль може бути будь-який електричний коливальний контур або провідник, по якому тече змінний електричний струм, оскільки для утворення електромагнітних хвиль необхідно створити в просторі змінне електричне поле (струм зміщення) (3), або відповідно змінне магнітне поле (1). Випромінююча здатність джерела електромагнітних хвиль визначається його формою, розмірами і частотою коливань. Щоб випромінювання було помітним, необхідно збільшити об’єм простору, у якому створюється змінне електромагніт-не поле. Тому для одержання електромагнітних хвиль непридатні закриті коливальні контури, так-як в них електричне поле зосереджене між обкладками конденсатора, а магнітне – усередині котушки індуктивності. Герц у своїх дослідах, зменшуючи число витків котушки і площу пластин конденсатора, а також розсовуючи їх (рис. 1, а, б), здійснив перехід від закритого коливального контуру до відкритого коливального контуру (вібратора Герца), який складається з двох стрижнів, розділених іскровим проміжком (рис. 1, в). Якщо в закритому коливальному контурі змінне електричне поле зосереджене усередині конденсатора (рис. 1, а), то у відкритому – воно заповнює навколишній простір (рис. 1, в), що істотно підвищує інтенсивність електромагнітного випромінювання.
Рис. 1 Рис. 2 Коливання в такій системі підтримуються за рахунок джерела е.р.с., увімкненого до обкладок конденсатора, а іскровий проміжок застосовується для того, щоб збільшити різницю потенціалів, до якої в початковий момент часу заряджаються обкладки конденсатора. Для утворення електромагнітних хвиль вібратор Герца В під’єднували до індуктора I (рис. 2). Коли напруга на іскровому проміжку досягала пробивного значення, виникала іскра, яка замикала обидві половини вібратора, і у вібраторі виникали вільні затухаючі коливання. При зникненні іскри контур розмикався і коливання припинялися. Потім індуктор знову заряджав конденсатор, виникала іскра й у контурі знову спостерігалися коливання, і т.д. Для реєстрації електромагнітних хвиль Герц використовував інший вібратор, який був названий резонатором Р, що мав таку ж частоту власних коливань, як і випромінюючий вібратор. Коли електромагнітні хвилі досягали резонатора, то в його зазорі виникала електрична іскра. Для одержання незатухаючих коливань необхідно створити автоколивальну систему, яка б забезпечувала подачу енергії з частотою, рівною частоті власних коливань контуру. Тому в 20-х роках минулого сторіччя перейшли до генерування електромаг-нітних хвиль за допомогою електронних ламп. Лампові генератори дозволяють одержувати коливання заданої (практично будь-якої) потужності і синусоїдальної форми. Електромагнітні хвилі, які мають досить широкий діапазон частот (або довжин хвиль λ = c/υ, де с - швидкість електромагнітних хвиль у вакуумі), відрізняються одна від одної за способам їх генерації і реєстрації, а також за своїми властивостями. Тому електромагнітні хвилі поділяються на кілька видів: радіохвилі, світлові хвилі, рентгенівське і γ-випромінювання (табл. 1). Слід зазначити, що межі між різними видами електромагнітних хвиль досить умовні. Таблиця 1.
Наслідком теорії Максвелла є поперечний характер електромагнітних хвиль: вектори Ε і Η напруженостей електричного і магнітного полів хвилі взаємно перпендикулярні (рис. 3) і лежать у площині, яка є перпендикулярною до вектора υ швидкості поширення хвилі, причому вектори Ε, Η і υ утворюють правогвинтову систему.
Рис. 3 З рівнянь Максвелла випливає також те, що в електромагнітній хвилі вектори Ε і Η завжди коливаються в однакових фазах (рис. 3), причому миттєві значення Е і Н у будь-якій точці зв'язані співвідношенням
Рівняння коливань векторів Е і Н, які задовольняють плоским монохроматичним електромагнітним хвилям (рис.3) мають вигляд
де Е0 і Н0 ─ відповідні амплітуди електричного і магнітного полів хвилі; ω ─ колова, або циклічна частота; к ─ хвильове число ( к = ω/υ). 2. Хвильові рівняння електромагнітних хвиль Для одержання хвильових рівнянь електромагнітних хвиль, розв’язком яких є рівняння (6), скористаємось рівняннями Максвелла.
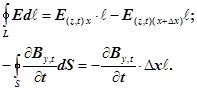
Рис. 4 Розглянемо замкнутий контур в системі координат Еz
,o,x , сторони якого відповідно дорівнюють
Оскільки ліві сторони рівнянь (7) відповідають рівнянню Максвелла (1), то праві сторони цих рівнянь можна прирівняти. Після незначних спрощень одержуємо
В граничному випадку, коли
де –
Рівняння Максвелла (3) використаємо до замкнутого контуру в координатній площині Нy ,o,x (рис.4), вважаючи що вільні електричні заряди відсутні, а тому струм провідності jdS = 0
Оскільки ліві сторони рівнянь (10) однакові, то й праві сторони однакові. Прирівняємо праві сторони цих рівнянь, одержимо
В граничному випадку, коли
Оскільки
Продиференціюємо рівняння (12) по координаті х, одержимо
Замість виразу в душках правої сторони рівняння (13) підставимо його значення з рівняння (9), одержимо
Продиференціюємо по координаті х рівняння (9)
Похідну в душках правої сторони рівняння (15) замінимо на відповідну похідну з рівняння (12), одержимо
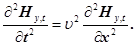
З рівнянь (14) і (16) шляхом незначних перетворень одержуємо хвильові рівняння електромагнітних хвиль
Аналогічні до (17) хвильові рівняння можна одержати, якщо кожне з рівнянь (6) двічі диференціювати за часом і координатою і виключити з них функцію косинуса, тобто
Звідки, врахувавши що
Аналогічно диференціюємо друге рівняння (6) й після незначних спрощень одержуємо
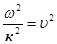
Співставлення рівнянь (18) і (19) з рівняннями (17) дає можливість визначити швидкість поширення електромагнітних хвиль
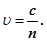
Якщо врахувати, що для вакууму ε =1 і μ = 1, то швидкість поширення електромагнітних хвиль у вакуумі буде дорівнювати
Одержане значення швидкості поширення електромагнітних хвиль у вакуумі добре збігається з швидкістю поширення світла. В діелектричному середовищі (крім феромагнетиків) швидкість поширення електромагнітних хвиль менша на
Для світлових хвиль, які можуть поширюватись в прозорих діелектричних середовищах, величину
3. Енергія електромагнітних хвиль. Вектор Пойнтінга Можливість виявлення електромагнітних хвиль указує на те, що вони переносять енергію. Об'ємна густина w енергії електромагнітної хвилі складається з об'ємних густин
В рівняння (9), яке дорівнює
одержимо
Після необхідних спрощень одержимо
Оскільки
Рівність (37) справедлива не лише для амплітудних значень напруженостей електричного й магнітного полів, але й для будь-яких їх значень, тобто
Вираз (34) густини енергії електромагнітних хвиль перепишемо в такому вигляді
або з урахуванням (38) одержимо
Нехай електромагнітна хвиля поширюється з швидкістю υ в напрямі осі х. Виділимо прямокутний паралелепіпед з площею торця S і стороною υΔt, як це показано на рис. 5.
Рис. 5 Повна енергія, яка буде перенесена через площадку S за час Δt буде дорівнювати
Із цієї формули знайдемо вектор потоку енергії, яка переноситься через площадку S в напрямі осі х із швидкістю υ, тобто
Так-як вектори Ε і Η взаємно перпендикулярні й утворять з напрямком поширення хвилі правогвинтову систему, то напрямок вектора [Е·Н] збігається з напрямком переносу енергії, а модуль цього вектора дорівнює Е·Н. Отже, вектор густини потоку електромагнітної енергії, називається вектором Пойнтінга. Якщо електромагнітні хвилі поглинаються або відбиваються тілами, то відповідно до теорії Максвелла вони повинні здійснювати на тіла деякий тиск. Тиск електромагнітних хвиль пояснюється тим, що під дією електричного поля хвилі заряджені частинки речовини починають упорядковано рухатися і крім того з сторони магнітного поля хвилі на частинку діє сила Лоренца. Однак величина цього тиску досить мізерна. Можна оцінити, що при середній потужності сонячного випромінювання на Землю діє тиск , який не перевершує 5 мкПа. Вперше тиск електромагнітного випромінювання вдалось виміряти російському фізику Лебедєву. Поле електромагнітних хвиль має певний імпульс, величину якого можна оцінити через енергію так
де W ─ енергія електромагнітної хвилі; с ─ швидкість поширення електромагнітних хвиль. |



(6)

(10)
(13)
(15)
(17)
