Реферат: Елементи дозиметрії

Название: Елементи дозиметрії
Раздел: Рефераты по физике
Тип: реферат

РЕФЕРАТ

на тему:”Елементи дозиметрії”


План

1. Поглинена й експозиційна дози. Одиниці вимірювання дози випромінювання.

2. Особливості взаємодії різних видів випромінювання з біологічними об'єктами.

3. Дія іонізуючого випромінювання на організм людини


3.6.1 Поглинена й експозиційна дози. Одиниці вимірювання дози випромінювання

Для визначення поглиненої енергії будь-якого виду випромінювання в середовищі використовують поняття поглиненої дози випромінювання.

Поглинена доза випромінювання визначається енергією, яка поглинається одиницею маси опроміненої речовини. За одиницю поглиненої дози випромінювання приймається джоуль на кілограм (Дж/кг). Джоуль на кілограм - поглинена доза випромінювання, яка відповідає енергії в один джоуль будь-якого іонізуючого випромінювання, що поглинається масою в один кілограм опроміненої речовини. В системі СІ одиницю поглиненої дози будь-якого випромінювання називають грей (Гр), 1 Гр = 1 Дж/кг. .
Позасистемною одиницею поглиненої дози випромінювання є рад. Один рад відповідає поглиненій енергії в 10-5 Дж на 1кг будь-якої речовини: 1 рад = 10-5 Дж/кг = 0,01 Гр. Відповідно до вищевикладеного

(3.6.1.1)

де Dпогл. - поглинена доза випромінювання, ΔE - енергія, поглинена речовиною, що опромінюється, Δm - маса речовини.

Величина поглиненої дози випромінювання залежить від властивостей випромінювання і поглинаючого середовища.

Для характеристики дози з точки зору іонізації застосовується так звана експозиційна доза рентгенівського й γ - випромінювання. Експозиційна доза виражає енергію випромінювання, перетворену в кінетичну енергію заряджених частинок в одиниці маси атмосферного повітря.

За одиницю експозиційної дози рентгенівського й γ - випромінювань приймається кулон на кілограм - 1 Кл/кг. Кулон на кілограм це така експозиційна доза рентгенівського й γ - випромінювань, при якій пов’язана з цим випромінюванням корпускулярна емісія на кілограм сухого повітря при нормальних умовах (при t0 = 0°C і тиску 760 мм рт. ст.) створює у повітрі іони, які мають заряд в один кулон електрики кожного знака.

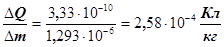
Позасистемною одиницею експозиційної дози рентгенівського й γ - випромінювань є рентген. Рентген – одиниця експозиційної дози фотонного випромінювання, при проходженні якого крізь 0,001293 г повітря в результаті завершення всіх іонізаційних процесів в повітрі створюються іони, що несуть заряд 3,33·10-10 Кл (одну електростатичну одиницю кількості електрики) кожного знака. Маса 0,001293 г - це маса 1 см3 атмосферного сухого повітря за нормальних умов: при температурі 0о С та тиску 1,013.105 Па (760 мм рт.ст.). Експозиційна доза може також вимірюватись в долях рентгена - мілірентгенах - мР або в мікрорентгенах - мкР (1 Р = 103 мР = 106 мкР).

Величину експозиційної дози можна оцінити за допомогою формули

(3.6.1.2)

де Dексп. - експозиційна доза рентгенівського й γ - випромінювань; ΔQ - заряд, що виникає у результаті іонізації повітря в елементі об’єму; Δm - маса повітря, що опромінюється, у цьому об’ємі.

Експозиційній дозі 1 Р відповідає величина в системі СІ (Дж/кг)

Dексп. = .

Якщо врахувати, що середня енергія утворення іонів у повітрі Е = 34 еВ і n=2,08.109 1/см3 , то одиниці експозиційної дози "рентгену" буде відповідати:

Dексп. = n · Е = 2.08 ·109 · 34 ·10-6 = 7.06 ·104 МеВ/см3 .

Dексп. = n Е = 1.61 1012 34 10-6 = 5.47 107 МеВ/г.

Отже, для одержання експозиційної дози в один рентген потрібно, щоб енергія, витрачена на іонізацію в одному кубічному сантиметрі повітря (або грамі), відповідно дорівнювала

1 Р = 7.06 104 МеВ/см3 = 5.47 ·107 МеВ/г .

Співвідношення між поглинутою дозою випромінювання Dпогл. , вираженою в радах (1рад = 10-5 Дж/г), і експозиційною дозою рентгенівського й γ - випромінювань Dексп. , вираженою в рентгенах (1Р = 87.7 107 Дж/г), для повітря має вигляд:

Dексп. = 0.877 Dпогл. .

Із зіставлення доз випливає, що в умовах електронної рівноваги при експозиційній дозі, рівній одному рентгену, поглинута доза дорівнює 0.877 рад, або 0,00877 Гр. (1 рад = 0,01 Гр)

3.6.2 Особливості взаємодії різних видів випромінювання з біологічними об'єктами

За останні десятиліття людина створила кілька сотень штучних радіонуклідів і навчилася використовувати енергію атома для різноманітних цілей: у медицині, для створення ядерної зброї, для виробництва електроенергії, виявлення пожеж, для пошуку корисних копалин, розвитку перспективних новітніх радіаційних технологій. Усе це призводить до збільшення дози опромінення як окремих людей, так і населення Землі вцілому.

У цьому зв'язку, впливу іонізуючих випромінювань на живі організми присвячені численні дослідження, результати яких показані в численних статтях, працях симпозіумів, підручниках, методичних й навчальних посібниках.

Різні види випромінювань супроводжуються вивільненням різної кількості енергії і мають різну проникну здатністю, тому вони здійснюють неоднакові впливи на тканини живого організму. Альфа - випромінювання, яке складається з нейтронів і протонів, практично не проникає через зовнішній шар шкіри, утворений відмерлими клітинками. Тому воно не створює небезпеки доти, поки радіоактивні речовини, що випромінюють a - частинки, не потрапляють всередину організму через відкриту рану, з їжею або з повітрям; тоді вони стають надзвичайно небезпечними.

Бета-випромінювання має більшу проникну здатність: воно проходить у тканини організму на глибину один - два сантиметри.

Проникна здатність гамма - випромінювання, яке поширюється зі швидкістю світла, дуже велика: його може затримати лише товста свинцева або бетонна плита.

Ушкоджень, викликаних у живому організмі випромінюванням, буде тим більше, чим більше енергії воно передає тканинам: кількість переданої організму енергії називається дозою. Дозу випромінювання організм може одержати від будь-якого джерела випромінювання незалежно від того, знаходяться радіонукліди поза організмом або всередині його (у результаті попадання з їжею, водою або повітрям). У цьому зв'язку розрізняють зовнішнє і внутрішнє опромінення.

Кількість енергії випромінювання, одержуваної одиницею маси тіла, яке опромінюється, (тканини організму), називається поглиненою дозою. Ця величина також як і при опроміненні будь-якої речовини виміряється в системі СІ в Греях (1Гр = 1 Дж/кг) і радах (1 рад = 0.01 Гр). Але ця величина не враховує того, що при однаковій поглиненій дозі альфа - випромінювання небезпечніше ніж бета або гамма-випромінювання.

Якщо взяти до уваги цей факт, то дозу варто помножити на зважуючий фактор, який відображує здатність випромінювання даного виду зашкодити тканинам організму. Біологічний ефект випромінювань при хронічному (професійному) опроміненні всього тіла враховує зважуючий фактор випромінювання W (табл. 3). Він показує, у скількох разів даний вид випромінювання створює більший біологічний ефект, ніж гамма-випромінювання, при рівних дозах обох випромінювань.

Добуток поглиненої дози Д даного виду випромінювання на його зважуючий фактор W називається еквівалентною дозою:

Де = WּД. (3.6.2.1)

Одиниця еквівалентної дози в системі СІ, називається зівертом (Зв). Один зіверт відповідає поглинутій еквівалентній дозі (для рентгенівського, γ - і β - випромінювань). На практиці також використовується одиниця еквівалентної дози, яка називається біологічним еквівалентом рада "бер" (1 бер = 0.01 Зв).

Еквівалентну дозу випромінювання, віднесену до одиниці часу, називають потужністю еквівалентної дози. Якщо за інтервал часу від t1 до t2 середовище одержало еквівалентну дозу Д, то середня потужність еквівалентної дози буде дорівнювати

(3.6.2.2)

Радіаційний зважуючий фактор - коефіцієнт, що враховує

відносну біологічну ефективність різних видів іонізуючого

випромінювання. Використовується винятково при розрахунку

ефективної та еквівалентної доз.

Зважуючий фактор випромінювань (W) для деяких речовин показаний в таблиці 3 (НРБУ – 97)

Таблиця 3
Вид випромінювання W Вид випромінювань W
Рентгенівське і - випромінювання 1

Протони (Ер = 10 МеВ) Важкі ядра.

Теплові нейтрони<10кеВ

5
20
5
Альфа - випромінювання (Еa = 10 Мэв) 20

Нейтрони з енергією:
5 кеВ
20 кеВ
100 кеВ
1 МеВ
10 МеВ

>20 МеВ

5

10
20
20
10
5

Бета - випромінювання 1 . .

Біологічна дія випромінювання на організм людини залежить і від потужності дози. При однаковій дозі випромінювання біологічний ефект зростає зі зменшенням інтервалу часу t1 – t2 . Тому в робочих приміщеннях ядерних установок контролюють не тільки дозу випромінювання, але й потужність дози випромінювання.

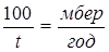
Для персоналу, який працює у полі випромінювання, встановлюються ліміти доз (ЛД). Ліміти доз беруться в рамках індивідуальної ефективної дози (в деяких випадках – еквівалентної) за календарний рік (ліміт річної ефективної дози) для осіб категорій А і Б та річної ефективної дози для критичних груп осіб категорії В (населення). Останнє означає, що значення річної дози опромінення осіб, які входять в критичну групу, не повинно перевищувати ліміту дози, встановленої для категорії В. Орієнтовні значення ЛД для різних категорій осіб А, Б, В наведені в НРБУ-97.

Потужність дози оцінюють шляхом ділення встановленого ЛД , наприклад 1,00 мЗв за робочий тиждень на тривалість робочого тижня


Pлд = , (3.6.2.3)

де t - тривалість робочого тижня, год.
Якщо t = 36 год., то Рлд = 2,8 мбер/год. . Варто враховувати також, що одні частини тіла (органи, тканини) більш чутливі, ніж інші: наприклад, при однаковій еквівалентній дозі опромінення виникнення пухлини в легенях більш імовірне, ніж у щитовидній залозі, а опромінення полових залоз особливо небезпечне через ризик генетичних ушкоджень. Тому дози опромінення органів і тканин також варто враховувати з різними коефіцієнтами.

Коефіцієнти радіоактивного ризику:

· червоний кістковий мозок - 0.12;

· кісткова тканина - 0.03;

· щитовидна залоза - 0.05;

· легені - 0.12;

· яєчники і сім’яники - 0.20;

· молочна залоза - 0,05

· шкіра - 0,01

· інші тканини - 0.05;

· стравохід - 0,05

· організм у цілому - 1.00;

Помноживши еквівалентні дози на відповідні коефіцієнти і просумувавши по всіх органах і тканинах, одержимо ефективну еквівалентну дозу, яка відображує сумарний ефект опромінення для організму: вона також виміряється в зівертах і берах.

3.6.3 Дія іонізуючого випромінювання на організм людини

У результаті впливу іонізуючого випромінювання на організм людини в тканинах можуть відбуватися складні фізичні, хімічні й біологічні процеси.

Первинним фізичним актом взаємодії іонізуючого випромінювання з біологічним об'єктом є іонізація. Саме через іонізацію відбувається передача енергії об'єкта. Відомо, що в біологічній тканині 60-70 % по масі є вода. У результаті іонізації молекули води утворюють вільні радикали Н+ і ОН- за такою схемою:

H2 O →H+ + OH- .

У присутності кисню утвориться також вільний радикал гідроперекису (H2 O- ) і перекис водню (H2 O2 ), що є сильними окислювачами.

Вільні радикали й окислювачі, які є продуктами радіолізу води, мають високу хімічну активність, а тому вступають у хімічні реакції з молекулами білків, ферментів й інших структурних елементів біологічної тканини, що призводить до зміни біологічних процесів в організмі. У результаті порушуються обмінні процеси, придушується активність ферментних систем, сповільнюється і припиняється ріст тканин, виникають нові хімічні сполуки, не властиві організму - токсини. Це приводить до порушень життєдіяльності окремих функцій або систем організму в цілому. У залежності від величини поглиненої дози й індивідуальних особливостей організму, викликані зміни можуть бути зворотними або незворотними.

Деякі радіоактивні речовини накопичуються в окремих внутрішніх органах. Наприклад, джерела альфа - випромінювання (радій, уран, плутоній), бета - випромінювання (стронцій і ітрій) і гамма-випромінювання (цирконій), відкладаються в кісткових тканинах. Усі ці речовини важко виводяться з організму.

Місця накопичування радіонуклідів в організмі людини в таблиці 4.


Таблиця 4

Щитовидна залоза 129 I, 131 I, 99 Tc.
Легені 85 Kr, 238 Pt, 239 Pt, 222 Rd, 233 U, 133 Xe, 135 Xe.
Печінка 137 Cs, 58 Co, 60 Co, 239 Ne, 238 Pt, 239 Pt, 241 Pt.
Кістки 140 Ba, 14 C, 154 Er, 155 Er, 32 P, 238 Pt, 239 Pt, 241 Pt, 147 Pr, 226 Ra, 89 Sr, 90 Sr, 234 Th, 233 U, 90 Y, 65 Zn.
Підшлункова залоза 210 Po.
Нирки 134 Cs, 137 Cs, 106 Rt.
Яєчники 140 Ba, 134 Cs, 137 Cs, 58 Ko, 60 Ko, 131 I, 85 Kr, 239 Pt, 40 K, 42 K, 106 Rt, 90 Y, 65 Zn.
М’язи 134 Cs, 137 Cs, 154 Er, 155 Er, 40 K, 42 K.
Шкіра 35 S

При вивченні дії випромінювання на організм були встановлені такі особливості:

· Висока ефективність поглиненої енергії. Малі кількості поглиненої енергії випромінювання можуть викликати глибокі біологічні зміни в організмі;

· Наявність прихованого, або інкубаційного, прояву дії іонізуючого випромінювання. Цей період часто називають періодом уявного благополуччя. Тривалість його скорочується при опроміненні великими дозами;

· дія від малих доз може додаватися або накопичуватися. Цей ефект називається кумуляцією;

· випромінювання впливає не тільки на даний живий організм, але і на його потомство. Це так називаний генетичний ефект;

· різні органи живого організму мають свою чутливість до опромінення. При щоденному впливі дози 0.02-0.05 Р уже настають зміни в крові;

· не кожен організм у цілому однаково реагує на опромінення;

· опромінення залежить від частоти. Одноразове опромінення у великій дозі викликає більш глибокі наслідки ніж її частини.

У результаті впливу іонізуючого випромінювання на організм людини в тканинах можуть відбуватися складні фізичні, хімічні й біологічні процеси, які в кінцевому результаті зводяться до порушення нормального проходження біохімічних процесів і обміну речовин. Поглинена доза випромінювання, що викликає руйнування окремих частин тіла, а потім смерть, перевищує смертельну поглинену дозу опромінення всього тіла.

Смертельні поглинені дози для окремих частин тіла такі: голова – 20 Гр, нижня частина живота - 5 0 Гр, грудна клітка – 100 Гр, кінцівки – 200 Гр.

Ступінь чутливості різних тканин до опромінення неоднакова. Якщо розглядати тканини органів у порядку зменшення їхньої чутливості до дії випромінювання, то одержимо таку послідовність:

· лімфоїдна тканина;

· лімфатичні вузли;

· підшлункова залоза;

· зобна залоза;

· кістковий мозок;

· зародкові клітини.

Велика чутливість кровотворних органів до радіації лежить в основі визначення характеру променевої хвороби. При однократному опроміненні всього тіла людини поглиненою дозою 0,5 Гр через день після опромінення може різко скоротитися число лімфоцитів, зменшиться також і кількість еритроцитів (червоних кров'яних тілець).

У здорової людини нараховується близько 1014 червоних кров'яних тілець при щоденному відтворенні 1012 , а в хворого таке співвідношення порушується.

Важливим фактором дії іонізуючого випромінювання на організм є час опромінення. Із збільшенням потужності дози руйнівна дія випромінювання зростає. Чим більший проміжок часу випромінювання певної дози буде діяти на організм, тим менша руйнівна дія буде в нього .

Біологічна ефективність кожного виду іонізуючого випромінювання знаходиться в залежності від питомої іонізації. Так, наприклад, a- частинки з енергією 3 МеВ утворять 40 000 пар іонів на одному міліметрі шляху, β- частинки з такою же енергією - до чотирьох пар іонів. Альфа - частинки проникають через поверхню шкіри до глибини 40 μм, бета – частинки - до 0.13 см.

Зовнішнє опромінення a- і β - випромінюваннями менш небезпечне, тому що a- і β- частинки мають невелику довжину пробігу в тканині і не досягають кровотворних і інших органів.

Ступінь враження організму залежить від розміру поверхні, яка опромінюється. Зі зменшенням поверхні, що опромінюється, зменшується і біологічний ефект. Так, при опроміненні фотонами поглинутою дозою 4,50 Гр ділянки тіла площею 6 см2 помітного руйнування організму не спостерігалося, а при опроміненні такою ж дозою всього організму спостерігається близько 50% летальних випадків.

Індивідуальні особливості організму людини проявляються лише при невеликих поглинутих дозах. Чим молодша людина, тим вища її чутливість до опромінення, особливо висока вона у дітей. Доросла людина у віці 25 років і більше найбільш стійка до опромінення.

Є ряд професій, де існує велика імовірність опромінення. При деяких надзвичайних обставинах (наприклад, вибух на АЕС) опроміненню може піддатися населення, яке проживає на величезних територіях. Не існує речовин, здатних цілком захистити персонал у таких випадках, але є речовини, які частково захищають організм людини від випромінювання. Вони називаються радіопротекторами. Історично відмічено, що на час вибухів атомних бомб у Японії, практично не постраждали від опромінення люди, які на момент вибуху перебували в безпечній зоні і були дуже п’яні. Тут етиловий спирт в значних дозах відіграв роль радіопротектора.

Радіопротектори частково запобігають виникнення хімічно активних радикалів, що утворюються під впливом випромінювання. Механізми дії радіопротекторів різні. Одні з них вступають у хімічну реакцію з радіоактивними ізотопами, що попадають в організм, і нейтралізують їх, утворюючи нейтральні речовини, які легко виводяться з організму. Інші мають відмінний механізм. Одні радіопротектори діють протягом короткого проміжку часу, час дії інших більш тривалий. Існує кілька різновидностей радіопротекторів: таблетки, порошки й розчини.

При попаданні радіоактивних речовин усередину організму руйнівну дію здійснюють в основному a- джерела, а потім β- й γ - джерела, тобто в зворотній послідовності до зовнішнього опромінення. Альфа - частинки, що мають велику щільність іонізації, руйнують слизисту оболонку шлунку, що є слабшим захистом внутрішніх органів у порівнянні з шкірою.

Негативні наслідки при попаданні твердих частинок у дихальні органи залежать від ступеня дискретності частинок. Так, частинки з розмірами меншими 0.1 мкм при вдиханні разом з повітрям попадають у легені, а при видиханні виводяться. У легенях залишається тільки невелика їх частина. Великі частинки з розмірами більшими понад 5 мкм, майже усі затримуються носовою порожниною.

Ступінь небезпеки залежить також від швидкості виведення речовини з організму. Якщо радіонукліди, що потрапили усередину організму однотипні з елементами, що споживаються людиною разом з їжею, то вони не затримуються на тривалий час в організмі, а виділяються разом з ними (натрій, хлор, калій і інші).

Інертні радіоактивні гази (аргон, ксенон, криптон і інші) не входять до складу біологічної тканини. Тому вони згодом повністю виводяться з організму.

Деякі радіоактивні речовини, потрапляючи в організм, розподіляються в ньому більш або менш рівномірно, інші концентруються в окремих внутрішніх органах (табл. 4). Так у кісткових тканинах відкладаються такі джерела a- випромінювань, як радій, уран і плутоній. Стронцій і ітрій, що є джерелами β- випромінювання, і цирконій - джерело γ- випромінювання теж відкладаються в кісткових тканинах. Ці елементи, хімічно зв'язуються з кістковою тканиною, а тому дуже важко виводяться з організму.

Тривалий час утримуються в організмі також елементи з великим атомним номером (полоній, уран і ін.). Елементи, що утворюють в організмі легкорозчинні солі і накопичуються в м'яких тканинах, легко виводяться з організму.

На швидкість виведення радіоактивної речовини великий вплив має період піврозпаду даної радіоактивної речовини Т. Якщо позначити Тб період біологічного піввиведення радіоактивного ізотопу з організму, то ефективний період піврозпаду Теф , що враховує радіоактивний розпад і біологічне виведення, виразиться формулою:

Теф = Т ּТб / (Т + Тб ) .

Основні особливості біологічної дії іонізуючого випромінювання такі:

· Дія іонізуючого випромінювання на організм не відчутна людиною. Тому це небезпечно. Дозиметричні прилади є як би додатковим органом чуття, призначеним для сприйняття іонізуючого випромінювання;

· Видимі враження шкірного покриву, нездужання, характерні для променевого захворювання, з'являються не відразу, а через деякий час;

· Підсумовування доз відбувається приховано. Якщо в організм людини систематично будуть попадати радіоактивні речовини, то згодом дози додаються, що неминуче приводить до променевих хвороб.

3.6.4 Вплив іонізуючого випромінювання на біологічні об'єкти при загальному опроміненні

Небажані радіаційні ефекти, від яких необхідний захист, поділяються на соматичні й спадкоємні (генетичні).

Соматичні ефекти виявляються безпосередньо в опроміненої людини, а генетичні - у його потомстві. Слід пам'ятати, що такий розподіл у значній мірі є умовним, тому що результати опромінення залежать від того, у яких клітинах відбулися порушення - у соматичних чи у зародкових. Генетичний апарат ушкоджується в обох випадках, а отже, і ушкодження завжди можуть успадковуватися.

Різноманітні ушкодження генів , різні види аберацій хромосом і соматичних клітин об'єднані в поняття соматичного мутагенезу.

Аберації хромосом, які виникають у клітинах критичних органів (кістковому мозку і шлунку), - одна з основних причин гострого променевого синдрому внаслідок масового відмирання таких клітин.

Таким чином, велике значення для конкретної (опроміненої) особи і її нащадків має не характер ефекту, а вид мутацій і те, у яких клітинках (зародкових чи соматичних) вони виникають. Якщо домінантні мутації (до числа яких відносяться і багато аберацій хромосом) виникають у зародкових клітинках, то вони або приводять до зменшення запліднення й народжуваності, або проявляються як правило, у першому поколінні, не переходячи в наступні.

Пошкодження , які виникають у соматичних клітинках найчастіше приводять до смерті самих клітин або їх потомства і можуть бути причиною втрати генетичного контролю за рядом важливих функцій організму.

Рецесивні мутації викликаються ушкодженнями окремих генів у більшості випадків у вигляді точкових мутацій. Якщо такі мутації виникають у зародкових клітинках, то ефект опромінення може проявлятися тривалий час в безмежному ряді поколінь, підкоряючись загальним законам розщеплення ознак, імовірність прояву яких зростає з числом опромінених осіб у популяції.

Незважаючи на очевидну необхідність ретельного розмежування понять, до соматичних умовно відносять безпосередні ефекти опромінення (гостру або хронічну променеву хворобу і локальні променеві ушкодження) і його віддалені наслідки (скорочення тривалості життя, виникнення пухлин, лейкозів і ін.), а до генетичних - спадкоємні ушкодження генів зародкових клітин, які проявляються в потомстві опромінених .

Віддалені наслідки опромінення іноді називають стохастичними (підкреслюючи їх імовірнісний характер) на відміну від не стохастичних, що проявляються тільки після накопичування дози більшої за граничну (імовірність появи і вага яких швидко зростає із зростанням дози).

До нестохастичних ефектів відносять променеву катаракту, порушення репродуктивної функції, променеві ушкодження зародка і плоду, косметичні дефекти шкіри, склеротичні і дистрофічні ушкодження різних тканин і інші.

Під стохастичними розуміють такі наслідки опромінення, імовірність появи яких існує при як завгодно малих дозах іонізуючого випромінювання і зростає з дозою, тоді як вага прояву від дози не залежить. До стохастичних відносять пухлини і передані потомству спадкоємні зміни; вони виявляються лише при тривалому спостереженні за великими групами населення, що нараховують десятки або сотні тисяч людей. Для одержання надійних кількісних даних про вплив на спадковість опромінення в малих дозах необхідні спостереження й аналіз ще більш численних популяцій, які включають не одне покоління нащадків.

Зрозуміло, що такі дослідження вимагають тривалого часу спостережень, великих затрат праці й коштів, навіть якщо вони проводяться на тваринах, які швидко розмножуються і є генетично добре вивченими об'єктами, наприклад мишами.