Курсовая работа: Системи узагальнюючих показників статистичного дослідження доходів і витрат населення України
|
Название: Системи узагальнюючих показників статистичного дослідження доходів і витрат населення України Раздел: Рефераты по экономике Тип: курсовая работа | |||||||||||||||||||||||||||||||||||||||||||||||||||||||||||||||||||||||||||||||||||||||||||||||||||||||||||||||||||||||||||||||||||||||||||||||||||||||||||||||||||||||||||||||||||||||||||||||||||||||||||||||||||||||||||||||||||||||||||||||||||||||||||||||||||||||||||||||||||||||||||||||||||||||||||||||||||||||||||||||||||||||||||||||||||||||||||||||||||||||||||||||||||||||||||||||||||||||||||||||||||||||||||||||||||||||||||||||||||||||||||||||||||||||||||||||||||||||||||||||||||||||||||||||||||||||||||||||||||||||||||||||||||||||||||||||||||||||||||||||||||||||||||||||||||||||||||||||||||||||||||||||||||||||||||||||||||||||||||||||||||||||||||||||||||||||||||||||||||||||||||||||||||||||||||||||||||||||||||||||||||||||||||||||||||||||||||||||||||||||||||||||||||||||||||||||||||||||||||||||||||||||||||||||||||||||||||||||||||||||||||||||||||||||||||||||||||||||||||||||||||||||||||||||||||||||||||||||||||||||||||||||||||||||||||||||||||||||||||||||||||||||||||||||||||||||||||||||||||||||
Системи узагальнюючих показників статистичного дослідження доходів і витрат населення України Зміст Вступ 1. Сутність доходів та витрат населення України 2. Системи узагальнюючих показників для статистичного вивчення доходів та витрат населення 3. Динаміка доходів та витрат населення України 4.Розпроділ населення за рівнем середньодушових витрат 5. Середньорічне споживання продуктів харчування 6. Забезпеченість населення товарами тривалого користування Висновки Література Вступ Одним з основних показників, що відбивають якість життя населення, є рівень життя. Поняття рівня життя визначається співвідношенням грошових доходів населення і прожиткового мінімуму, питомою вагою бідних і багатих, купівельною спроможністю середніх шарів, забезпеченістю житлом, об'єктами господарсько-побутового призначення і комунальних послуг і т.д. Іншими словами, в основі рівня життя населення лежать наявність у людей гарної роботи і гідної зарплати, можливість користуватися гарантованими якісними послугами. В останні роки особливу актуальність набувають проблеми, пов’язані із забезпеченням росту доходу населення. За даними Держкомстату України, у структурі доходів населення основну частину (більш 50%) складає заробітна плата. Зміна співвідношення середньої заробітної плати і величини прожиткового мінімуму в останні роки складалося не на користь заробітної плати. Збільшення доходів населення, ріст купівельної спроможності і споживчого попиту багато в чому залежать від пожвавлення і розширення промислового виробництва. У свою чергу, підвищення добробуту населення і зв'язане з ним збільшення платоспроможного попиту будуть сприяти розвитку економіки країни. Основною метою написання даної курсової роботи є теоретичне дослідження самого понять „доходи і витрати” і особливості утворення доходів населення України зокрема. Поставлена мета обумовила необхідність вирішення ряду взаємопов’язаних завдань : 1. дослідження механізму формування доходів; 2. вивчення особливостей формування різного виду доходів населення (доходи від підприємницької діяльності, заробітна плата, доходи від оренди тощо). 3. аналіз фактологічного матеріалу Держкомстату України про стан доходів населення України. Предметом курсового дослідження є дослідження особливостей формування доходів в ринковій економіці. Об’єктом дослідження виступає процес формування доходів населення України. 1. Сутність доходів та витрат населення УкраїниРозподіл доходів - це стадія відтворення, яка займає проміжне місце між виробництвом і споживанням. Реалізована на ринку продукція перетворюється на грошову виручку. Після вилучення з неї вартості спожитих засобів виробництва залишається грошовий (валовий) доход, або новостворена вартість, у процесі розподілу якого виникають вертикальні зв'язки: між державою і членом суспільства, між державою і підприємством, між підприємством і його працівником, між власником засобів виробництва і найманим робітником та ін. У цих зв'язках виявляються різноманітні форми доходів, кожна з яких має своє економічне призначення. Об'єктивно розподіл доходів залежить від того, що новостворена вартість складається з необхідного продукту, який використовується для задоволення потреб безпосередньо виробників, і додаткового продукту для задоволення особистих потреб підприємців і загальних суспільних потреб (розширення виробництва, соціальної та духовної сфери, створення резервів). Спочатку здійснюється розподіл доходу між державою і підприємством будь-якої форми власності. Об'єктом такого розподілу є прибуток - різниця між ціною, за якою підприємство реалізує свою продукцію, та її собівартістю. Прибуток підприємства розподіляється на дві частини: одна йде в розпорядження держави, друга - залишається в розпорядженні підприємства. Це особлива форма розподілу, від якої залежить існування держави, фінансування загальнодержавних програм розвитку народного господарства, соціально-культурних заходів, утримання державного апарату, забезпечення оборони країни. Разом з тим в результаті розподілу доходів підприємство повинно мати умови для відповідної господарсько-фінансової діяльності. Підприємство сплачує державі податок на прибуток до державного бюджету. Світова практика господарювання в умовах ринкових відносин має в основному однаковий принцип розподілу прибутку у вигляді податку. Розмір останнього залежить тільки від розміру прибутку і має для всіх однакову міру вилучення (певна частка з прибутку). Важливе значення має установлення пропорції розподілу прибутку між державою і підприємством. Якщо вилучається надмірна частка прибутку, то підприємство втрачає стимули для розвитку виробництва, не має можливості для поліпшення соціальних умов життя людей. По суті, підривається основна ланка народного господарства, від якої залежить доля розвитку всього суспільства. Водночас, якщо держава не матиме достатніх коштів, то це негативно відбиватиметься на науково-технічному і економічному прогресі всього суспільства. Розвиток фундаментальних наук, нових напрямів технічного прогресу, розв'язання ряду глобальних проблем можливі тільки за умови участі держави та її централізованих фондів. Отже, важливим принципом розподілу доходу є встановлення оптимального співвідношення, яке створювало б сприятливі умови для поєднання економічних інтересів суспільства і підприємств. Сукупний суспільний продукт у натуральній формі складається із засобів виробництва (засобів і предметів праці) та життєвих засобів. Засоби виробництва спрямовуються на виробниче, а життєві засоби - на особисте споживання. Важливе значення має розподіл фонду життєвих засобів. Він охоплює, як правило, основну частку всього продукту, яка утворюється на основі необхідного і частини додаткового продукту. За своїм матеріально-речовим складом фонд життєвих засобів - це сукупність предметів споживання і послуг, який об'єктивно необхідний для задоволення особистих потреб людини, забезпечує відтворення і розвиток її здатності до праці, утримання непрацездатних членів сім'ї. Коли йдеться про розподіл необхідного продукту, то цей процес іноді вважають тотожним процесу розподілу фонду життєвих засобів. Проте фонд життєвих засобів і необхідний продукт - це не тотожні поняття, а отже, не синоніми. У системі суспільного відтворення необхідний продукт формується у процесі виробництва, проходить через фази розподілу, обміну і споживання. Головним функціональним призначенням необхідного продукту є відтворення робочої сили. Лише на фазі споживання необхідний продукт набуває своєї завершеної форми як фонд життєвих засобів, тобто виступає у вигляді предметів споживання і послуг, які безпосередньо забезпечують особисте споживання. Таким чином відбувається процес трансформації необхідного продукту у фонд життєвих засобів. Це можна показати на такому прикладі. Завод виробляє верстати. З усієї маси вироблених верстатів одна частина йде на заміщення спожитих засобів виробництва, друга становить необхідний продукт, а решта утворює додатковий продукт. Зрозуміло, верстати, які утворюють необхідний продукт, це тільки матеріальна передумова останнього. Заперечувати це означає, що підприємство, яке виробляє засоби виробництва, не створює необхідного продукту. Насправді воно створює матеріальний еквівалент необхідного продукту, який потім трансформується через обмін на життєві засоби. Після реалізації продукції необхідний продукт набуває грошову форму, яка надходить до працівника у вигляді заробітної плати, грошових виплат із суспільних фондів споживання. Далі працівник свої грошові доходи на ринку (тобто через обмін) перетворює на предмети споживання і платні послуги. Крім цього, він одержує через суспільні фонди споживання безплатні послуги. І тільки після всього цього на стадії споживання необхідний продукт набуває форму фонду життєвих засобів. Як бачимо, необхідний продукт послідовно набуває різні форми, виступає у вигляді натуральної продукції, грошових доходів, товарів і послуг, фонд життєвих засобів виступає тільки у вигляді предметів споживання і послуг, які безпосередньо споживаються працівниками і членами їх сімей. Іншими словами, це необхідний, а також частина додаткового продукту на стадії споживання. Структура фонду життєвих засобів буде такою. Спочатку можна виділити товари і послуги разового користування та товари і послуги тривалого користування. До товарів і послуг разового користування належать продукти харчування, послуги транспорту і зв'язку, послуги культурно-освітніх установ, освіти і охорони здоров'я, побутові послуги. До товарів і послуг тривалого користування належать житло, товари господарсько-побутового і культурного призначення, одяг, взуття, білизна тощо. Структуру фонду життєвих засобів можна розглядати також за формами розподілу. Серед них є такі форми, де розподіл залежить від трудової, а також підприємницької діяльності суб'єктів: заробітна плата тих, хто працює за наймом, і особисті доходи працівників від реалізації продукції колективних підприємств, доходи від індивідуальної трудової діяльності, доходи від підсобного господарства, кооперативної діяльності, доходи підприємців. Також є доходи, безпосередньо не пов'язані з оцінкою результатів праці. Це суспільні фонди споживання. Вони можуть надходити до населення через державний бюджет, а також через спеціальні фонди підприємств (в Україні вони мають назву фондів соціального розвитку). І нарешті, є доходи від власності - дивіденди від акцій, відсотки від паю на майно, відсотки від вкладів в ощадних банках та ін. Одна (переважна) частина доходів перетворюється (в основному через ринок) у предмети споживання населення, а друга (через накопичення і інвестування на основі ринкових відносин) в засоби виробництва для розширеного відтворення, економічного зростання. Для будь-якого суспільства першочергове значення має мотивація економічної діяльності. Мотив означає спонукальну причину з приводу будь-якої дії. У цьому випадку йдеться про те, що спонукає суб'єктів до економічної діяльності, основним змістом якої є виробництво життєвих засобів (матеріальних благ і послуг). Мотиваційний механізм економічної діяльності - поняття досить складне. Воно включає мету мотивації, суб'єктів виробничих відносин і об'єктів господарства, економічні інтереси і стимули до діяльності, основні принципи функціонування механізму. Первинним мотивом діяльності людей є їх потреби у засобах Існування: продуктах харчування, одязі, житлі тощо. Вже давно відомо, що без потреби немає виробництва, а споживання життєвих засобів відтворює потребу. Необхідність задовольняти свої потреби змушує людей діяти, вступати в активну взаємодію не лише з природою, а й між собою. Отже, виникають суспільні виробничі відносини, в яких важливою рушійною силою є певний мотиваційний механізм економічної діяльності. Мета мотивації - це забезпечення відтворення суб'єктів виробничих відносин: працівників, трудових колективів, підприємців. Якщо немає нормальних умов для відтворення, то мотиви до конкретної економічної діяльності зникають. Головним об'єктом господарювання, а також основним джерелом відтворення суб'єктів виробничих відносин виступає національний доход. У механізмі мотивації поєднуються економічні інтереси держави, підприємств і працівників. Реалізація і поєднання цих інтересів відбуваються на основі матеріальних стимулів до праці. Реалізувати економічний інтерес підприємства означає виробити чистий продукт, створити прибуток, достатній для стимулювання колективу і розширення виробництва. Реалізувати економічний інтерес працівника означає забезпечити йому необхідний продукт, який дає можливість задовольнити його традиційні особисті потреби в матеріальних, соціальних і духовних благах. Основою матеріальних стимулів до праці є система розподілу доходів. Ця основа залежить від форм власності на засоби виробництва. Економічний стимул, як правило, відбиває залежність одержання продукту в особисте розпорядження суб'єкта від результатів його праці або економічної діяльності. Економічні стимули є засобом встановлення взаємозв'язку між інтересами і виступають певною формою реалізації різних видів економічних інтересів. Щоб одержати заробітну плату, працівники повинні створити чистий продукт, прибуток, тобто реалізувати економічний інтерес підприємства. Мотивація діяльності починається не тільки з проголошення власності, Досвід показує, що реалізація останньої залежить від пропорцій розподілу доходів, значну роль тут відіграє держава. Оголошення певної форми власності, в тому числі приватної, ще недостатньо для створення мотивації економічної діяльності. За допомогою непосильних податків можна вилучати значну частину доходів і підірвати мотиви до економічної діяльності. Тому мотиваційний механізм діяльності залежить від створення справедливої системи розподілу доходів, яка повинна бути побудована на основі таких принципів: · отримання доходів за працю, в тому числі підприємницьку, землю, капітал; · залежності основної частини доходів від результатів праці, рівня економічної діяльності суб'єктів господарства; · розмір доходів при врахуванні рівня розвитку продуктивних сил повинен забезпечувати нормальні (суспільне необхідні) умови життя; сталості розподілу доходів. "Якщо в бюджет сім'ї кожного тижня, кожного місяця і кожного року не надходить стійкий потік грошей, - то такій сім'ї, - справедливо зауважував П. Самуельсон, - життя осточортіє, навіть якщо воно суцільно і складається із святих"; · відсутності зрівнялівки в розподілі доходів; · неприпустимості надмірної диференціації доходів у суспільстві, дотриманні соціальної справедливості; · усуненні всякої дискримінації за статтю, національністю, соціальним походженням. У соціальне орієнтованій ринковій економіці мають враховуватися істотні відмінності у здібностях працівників. Це означає, по-перше, створення однакових умов для їх розвитку; по-друге, надання роботи за здібностями; по-третє, створення необхідних умов для високоефективної праці. Таким чином, національне багатство є тим середовищем, де створюються необхідні умови для благополучного в матеріальному відношенні життя людей, де формується і підтримується рівень життя населення (добробут). Під рівнем життя населення в статистиці розуміється забезпеченість населення тими благами і послугами, які необхідні і достатні для задоволення як життєво важливих матеріальних потреб людей (їжа, одяг, житло, предмети культури і побуту), так і соціально-культурних (праця, зайнятість, дозвілля, здоров'я, освіта, природне середовище незаселеного і т.д.). У грошовому виразі вся дана сукупність благ і послуг, фактично споживаних протягом даного часу в домогосподарстві, є вартість життя. У статистиці виділяють наступні види рівня життя: o достаток (користування благами і послугами, які забезпечують всесторонній розвиток людини); o нормальний рівень (споживання благ і послуг з науково обгрунтованих норм, які достатні для повноцінного відновлення фізичних і інтелектуальних сил людини); o бідність (споживання благ і послуг на рівні можливості збереження працездатності людини); o убогість (мінімальне споживання благ і послуг на рівні біологічного виживання людини). Щоб одержати всю сукупність характеристик по рівню життя, досліджуються всі статистичні сукупності: o населення в цілому; o окремі соціальні і професійні групи; o домогосподарства з різним доходом. 2. Системи узагальнюючих показників для статистичного вивчення доходів та витрат населенняУ світовій практиці накопичений певний досвід по комплексному дослідженню рівня життя населення за основними соціально-економічними показниками, з яких можна виділити наступні: o показники прожиткового мінімуму; o показники диференціації населення; o показники грошових доходів (в середньому на душу населення в місяць); o середній розмір пенсій; o показники витрат і споживання населення; o показники купівельної спроможності населення; o досягнутий рівень освіти; o показники витрат в соціальній сфері; o тривалість життя і рівень народжуваності і т.д. Інформаційними джерелами для побудови системи показників по рівню життя населення є дані з матеріалів різних розділів державної статистики (демографічної, статистики праці, статистики цін, соціальної статистики), матеріали вибіркових обстежень бюджетів домогосподарств, матеріали перепису населення. Одним з найважливіших узагальнювальних показників рівня життя є доходи населення. Статистика досліджує кількісні характеристики формування загального об'єму доходів населення, структуру цих доходів, розподіл між окремими групами населення. Відповідно до методики СНС розрахунку балансу грошових доходів і витрат населення обчислюються номінальні грошові доходи і доходи домашніх господарств. Номінальні грошові доходи розраховуються в цінах поточного періоду. Вони не визначають кількості матеріальних благ і послуг, доступних населенню при рівні доходів, що склався. До ним відносяться: · оплата праці всіх категорій населення; · доходи осіб, зайнятих підприємницькою діяльністю; · надходження від продажу сільськогосподарських продуктів; · пенсії, допомога, стипендії і інші соціальні трансферти; · страхові відшкодування, кредити і позики; · доходи від власності у вигляді відсотків по внесках, цінних паперах, дивідендів; · доходи населення від продажу іноземної валюти; · сальдо (гроші, одержані по перекладах) і ін. На відміну від номінальних витрат, доходи домашніх господарств є сумою поточних доходів, використовуваних домашніми господарствами для фінансування кінцевого споживання товарів і послуг. Це показник об'єму економічних ресурсів, що поступають в розпорядження населення для задоволення потреб громадян (максимальна сума, яка може бути витрачена населенням на споживання за умови, що за даний період населення не привертає накопичені фінансові і нефінансові активи, не збільшує зобов'язань по фінансовій частині). Грошовий дохід W, що розташовується, визначається шляхом вирахування з номінальних грошових доходів НДД обов'язкових платежів і внесків ОПВ
За наявності інфляції зростання грошових доходів не завжди може свідчити про поліпшення рівня життя населення, оскільки чинник зміни цін впливає на купівельну спроможність грошей. За допомогою коректування на індекс споживчих цін грошові доходи, що розташовуються, за досліджуваний період розраховуються в реальному виразі. Показник реального грошового доходу населення G розраховується шляхом ділення грошового доходу W, що розташовується, на індекс споживчих цін Ip :
(методика розрахунку індексів споживчих цін заснована на формулі Ласпейреса як середній арифметичний індекс) Для вимірювання об'єму, рівня і структури доходів населення використовуються і такі показники, як особисті доходи (ЛДР), середньодушові грошові доходи населення, купівельна спроможність грошових доходів. Особисті доходи - це загальна сума грошових доходів, яку їх власники направляють на споживання і заощадження. Среднедушевиє грошові доходи обчислюються як відношення загальної суми грошових доходів населення за рік (або поточний період) до середньорічної чисельності наявного населення. При дослідженні рівня життя важлива оцінка і потенційних можливостей населення користуватися ресурсами для придбання і споживання відповідних благ і ресурсів. Для цього використовується показник купівельної спроможності (розраховується як для всього населення, так і для окремих груп). Даний показник характеризується: а) наперед певною кількістю товарів і послуг, які можна було б придбати на суму среднедушевого грошового доходу; б) як товарний еквівалент у вигляді окремих товарів або послуг. Рівень купівельної спроможності ПС обчислюється як відношення середньодушового грошового доходу населення в цілому (або окремої групи) Д до середньої ціни покупки або послуги Р:
У статистиці споживання використовуються різні коефіцієнти і індекси. Динаміка загального споживання вивчається за допомогою агрегатного індексу об'єму споживання Iоп, який розраховується таким чином:
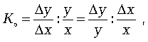
де a1, a0 - кількість спожитих товарів в звітному і базисному періодах; b1, b0 - кількість спожитих послуг в звітному і базисному періодах; p0, r0 - ціна товару і тариф за певну послугу в базисному періоді. При статистичному дослідженні залежності об'єму споживання від доходу використовується коефіцієнт еластичності Ке, який характеризує величину зростання або зниження споживання товарів і послуг при зростанні доходу на 1% (у теорії статистики це формула А. Маршалла):
де х, у - початкові дохід і споживання;, - прирости початкових доходу і споживання за певний період. Якщо Ке > 1, те споживання росте швидше, ніж доходи. Якщо Ке = 1, то між доходом і споживанням має місце пропорційна залежність. Якщо Ке < 1, то дохід росте швидше, ніж споживання. 3. Динаміка доходів та витрат населення УкраїниДля дослідження динаміки доходів і витрат населення України проаналізуємо наступні дані щодо структури сукупних витрат та доходів у розрахунку на одне домогосподарство. Вибіркова сукупність репрезентує все населення України, за виключенням військовослужбовців строкової служби, осіб, що знаходяться в місцях позбавлення волі, осіб, що постійно проживають у будинках-інтернатах, будинках для осіб похилого віку, а також маргінальних прошарків населення. Крім того, при формуванні вибіркової сукупності були також виключені території, які не можуть обстежуватися в зв'язку з радіоактивним забрудненням (зони відчуження та обов’язкового відселення). Починаючи з 2004 року в обстеженні беруть участь мешканці усіх типів гуртожитків (сімейних, студентських тощо). У 1999-2003 роках обстежувалися лише мешканці сімейних гуртожитків. Вибіркова сукупність була сформована в усіх областях, Автономній Республіці Крим, мм. Києві та Севастополі з використанням процедури відбору з ймовірністю, пропорційною розміру (чисельності населення). Домогосподарства беруть участь в обстеженні один рік. Для участі в обстеженні в Україні кожного року відбирається близько 13 тис. адрес домогосподарств (в АР Крим 503 адреси домогосподарств). У 2007 році в Україні взяли участь в обстеженні 10615 домогосподарств (82,9% відібраних адрес за виключенням нежилих помешкань), в АР Крим 459 домогосподарств (92% відібраних адрес за виключенням нежилих помешкань). В основу дослідження диференціації домогосподарств за рівнем матеріальної забезпеченості, починаючи з 2007року., покладені нові критерії: показники грошових та загальних доходів (грошових доходів з урахуванням вартісної оцінки надходжень з особистого підсобного господарства, а також сум безготівкових пільг та субсидій, отриманих від держави, допомог від родичів та інших осіб) замість показників грошових та сукупних витрат, які застосовувалися у 1999-2006 рр. Зміна критеріїв обумовлена тим, що, починаючи з 2004 року, в окремих, а в 2006 році – майже в усіх регіонах спостерігалося перевищення рівня доходів домогосподарств над рівнем їх сукупних витрат. Тому у сучасних умовах показники доходів стали більш точно характеризувати реальний стан добробуту домогосподарств, ніж показники витрат, використання яких було доцільним у попередні роки. Характеристики досліджуваних домогосподарств наведено в таблиці 1: Таблиця 1. Характеристика досліджуваних домогосподарств[1]
Аналізуючи динаміку наданих показників, можемо зробити висновок про те, що за досліджуваний період 2000-2007 рр середній розмір домогосподарства зменшився на 4,05%. За цей же період зросла частка домогосподарств кількістью 2 та 3 особи та зменшилась часткадомогосподарств кількістью 1 особа та 4 особи та більше.Зменшилась частка домогосподарств, які мають дітей до 18 років та збільшилась частка домогосподарств без дітей. Структуру сукупних доходів досліджуваних домогосподарств наведено в таблиці 2: Таблиця 2. Структура сукупних доходів досліджуваних домогосподарств[2]
Бачимо, що протягом досліджуваного періоду суттєво змінилась структура сукупних доходів: якщо в 1999 році заробітна плата становила 37,1% від розміру грошових доходів, а надходження від підсобного господарства та від само заготовлень становили 16,6% от размера денежных доходов, то в 2007 році ці частки змінилися и становили 53,9% та 0,7% відповідно. Частка грошових доходів в загальній структурі доходів зросла від 70,8% в 1999 році до 95,8% у 2007 році. Проаналізуємо динаміку сукупних середньомісячних доходів у розрахунку на одне домогосподарство. Для цього розрахуємо показники, що характеризують інтенсивність розвитку в часі використовуються статистичні показники, що отримуються порівнянням рівнів між собою, внаслідок чого отримуємо систему абсолютних і відносних показників динаміки: абсолютний приріст, коефіцієнт зростання, темп зростання, темп приросту, абсолютне значення 1% приросту. Для характеристики інтенсивності розвитку за тривалий період розраховуються середні показники: середній рівень ряду, середній абсолютний приріст, середній коефіцієнт зростання, середній темп зростання, середній темп приросту, середнє абсолютне значення 1% приросту (табл. 3). Таблиця 3. Показники динаміки сукупних середньомісячних доходів у розрахунку на одне домогосподарство.
Бачимо що протягом досліджуваного періоду сукупні середньомісячні доходи у розрахунку на одне домогосподарство збільшились у 4,98 разів або на 1538,39 грн. цьому найбільший приріст (на 33,93% або 284,18 грн) спостерігався у 2005 році порівняно із 2004 роком, а найменший (9,23% або 54,82 грн) – у 2003 році порівняно із 2002 роком. Абсолютний середньорічний приріст сукупних доходів склав у досліджуваному періоді 219,77 грн, середньорічний темп зростання – 125%, а середньорічний темп приросту - 25%. Порівняльний аналіз структури сукупних доходів у 2000 та 2007 році (рис. 1, 2) свідчить про те, що суттєво збільшилась частка оплати праці в структурі доходів (з 37,1% до 53,9%), в той час, як доходів від вартості спожитої продукції, отриманої з особистого підсобного господарства та від самозаготівель скоротилася з 16,6% до 0,7%. Дещо скоротилася частка інших надходжень в структурі сукупних доходів (з 8,4% до 2,7%). Частка інших джерел доходів в загальній структурі залишилась практично незмінною.
Рис. 1. Структура сукупних середньомісячних доходів в розрахунку на одне домогосподарство в 2000 році
Рис. 2. Структура сукупних середньомісячних доходів в розрахунку на одне домогосподарство в 2007 році Проаналізуємо динаміку та структуру сукупних середньомісячних витрат в розрахунку на одне домогосподарство (табл. 4) Таблиця 4. Структура сукупних витрат[3]
Проаналізуємо динаміку сукупних середньомісячних витрат у розрахунку на одне домогосподарство. Бачимо, що протягом досліджуваного періоду частка продуктів харчування у структурі сукупних середньомісячних витрат зменшилась від 64,6% у 1999 році до 52,5% у 2007 році. В той же час збільшилась частка втрат на купівлю непродовольчих товарів (з 25,3% до 37,7% ) . Таблиця 5. Показники динаміки сукупних середньомісячних витрат у розрахунку на одне домогосподарство.
Аналіз даних таблиці 5 доводить, що протягом 2000-2007 рр розмір сукупних середньомісячних витрат у розрахунку на одне домогосподарство збільшився у 3,37 разів або на 1205,53 грн. При цьому найбільше збільшення сукупних витрат (на 35,29% або 494,72 грн на місяць) спостерігалось в 2005 році відносно 2004 року, а найменше – на 1% або 5,08 грн – у 2001 році відносно рівня 2000 року. Абсолютний середньорічний приріст сукупних витрат склав у досліджуваному періоді 172,21 грн, середньорічний темп зростання – 118%, а середньорічний темп приросту - 18%. Порівняльний аналіз структури сукупних доходів у 2000 та 2007 році (рис. 3 - 6) свідчить про те, що співвідношення сукупних споживчих та сукупних неспоживчих витрат практичне не змінилось.
Рис. 3. Структура сукупних споживчих витрат населення України в 2000 році
Рис. 4. Структура сукупних споживчих витрат населення України в 2007 році Споживчі сукупні витрати складаються з грошових витрат, а також - вартості спожитих домогосподарством продовольчих товарів, отриманих з особистого підсобного господарства та в порядку самозаготівель або подарованих родичами та іншими особами, суми отриманих пільг та безготівкових субсидій на оплату житла, комунальних продуктів та послуг, суми пільг на оплату телефону, проїзду в транспорті, туристичних послуг, путівок для лікування, оздоровлення та відпочинку, на оплату ліків, вітамінів, інших аптекарських товарів, медичних послуг (у тому числі стоматологічних послуг, проведення обстеження та отримання процедур, лікування в стаціонарі тощо). У 2002р. змінено методологію визначення показників споживчих витрат відповідно до міжнародної класифікації індивідуального споживання товарів та послуг за цілями (COICOP−HBS (1997)), рекомендованої Євростатом. Згадана класифікація застосовується в обстеженнях витрат домогосподарств, а також для розрахунків макроекономічних показників щодо сектору домашніх господарств та при розрахунках ІСЦ (індексу споживчих цін). Починаючи з даних за 2007 рік, розпочаті роботи щодо гармонізації структури споживчих витрат домогосподарств з Класифікацією індивідуального споживання за цілями1, затвердженою наказом Держкомстату України від 29 грудня 2007 року №480. До структури споживчих витрат внесені такі зміни: витрати домогосподарств на послуги дошкільних закладів включені до групи "Дошкільна та початкова освіта" розділу "Освіта"; витрати на путівки в будинки відпочинку, на бази відпочинку, дитячі табори тощо – до розділу "Ресторани та готелі", а саме до групи витрат на оплату послуг, пов’язаних з тимчасовим проживанням. До 2007 року зазначені витрати були включені відповідно до розділів "Різні товари та послуги" та "Відпочинок та культура". Відповідно пільги на оплату путівок в будинки відпочинку, на бази відпочинку, в дитячі табори тощо, які враховуються у складі сукупних витрат домогосподарств, також включені до розділу "Ресторани та готелі". Неспоживчі сукупні витрати складаються з грошових та негрошових витрат домогосподарства на допомогу родичам та іншим особам, витрат на купівлю нерухомості, на капітальний ремонт, будівництво житла та господарських будівель, на купівлю великої рогатої худоби, коней та багаторічних насаджень для особистого підсобного господарства, на придбання акцій, сертифікатів, валюти, вкладів до банківських установ, аліментів, податків (крім прибуткового), зборів, внесків та інших грошових платежів, використаних заощаджень, позик та повернених домогосподарством боргів. В структурі сукупних споживчих витрат дещо збільшилась частка непродовольчих товарів та послуг (з 25,3% до 37,7%) та зменшилась доля продуктів зарчування та безалкогольних напоїв (з 64,5% до 52,5%). Частка споживаних алкогольних напоїв та тютюнових виробів залишилась практично незмінною.
Рис. 5. Структура сукупних витрат населення України на непродовольчі товари та послуги у 2002 році
Рис. 5. Структура сукупних витрат населення України на непродовольчі товари та послуги у 2007 році В структурі сукупних витрат населення України на непродовольчі товари та послуги дещо збільшилась частка витрат на оплату комунальних послуг (з 10,1% у 2002 році до 11,5% у 2007 році), частка витрат на транспорт та зв'язок (з 2,7% до 4% та з 0,7% до 2,5% відповідно) та частка витрат на предмети домашнього вжитку та побутову техніку (з 1,4% до 3,2%). Взагалом можна стверджувати, що рівень сукупних доходів у досліджуваному періоді збільшувался більш швидкими темпами, ніж рівень сукупних витрат, що свідчить про покращення рівня життя населення України в цей період. 4. Розпроділ населення за рівнем середньодушових витратРівень життя характеризується і показниками диференціації матеріальної забезпеченості населення (диференціація населення по рівню доходу), серед яких можна виділити: · розподіл населення по рівню среднедушевих грошових доходів; · коефіцієнт диференціації доходів; · індекс концентрації доходів (коефіцієнт Джіні); · коефіцієнт бідності. Найважливішим методом дослідження диференціації доходів населення є розподіл населення за рівнем середньодушових грошових доходів на основі побудови варіаційних рядів. Емпіричні дані вибіркового обстеження бюджетів домашніх господарств ранжируються і групуються в певних інтервалах по розміру доходу. Для статистичних характеристик тут використовуються: середнє значення душового доходу; модальний дохід (найчастіше рівень доходу населення, що зустрічається); медіанний дохід (показник доходу, розташований у середині ранжируваного ряду розподілу). Модальний і медіанний доходи - це важливі структурні показники, які характеризують відхилення середньодушового доходу від середнього значення для кожної групи. Як правило, результати досліджень свідчать, що одна половина населення має дохід нижче за середнє, а друга половина - вище за середнє. Широко поширений в статистичних дослідженнях по нерівності в розподілі доходів децильний коефіцієнт диференціації доходів, який обчислюється як відношення мінімального доходу у 10% найбільш забезпечених громадян до максимального доходу 10% найменше забезпечених громадян. Коефіцієнт диференціації доходів Кдх розраховується шляхом зіставлення дев'ятого (Д9 ) і першого (Д1 ) децилей:
Функціонально дуже близьким до децильному коефіцієнта диференції доходів є коефіцієнт фондів Кф, за допомогою якого вимірюють відмінність між сумарними (середніми) значеннями доходів 10% найбільш забезпеченої (Ч10 ) і 10% найменше забезпеченої (Ч1 ) частини населення.
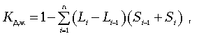
Індекс концентрації доходів (коефіцієнт Джіні) КДж служить для вимірювання відмінності фактичного розподілу доходів по чисельно рівних групах населення від їх рівномірного розподілу (ступінь нерівності в розподілі доходів населення). Даний індекс обчислюється по формулі
де Li та Li-1 - частка населення в інтервалі; Si Si-1 - частка сумарного доходу (на початок і кінець i-го інтервалу). Індекс концентрації доходів вимірюється в межах від 0 (довершена рівність) до 1 (довершена нерівність), тобто чим ближче індекс до 1, тим вище поляризація доходів в суспільстві. Для статистичних характеристик рівня життя важливо встановлення меж доходу, що забезпечують мінімально допустимий рівень, тобто визначення прожиткового мінімуму (вартісна оцінка мінімального набору продовольчих і непродовольчих товарів, а також обов'язкові платежі і збори). Прожитковий мінімум дозволяє встановити межі бідності. Коефіцієнт бідності - відносний показник, який розраховується як процентне відношення чисельності громадян, чиї доходи нижче за прожитковий мінімум, до загальної чисельності населення країни. В даний час (з 1990 р.) в світі встановлений поріг бідності, рівний 1 долару США в день. За данімі таблиці 6 проаналізуємо структуру та динаміку розподілу населення України за рівнем середньодушовіх доходів Таблиця 6. Розподіл населення за рівнем середньодушових загальних доходів[4]
За цими даними можна визначити чисельність населення із середньодушовими загальними доходами у місяць, нижчими прожиткового мінімуму (таблиця 7), яка визначається на підставі даних розподілу населення за рівнем загальних доходів і є підсумком числа осіб, рівень загальних доходів яких нижче величини прожиткового мінімуму, діючого в державі на момент аналізу, децильний коефіцієнт диференціації доходів населення - співвідношення мінімального рівня доходів серед 10% найбільш забезпеченого населення до максимального рівня доходів серед 10% найменш забезпеченого населення, та децильний коефіцієнт фондів - співвідношення сумарних доходів 10% найбільш та 10% найменш забезпеченого населення. Таблиця 7. Диференціація життєвого рівня населення України[5]
Проаналізуємо динаміку чисельності населення із середньодушовим середньомісячним загальним доходом, нижчим за прожитковий мінімум Таблиця 8. Показники динаміки чисельності населення із середньодушовими загальними доходами у місяць, нижчими прожиткового мінімуму протягом 2000-2007 рр
Бачимо, що чисельність населення із середньодушовим середньомісячним загальним доходом, нижчим за прожитковий мінімум за досліджуваний період зменшилась на 58,18% або на 1016 тис. осіб. При цьому протягом 2001-2003 рр відбувалось деяке збільшеня (на 2,4% ) чисельності населення із середньодушовим середньомісячним загальним доходом, нижчим за прожитковий мінімум порівняно з рівнем 2000 року, а протягом 2004-2007 відбувалось поступове зменшення чисельності цієї категорії населення. В той же час протягом періоду 2003-2007 рр збільшувалось значення децільного коефіцієнту диференціації загальних доходів населення (з 2,7 до 3,9 разів) та децильного коефіцієнта фондів (по загальних доходах) (з 4,3 до 5,5 разів), що свідчить про збільшеня диференціації населення України за розміром сукупних доходів. 5. Середньорічне споживання продуктів харчуванняСпоживання продуктів харчування у домогосподарствах – середньодушове споживання продуктів харчування за місяць в натуральних одиницях виміру (кг, шт.). При розрахунках цього показника спожиті продукти харчування перераховуються в первинний продукт, наприклад, масло тваринне – в молоко, ковбаса – в м’ясо. В показник "споживання цукру" включений цукор, використаний на кондитерські вироби та мед. До спожитих продуктів харчування віднесені спожиті продукти, які були у звітному періоді куплені, отримані з особистого підсобного господарства, від самозаготівель (на полюванні, рибалці, у лісі тощо), а також отримані в подарунок та з інших джерел. Проаналізуємо динаміку та структуру споживання продуктів харчування в домогосподарствах за даними таблиці 9. Таблиця 9. Споживання продуктів харчування в домогосподарствах[6]
Можна бачити, що протягом досліджуваного періода збільшилось споживання мяса та м’ясопродуктів (на 44%), молока та молочних продуктів (на 34%), риби та рибопродуктів (на 42%), фруктів (у 2,1 разів). В той же час дещо скоротилось споживання овочів (на 12%), картоплі (на 5,8%), хліба та хлібної продукції (на 3%). Все це свідчить про покращення життєвого рівня населення України у досліджуваний період. 6. Забезпеченість населення товарами тривалого користуванняВажливими характеристиками рівня життя населення є рівень і структура споживання матеріальних благ і послуг, де об'єктами статистичного спостереження є споживчі одиниці (умовна одиниця). Вони дають можливість зіставити між собою по рівню споживання домашні господарства з різними по віку і підлозі споживчими одиницями (за шкалою коефіцієнтів приведення за умовну споживчу одиницю береться, наприклад, чоловік у віці 18 - 59 років). Використовуючи споживчу одиницю, можна розрахувати показник среднедушевого споживання як відношення кількості спожитого продукту живлення до умовних споживачів. Найважливішою реальною величиною кінцевого споживання є об'єм фактичного споживання домашніх господарств, яке забезпечується не тільки за рахунок реального доходу, але і за рахунок соціальних трансфертів. Об'єм фактичного споживання включає споживання товарів і послуг. Всі товари, споживані населенням, мають наступну структуру: o товари першої необхідності (продукти харчування, повсякденний одяг, житло і т.д.); o товари відкладеної необхідності (книги, побутова техніка, теле- і радіоапаратура, машини і т.д.); o предмети розкоші (дорогий одяг, дорогі меблі, ювелірні вироби, делікатесні продукти харчування і т.д.). У об'ємі послуг прийнято виділяти: o послуги виробничі (ремонт побутової техніки, ремонт предметів повсякденного споживання і т.п.); o послуги господарського призначення (внутрішній ремонт житла, зовнішній ремонт житла і т.п.); Всі послуги можуть бути надані або на безкоштовній основі, або на платній (ринкові послуги). Частина грошових витрат на покупку споживчих товарів і особистих послуг поточного споживання є споживчі витрати населення. Майже половину всіх витрат в бюджеті домашніх господарств складають витрати на живлення. Чим вище абсолютна величина витрат на живлення в середньому на одного члена домогосподарства, тим нижчий рівень життя даного домогосподарства, і навпаки. Широко використовуваним статистичним показником споживання є рівень особистого споживання (індивідуального споживання). Він обчислюється як відношення об'єму товарів і послуг, спожитих населенням за рік, до середньорічної чисельності населення як в цілому, так і за груповими показниками. Статистичні дані особистого споживання характеризують не тільки добробут населення, але і важливі для визначення багатьох макроекономічних показників. Проаналізуємо динаміку та структуру наявних в досліджуваних домогосподарствах товарів тривалого користування (таблиця 10). Розрахунки наявності в домогосподарствах товарів тривалого користування, проведені за результатами вибіркового опитування, враховують фактичну наявність цих товарів незалежно від терміну експлуатації, джерел надходження (куплені, подаровані тощо), стану (враховуються як справні, так і тимчасово несправні товари, які знаходяться у поточному ремонті або чекають ремонту). Таблиця 10. Розподіл домогосподарств за наявністю окремих товарів тривалого користування[7]
Бачимо, що протягом досліджуваного періоду збільшилась частка домогосподарств, що мають кольорові телевізори, пральні машини, електропилососи, фотоапарати та мобільні телефони. В той же час частка домогосподарств, що володіють магнітофонами, швейними машинами, мотоциклами дещо зменшилась, а частка домогосподарств, які володіють холодильниками, мопедами, велосипедами практично не змінилась. ВисновкиСоціальна статистика відрізняється від інших галузей статистики не тільки своїм особливим предметом і об'єктом дослідження. Її своєрідність полягає і в особливих каналах отримання початкової інформації, і в застосуванні спеціальних прийомів обробки і узагальненні цієї інформації, і в особливих шляхах практичного використання результатів аналізу. Все це підтверджує необхідність виділення соціальної статистики в окремий напрям учетно- статистичних робіт, в рамках якого розв'язуються комплексні завдання соціальної статистики. Перш за все, це всестороннє і глибоке вивчення стану і розвитку економіки країни, різних соціальних процесів, що відбуваються в ній, їх закономірностей, шляхом збору, обробки, аналізу і узагальнення даних про них. На сучасному етапі ринкових відносин можна виділити такі основні завдання: на базі сучасної системи статистичних показників, методології їх розрахунку і методів збору статистичної звітності завершити створення моделі державної статистики, адаптованої до умов розвитку ринкових відносин; підсилити інтегруючі функції органів державної статистики в загальному процесі інформаційного відображення суспільних явищ в країні; сформувати єдину методологічну основу для галузевих систем статистичної інформації; забезпечити високу оперативність і максимальну достовірність статистичних даних; підвищити програмно-технологічний і технічний рівень системи. Проведений аналіз статистичних даних щодо динаміки доходів та витрат населення України свідчить про те, що протягом досліджуваного періоду сукупні середньомісячні доходи у розрахунку на одне домогосподарство збільшились у 4,98 разів або на 1538,39 грн. цьому найбільший приріст (на 33,93% або 284,18 грн) спостерігався у 2005 році порівняно із 2004 роком, а найменший (9,23% або 54,82 грн) – у 2003 році порівняно із 2002 роком. Бачимо, що чисельність населення із середньодушовим середньомісячним загальним доходом, нижчим за прожитковий мінімум за досліджуваний період зменшилась на 58,18% або на 1016 тис. осіб. При цьому протягом 2001-2003 рр відбувалось деяке збільшеня (на 2,4% ) чисельності населення із середньодушовим середньомісячним загальним доходом, нижчим за прожитковий мінімум порівняно з рівнем 2000 року, а протягом 2004-2007 відбувалось поступове зменшення чисельності цієї категорії населення. В той же час протягом періоду 2003-2007 рр збільшувалось значення децільного коефіцієнту диференціації загальних доходів населення (з 2,7 до 3,9 разів) та децильного коефіцієнта фондів (по загальних доходах) (з 4,3 до 5,5 разів), що свідчить про збільшеня диференціації населення України за розміром сукупних доходів. В структурі сукупних споживчих витрат дещо збільшилась частка непродовольчих товарів та послуг (з 25,3% до 37,7%) та зменшилась доля продуктів зарчування та безалкогольних напоїв (з 64,5% до 52,5%). Частка споживаних алкогольних напоїв та тютюнових виробів залишилась практично незмінною В структурі сукупних витрат населення України на непродовольчі товари та послуги дещо збільшилась частка витрат на оплату комунальних послуг (з 10,1% у 2002 році до 11,5% у 2007 році), частка витрат на транспорт та зв'язок (з 2,7% до 4% та з 0,7% до 2,5% відповідно) та частка витрат на предмети домашнього вжитку та побутову техніку (з 1,4% до 3,2%). Взагалом можна стверджувати, що рівень сукупних доходів у досліджуваному періоді збільшувался більш швидкими темпами, ніж рівень сукупних витрат, що свідчить про покращення рівня життя населення України в цей період. Література1. Річна статистична інформація. Витрати і ресурси домогосподарств.-http://sf.ukrstat.gov.ua/ukgbudj.htm 2. Витрати і ресурси домогосподарств. Методологічні пояснення. - http://sf.ukrstat.gov.ua/ukgbudj1.htm 3. Доходи та витрати населення за 2008 рік. - http://ukrstat.gov.ua/control/uk/localfiles/display/express/expres_u.html?lang=uk 4. М. Р. Ефимова, С. Г. Бычкова. Социальная статистика. – М.: Финансы и статистика, 2005 г. 5. Социально-экономическая статистика. Под редакцией М. Р. Ефимовой. - М.: Высшее образование, 2009 г. 6. Суринов А. Е. Статистика доходов населения. – М.: Финстатинформ, 2007 7. Новиков В. Формування і прогнозування доходів населення // Україна: аспекти праці №3, 2002 – с.26-28 8. Новиков В. Структурна динаміка і регулювання заробітної плати та доходів населення // Економіка України № 10, 2003 – с.71-77 9. Крівцов В. Макроекономіка: Навч. посіб. — X., 2003. 10. Статистика. Под редакцией И. И. Елисеевой. - М.: Высшее образование, 2009 г. [1] Річна статистична інформація. Витрати і ресурси домогосподарств.-http://sf.ukrstat.gov.ua/ukgbudj.htm [2] Річна статистична інформація. Витрати і ресурси домогосподарств.-http://sf.ukrstat.gov.ua/ukgbudj.htm [3] Річна статистична інформація. Витрати і ресурси домогосподарств.-http://sf.ukrstat.gov.ua/ukgbudj.htm [4] Річна статистична інформація. Витрати і ресурси домогосподарств.-http://sf.ukrstat.gov.ua/ukgbudj.htm [5] Річна статистична інформація. Витрати і ресурси домогосподарств.-http://sf.ukrstat.gov.ua/ukgbudj.htm [6] Річна статистична інформація. Витрати і ресурси домогосподарств.-http://sf.ukrstat.gov.ua/ukgbudj.htm [7] Річна статистична інформація. Витрати і ресурси домогосподарств.-http://sf.ukrstat.gov.ua/ukgbudj.htm |
|||||||||||||||||||||||||||||||||||||||||||||||||||||||||||||||||||||||||||||||||||||||||||||||||||||||||||||||||||||||||||||||||||||||||||||||||||||||||||||||||||||||||||||||||||||||||||||||||||||||||||||||||||||||||||||||||||||||||||||||||||||||||||||||||||||||||||||||||||||||||||||||||||||||||||||||||||||||||||||||||||||||||||||||||||||||||||||||||||||||||||||||||||||||||||||||||||||||||||||||||||||||||||||||||||||||||||||||||||||||||||||||||||||||||||||||||||||||||||||||||||||||||||||||||||||||||||||||||||||||||||||||||||||||||||||||||||||||||||||||||||||||||||||||||||||||||||||||||||||||||||||||||||||||||||||||||||||||||||||||||||||||||||||||||||||||||||||||||||||||||||||||||||||||||||||||||||||||||||||||||||||||||||||||||||||||||||||||||||||||||||||||||||||||||||||||||||||||||||||||||||||||||||||||||||||||||||||||||||||||||||||||||||||||||||||||||||||||||||||||||||||||||||||||||||||||||||||||||||||||||||||||||||||||||||||||||||||||||||||||||||||||||||||||||||||||||||||||||||||||











