Дипломная работа: Разработка плана мероприятий по совершенствованию системы управления персоналом на предприятии
|
Название: Разработка плана мероприятий по совершенствованию системы управления персоналом на предприятии Раздел: Рефераты по менеджменту Тип: дипломная работа | ||||||||||||||||||||||||||||||||||||||||||||||||||||||||||||||||||||||||||||||||||||||||||||||||||||||||||||||||||||||||||||||||||||||||||||||||||||||||||||||||||||||||||||||||||||||||||||||||||||||||||||||||||||||||||||||||||||||||||||||||||||||||||||||||||||||||||||||||||||||||||||||||||||||||||||||||||||||||||||||||||||||||||||||||||||||||||||||||||||||||||||||||||||||||||||||||||||||||||||||||||||||||||||||||||||||||||||||||||||||||||||||||||||||||||||||||||||||||||||||||||||||||||||||||||||||||||||||||||||||||||||||||||||||||||||||||||||||
Содержание Введение 1. Теоретические аспекты системы работы с персоналом 1.1 Персонал организации как система 1.2 Элементы системы управления персоналом организации 1.3 Управление в системе организации 2. Анализ деятельности ОАО «Курганхиммаш» 2.1 Организационная характеристика предприятия 2.2 Анализ основных показателей деятельности предприятия 2.3 Анализ системы управления персоналом предприятия 3. Проект мероприятий по совершенствованию системы управления персоналом 3.1 Разработка системы подбора кадров 3.2 Мероприятия по совершенствованию квалификационного уровня кадрового состава 3.3 Предложения по совершенствованию системы стимулирования труда работников 3.4 Правовое обеспечение проекта 3.5 Оценка эффективности предложенных мероприятий Заключение Список использованных источников Приложения Введение Без управления людьми не может существовать ни одна организация. Гибкая организация труда, самоорганизация работника и групп трудящихся, их сознательное участие не только в производственном процессе, но и в управлении производством становится отправной точкой создания систем управления человеческими ресурсами. С переходом к рыночной экономике происходят принципиальные изменения в системе управления предприятиями. Следствием таких изменений становятся новые подходы к организации и качеству управления предприятием, а также к управленческим кадрам. Только будучи правильно организованным, процесс потребления рабочей силы на внутреннем рынке труда обеспечивает полное использование трудового потенциала работника, его возможностей, личных качеств. Для преодоления экономического кризиса необходимо решить ряд проблем, связанных с изменением в системе управления персоналом организации. В силу этого особую важность и практическую значимость приобретает эффективное управление персоналом. В последние десятилетия управление персоналом и производством стало родом профессиональной деятельности, а управленческий персонал - одной из массовых составных частей рабочей силы. Обеспеченность квалифицированной рабочей силой, степень ее мотивации, организационные структуры и формы работы, определяющие эффективность использования персонала, стали основными факторами обеспечения конкурентоспособности компании. Управление персоналом включает многие составляющие. Среди них: кадровая политика, взаимоотношения в коллективе, социально-психологические аспекты управления. Ключевое место занимает определение способов повышения производительности, путей роста творческой инициативы, а так же стимулирование и мотивация работников. Следовательно, разработка мероприятий по совершенствованию системы управления персоналом является одной из наиболее важных задач современного менеджмента. Проблемы управления персоналом постоянно привлекают внимание специалистов. Вопросами методологии управления персоналом занимались многие ученые. Теоретической базой исследования послужили работы Мескона, Виханского О.Л., Абрахама Маслоу, А.Я. Кибанова, С.И. Самыгина, Х. Хекхаузена, Кокорева В.П., П. Фресса и Ж. Пиаже, а также материалы, публикации современных изданий периодической печати, посвященных управлению и другие источники. На современном этапе многие российские предприятия столкнулись с серьезной проблемой – отсутствием эффективной системы управления. Для преодоления экономического кризиса, возникшего в последнее время, необходимо решить ряд проблем, связанных с изменением в системе управления персоналом организации. В силу этого особую важность и практическую значимость приобретает эффективное управление персоналом. Сегодня в стране необходима более активная политика управления персоналом на предприятии, которая способна обеспечить ему конкурентоспособность и вывод на передовые рубежи социально-экономического развития на основе стимулирования, создания новых рабочих мест, оснащенных передовой техникой и технологией, совершенствование системы профессионального образования и переподготовки кадров, расширение производства. Формирование эффективной системы управления персоналом является одной из наиболее важных задач. Поэтому избранная тема дипломного проекта «Разработка плана мероприятий по организации совершенствования управления персоналом» является актуальной и своевременной. Объект исследования - ОАО «Курганхиммаш». Предмет исследования - совершенствования управления персоналом. Цель – разработка плана мероприятий по совершенствованию системы управления персоналом на предприятии. В соответствии с целью определены следующие задачи: - рассмотреть методические основы системы работы с персоналом, провести анализ отечественного и зарубежного опыта по исследуемой проблеме; - дать организационно-экономическую характеристику предприятия; - проанализировать систему управления персоналом на предприятии; - определить направления совершенствования системы управления персоналом; - разработать проект совершенствования системы управления персоналом, отразить его правовое обеспечение и дать оценку эффективности предложенных мероприятий. Для достижения цели и решения задач использовались монографический, балансовый, экономико-статистический методы исследования. Источниками для написания дипломного проекта по исследуемой теме послужили: труды отечественных и зарубежных ученых, экономическая и бухгалтерская отчетность предприятия, наблюдения автора. 1. Теоретические аспекты системы работы с персоналом 1.1 Персонал организации как система Повышение эффективности производства и результаты труда зависят от квалификации персонала и степени его использования. Под персоналом организации понимается совокупность всех человеческих ресурсов, которыми обладает организация. Это сотрудники организации, а также партнеры, которые привлекаются к реализации некоторых проектов, эксперты, которые могут быть привлечены для проведения исследований, разработки стратегии, реализации конкретных мероприятий и т. д. Сущность управления персоналом - организация эффективной деятельности персонала. Характеристики персонала организации. 1. Особенности индивидуального поведения детерминируются многими параметрами, среди которых индивидуальные способности, склонность и одаренность, предрасположенность к реализации какой-либо деятельности, ориентация на ее выполнение. Специфика мотивации – специфика потребностей человека, представление о целях профессиональной деятельности. Индивидуальные ценности - общие убеждения, вера, мировоззрение, представления о мире. Демографические - половые и возрастные особенности; национальные и культурные особенности - усвоенные в опыте способы, правила и нормы поведения, которые детерминируют конкретные реакции человека в конкретных ситуациях. 2 Особенности группового поведения связаны со многими параметрами, среди которых основными являются особенности корпоративной культуры - ценности, правила поведения, характерные для конкретного трудового коллектива. Феномены групповой динамики - этап развития коллектива, особенности лидерства, способа поведения в ситуации конфликта. 3 Особенности поведения руководителей являются одной из самых комплексных проблем, поскольку самих руководителей можно рассматривать и как субъектов, имеющих индивидуальные особенности, и как членов некоторой группы» обладающих корпоративной культурой, и как функционеров, действующих по правилам определенной управленческой технологии (типу управления). Для людей, работающих в ситуации совместно взаимодействующей деятельности, характерны высокая ориентация на коллективные цели, приверженность авторитету лидера, ориентация на групповые нормы и ценности, а также традиционные способы поведения. Для сотрудников организации с совместно-последовательным типом деятельности характерны высокая технологическая дисциплинированность, следование нормам и правилам, сформулированным в инструкциях, положениях и других нормативных документах. Для участников процесса совместно-индивидуальной деятельности характерны высокая инициативность, ориентация на результат и индивидуальные достижения. Такие специалисты во главу угла ставят свои собственные цели и ценности, склонны самостоятельно разрабатывать способы достижения цели и способны эффективно действовать в ситуации внутриорганизационной конкуренции. Участникам совместной творческой деятельности свойственна ориентация на профессиональное развитие и личностный рост. Такие специалисты склонны к активной коллективной работе с четко поставленной целью [8]. На отечественных предприятиях, организациях и фирмах различных форм собственности принято всех работников подразделять на две группы: промышленно-производственный и непромышленный персонал. В состав промышленно-производственного персонала входят рабочие, инженерно-технические работники и служащие, а также ученики. Предусматривается также подразделение работников этой категории на административно-управленческий и производственный персонал. К непромышленному персоналу обычно относят работников, занятых в транспортном хозяйстве, жилищно-коммунальном обслуживании, сфере социального обеспечения и других непроизводственных подразделениях. В последние годы все большее распространение получила практика подразделения персонала предприятия в зависимости от выполняемых функций на три основные категории: руководители, специалисты и исполнители. Создание нормальных условий труда на всех рабочих местах служит основой высокой трудовой отдачи персонала различных категорий. Работоспособность человека и результаты его труда определяются множеством взаимосвязанных факторов, среди которых на одно их первых мест выступают условия труда, его тяжесть и интенсивность, характеризующие в конечном счете затраты и результаты труда. Поэтому рациональное использование труда, управление персоналом должно предусматривать создание на всех предприятиях с различными формами собственности, в каждом трудовом процессе соответствующих условий для оптимального расходования рабочей силы, то есть умственных, физических и предпринимательских способностей работников. 1.2 Элементы системы управления персоналом организации Управление персоналом направлено на достижение эффективной деятельности организации и справедливости взаимоотношений между работниками. Гибкая организация труда, самоорганизация работника и групп трудящихся, их сознательное участие не только в производственном процессе, но и в управлении производством становится отправной точкой создания систем управления человеческими ресурсами. Каждая система состоит из определённых элементов. Система управления персоналом не является исключением. Система управления кадрами проходит в своём развитии 3 стадии: [6] 1 Анализ ситуации - определение потребности в рабочей силе, исходя из планов развития производства, анализа рабочей силы и прочее. 2 Постановка целей - кадровые цели должны совпадать с целями организации. Цели включают меры по повышению производительности и усилению оборота рабочей силы. 3 Контроль - сопоставление достигнутых результатов с планом, устранение отклонений, которые могут включать наём, обучение работников. В современных условиях в качестве генеральной цели может быть представлена экономическая цель. Дерево целей системы управления организации представлено на рисунке 1. Оно ограничено целями, выделенными по аспектному (понятийному) признаку декомпозиции (1 и 2 уровни), а 3 уровень по факторному признаку. При построении системы целей принят тот факт, что в дальнейшем типовой вариант структуры будет формироваться по функционально- целевому признаку как наиболее распространенному. Поскольку социальная цель является основой формирования целевой направленности системы управления персоналом, то структуризация этого вида целей рассматривается отдельно и более подробно.
Рисунок 1 - Управление кадрами как система [16] Среди целей, сформированных по факторному признаку, следует выделить целевое обеспечение общих функций управления, которые действуют на всех уровнях управления: - планирование (координация ожидаемых результатов и способов их достижения); - организация и регулирование (координация действий); - учёт и контроль (получение информации о достижении результатов); - стимулирование (распределение финансовых ресурсов между всеми звеньями и объектами). Планирование - это начало и основа управления. Различают стратегическое, оперативное и текущее планирование. Любой план должен удовлетворять принципам: 1 быть экономически обоснованным и рациональным; 2 опираться на реальные возможности организации; 3 должен быть достаточно гибким для внесения изменений без ущерба для достижения поставленных целей. Организация - создание такой систем, в которую логично вписываются три компонента: работающий человек или группа людей, экономические отношения, технические средства. Система целей для управления персоналом рассматривается двояко. С одной стороны она должна отвечать на вопрос: каковы конкретные потребности работников, удовлетворение которых они в праве требовать у администрации. С другой стороны, система должна определить: какие цели ставит перед собой администрация по использованию персонала и какие для этого необходимо создать условия. Эти цели не должны быть противоречивыми. Современная концепция управления персоналом склоняется к приоритетности передачи большого объёма управленческих функций непосредственным руководителям того или иного коллектива. При этом они должны получать необходимую профессиональную и методическую помощь. При этом особое внимание уделяется функциональному разделению труда в области управления персоналом. Общая концепция и структуризация функционального разделения труда в области управления персоналом изложена в работах И. Хатце [16]. Он выделяет несколько функциональных блоков, определяющих структуру службы управления персоналом: 1 блок – Определение потребности в персонале. Планирование качественной потребности в персонале; выбор методов расчёта количественной потребности в персонале; планирование количественной потребности в персонале. 2 блок – Обеспечение персоналом. Получение и анализ маркетинговой информации; разработка и использование инструментария обеспечения потребности в персонале; отбор персонала. 3 блок – Развитие персонала. Планирование развития карьеры и служебных перемещений; организация и проведение обучения. 4 блок – Использование персонала. Определение результатов и содержания труда на рабочих местах; производственная социализация; введение персонала, его адаптация в трудовой деятельности; упорядочение рабочих мест; обеспечение безопасности труда; высвобождение персонала. 5 блок – Мотивация результатов труда и поведения персонала. Управление содержание и процессом мотивации труда; управление конфликтами; использование монетарных побудительных систем (оплата труда, участие персонала в прибылях и капитале); использование немонетарных побудительных систем (групповая организация, социальные коммуникации, стиль и методы руководства, регулирование рабочего времени) 6 блок – Правовое и информационное обеспечение процесса управления персоналом. Правовое регулирование трудовых взаимоотношений; учёт и статистика персонала; информирование коллектива и внешних организаций по кадровым вопросам; разработка кадровой политики. 1.3 Управление в системе организации Управление – это труд людей, направленный на организацию и координацию деятельности трудовых коллективов и отдельных работников в процессе производства продукции, оказания услуг. Управление связано, прежде всего, с организацией совместной деятельности людей, с налаживанием согласованных действий в рамках предприятия, с регулированием отношений между личностью и предприятием. Управление всегда предполагает наличие двух основных частей: - объекта (предмета) управления, на который направлено управляющее воздействие для его выполнения; - субъекта (органа) управления, который вырабатывает управляющее воздействие и контролирует его исполнение. Если совокупность этих двух частей образует в процессе своего взаимодействия устойчивую целостность, то она называется системой управления. Все, что не включается в эту целостность, рассматривается как внешняя среда. Иногда субъект управления называют управляющей подсистемой, а объект – управляемой подсистемой. Для изучения или разработки этих подсистем их можно рассматривать как самостоятельные системы. Управлением считается процесс воздействия субъекта управления на объект управления в целях обеспечения последним эффективного функционирования и развития. Управление персоналом определяет и устанавливает характер взаимоотношений и способы их реализации между субъектом-руководителем и объектом, в качестве которого может выступать индивид или трудовой коллектив. Система управления предприятием является открытой системой, зависящей от внешней среды, и в этой связи процесс управления должен учитывать воздействие на систему различных факторов внешней среды. Среди многообразия таких факторов можно выделить поставщиков, потребителей, конкурентов, источники финансовых и трудовых ресурсов. Эти факторы сильно воздействуют на процесс управления, поэтому их относят к факторам прямого воздействия [11]. К другим факторам косвенного воздействия относят, например, состояние экономики страны, политические и другие факторы. Влияние этих факторов возрастает, в этой связи появляются новые подходы в теории и практике управления, а также новые направления в стратегии управления. При рассмотрении функционирования системы управления в ней можно выделить ряд основных и вспомогательных процедур. К основным можно условно отнести выбор и принятие управленческого решения. К вспомогательным – сбор, обработку хранение, поиск информации и ряд других процедур. Некоторые из процедур управления могут быть формализованы и представлены в виде алгоритма, который позволяет сделать переход по определенным правилам от исходных данных к результату. Если процедуры процесса управления алгоритмизированы, то их выполнение можно поручить компьютеру. Если процедуры не поддаются алгоритмизации или нельзя получить полную и достоверную исходную информацию, то процесс управления должен выполняться человеком на основе его знаний, опыта и интуиции. Структура управления персоналом включает в себя следующие направления деятельности: - планирование ресурсов: разработка плана удовлетворения потребностей в людских ресурсах и необходимых для этого затрат; - набор персонала: создание резерва потенциальных кандидатов по всем должностям; - отбор: оценка кандидатов на рабочие места и отбор лучших из резерва, созданного в ходе набора; - определение заработной платы и компенсации: разработка структуры заработной платы и льгот в целях привлечения, найма и сохранения персонала. - профориентация и адаптация: введение нанятых работников в организацию и ее подразделения, развитие у работников понимания того, что ожидает от них организация и какой труд в ней получает заслуженную оценку; - обучение: разработка программ обучения персонала в целях эффективного выполнения работы и его продвижения; - оценка трудовой деятельности: разработка методик оценки трудовой деятельности и доведения ее до работника; - повышение, понижение, перевод, увольнение: разработка методов перемещения работников на должности с большей или с меньшей ответственностью, развития их профессионального опыта путем перемещения на другие должности или участки работы, а также процедур прекращения договора найма; - подготовка руководящих кадров, управление продвижением по службе: разработка программ, направленных на развитие способностей и повышение эффективности труда руководящих кадров; - трудовые отношения: осуществление переговоров по заключению коллективных договоров. Обеспечение гарантий занятости для персонала делает любую фирму более прибыльной и конкурентоспособной, особенно если стратегия стабилизации состава работников используется в качестве средства для повышения гибкости в управлении персоналом, создания условий для тесного взаимодействия работников и сохранения наиболее квалифицированного их состава. Разработка программ управления персоналом предусматривает: - наличие целевой ориентации и взаимосвязи общих целей; повышение производительности труда, качества продукции, гибкости в оплате труда; постоянное повышение квалификации работников; - совместную разработку стратегии в области управления трудовыми ресурсами и стабилизации занятости представителями руководства, профсоюзом и работниками. Принципиальная схема управления персоналом показана в Таблице 1. Таблица 1 - Принципиальная схема управления персоналом
Одним из важнейших направлений в работе организации является работа с персоналом. Крупные корпорации уделяют особое внимание именно этой службе, т.к. от успешности её работы во многом зависит производительность труда всех работников организации. В организациях с небольшой численностью каждую кадровую функцию или несколько может выполнять один работник. Подразделения - носители функции управления персоналом - могут рассматриваются в широком смысле как служба управления персоналом. Эффективное руководство человеческими ресурсами организации составляет неотъемлемую часть производительности и достижения работниками и организациями, в которых они работают, своих целей. Для того чтобы оценить эффективность управления человеческими ресурсами должным образом, необходима сложная система учета, сбора информации, прикладных исследований и формальная система коммуникаций. Одним из наиболее распространенных средств оценки эффективности управления человеческими ресурсами является оценка персонала методами аудита, подобными аудиту финансовому. Развитие и применение статистической отчетности и данных, получаемых в ходе исследований, аудит персонала помогает оценить, насколько успешно осуществляется деятельность по управлению персоналом. Проблемой, с которой часто сталкиваются организации в отношении ведения учета человеческих ресурсов, является неспособность найти нужную информацию без серьезных сложностей. Возможно, гораздо чаще принимались бы лучшие решения по управлению персоналом, если бы менеджеры имели более полную и достоверную информацию по таким, например, вопросам, как причины или степень тяжести несчастных случаев, причины прогулов. Однако во многих организациях доступ к подобной информации не так прост. Вероятно, существует определенная граница, за пределами которой затраты на ведение учета становятся выше, чем стоят сами учетные данные. Решение этой актуальной для многих современных организаций проблемы является хорошо построенная информационная система по персоналу. Информационная система о персонале представляет собой интегрированную систему, построенную для обеспечения информацией, применяемую при принятии решений в отношении персонала [18]. Существует несколько объективных причин для внедрения информационной системы управления персоналом (Рисунок 2). Информация, которая требуется руководству для принятия решений, может представлена быстрее и проще. Например, вместо того чтобы проводить вручную анализ текучести кадров по отделам, стажу в компании и образовательному уровню, специалисты могут составлять подобные отчеты быстро при помощи информационной системы, используя ее возможности сортировки и анализ информации. Поскольку эффективное управление персоналом приобретает все большее стратегическое значение во многих организациях, информационная система весьма эффективна и при стратегическом планировании и прогнозировании будущей потребности в человеческих ресурсах.
Рисунок 2 – Деятельность по управлению персоналом – элементы информационной системы Аттестация персонала - кадровые мероприятия, призванные оценить соответствие уровня труда, качеств и потенциала личности требованиям выполняемой деятельности. Главное назначение аттестации - не контроль исполнения, а выявление резервов повышения уровня отдачи работника. С учетом целей аттестации можно говорить о двух ее составных частях: оценке труда и оценке персонала. Оценка труда направлена на сопоставление содержания, качества и объема фактического труда с планируемым результатом труда, который представлен в технологических картах, планах и программах работы предприятия. Оценка труда дает возможность оценить количество, качество и интенсивность труда. При проведении аттестации руководителей имеет смысл не только давать оценку труда каждого из них, но и организовывать особые процедуры оценки труда руководимого им подразделения (целесообразно привлекать и использовать информацию от смежных подразделений организации, а также внешних партнеров и клиентов, с которыми это подразделение взаимодействует). Оценка персонала позволяет изучить степень подготовленности работника к выполнению именно того вида деятельности, которым он занимается, а также выявить уровень его потенциальных возможностей для оценки перспектив роста. Анализ практики управления показывает, что корпорации используют в большинстве случаев одновременно оба вида оценки деятельности работников, т. е. оценку труда и оценку качеств, влияющих на достижение результатов. Оценочная форма включает два соответствующих раздела, в каждом из которых от руководителя наряду с балльной оценкой обычно требуются развернутые обоснования. Аттестационные процедуры предусматривают индивидуальное обсуждение итогов оценки с подчиненным, который удостоверяет это подписью, а также может зафиксировать несогласие с выводами начальника и особые обстоятельства, повлиявшие на результаты труда. Оценка эффективности деятельности кадровой службы организации базируется на определении того, насколько она способствует достижению целей организации и выполнению поставленных перед ней задач. Результаты оценки служат итоговыми индикаторами, фокусирующими внимание на основных проблемах работы с персоналом, таких как качество выполнения работы, удовлетворенность работников, исполнительская дисциплина, текучесть кадров. К основным показателям эффективности деятельности подразделений управления персоналом можно отнести следующие (Таблица 2). Таблица 2 – Показатели оценки эффективности деятельности подразделений управления персоналом
Количественная оценка показателей собственно экономической эффективности деятельности служб управления персоналом предполагает обязательное определение затрат, необходимых для реализации кадровой политики организации. При этом следует учитывать не только общие затраты организации на персонал, но и издержки по содержанию самой кадровой службы, реализации ею функций управления. При оценке эффективности отдельных кадровых мероприятий и программ определяется воздействие данной программы на результативность деятельности работников и организации в целом (повышение производительности труда, улучшение качества продукции, экономия ресурсов и т.д.). Например, эффект воздействия программы обучения работников на повышение производительности труда и качества продукции, согласно методике американской компании «Хониуэлл», может быть определен по следующей формуле [20]: E = P x N x V x K – N x Z , (1) где Р – продолжительность воздействия программы на производительность труда и другие факторы производительности результативности; N – число обученных работников; V – стоимостная оценка различия в результативности труда лучших и средних работников, выполняющих одинаковую работу; К – коэффициент, характеризующий эффект обучения работников (рост результативности, выраженный в долях); Z – затраты на обучение одного работника. Показатели оценки деятельности служб укомплектованности кадрового состава, оценивается количественно путем сопоставления фактической численности работников с требуемой (расчетной) величиной по трудоемкости операций или с плановой численностью и численностью предусмотренной штатным расписанием; а также качественно – по соответствию профессионально – квалификационного уровня, профиля образования, практического опыта работников требованиям занимаемых рабочих мест (должностей). Показатели степени удовлетворенности работой оцениваются на основе анализа мнений работников. Такие мнения выявляются с помощью обследования путем анкетирования или интервьюирования для выражения реакций работников на кадровую политику организации и отдельных ее направлений. Основными косвенными критериями эффективности деятельности служб управления персоналом являются показатели текучести кадров и абсентеизма. Чем меньше коэффициент первого показателя, тем эффективнее работа предприятии по мотивации персонала. Таким образом, система управления персоналом является основой менеджмента организации, поскольку реализует основную задачу менеджмента - организацию деятельности. Эффективность менеджмента напрямую зависит от качества управления персоналом. Для повышения эффективности менеджмента в управлении персоналом на первый план выступают вопросы оптимизации кадрового состава, которые особенно важны для организаций, проходящих фазы кризиса или находящихся в ситуации спада. Изначально необходимость в управлении персоналом заключается в обеспечении соответствия субъективированного профессионального опыта, носителем которого являются люди, объективированному профессиональному опыту, заложенному в структуре должностей и рабочих мест. Решение данной задачи носит динамичный характер, что обусловлено постоянно изменяющимися факторами внешней и внутренней среды. Также необходимость внедрения системы управления персоналом обусловлена: 1 готовностью руководителя предприятия или его команды оценить значение управления персоналом в реализации профессиональных возможностей персонала; 2 наличием финансовых возможностей создания системы управления персоналом; 3 обеспеченностью организации подготовленными специалистами по управлению персоналом. Система управления персоналом включает такие подсистемы, как кадровое планирование, набор и увольнение, обучение и развитие, мотивация и вознаграждение, организация деятельности, оценка и аттестация кадров. Организация должна создать особые методы, процедуры, программы управления процессами, связанными с человеческими ресурсами, и обеспечить их постоянное совершенствование. В единстве эти методы, процедуры, программы представляют собой систему управления персоналом, которая характеризуется такими параметрами, как: 1 соответствие персонала целям и миссии фирмы; 2 эффективность системы работы с персоналом соотношение затрат и результатов, потребность в инвестициях, выбор критериев оценки результатов работы с персоналом; 3 избыточность или недостаточность персонала, расчет потребности, планирование количества; 4 сбалансированность персонала по определенным группам профессиональной деятельности и социально-психологических характеристик; 5 структура интересов и ценностей, господствующих в группах персонала управления, их влияние на отношение к труду и его результаты; 6 ритмичность и напряженность деятельности, определяющие психологическое состояние и качество работы; 7 интеллектуальный и творческий потенциал персонала управления, отражающий подбор и использование персонала, организацию системы его развития. Эффективность управления персоналом определяется степенью реализации общих целей организации. Эффективность использования каждого отдельного работника зависит от его способности выполнять требуемые функции и мотивации, с которой эти функции выполняются. 2. Анализ деятельности ОАО «Курганхиммаш» 2.1 Организационная характеристика предприятия ОАО «Курганхиммаш» является одной из ведущих компаний в России по производству оборудования для химической, нефтегазовой и др. отраслей промышленности. Курганский завод химического машиностроения был основан в 1956 г. В результате реорганизации и в процессе приватизации государственного предприятия «Курганский завод химического машиностроения», было создано ОАО «Курганхиммаш» и зарегистрировано в 1996 г. в администрации г.Кургана. Акционерами общества стали 6 юридических лиц, владеющих 62,14 % голосующих акций, и 5656 физических лиц (в основном члены трудового коллектива). Место нахождения Акционерного общества и почтовый адрес: Российская Федерация, 640021, г. Курган, ул. Химмашевская, 16. Основными целями деятельности ОАО «Курганхиммаш» являются: -извлечение прибыли; -наполнение рынка товарами, работами, услугами; -самостоятельное осуществление внешнеэкономической деятельности в рамках действующего Законодательства РФ; -в случае необходимости проведения импортно-экспортных операций, требующих лицензирования, получить лицензию. ОАО «Курганхиммаш» осуществляет следующие виды деятельности: -производство и реализация химического, нефтегазового и другого оборудования, товаров народного потребления, других изделий; -оказание различных услуг гражданам и юридическим лицам; -осуществление коммерческой деятельности, проведение товарообменных и закупочных операций, в том числе по промышленным и продовольственным товарам; -иные виды деятельности, не запрещенные законодательством РФ. Территория предприятия – 24,6 га., в том числе производственные площади – 66,978 тыс. м2 . На территории завода расположены следующие здания и сооружения: 10 производственных корпусов, корпус заводоуправления, блок складов, пилорама, котельная, транспортное хозяйство. Предприятие имеет подъездные железнодорожные пути и необходимые грузоподъемные механизмы. На балансе завода находятся также объекты социальной сферы (физкультурно-оздоровительный комплекс). На предприятии имеются лаборатории неразрушающих физических методов контроля и механических испытаний сварных швов и металла, испытательная лаборатория химического оборудования, имеющая аттестат аккредитации Госстандарта и зарегистрированная в Государственном Реестре. Открытое акционерное общество «Курганский завод химического машиностроения» является самостоятельным субъектом, осуществляющим хозяйственную деятельность в соответствии с гражданским кодексом РФ в целях удовлетворения общественных потребностей и получения прибыли и действующим на принципах самофинансирования, хозяйственного расчета и самоуправления. Техническое использование выпускаемого оборудования и специализация основных цехов нижеследующая: 1 Установки очистки и осушки воздуха – используются предприятиями, где необходим сухой чистый воздух. 2 Автоклавы вулканизационные и пропиточные - для резинотехнической, лесоперерабатывающей, строительной, медицинской и др. промышленностей. 3 Центрифуги - легкая и пищевая промышленность. 4 Озонаторное оборудование - коммунальное хозяйство. 5 Аппараты гуммированные - используются для хранения агрессивных сред. 6 Сепараторы нефти и газа - нефтегазодобывающая промышленность. 7 Ремонтные конструкции и камеры - используются для ремонта и эксплуатации нефтепроводов. 8 Теплообменное оборудование - для нагрева и охлаждения жидких и газообразных сред, используются во всех отраслях промышленности. 9 Нестандартное химическое оборудование - по заявкам потребителей. Организационная структура ОАО «Курганхиммаш» относится к линейно - функциональному типу. При данной структуре управления сохраняется преимущество линейной структуры в виде принципа единоначалия, и преимущество функциональной структуры в виде специализации управления. Структура ОАО «Курганхиммаш» основана на специализированном разделении труда, то есть работа между людьми распределена не случайно, а закреплена за специалистами, способными выполнять ее лучше всех с точки зрения организации как единого целого (Приложение 1). Высшим органом управления Общества является общее собрание акционеров. Совет директоров осуществляет общее руководство деятельностью предприятия. Исполнительным органом Общества, осуществляющим руководство его текущей деятельностью, является Генеральный директор. Управление предприятием осуществляется на базе определенной организационной структуры. Структура предприятия и его подразделений определяется предприятием самостоятельно. Вся структура управления ОАО «Курганхиммаш» поделена на блок. Производственный блок осуществляет руководство цехами через отдел производственного управления. Этот блок занимается производством готовой продукции. Блок качества подчиняется заместителю генерального директора по качеству, который осуществляет руководство отделами, проводящими испытание и контроль за выпуском готовой продукции согласно существующим техническим стандартам. Блок развития руководит отделами, осуществляющими конструирование изделий выпускаемых на предприятии и маркетинговую деятельность (участие в выставках, рекламу продукции, анализ рынка сбыта, анализ конкурентоспособности продукции). Блок продаж возглавляет заместитель генерального директора по внешним связям, который руководит отделами, занимающимися поиском рынков сбыта готовой продукции, заключением договоров с покупателями и заказчиками. Технический блок, который подчиняются непосредственно главному инженеру. В него входят отделы, осуществляющие подготовку производства: следят за соблюдением технологических процессов, занимаются изготовлением инструментов и нестандартного оборудования, которые необходимы для производства готовой продукции. Социальный блок, состоящий из отделов, которые занимаются подбором и подготовкой кадров, осуществляют охрану предприятия, организуют культурно – просветительные мероприятия и решают социально – бытовые вопросы работников предприятия. Блок планирования и финансов объединяет в себе: планово-финансовое управление, которое возглавляет главный экономист-начальник ПФУ и центральную бухгалтерию во главе с главным бухгалтером. Этот блок осуществляет планово – финансовую деятельность предприятия, ведет расчеты по внутренним и внешним обязательствам Общества. На юридический отдел возложен контроль за обеспечением законности в деятельности управления и правовая защита интересов предприятия. Таким образом, производственная структура промышленного предприятия представляет собой форму организации производственного процесса и находит свое выражение в размерах предприятия, в количестве и составе цехов и служб, созданных на предприятии, их планировке, а также в составе, количестве и планировке производственных участков и рабочих мест внутри цехов, создаваемых в соответствии с расчленением процесса производства крупные звенья, частичные производственные процессы и производственные операции. 2.2 Анализ основных показателей деятельности предприятия Акционерное общество «Курганхиммаш» является одним из ведущих производителей оборудования для химической, нефтегазовой и других отраслей промышленности. Основными поставщиками сырья, материалов и комплектующих изделий являются машиностроительные заводы и металлургические комбинаты городов Екатеринбург, Челябинск, Магнитогорск, Миасс, Нижний Тагил, Череповец, а также идёт поставка с других регионов России: Москвы и Московской области, Вологодской и Волгоградской областей и других. С крупными поставщиками налажены постоянные связи, а также существуют и разовые договора. Поставка сырья и материалов осуществляется железнодорожным и автомобильным транспортом. Наиболее крупным рынком сбыта продукции ОАО «Курганхиммаш» является северный регион Российской Федерации: Тюменская и Томская области, то есть предприятия нефтегазодобывающей отрасли. В 2002 г. в связи с освоением производства продукции для нефтегазоперерабатывающих предприятий, магистральных нефтепроводов и нефтеналивных парков рынок сбыта продукции значительно расширился. Продукция поставляется не только в Россию, но и за её пределы. Благодаря тому, что г. Курган является крупной железнодорожной станцией и связан сетью автомобильных дорог со всеми регионами страны отгрузка готовой продукции производится железнодорожным и автомобильным транспортом. Рассмотрим основные показатели производственно – экономической деятельности предприятия (таблица 3). На основе этих данных видно, что объём товарной продукции в сопоставимых ценах в 2007 г. увеличился по сравнению с 2005 г. на 230%. Рост объясняется увеличением портфеля заказов, за счёт освоения новых, более сложных изделий. Среднесписочная численность работников увеличилась на 26,3 %, что обусловлено ростом объёмов производства; производительность труда возросла на 65,1 %. Таблица 3 - Основные показатели производственно – экономической деятельности предприятия
В целом можно сделать вывод, что предприятие набрало хороший темп и стабильно работает. Основными товарными рядами предприятия являются: нефтегазовое оборудование;емкостное оборудование; комплектное оборудование для осушки, очистки и охлаждения сжатого воздуха; теплообменного оборудования для нефтегазовой и химической промышленности; оборудование водоподготовки и теплообменное для предприятий теплоэнергетики; озонаторное оборудование; автоклавы, центрифуги. Структура товарной продукции ОАО «Курганхиммаш» за период 2005-2007 г.г приведена в таблице 4. Таблица 4 - Состав и структура продукции ОАО «Курганхиммаш»
Данные таблицы 4 содержат информацию о составе и видах товарной продукции ОАО «Курганхиммаш». Структура производимой продукции очень объемная, за анализируемый период внутри нее произошли некоторые изменения, предприятие разрабатывало и внедряло в производство новые виды оборудования, расширяя и модифицируя номенклатурный ряд. Рассматривая структуру товарной продукции делаем вывод, что наибольший удельный вес составляет нефтегазовое оборудование, в том числе: оборудование для обустройства нефтяных и газовых месторождений (резервуары, муфты, камеры приема и запуска средств очистки и диагностики магистральных нефтепроводов): в 2005г. – 414 273 тыс. р., что в процентном соотношении составляет – 67,67 % от общей суммы реализованного оборудования за год. В 2006 г. величина реализации оборудования данного товарного ряда составляла 863773 тыс. р. (74,06 %), а в 2007 г. – уже 1211млн. р. (69,71 %). На втором месте по объему реализации по данным 2007 г. находится емкостное оборудование. Исследуя период 2005 - 2007 г. г. становится очевидно, что объем выпуска этой продукции значительно увеличился по сравнению с 2005г., а именно с 7571 тыс. р. в 2005 г. до 242995 тыс. р. в 2007г. Увеличился и удельный вес данного вида продукции в объеме всего оборудования. В 2005 г. он составлял 1,24 %, тогда как 2006 г. вырос до 7,17 % уже находясь на втором месте. Согласно данным 2007 г. емкостное оборудование прочно закрепилось на второй по значимости позиции и составляет почти 14 % от общего объема реализованной продукции. Объемы реализации теплообменного оборудования увеличились практически вдвое - с 59 244 тыс. р . в 2005 г. до 105 012 тыс. р. в 2007 г. Данное оборудование также стоит рассматривать как одно из основных в товарной номенклатуре предприятия. Оборудование водоподготовки и озонаторное оборудование также представлено отдельными товарными рядами в общей номенклатуре завода. В целом за исследуемый период произошёл рост выпуска товарной продукции. По удельному весу отдельных видов товарной продукции можно судить о специализации предприятия. В структуре продаж предприятия 100% занимают прямые продажи. Таким образом, ОАО «Курганхиммаш» характеризуется как экономически прогрессивное предприятие. 2.3 Анализ системы управления персоналом предприятия Численность производственного и управленческого персонала представлена в таблице 5. Таблица 5 – Состав и структура производственного и управленческого персонала ОАО «Курганхиммаш»
На 1 января 2008 г. списочная численность работающих на ОАО «Курганхиммаш»составила 2330 человек, что составляет 103,2 % от плановой численности. Увеличение персонала произошло из-за увеличения объемов производства - открытие новой производственной площадки). В 2007 г на заводе работало 326 руководителя, произошло увеличение по сравнению с 2005 г. на 30 человек за счет организации нового цеха и образования нового подразделения «КХМ-2». Рассмотрим качественный работников ОАО «Курганхиммаш» (Рисунок 2).
Рисунок 2 – Персонал организации по возрастному признаку Возраст: до 30 лет – 6,8 %; от 30 до 40 лет – 19,3 %; от 41 до 50 лет – 36,6 %; от 51 до 60 лет – 27,6 %; свыше 60 лет – 9,7 %. Из приведенных данных видно, что в основном на ОАО «Курганхиммаш» специалисты зрелого возраста от 41 до 50 лет. Показательным может стать анализ работников по уровню образования и стажу работы на предприятии. Рассмотрим характеристики в таблице 6-7. Таблица 6 – Уровень образования сотрудников
Судя по данным таблицы 6, уровень образования на предприятии постоянно растет за счет увеличения доли сотрудников, имеющих высшее образование. В то же время доля работников со средним образованием остается практически неизменным. Важным показателем стабильности персонала сотрудников организации персонала и преданности сотрудников организации является показатель продолжительности работы на предприятии (стаж) (Таблица 7). Таблица 7 – Структура персонала по продолжительности работы в организации 2005 – 2007 гг.
Исходя из показателей таблицы 6, основную группу составляют работники, отработавшие в организации: - в 2005 г. – 3-5 лет; -в 2006 г. – 5 – 10 г.; - в 2007г. – 10 – 29 лет. Следовательно, на предприятии с каждым годом увеличивается число работников, которые проработали, достаточно большое время на предприятии, это может быть вызвано повышением мотивационного эффекта для данной группы сотрудников. Немаловажное значение в управлении персоналом имеет текучесть кадров (Таблица 8). Таблица 8 – Анализ движения рабочей силы, чел.
Из таблицы 8 видно, что в период с 2005 по 2007 гг. количество принятого на работу персонала увеличилось. Количество уволившихся также увеличилось более чем в 2 раза. Этому способствует не отлаженная мотивационная политика предприятия. Коэффициент оборота по приему за рассматриваемый период во многом превышает коэффициент по выбытию. Нужно отметить, что среди выбывших большую часть составляют уволившиеся по собственному желанию. Рассмотрим существующие системы управления персоналом на ОАО «Курганхиммаш». Структура службы управления персоналом ОАО «Курганхиммаш» представлена на рисунке 5.
Рисунок 3 – Организационная структура службы управления персоналом Основные функции ОУП на ОАО «Курганхиммаш» состоят в следующем: 1 Разработка планов потребности в кадрах с учетом внедрения новых технологий. -осуществление поиска новых работников как внутри предприятия, так и через городскую службу занятости; -заключение досрочных договоров с учебными заведениями города; -создание условий для минимального количества вакансий; -проведение адаптационных мероприятий по вхождению работников в коллектив. 2. Разработка планов подготовки кадров, переподготовки и повышения квалификации кадров. -комплектация групп по обучению как по бригадной, так и индивидуальной форме обучения; -организация практики студентов ВУЗов; -ведение учета и составление отчетов по подготовке, переподготовке и повышению квалификации кадров. Документальное оформление приема, переводов, перемещения работников; отпусков, увольнений, ведение учета личного состава работающих. Хранение, заполнение и выдача трудовых книжек. Ведение учета работников пенсионного и предпенсионного возрастов. Ведение персонифицированного учета работников. Выяснение причин прихода работников и их увольнения. Работа отдела кадров и подготовки кадров проводится на основе действующёго трудового законодательства, других нормативных актов, коллективного трудового договора, приказов и распоряжений генерального директора, заместителя генерального директора, правил внутреннего распорядка, действующей системы обеспечения качества и Положения об отделе кадров и подготовки кадров ОАО «Курганхиммаш». На предприятии отдел кадров постоянно взаимодействует с другими структурными подразделениями, предоставляя и получая от них информацию (таблица 8). Таблица 9 - Взаимоотношения отдела кадров с другими подразделениями
Данная служба является единым центром, в котором происходит сосредоточение функций по приему и увольнению кадров. Отбор персонала осуществляется по результатам собеседования с непосредственным начальником, которое направлено на выявление соответствия профессиональной подготовки требованиям квалификации, кроме того, в ходе собеседования оцениваются внешний вид, поведение соискателя. Однако поскольку собеседование не формализовано, и его результаты нигде не фиксируются, соответственно прием на работу происходит на основании впечатления, произведенного человеком. Поэтому, в основном, для сотрудников, принимаемых на рабочие специальности, устанавливается испытательный срок, по истечении которого принимается окончательное решение о приеме на работу. Прием на работу оформляется приказом (распоряжением) работодателя, изданным на основании заключенного трудового договора, и заводится личная карточка. На предприятии разработана анкета, которая заполняется при увольнении работников. Данная анкета направлена на выявление причин текучести устранения неблагоприятных ситуаций. Следует отметить, что в основном работы по управлению персоналов в отделе кадров складывается из чисто формальных поиска кандидатов (размещение объявлений) и оформления приема на работы и увольнения. В системе управления персоналом важное место занимает стимулирование труда работников. Применяемую на анализируемом предприятии систему материального стимулирования можно представить в следующем виде: - оплата труда с использованием тарифных ставок; - оплата труда согласно контракта (договора); - премиальный % от объема продаж, заключенных договоров; - социальная защита работников. Средняя заработная плата по предприятию на ОАО «Курганхиммаш» на 1.09.2008 составила 15240 р. Оплата труда на предприятии производится согласно «Положению об оплате труда работников». Для повышения трудовой активности персонала используется система материального стимулирования, в которой используются различные формы - премирование за текущие результаты хозяйственной деятельности, доплаты и надбавки (при выполнении работ различной квалификации, за совмещение, при работе в сверхурочное время, в ночное время, в праздничнее дни другие), различные единовременные поощрения за результаты труда. В ОАО «Курганхиммаш» всем работникам, имеющим одни и те же должности, установлены одинаковые оклады, несмотря на индивидуальный вклад в работу предприятия. Руководство организации в данном вопросе опасается недовольством работников, несогласных с оценкой их знаний или компетенций, поэтому и не допускает дифференциации должностных окладов работников на одинаковых должностях. Однако с особо ценными работниками ОАО «Курганхиммаш» подписываются трудовые договора (контракты), в которых информация о заработной плате становится коммерческой тайной. На предприятии предусмотрены следующие методы трудовой мотивации персонала, осуществляемые через обеспечение благоприятных материальных условий труда, организацию мероприятий по социальной защите трудящихся: - дополнительные отпуска определенным категориям работников; - субсидирование персонала – наличие столовой и кафе для своего персонала, автоматов приготовления и разлива кофе; талоны на обед; - доплата на лечение в медико-санитарной части работникам и ветеранам предприятия; - оплата путевок в санаторно-курортные, оздоровительные учреждения работниками предприятия и их детям; - обеспечение спецодеждой; - новогодние подарки детям; - предоставление ссуд для решения финансовых проблем сотрудников; - кредитная система на приобретение товаров и продуктов питания; - премирование работников, получивших звания, знаки отличия, Почетные грамоты и т.д. - товары со скидкой – возможность приобретения своим работником товаров фирмы со скидкой от 10% и выше (в основном, это бытовые газовые баллоны, бочки для дачи и т.п.); - возможность получения ссуды с низким процентом на различные цели. Также руководители через вознаграждение, премии, надбавки вызывают у персонала заинтересованность в конечных результатах своего труда, качестве продукции или услуг, тем самым, принося доход себе и компании в целом. Однако помимо, положительное стимулирования деятельности работников, на предприятии развита система наказаний. Эффективно используются в ОАО «Курганхиммаш» за проступки в сфере трудовых правоотношений наказания, которые по своему статусу не являются дисциплинарными взысканиями и которые могут применяться одновременно с дисциплинарными взысканиями. К таким мерам можно отнести лишение провинившегося сотрудника премий, предусмотренных Положением об оплате труда ответственности. Например, опоздание на работу, зафиксированное на проходной предприятия в первый раз – лишение 10% премии за месяц. Зафиксированное опоздание второй раз (месяц подряд) – полное лишение премии за месяц. Третье опоздание (в рамках месяца) - рассматривается вопрос об увольнении работника. Материальная ответственность возлагается на работников за ущерб, причинённый предприятию, с которым они состоят в трудовых отношениях, а также за ущерб, возникший в связи с возмещением им ущерба, причинённого его работниками третьим лицам, если этот ущерб возмещён предприятием. Чаще всего к видам ущерба, который необходимо возмещать, относятся следующие случаи: уничтожение или порча имущества по небрежности рабочего; утрата документов, оборудования; вынужденный простой на предприятии по вине работника и др. На ОАО «Курганхиммаш» применяются также и неэкономические стимулы, способствующие улучшению микроклимата и снижению социально-психологической напряженности. Для работников предприятия в хорошем состоянии действует спорткомплекс, в котором проводятся различные соревнования, а также бесплатные спортивные занятия для работников предприятия. На территории предприятия также имеется библиотека, читальный зал, в котором еженедельно проводятся литературные встречи с чаепитием в обеденное время. Рядом располагается музей ОАО «Курганхиммаш», который в 2007г. награжден медалью «Музей для всех» в Екатеринбурге. Медико-санитарная часть ОАО «Курганхиммаш» небольшая, однако у предприятия заключен договор с поликлиникой «Корвет» об обслуживании работников предприятия. На базе данной поликлиники проходят ежегодные медицинские профосмотры. Помимо этого для желающих работников предприятия проводятся бесплатные вакцинации (грипп, гепатит, энцефалит). Ежегодно более 700 сотрудников ОАО «Курганхиммаш» проходят оздоровление в санатории «Сосновая роща» за счет средств предприятия. Важное направление в системе управления персоналом – повышение квалификационного уровня работников. Профессиональное обучение персонала и внутризаводская подготовка кадров включает: 1 Обучение руководителей и специалистов; 2 Обучение рабочих; 3 Квалификационные экзамены; 4 Преподавательские кадры; 5 Организация обучения. Обучение руководителей и специалистов включает в себя повышение квалификации и общее повышение знаний по экономическим, правовым вопросам, вопросам трудового и гражданского законодательства. Устанавливаются следующие основные виды обучения руководителей и специалистов: -систематическое, самостоятельное обучение сотрудников; -обучение на производственно-экономических семинарах; -обучение в межрегиональном центре при Курганском Государственном университете; -обучение руководителей по президентской программе -стажировка на других предприятиях, учебных заведениях. Система профессиональной подготовки по рабочим профессиям, которая предусматривает: -подготовку новых рабочих лиц, не имеющих специальности; -повышение квалификации рабочих; -обучение вторым (смежным) профессиям. Подготовка новых рабочих на производстве – это профессиональное первоначальное обучение лиц, принятых на завод и ранее не имевших профессии. Направление рабочих на обучение выполняет отдел кадров, сроки обучения устанавливаются до шести месяцев. Подготовка новых рабочих заканчивается сдачей ими квалификационных экзаменов с оформлением протокола и квалификационного свидетельства. Повышение квалификации рабочих – это обучение, направленное на совершенствование профессиональных знаний, умений и навыков, рост мастерства по имеющимся профессиям. Обучение рабочих по повышению квалификации осуществляется: -на производственно-технических курсах; -на курсах целевого назначения. Производственно-технические курсы создаются в цехах с целью углубления профессиональных знаний, умений и навыков работы, изучения вопросов качества и экономики для получения более высоких тарифных разрядов в соответствии с требованиями производства. Продолжительность обучения устанавливается в зависимости от целей и задач обучения, сложности изучаемого материала, уровня квалификации обучаемых. Обучение проводится на рабочих местах под руководством инструктора производственного обучения. Цеховая комиссия по билетам, утвержденным главным инженером, имеет право присвоить разряды, включая третий по станочникам и четвертый по наладчикам. Последующие разряды присваиваются на заводской комиссии в составе главных специалистов завода и руководителя структурного подразделения. Курсы целевого назначения организуются для изучения рабочими нового оборудования, материалов, технологических процессов, средств механизации и автоматизации, правил технической эксплуатации оборудования, вопросов, связанных с повышение качества продукции. Обучение рабочих вторым (смежным) профессиям – это обучение лиц, уже имеющих профессию с целью получения новой профессии с начальным либо более высоким уровнем квалификации. Организуется для расширения профессионального профиля, подготовки к работе в условиях применения прогрессивных форм организации труда, а также по совмещаемым профессиям. Рабочие, успешно закончившие полный курс теоретического и практического обучения, сдают квалификационный экзамен. Результаты экзаменов и решение комиссии о присвоении квалификационного разряда заносится в протокол, оформляется приказом. Теоретическое обучение рабочих проводят преподаватели, назначаемые из числа специалистов цехов и отделов, имеющих высшее и средне-специальное образование. Обучение в 2007 году осуществлялось по плану –графику, согласно программам разработанным по различным профессиям. В 2007 году прошли профессиональную подготовку 559 чел. -повысили квалификацию 70 чел; -получили вторые профессии 19 чел; -получили новые профессии 22 чел; -новые рабочие 144 чел; -прошли обучение по системе качества 304 чел. Несмотря на важность оценки степени эффективности труда каждого работника, формализованной системы оценки на предприятии нет. Однако при присвоении очередного разряда рабочему или категории специалисту, организуются квалификационные экзамены. При этом создается заводская комиссия, которая оценивает кандидата в ходе экзамена, изучает его характеристику, и на основании этого принимает решение о повышении разряда или категории. На предприятии постоянно проводятся аттестации. Аттестация предполагает повышение профессиональной категории работника, и как следствие, оклада. В основном, в отделах закреплен следующий порядок получения категорий: -без категории (прием на работу на испытательный срок); - вторая категория (присваивается либо после испытательного срока в случае наличия высшего специального образования, либо спустя 1,5 года после прохождения аттестации); - первая категория (по запросу специалиста, но не ранее 3-лет после получения предыдущей категории); -ведущий специалиста (по запросу, но не ранее 5 лет работы на предприятии). Для привлечения и закрепления на ОАО «Курганхиммаш» квалифицированных кадров и молодежи постоянно действуют курсы повышения квалификации, в том числе при МРЦПК, проводится обучение на производственно-технических курсах. Осуществляется тесное взаимодействие с ПТУ и машиностроительным техникумом. Предприятие участвует в разработке областного социального проекта подготовки кадров с начальным и средним профессиональным образованием по машиностроительным профессиям, проводится работа по совершенствованию форм сотрудничества с учебными заведениями Кургана. Ежегодно заключаются договора с Курганским Государственным университетом о подготовке специалистов с высшим образованием, так в 2006 году пришли и работают в цехах и отделах завода 29 молодых специалистов. В рамках завода постоянно проходят конкурсы мастерства, победители которых награждаются путевками в дома отдыха. Наряду с вышеперечисленными стимулами применяется моральное вознаграждение в основном это благодарности работникам, выносимые администрацией и профсоюзным комитетом ОАО «Курганхиммаш»; присвоение званий: «Лучший рабочий», «Лучший мастер», «Лучший руководитель», «Заслуженный машиностроитель», «Лучший сварщик», «Трудовая династия»; почетные грамоты к памятным и юбилейным датам; социальная помощь неработающим пенсионерам. Стимулом является развитие системы внутреннего найма, это гораздо дешевле, повышается удовлетворенность трудом, уменьшается риск ошибки и сокращается время на адаптацию работников. За счет внутризаводского перемещения с менее оплачиваемой работы на рабочие места, обеспечивающие высокую заработную плату, стабильную занятость в 2007 году переведено 53 человека. Таким образом, анализируя систему управления персоналом на ОАО «Курганхиммаш», можно выделить следующие проблемные моменты: - на ОАО «Курганхиммаш» отсутствует четко-разработанная система подбора кадров, в связи с чем в первые годы значительное число работников увольняется; -для предприятия характерно отсутствие прогноза кадровых потребностей, диагностики кадровой ситуации в целом; -рост квалификационного уровня кадров несколько «бюрократичен» - повышение квалификации (проведение аттестации) определяется стажом работы на предприятии, что не является стимулом для молодых кадров; - всем работникам, имеющим одни и те же должности, установлены одинаковые оклады, несмотря на индивидуальный вклад в работу предприятия. Руководство организации в данном вопросе опасается недовольством работников, несогласных с оценкой их знаний или компетенций, поэтому и не допускает дифференциации должностных окладов работников на одинаковых должностях. Исправление выделенных недостатков в системе управлении персоналом позволит улучшить производственно-финансовое состояние предприятия в целом. 3. Проект мероприятий по совершенствованию системы управления персоналом 3.1 Разработка системы подбора кадров Производственная организация постоянно ведет поиск кандидатов на вакантную должность. На имеющуюся вакантную должность претендуют обычно несколько кандидатов. Поиск, отбор, наем и дальнейшее использование каждого из претендентов связаны с определенными затратами. Кроме того, организация-работодатель располагает лимитом средств, который она может выделить на приобретение и дальнейшее использование одного кандидата на вакантную должность. Организация-работодатель разрабатывает требования к претендентам на должность. В основном на ОАО «Курганхиммаш» это служебная записка от соответствующего подразделения, в которой перечислены минимально необходимые требования к кандидату. Обычно это - уровень образования, возраст, пол, опыт, специальность. Эти требования являются основой для оценки кандидатов при их отборе. Имея перечисленную выше информацию, отдел кадров совершает первичный отбор кандидатов. Сопоставляя эти условия с данными кандидата. Затем те кандидаты, которые на взгляд отдела кадров являются подходящими кандидатурами направляются на собеседование с руководителем подразделения. Далее руководитель подразделения, «отводит» подходящего кандидата на собеседование к своему непосредственному руководителю и так далее. Анализируя подобную цепочку на ОАО «Курганхиммаш» выяснилось, что в некоторых подразделениях она может составлять от 2 до 6 этапов отбора. Таким образом, процесс отбора кадров, существующий на ОАО «Курганхиммаш» трудоемок. Предлагается ввести для совершенствования системы подбора кадров ввести тестовый запрос к кандидату и систему проверочных испытаний. Пример представлен в приложении 2. А также бланк самооценки (Таблица 9). Таблица 9 - Бланк самооценки кандидата на вакантную должность
Набор заключается в создании необходимого резерва кандидатов на все должности и специальности, из которых организация отбирает наиболее подходящих для нее работников. Предлагается, чтобы данная работа проводилась буквально по всем специальностям - конторским, производственным, техническим, административным. Необходимый объем работы по набору в значительной мере будет, определятся разницей между наличной рабочей силой и будущей потребностью в ней. При этом должны учитываться такие факторы, как выход на пенсию, текучесть, увольнение в связи с истечением срока договора найма, расширение сферы деятельности организации. Отбор на должность будет производиться с учетом базы данных, сформированной в результате набора претендентов на занимаемую должность. Использование различных методов способствует отбору наиболее талантливых руководителей и специалистов, которые во многом обеспечивают стабильное развитие предприятия. Предлагается, чтобы каждый претендент при поступлении должен пройди сложную формальную систему отбора. Для этой цели работники кадровых служб должны использовать систему проверки и анализа качеств работника. Для использования на предприятии предлагается следующие этапы отбора персонала: 1 Предварительный отбор (по документам) (ОУП) 2 Заполнение тестовых форм - диагностика деловых и личностных качеств и характерологических особенностей с помощью тестов (ОУП). 3 Собеседование с непосредственным начальником. Таким образом, мы исключаем из процесса отбора персонала высшее руководства, предоставляя эти функции ОУП. На первом этапе каждый претендент заполняет анкету для поступающих на работу и пишет заявление. В заявлении он должен изложить свою просьбу о принятии его на должность, а также указать, какие должности, по его мнению, он может занимать и, какую работу выполнять. Здесь же он должен дать информацию о своей квалификации. Это заявление должно быть коротким, четким и не повторять содержание анкеты. Заявление пишется в произвольной форме, так как его содержание, стиль изложения могут быть предметом изучения и дополнительной информации о грамотности претендента и уровне его общего развития. Анализ этих документов и установление соответствия их требованиям должностной инструкции (по уровню образования, стажа, возраста, опыта работы в должности и т.д.) дают возможность судить о том, подходит претендент к той или иной работе или должности или нет. Если претендент подходит, то его данные заносятся в «банк данных» и претендент приглашается на второй этап отбора. На втором этапе оцениваются деловые и личностные качества претендента. При отборе необходимо учитывать особенности личности претендента, его деловые личностные характеристики, психофизиологические особенности. Для всех работников предприятия должны быть разработаны должностные инструкции, в которых дается, перечень необходимых качеств, психофизиологических показателей, медицинских показаний и противопоказаний. На основании этих требований должны быть разработаны комплексные методики оценки деловых и личностных качеств и психофизиологических показателей для работников различных групп (руководители, специалисты, исполнители и т.д.). Претендентов на должность руководителей самого высокого уровня управления целесообразно пропускать через более серьезную программу отбора с использованием «деловых игр», «групповых обсуждений», конкурсов и т.д. На третий этап отбора выходят те претенденты, которые прошли первый и второй этапы. Собеседование является заключительным этапом отбора. Оно позволяет ознакомиться более тщательно с претендентами на должность. На данном этапе сопоставляются данные кандидата с требованиями. Предъявленными на должность, согласно бланка (Приложение 2). Проводится оценка. Оценка должна проводиться строго индивидуально. Этот бланк работники кадровой службы должны заранее предоставить тем руководителям, которые будут проводить собеседование. Информация полученная, в результате собеседования является строго конфиденциальной, поэтому бланки собеседования должны быть запечатаны в конверт и передаваться руководителями, проводящими собеседование. Итоговая характеристика должна включать: подробное перечисление деловых и личностных качеств оцениваемого, выявленных способностей, опыта и теоретической подготовки работника, его соответствие характеру работы, на которую он претендует, степень готовности к занятию конкретной должности, перспективность для последующего продвижения и т.д. Учитывается мотивационная сфера, заинтересованность в работе именно на этом предприятии. Если претендента принимают на работу, издается приказ о приеме и заключается с ним трудовой договор. При отказе в работе необходимо провести беседу с этими претендентами. Назвать их положительные качества, высокие оценки, полученные при тестировании, и т.д. Попытаться определить сферу деятельности, где они могли бы работать более эффективно и добились бы лучших результатов. Отказ в приеме на работу мотивировать несоответствием у претендента только отдельных параметров, не затрагивающих достоинство человека, например: (малый опыт работы, отсутствие специального образования и т.д.). Закончить беседу на положительной оценке претендента и с сожалением, что сотрудничество с ним не состоялось. Человек, которому отказали, должен уходить не с чувством личного оскорбления, что его не поняли, не оценили его достоинств. 3.2 Мероприятия по совершенствованию квалификационного уровня кадрового состава Повышение квалификации необходимо для обеспечения роста профессионального мастерства рабочих, повышения их знаний, совершенствования навыков и умений выполнять более сложные работы. Повышение квалификации возможно через: - направление работников на курсы повышения квалификации; - получение дополнительного образования в высших и средних специальных учебных заведениях; - обмен знаний и опытом. Повышению уровня квалификации персонала будет способствовать внедрение следующих мероприятия: 1. Направить работников на курсы повышения квалификации в специализированные учебные центры. 2. Пригласить на предприятие специалиста, который будет проводить практическую работу с персоналом без отрыва от производства с целью совершенствования их трудового потенциала. Повышение квалификации рабочих – один из основных факторов совершенствования управления персоналом предприятия. Общее повышение исследуемого показателя способствует не только экономии численности работников, но и значительному повышению производительности труда. Это является интенсивным фактором развития производства, что в свою очередь способствует росту не только трудового, но и экономического потенциала предприятия. Нововведением, которое предлагается ввести на предприятии, является усовершенствованная система аттестации персонала. Предлагается следующий порядок проведения аттестации: 1 Разработка процедуры аттестации. 2 Доведение до сведения аттестуемых описание процедуры аттестации. 3 Проведение самой аттестации. 4 Определение результатов аттестации. На первом этапе устанавливаются цели аттестации – текущая оценка работы сотрудника, выдвижение в резерв кадров, итоги испытательного срока, аттестация на присвоения очередного звания (категории). Рекомендуется разработать классификаторы специальностей и классификаторы рабочих мест. Примерный перечень показателей для оценки квалификации служащих приведен в таблице 10. Таблица 10 -Примерный перечень показателей для оценки квалификации
Рекомендуется проводить оценку рабочего места, так как она является основой для оценки труда рабочего, с которым сравниваются результаты труда. Предлагается внедрение многосторонней деловой оценки персонала, которая достигается за счет применения так называемых «оценочных листов», которые заполняются всеми участниками процесса деловой оценки. «Оценочные листы» заполняются всеми сторонами-оценщиками (коллеги, непосредственное руководство, подчиненные, сотрудники смежных подразделений, имеющие рабочие контакты с оцениваемым сотрудником). Все заполненные бланки поступают к непосредственному руководителю оцениваемого сотрудника. Руководитель дает собственное заключение по представленным оценкам и знакомит с ним сотрудника, затем передает в службу управления персоналом. В свою очередь, данная служба должна зачислять в кадровый резерв на выдвижение сотрудников, получивших высшие баллы в течение последних двух-трех плановых оценок. Этот метод является нетрадиционным, и получил название метод «3600 аттестация». Предлагается внедрить на предприятии инновационный метод оценки персонала – метод управления по задачам. Данный метод заключается в совместном (сотрудник и его начальник) определении ключевых целей сотрудника на определенный период и определении, после истечения аттестационного периода степени выполнения каждой задачи и всего плана в целом. В данном случае усиливается мотивация, (он знает, по каким критериям будет оцениваться), повышается эффективность его работы, однако минусом метода является оценка только ключевых задач, что ограничивает объективность оценки. Следующее направление – расчет уровня квалификации (К) работников и выявление работников, нуждающихся в повышении квалификации. Для оценки К принимается единый набор признаков для всех категорий работников: уровень специального образования и стаж работы поспециальности. По уровню образования все работники распределяются на две группы: I гр. — имеющие среднее специальное образование; II гр. — имеющие высшее или незаконченное высшее (IV — V курс вуза) образование. В соответствии с тем, в какую из указанных групп попадает работник, ему присваивается количественная оценка по этому признаку, величина которой составляет 1 или 2. В зависимости от стажа работы по специальности работники распределяются на четыре группы по каждому уровню образования (Таблица 11). Таблица 11 - Таблица определения коэффициента (К)
Оценка уровня квалификации (К) определяется по формуле: К = ОБ + СТ З где ОБ - оценка образования (ОБ = 1,2); СТ - оценка стажа работы по специальности (СТ = 0,25; 0,50;0,75; 1,0); 3 - постоянная величина, соответствующая сумме максимальных оценок по образованию и стажу работы. Пример. Расчет уровня квалификации (К). Работник - экономист 1-й категории Павлов А.И. имеет: - образование - высшее; - стаж работы в должности экономиста - 12 лет. По образованию он относится ко второй группе, по стажу работы для работников с высшим образованием - также ко второй группе, что соответствует значению 0,50. Следовательно, уровень квалификации равен: К = (2 + 0,50)/3.= 0,83 Уровень квалификации Павлова А.И. составляет 0,83. Предлагается, для каждого сотрудника предприятия вести ежегодно подобный расчет. Цель - достижение уровня (К) равного единице. При необходимость следует отправлять работников на обучение. При определении численности работников организации, направляемых на обучение, следует исходить из сложившегося мнения, чтo работники, не меющие требуемого уровня образования и зaнимaющиe должность руководителя менее 5 лет, а также имеющие необходимое образование и стаж менее 3 лет, должны повышать квалификацию один раз в 3 года. Те работники, которые имеют необходимый ypoвень образования и стаж руководителя более 3 лет или стаж работы в отрасли более 5 лет без высшего и среднего специального образования, могут повышать квалификацию реже - примерно один раз в 6 лет. Эта зависимость выражается следующим соотношением: Пуч, = f (q, р), где Пуч - периодичность обучения; q — доля работников по стажу; р - доля работников по образованию. Таким образом, в трехгодичную группу слушателей входят руководители, имеющие стаж работы на руководящих должностях: 1) до трех лет (q < 3) и с высшим или средним специальным образованием (Рве); 2) до пяти лет (q < 5) без высшего и среднего специального образования (Рбвс). Тогда периодичность обучения для этой группы выражается зависимостью: Пучз = f (q < 5 Рбвс, q < 3 Рве). В шестигодичную группу слушателей входят руководители, имеющие стаж работы на руководящей должности: 1) свыше трех лет (q > 3) и высшее или среднее специальное образование (Рве); 2) свыше пяти лет (q > 5) без высшего и среднего специального образования (Рбвс). Периодичность обучения для этой группы равна: Пучб = f (q > 5 Рбвс, q > 3 Рве). Из расчета численности сотрудников, направляемых на учебу, следует исключить численность руководящих работников, ранее прошедших обучение в системе повышения квалификации (Куч), а также имеющих предпенсионный возраст. Формула расчета годовой численности слушателей имеет вид:
где Чобщ - общая численность руководителей в организации. Таким образом, годовая численность слушателей трехгодичной группы рассчитывается по следующей формуле:
а годовая численность слушателей шестигодичной группы – следующим образом;
Формулы расчета численности слушателей должны быть скорректированы на коэффициент J, отражающий темпы устаревания знаний (Тзн), уровень сменяемости кадров (Дсм)> увеличение количества организации в отрасли (Q):
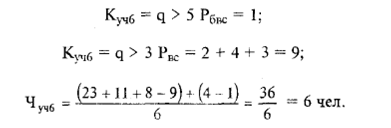
Определяем годовую численность слушателей трехгодичной группы обучения (Чучз) на ОАО «Курганхиммаш». Из расчета исключаем численность руководящих работников, ранее прошедших обучение в системе повышении квaлификaции Куч: Куч3 = q < 5 Рбвс = 6 + 5 + 3 + 2 = 16; Кучз = q < 3 Рс = 4 + 5 = 9. Таким образом, Чучз.= ((27+21+16)+(17+13+9+7-9))/3=69/3=23 чел. Определяем годовую численность слушателей шестигодичной группы обучения (Чучб). Из расчета исключаем численность руководителей, ранее прошедших обучение Kуч:
Корректируем oбщую численность слушателей в системе повышения квалификации 29 (23 + 6) на коэффициент J, который в нашем случае равен 1,21 (1,05 х 1,11 х 1,04): Чуч = 29 X 1,21 = 35 чел. Итак, общая годовая численность слушателей руководящего состава в системе повышения квалификации составляет 35 чел. 3.3 Предложения по совершенствованию систем стимулирования труда работников Основным источником выплат заработной платы является запланированный фонд оплаты труда, который в свою очередь формируется за счёт себестоимости реализуемой продукции и частично прибыли. Это означает, что увеличение заработной платы путём увеличения фонда оплаты труда будет приводить к увеличению себестоимости и, соответственно, к уменьшению конкурентоспособности продукции и прибыли. С целью повышения материальной заинтересованности работников предлагается система оплаты труда, основанная на применении критерия эффективности труда. Суть предлагаемой системы заключается в том, что заработная плата работников состоит из двух частей: постоянной и переменной. Постоянная часть зарплаты представляет собой фиксированную (оклад, тарифная ставка), а переменная часть – надбавку, размер которой зависит не только от результатов труда отдельного работника, но и от результатов труда коллектива, в котором он работает, и доли его участия в общих результатах коллектива. Особенность предлагаемой системы оплаты заключается в том, что она не только стимулирует труд самих работников, но и обеспечивает для руководства предприятия возможность оперативного управления и стабилизации необходимой эффективности труда работников при неконтролируемых изменениях доходов предприятия. Стимулирование работников за повышение производительности труда на предприятии имеет преимущество, поскольку чётко определяется связь между результатами и затратами труда. При распределении коллективного фонда поощрения индивидуальную производительность труда можно определить для сдельщиков через процент выполнения норм выработки, для повремёнщиков – через выполнение нормированных заданий. Премиальный фонд предприятия распределяется между всеми подразделениями в соответствии с эффективностью труда каждого из них. Фонд подразделения между работниками аналогично. Для совершенствования материального стимулирования помимо основной тарифной ставки (оклада) работникам необходимо выплачивать следующие вознаграждения: 1. Вознаграждение за выслугу лет. Выплата вознаграждения за выслугу лет работникам должна производится в виде ежемесячных процентных надбавок к должностному окладу в зависимости от непрерывного стажа работы, дающего право на получение вознаграждения (Таблица 12). Таблица 12 – Выплата вознаграждения за выслугу лет
Начисление и выплата вознаграждения за выслугу лет в указанных размерах производится ежемесячно за фактически отработанное время при наличии собственных средств. Стаж работы исчисляется один раз на начало года. В стаж работы, дающий право на получение вознаграждения за выслугу лет, включается только время работы на предприятии ОАО «Курганхиммаш». Руководители подразделений имеют право снижать работникам размер вознаграждения за выслугу лет за производственные упущения в работе, но не более чем на 50%: - при нарушении трудовой и технологической дисциплины; - при опоздании на работу и преждевременный уход с работы; - за дисциплинарное взыскание; - за привлечение к административной и уголовной ответственности; - за упущения в работе. 2. Премирование работников. Ежегодно и ежемесячно производить премирование работников ОАО «Курганхиммш». Премия должна начисляться путем распределения приработка по коэффициентам трудового участия (КТУ). Сумма приработка – это остаток фонда заработной платы (ФЗП) после начисления основной и других видов заработной платы. КТУ представляет собой обобщенную оценку трудового вклада коллектива и отдельных работников в общие результаты работы организации. Таблица 13 – Перечень показателей увеличения и снижения КТУ
Значение КТУ для непроизводственного персонала необходимо установить ежемесячно в пределах от 0 до 1,5, для руководящих работников, специалистов и служащих отделов и служб аппарата управления (РСС) — от 0 до 2. Общая сумма КТУ должна составлять для линейных специалистом и служащих - 25% от общей суммы приработка по ОАО «Курганхиммаш». Для специалистов ОАО «Курганхиммаш» необходимо установить премию по результатам хозяйственной деятельности зa обеспечение планового показателя качества предоставления медицинских услуг в размере 25% должностного оклада в пределах и при наличии собственных средств. За общие результаты работы по итогам квартала также необходимо выплачивать ежеквартальное вознаграждение работникам списочного состава за счет экономии, полученной в квартале. Конкретные размеры вознаграждения по итогам работы за квартал должны устанавливаться в зависимости от непрерывного стажа работы в организации в пределах должностного оклада и утверждаются начальником подразделения с учетом произведенных упущений. Также возможно: -производить выплаты выходного пособия по уходу работника на пенсию при стаже работы на ОАО «Курганхиммаш» не менее 20 лет; -выплачивать единовременные вознаграждения к юбилейным датам работы сотрудников на предприятии; -всем работникам должна оказываться материальная помощь в случае материального затруднения, при несчастном случае, длительном заболевании и др. При наличии средств необходимо также выплачивать материальную помощь к отпуску в размере до двух должностных окладов (тарифных ставок). 3.4 Правовое обеспечение проекта Управление любого предприятия должно придерживаться принципа законности. Рассматривая управление персоналом через призму правового регулирования, следует опираться на законодательство, которое регламентирует составляющие его элементы. В частности, необходимо знание вопросов правового регулирования граждан, трудовой деятельности, знание правового аспекта организации. Нормативно - правовое обеспечение - это совокупность документов организационного, организационно - правового, организационно - распорядительного, технического, технико-экономического и экономического характера, а также нормативно - справочные материалы и прочие документы, утверждённые в установленном порядке компетентными органами или руководством организации. Нормативно - правовое обеспечение создаёт условия для эффективного процесса управления персоналом. Оно состоит в организации разработки и применения методических документов, а также ведения нормативного хозяйства в системе управления персоналом. Нормативно-методические материалы группируются по их содержанию. Различают нормативно-справочные документы; документы организационного, организационно-распорядительного и организационно-методического характера; документы технического, технико-экономического и экономического характера. Первая группа включает нормы и нормативы, необходимые при решении задач организации и планирования труда в сфере материального производства и управления. Например, нормы времени управленческих процедур, инструкция государственной налоговой службы РФ, сменно-суточные задания и проч. Документы второй группы регламентируют задачи, функции, права, обязанности подразделений и отдельных работников системы управления персоналом; содержат методы и правила выполнения работ по управлению персоналом. Например, Гражданский кодекс, ТК РФ, руководящие документы (положения, инструкции, правила) Минтруда и других государственных органов, приказы, положения, инструкции, издаваемые руководителем организации или соответствующим подразделением по вопросам труда, численности и оплаты труда и т.п. Документы технического, технико-экономического и экономического характера содержат правила, нормы, требования, регламентирующие стандарты всех категорий и видов. Нормы планировки помещений и рабочих мест, стандарты, технические установки, тарифные ставки, коэффициенты доплаты; бизнес-план, смета затрат на производство, типовые нормы времени, различные отчёты, система стандартов по технике безопасности и прочее. Важнейшим внутренним организационно-регламентирующим документом является Положение о подразделении - документ, регламентирующий деятельность какого-либо структурного подразделения кадровой службы: его задачи, права, функции, ответственность. На основе типовых документов с учётом особенностей организации работники службы управления персоналом разрабатывают документы для внутреннего пользования. Так, важными организационно-распорядительными документами являются Правила внутреннего распорядка, которые включают следующие разделы: - общие положения; - порядок приёма и увольнения рабочих и служащих; - основные обязанности рабочих и служащих; - основные обязанности администрации; - рабочее время и его использование; - поощрение за успехи в работе; - ответственность за нарушение трудовой дисциплины. В распоряжении кадровой службы находятся все нормативные акты, на основании которых составляются документы внутреннего пользования: коллективный договор; правила внутреннего трудового распорядка; положения о подразделениях (отделах, службах, группах) и др. Важнейшим организационным документом является Коллективный до- говор, разрабатываемый при непосредственном участии подразделения службы управления персоналом. Коллективный договор - это соглашение, заключаемое трудовым коллективом и администрацией по урегулированию их взаимоотношений в процессе производственно-хозяйственной деятельности на календарный год. К документам организационно-методического характера относятся те, которые регламентируют выполнение функций по управлению персоналом. Сюда входят: Положение по формирования кадрового резерва в организации; Положение по организации адаптации работников; Рекомендации по организации подбора и отбор персонала; Положение по урегулирования взаимоотношений в коллективе; Положение по оплате и стимулированию труда; Инструкция по соблюдению правил техники безопасности и др. Основополагающим документом в кадровой службе являются должностная инструкция – документ, регламентирующий деятельность в рамках каждой управленческой должности и содержащий требования к работнику, занимающему эту должность. Она может быть составлена на основе типовых требований к должности, содержащихся в Квалификационном справочнике должностей руководителей, специалистов, служащих, но с учётом особенностей организации и социально-экономических условий. Правовое обеспечение состоит в использовании средств и форм юридического воздействия на персонал с целью достижения эффективной деятельности организации. Основные задачи правового обеспечения: - правовое регулирование трудовых отношений, складывающихся между работодателем и наёмным работником; - защита прав и законных интересов работников, вытекающих из трудовых отношений; - соблюдение, исполнение и применение норм действующего законодательства в области труда, трудовых отношений; - разработка и утверждение локальных нормативных актов организационного, организационно - распорядительного и экономического характера; - подготовка предложений об изменении действующих или отменение устаревших и фактически утративших силу нормативных актов, изданных в организации по трудовым, кадровым вопросам. Осуществление правового обеспечения в организации возлагается на её руководителей и других должностных лиц (в пределах предоставляемых им прав и полномочий при осуществлении ими организационно-распорядительных, административно-хозяйственных, трудовых и других функций), а также на руководителей системы управления персоналом и её работников по вопросам, входящим в их компетенцию. Головным подразделением по ведению правовой работы является юридический отдел. Однако специфика кадровых служб включат в себя повседневное осуществление работ, связанных с приёмом, увольнение и переводом работников. Всё это требует определённых юридических знаний, чтобы обеспечить чёткое урегулирование прав и обязанностей всех участников трудовых отношений. Устанавливаются правовые нормы централизованного или локального характера. К актам централизованного характера относится ТК РФ, постановления правительства, акты Минтруда РФ, Законы РФ: «О коллективных договорах и соглашениях», «О занятости населения», «О порядке разрешения коллективных споров » и др. К актам локального регулирования правоотношений относятся приказы руководителя, положения о подразделениях, должностные инструкции прочие внутренние документы. Основные задачи юридического отдела в этой области таковы: а) разработка проектов нормативных актов организации; б) правовая экспертиза нормативных актов, разработанных в системе управления персоналом, на соответствие требованиям законодательства и их визирование; в) организация систематического учёта и хранения законодательных и нормативных актов, поступающих в организацию и издаваемых ею; г) информирование подразделений и служб о действующем законодательстве о труде; д) разъяснение действующего трудового законодательства и порядок его применения. В систему нормативных актов о труде входят соглашения генеральные, отраслевые (тарифные), специальные (региональные), коллективные договоры и другие правовые акты, применяемые непосредственно в организации. Правовые акты ненормативного характера - это распоряжения и указания, которые могут издавать руководители службы управления персоналом и всех её подразделений. 3.5 Оценка эффективности предложенных мероприятий В работе предлагается три основных мероприятия по совершенствованию управлению персоналом: - оптимизация системы подбора кадров; - совершенствование квалификационного уровня кадров; - совершенствование систем стимулирования труда работников. Рассчитаем эффективность проектируемых мероприятий. 1 Оптимизация системы подбора кадров. Процесс подбора кадров на ОАО «Курганхиммаш» очень трудоемок. Отдел кадров совершает лишь первичный отбор кандидатов. Затем те кандидаты, которые на взгляд отдела кадров являются подходящими кандидатурами направляются на собеседование с руководителем подразделения. Далее руководитель подразделения, «отводит» подходящего кандидата на собеседование к своему непосредственному руководителю и так далее. Анализируя подобную цепочку на ОАО «Курганхиммаш» выяснилось, что в некоторых подразделениях она может составлять от 2 до 6 этапов отбора. Таким образом, процесс отбора кадров, существующий на ОАО «Курганхиммаш» трудоемок. Даже если учесть, что каждый руководитель на собеседование затрачивает 10 минут, то в общем получается около 60мин. (1 час) на каждого кандидата. В дополнение к этому можно добавить, что далеко не каждый кандидат (примерно 1 из 6) оказывается в итоге принятым на работу, соответственно на каждого принятого работника приходится около 6 часов затраченного времени только на проведение собеседования. Таким образом, если учесть что за 2007г. было принято 369 чел., то временные затраты предприятия оказались равными 369*6=2214ч. Учитывая, что рабочий день 8 ч. Получается 276 рабочих дней в год затрачивается на подбор персонала (не отделом кадров). Это практически год! Следовательно, примитивно можно подсчитать затраты на данное мероприятия, что составит 15240р. (средняя заработная плата) * 12 месяцев = 182,88тыс.р. Введение тестовой системы отбора укорачивает цепь отбора, и она становится равна 2 звеньям, выше рассмотренной цепи, что ведет к сокращениям потерь во времени в три раза. И как следствие. Экономия в год составляет 182,88тыс.р/3=60,96 тыс.р. 2. Совершенствование квалификационного уровня кадров. Мы определили, что квалификацию необходимо повысить 35 работникам.Экономию за счет повышения квалификации рассчитаем по формуле:
где Чвн – численность рабочих, увеличивших уровень выполнения норм труда в результате повышения квалификации, чел. ∆Нв – прирост уровня выполнения норм труда, % Нв1 и Нв2 – уровень выполнения нормы труда соответственно до и после повышения квалификации, % Отсюда: ∆Н = (35 – 92,1 ) / 92,1 Эч = 35*(1- 0,75)[1] =8,75 чел. Таким образом, экономия численности рабочих за счет повышения квалификации рабочие составляет 2 человека. Следовательно, экономия ФОТ составит: 8чел Затраты на обучение 35 работников составят порядка 30 тыс.р *35чел.= 1050тыс.р. Следовательно, экономический эффект составит 1459,2-1050=409,2 тыс.р. Повышение квалификации рабочих – один из основных факторов совершенствования управления персоналом предприятия. Общее повышение исследуемого показателя способствует не только экономии численности работников, но и значительному повышению производительности труда. Это является интенсивным фактором развития производства, что в свою очередь способствует росту не только трудового, но и экономического потенциала предприятия. 3 Совершенствование систем стимулирования труда работников Как показывает практика, в случае материальной заинтересованности производительность труда увеличивается на 10%. Учитывая, что стимулирующая часть заработной платы после внедрения мероприятий составит 20% от заработной платы, то при средней зар.плате 15240р., экономический эффект составит: 15240*0,20*0,1=304,8 р. ежемесячно с 1 человека. Следовательно, за год экономия составит: 304,8*12*398 чел. (только специалисты) =1455,7 тыс.р. Здесь высвобождается фонд оплаты, который пойдет на реализацию выплат выходного пособия по уходу работника на пенсию при стаже работы на ОАО «Курганхиммаш» не менее 20 лет; единовременных вознаграждений к юбилейным датам работы сотрудников на предприятии; материальной помощив случае материального затруднения. Фонд может быть равным 1млн.р. Следовательно, экономический эффект от внедрения мероприятий по экономическому стимулированию составит в конечном счете 1455,7-1000 тыс.р.=455,7тыс.р Общий экономический эффект от внедренных мероприятий составит: 60,96 тыс.р + 409,2 тыс.р. + 455,7 тыс.р. = 925,86 тыс.р. Высвобожденную сумму можно использовать также для стимулирования работников. Заключение Повышение эффективности производства и результаты труда зависят от квалификации персонала и степени его использования. Персонал предприятия представляет собой совокупность работников определенных категорий и профессий, занятых единой производственной деятельностью, направленной на получение прибыли или дохода и удовлетворение своих материальных потребностей. Управление персоналом направлено на достижение эффективной деятельности организации и справедливости взаимоотношений между работниками. Гибкая организация труда, самоорганизация работника и групп трудящихся, их сознательное участие не только в производственном процессе, но и в управлении производством становится отправной точкой создания систем управления человеческими ресурсами. ОАО «Курганхиммаш» является одной из ведущих компаний в России по производству оборудования для химической, нефтегазовой и др. отраслей промышленности. Анализируя деятельность предприятия за период 2005- 2007гг. можно сделать вывод, что предприятие набрало хороший темп и стабильно работает. Основными товарными рядами предприятия являются: нефтегазовое оборудование;емкостное оборудование; комплектное оборудование для осушки, очистки и охлаждения сжатого воздуха; теплообменного оборудования для нефтегазовой и химической промышленности; оборудование водоподготовки и теплообменное для предприятий теплоэнергетики; озонаторное оборудование; автоклавы, центрифуги. В целом за исследуемый период произошёл рост выпуска товарной продукции. По удельному весу отдельных видов товарной продукции можно судить о специализации предприятия. В структуре продаж предприятия 100% занимают прямые продажи. Таким образом, ОАО «Курганхиммаш» характеризуется как экономически прогрессивное предприятие. Анализируя систему управления персоналом на ОАО «Курганхиммаш», были выделены следующие проблемные моменты: - на ОАО «Курганхиммаш» отсутствует четко-разработанная система подбора кадров, в связи с чем в первые годы значительное число работников увольняется; -для предприятия характерно отсутствие прогноза кадровых потребностей, диагностики кадровой ситуации в целом; -рост квалификационного уровня кадров несколько «бюрократичен» - повышение квалификации (проведение аттестации) определяется стажом работы на предприятии, что не является стимулом для молодых кадров; - всем работникам, имеющим одни и те же должности, установлены одинаковые оклады, несмотря на индивидуальный вклад в работу предприятия. Руководство организации в данном вопросе опасается недовольством работников, несогласных с оценкой их знаний или компетенций, поэтому и не допускает дифференциации должностных окладов работников на одинаковых должностях. Исправление выделенных недостатков в системе управлении персоналом позволит улучшить производственно-финансовое состояние предприятия в целом. В работе предложен проект мероприятий по совершенствованию системы управления персоналом, который включает. 1 Разработку системы подбора кадров. Предлагается ввести для совершенствования системы подбора кадров ввести тестовый запрос к кандидату и систему проверочных испытаний. 2 Мероприятия по совершенствованию квалификационного уровня кадров. Предлагается внедрить на предприятии инновационный метод оценки персонала, а для каждого сотрудника предприятия вести ежегодно расчет уровня квалификации. 3 Совершенствование систем стимулирования труда работников. Для совершенствования материального стимулирования помимо основной тарифной ставки (оклада) работникам необходимо выплачивать следующие вознаграждения: вознаграждение за выслугу лет и премирование работников. Премия должна начисляться путем распределения приработка по коэффициентам трудового участия (КТУ). Сумма приработка – это остаток фонда заработной платы (ФЗП) после начисления основной и других видов заработной платы. КТУ представляет собой обобщенную оценку трудового вклада коллектива и отдельных работников в общие результаты работы организации. Экономический эффект от внедрения мероприятий по экономическому стимулированию составит в конечном счете 1455,7-1000 тыс.р.=455,7тыс.р Общий экономический эффект от внедренных мероприятий составит: 60,96 тыс.р + 409,2 тыс.р. + 455,7 тыс.р. = 925,86 тыс.р. Высвобожденную сумму можно использовать также для стимулирования работников. Список использованных источников I. Нормативно – правовые документы 1. Гражданский кодекс РФ (Часть первая) от 30.11.1994. № 51 – ФЗ, принят ГД ФС РФ 21.10.1994, ред. от 30.12.2004. 2. Трудовой кодекс РФ от 30.12.2001 № 197 – ФЗ, принят ГД ФС РФ 21.12.2001, ред. от 29.12.2004. II Научно – методическая литература 3. Вершигора Е.Е. Менеджмент. – М.: ИНФРА – М, 2003. – 283с. 4. Веснин В.Р. Основы менеджмента с приложением схем: Учебное пособие для вузов. – М.: ООО "Элит - 2000", 2002 - 560с. 5. Герчикова И.Н. Менеджмент. - М.: ЮНИТИ, 2000. 6. Григорьев В. Универсальный ключ // Службы кадров. 2001. № 4. 7. Егоршин А.П. Управление персоналом. – Н.Новгород: НИМБ, 2001. – 536 с. 8. Иванов В.Н., Пойрушев В.И., Гладышев А.Г. Основы социального управления. - М: ЮристЪ, 2001. 9. Иванцевич Дж.М., Лобанов А.А. Человеческие ресурсы управления, М.: Гардарики, 1999. 10. Кабушкин Н.Н. Основы кадрового менеджмента. М.: ЮНИТИ, 2003. 11. Карпов А. Создание системы оценки надёжности персонала // Консультант директора. -2002. - № 15. 12. Карташова Л.В. Организационное поведение: Учебник для экон. специальностей и напр. вузов.-М.: Дом "ИНФРА-М", 2002.-220с. 13. Кибанов А.Л. Управление персоналом организации. М.: ИНФРА-М, 1997. 14. Кибанов А.Я., Захаров Д.К. Формирование системы управления персоналом на предприятии. - М.: Дело, 1999. 15. Котлер Ф., Боуэн Дж., Мейкенз Дж. Маркетинг. Гостеприимство и туризм. Учебник для вузов. М.: ЮНИТИ, 1998. 16. Кочеткова А.И. Психологические основы управления персоналом. -М.: Зерцало, 1999. 17. Кравченко А.И. Трудовые организации: структура организации, поведения. -М.: ЮристЪ, 2001. 18. Кричевский Р.А. Если вы руководитель. - М.: Проспект, 2001. 19. Лифинец А.С. Основы управления персоналом. - Иваново: Дом книги, 2000. 20. Магура М.И. Поиск и отбор персонала. - М.: ЗАО Бизнесшкола «Интелсинтез», 2001. 21. Марр Р., Шмидт Г. Управление персоналом в условиях социальной рыночной экономики м.: МГУ, 1997. 22. Маслов Е.В. Управление персоналом. - Новосибирск: Рассвет, 2000. 23. Маусов Н. Менеджмент персонала - ключевое звено внутрифирменного управления // Проблемы теории и практики управления. - 2001. 24. Менеджмент: Учебник для вузов/Под ред. М.М. Максимова, А.В. Игнатьевой. – М: Банки и биржи, ЮНИТИ, 2003. – 344с. 25. Менеджмент: Теория системного менеджмента /Под ред. В.П. Журавлева. М., 2002. – 456 с. 26. Мескон М.Х., Альберт М., Хедоури Ф. Основы менеджмента. Пер. с англ., М.: Дело, 1995. 27. Одегов Ю.Г., Журавлев П.В. Управление персоналом. М.: Финстатинформ, 1997. 28. Основы управления персоналом. / Под ред. Б.М.Генкина. М: Высшая школа, 1997. 29. Пугачев В.П. Руководство персоналом организации. - М.: ЮНИТИ, 2002. 30. Санталайнен Т., Поренне П. Управление по результатам. - М.: Политиздат, 2000. - 135с. 31. Социология и психология управления / Под ред. Епифанцева С.Н. -Ростов-на-Дону: Феникс, 2001. 32. Справочник кадрового работника.- М.:Приор 2002. 33. Старобинский Э.Е. Как управлять персоналом. М., ЗАО «Бизнес-школа «Интел-Синтез», 1998. 34. Сурков С.А. Мотивация персонала // Управление персоналом. 2002. – №7. – С.32-34. 35. Травин В.В., Дятлов В.А. Менеджмент персонала предприятия. 2е изд. - М: Финпресс, 2000. 36. Травин В. В., Дятлов В. А. Основы кадрового менеджмента. – М.: ЮНИТИ, 1999. – 420с. 37. Управление персоналом организации: Учебник / Под ред. А.Я.Кибанова. – М.: ИНФРА-М, 1999. – 512с. 38. Управление персоналом в условиях социальной рыночной экономики / Под ред. Р. Марра, Г. Шмидта. - М.: Дело, 1999. 39. Управление персоналом организации. Практикум: Учебное пособие для вузов/Под ред. А.Я. Кибанова. – М.: ИНФРА-М, 2002.-293с. 40. Управление персоналом: Учебник / Под.ред. Базарова Т.Ю., Еремина Б.Л. -М.: Банки и биржи, ЮНИТИ, 2001. 41. Уткин Э.А., Кочеткова А.И. Управление персоналом в малом и среднем бизнесе. – М.: АКАЛИС, 2001. – 248с. 42. Уткин Э.А. Мотивационный менеджмент. – М.: "Тандем", ЭКМОС, 2004.-255с. 43. Хентце И. Теория управления кадрами в рыночной экономике. М.: Международные отношения, 1997. 44. Шекшня С.В. Управление персоналом современной организации: Учебно-практическое пособие. - М.: ЗАО Бизнес-школа "Интел-синтез", 2004.-363 с. 45. Шкатулла В.И. Структура кадровой службы в современных условиях. -М.: Зерцало, 2000. 46. Шребер Г.А. Руководитель сообразно ситуации. - М.: ИНФРАМ, 2001. 4О.Щекин Г. Профессия - менеджер по кадрам. - М.: Дело, 2002. 47. Приложение 1 Организационная структура управления ОАО «Курганхиммаш»
Приложение 2
[1] Согласно таблице 11 |
||||||||||||||||||||||||||||||||||||||||||||||||||||||||||||||||||||||||||||||||||||||||||||||||||||||||||||||||||||||||||||||||||||||||||||||||||||||||||||||||||||||||||||||||||||||||||||||||||||||||||||||||||||||||||||||||||||||||||||||||||||||||||||||||||||||||||||||||||||||||||||||||||||||||||||||||||||||||||||||||||||||||||||||||||||||||||||||||||||||||||||||||||||||||||||||||||||||||||||||||||||||||||||||||||||||||||||||||||||||||||||||||||||||||||||||||||||||||||||||||||||||||||||||||||||||||||||||||||||||||||||||||||||||||||||||||||||||











