Контрольная работа: Теория вероятности и математическая статистика
|
Название: Теория вероятности и математическая статистика Раздел: Рефераты по математике Тип: контрольная работа | |||||||||||||||||||||||
Федеральное агентство по образованию РФ НОУ ВПО Международный университет бизнеса и новых технологий (академия) Контрольная работа по теории организации и математической статистике Вариант № 4 Выполнила: Спицина Н. Н. Специальность: МН - 2 Задание 1 В коробке 12 зеленых, 5 красных, 6 синих карандашей. Из коробки наудачу берут три карандаша. Какова вероятность того, что все они будут синими? Рассмотреть случаи, когда карандаши: а) не возвращают в коробку; б) возвращают в коробку. Решение: а) Событие А – все три вынутые без возращения в коробку карандаши синие. Согласно классическому определению вероятность события А равна:
В коробке 12+5+6=23 карандаша. Общее число исходов равно:
Благоприятное число способов равно:
Ответ: вероятность того, что все три вынутые без возращения в коробку карандаши синие, равна 0,011. б) Событие В – все три вынутые с возращением в коробку карандаши синие, то есть три раза будут выниматься 1 синий шар из 23. Вероятность извлечения одного синего карандаша р = 6/23. Воспользуемся схемой Бернулли:
q = 1-6/23=7/23 n = 3 m=3
Ответ: вероятность того, что все три вынутые с возращения в коробку карандаши синие, равна 0,018. Задание 2 Из колоды в 32 карты наугад вынимают 5. Найти вероятность того, что среди них окажется ровно один туз. Решение: Событие А – из вынутых наугад 5 карт, ровно один туз. Согласно классическому определению вероятность события А равна:
Пусть детали пронумерованы с 1 до 80, с 1 до 20 стандартные и с 21 по 80 не стандартные. Общее число исходов равно:
Благоприятное исход состоит в том, что вынут 1 туз из 4-х возможных и 4 другие карты из оставшихся 28, таким образом, число благоприятных способов равно:
Ответ: вероятность того, что из вынутых наугад 5 карт, ровно один туз, равна 0,407. Задание 3 Брак изделий цеха составляет 11%. Найти вероятность того, что из 250 изделий цеха окажется бракованными: а) ровно 45 изделий; б) от 145 до 155 изделий; в) не менее 101 изделий; г) не более 100 изделий. Решение: а) Вероятность того, что из 250 изделий цеха окажется бракованными ровно 45 изделий, найдем, используя локальную теорему Лапласа:
б) Вероятность того, что из 250 изделий цеха окажется бракованными от 145 до 155 изделий, найдем, используя интегральную теорему Лапласа:
где Ф – функция Лапласа (значения берутся из таблиц).
Подставляем:
в) Вероятность того, что из 250 изделий цеха окажется бракованными не менее 101 изделий, найдем, используя интегральную теорему Лапласа:
где Ф – функция Лапласа (значения берутся из таблиц).
Подставляем:
г) Вероятность того, что из 250 изделий цеха окажется бракованными не более 100 изделий, найдем, используя интегральную теорему Лапласа:
где Ф – функция Лапласа (значения берутся из таблиц).
Подставляем:
Задание 4 Радист трижды вызывает корреспондента. Вероятность того, что будет принят первый вызов, равна 0,2, второй вызов – 0,3, третий вызов 0,4. События, состоящие в том, что данный вызов будет услышан, независимы. Найти вероятность того, что корреспондент вообще услышит вызов. Решение: Событие А - корреспондент услышал вызов. Событие Н1 - принят первый вызов. Событие Н2 - принят второй вызов. Событие Н3 - принят третий вызов. Р( Н1 ) = 0,2, Р( Н2 ) = 0,3, Р( Н3 ) = 0,4. Р (А / Н1) = 1/3; Р (А / Н2) = 1/3; Р( А/Н2 ) = 1/3. Используя формулу полной вероятности, получим Р( А ) = Р( А / Н1 ) · Р( Н1 ) + Р( А / Н2 ) · Р( Н2 ) + Р( А / Н3 ) · Р( Н3 ) =
Ответ: вероятность того, что корреспондент услышал вызов, равна 0,3. Задание 5 Случайная величина ξ имеет распределение вероятностей, представленное таблицей:
Найти Р(3), функцию распределения F(Х). Построить многоугольник распределения. Решение: Найдем Р(3):
Найдем и построим функцию распределения F(Х):
Построим многоугольник распределения:
Задание 6 Найти М(ξ), D(ξ), σ(ξ) случайной величины ξ примера 5. Решение: Найдем М(ξ) случайной величины ξ из примера 5:
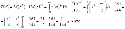
Найдем D(ξ) случайной величины ξ из примера 5:
Найдем
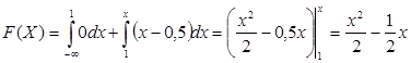
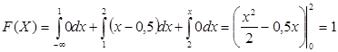
Задание 7 ξ- непрерывная случайная величина с плотностью распределения φ(Х), заданной следующим образом: φ(Х)= Найти функцию распределения F(Х). Решение: Найдем функцию распределения F(Х): При
При
При
Задание 8 ξ- непрерывная случайная величина из примера 7. Найти М(ξ), D(ξ). Решение: Найдем М(ξ):
Найдем D(ξ):
|


















.