Дипломная работа: Бухгалтерська фінансова звітність на підприємстві
|
Название: Бухгалтерська фінансова звітність на підприємстві Раздел: Рефераты по бухгалтерскому учету и аудиту Тип: дипломная работа | |||||||||||||||||||||||||||||||||||||||||||||||||||||||||||||||||||||||||||||||||||||||||||||||||||||||||||||||||||||||||||||||||||||||||||||||||||||||||||||||||||||||||||||||||||||||||||||||||||||||||||||||||||||||||||||||||||||||||||||||||||||||||||||||||||||||||||||||||||||||||||||||||||||||||||||||||||||||||||||||||||||||||||||||||||||||||||||||||||||||||||||||||||||||||||||||||||||||||||||||||||||||||||||||||||||||||||||||||||||||||||||||||||||||||||||||||||||||||||||||||||||||||||||||||||||||||||||||||||||||||||||||||||||||||||||||||||||||||||||||||||||||||||||||||||||||||||||||||||||||||||||||||||||||||||||||||||||||||||||||||||||||||||||||||||||||||||||||||||||||||||||||||||||||||||||||||||||||||||||||||||||||||||||||||||||||||||||||||||||||||||||||||||||||||||||||||||||||||||||||||||||||||||||||||||||||||||||||||||||||||||||||||||||||||||||||||||||||||||||||||||||||||||||||||||||||||||||||||||||||||||||||||||||||||||||||||||||||||||||||||||||||||||||||||||||||||||||||||||||||
Зміст Вступ РОЗДІЛ 1. Виробничо-фінансова звітність на підприємстві ВАТ «Славутський солодовий завод» РОЗДІЛ 2. БУХГАЛТЕРСЬКА ФІНАНСОВА ЗВІТНІСТЬ НА ПІДПРИЄМСТВІ 2.1 Звітність, її призначення та вимоги до неї 2.2 Склад і призначення фінансової звітності 2.3 ПСБО 1 «Загальні вимоги до фінансової звітності» 2.4 ПСБО 2 «Баланс» 2.5 Порядок складання «Звіт про рух грошових коштів» і «Звіт про власний капітал» 2.6 ПСБО 6 «Виправлення помилок і зміни у фінансових звітах» 2.7 ПСБО 20 «Консолідована фінансова звітність» 2.8 Підготовчі роботи перед складанням річного звіту 2.9 Порядок складання і затвердження річного звіту Висновки Список використаних джерел Додаток ВступБухгалтерська фінансова звітність підприємств являє собою систему узагальнених показників, які характеризують підсумки господарсько-фінансової діяльності підприємства за минулий період (місяць, квартал, рік). Вона складається підрахунком, групуванням і спеціальною обробкою даних поточного бухгалтерського обліку і є завершальною його стадією. Метою складання фінансової звітності є надання користувачам для прийняття рішень повної, правдивої та неупередженої інформації про фінансовий стан, результати діяльності та рух коштів підприємства. Порядок надання фінансової звітності користувачам визначається чинним законодавством. Фінансова звітність забезпечує інформаційні потреби користувачів щодо: - придбання, продажу та володіння цінними паперами; - участі в капіталі підприємства; - оцінки якості управління; - оцінки здатності підприємства своєчасно виконувати свої зобов'язання; - забезпеченості зобов'язань підприємства; - визначення суми дивідендів, що підлягають розподілу; - регулювання діяльності підприємства; - інших рішень. Фінансова звітність повинна задовольняти потреби тих користувачів, які не можуть вимагати звітів, складених з урахуванням їх конкретних інформаційних потреб. Головні вимоги до звітності — це реальність, ясність, своєчасність, єдність методики звітних показників, порівнянність звітних показників з минулими. РОЗДІЛ 1. Виробничо-фінансова звітність на підприємстві ВАТ «Славутський солодовий завод»Статутом передбачено основну діяльність ВАТ «Славутський солодовий завод» – це виробництво та реалізація солоду. Характеризуючи основні техніко-економічні показники за останні три роки потрібно вказати, що цей період був для підприємства переломним. У 2007 році продажі солоду порівняно з минулим роком збільшилися на 29 тис. т. (51%). План продаж солоду був виконаний на 90%. Всього було реалізовано солоду 56,2 тис. т. на суму 85,8 млн. грн. в тому числі солоду з українського ячменю – 37,3 тис. т. на суму 52,5 млн. грн., солоду з імпортного ячменю – 15,6 тис. т. на суму 31,2 млн. грн. Послуги з переробки – 3,3 тис. т. на суму 2,1 млн. грн. Середня ціна 1 т. солоду з українського ячменю склала 1407 грн. без ПДВ, 1 т. солоду з імпортного ячменю 1993 грн. без ПДВ. Послуг з переробки давальницької сировини – 643 грн. без ПДВ. У 2007 році основними покупцями солоду були заводи групи ББХ Україна – ПБК «Славутич» та ВАТ «Львівська пивоварня» (60% продаж). Славутський солод купували також «Оболонь», «Рогань», «Янтар». Експорт солоду в незначних об’ємах здійснювався до Молдови, Грузії, Румунії. У першій половині 2007 року підприємство збільшило суму банківських кредитів на суму 6,6 млн. грн. Оптимізація обігових коштів восени дозволила погасити перший кредит ББХ на суму 0,5 млн. доларів. Таблиця 1 Фінансові результати (прибутки і збитки) за 2004 рік (тис. грн.)
У 2008 році продажі солоду порівняно з попереднім роком збільшився на 9 тис. т. (16%). План продаж солоду в 2008 році виконаний на 93%. Всього реалізовано солоду 65,1 тис. т. на суму 87,2 млн. грн., в тому числі солоду з українського ячменю – 36,4 тис. т. на суму 52,1 млн. грн., солоду з імпортного ячменю – 14,9 тис. т. на суму 27,7 млн. грн. Послуги з переробки – 13,8 тис. т. на суму 7,4 млн. грн. Середня ціна 1 т. солоду з українського ячменю склала 1432 грн. без ПДВ, 1 т. солоду з імпортного ячменю – 1857 грн. без ПДВ, послуг переробки 1 т. давальницької сировини – 534 грн. без ПДВ. Як в 2007 так і в 2008 році основними покупцями солоду були заводи групи ББХ Україна – ПБК «Славутич» та ВАТ «Львівська пивоварня» (72,7% продаж). До постійних покупців славутського солоду приєднались «Сармат» та «СД». Підприємство у 2008 році повернуло кредити ББХ, зменшилися витрати за кредитними відсотками на 2,3 млн. грн. (30%). Доходи від фінансової діяльності становили 300 тис. грн., що у 2,2 рази більше ніж у 2007 році. Фінансування проводилось за основними інвестиційними проектами, як наприклад: - реконструкція системи аспірації; - реконструкція системи конденсування; - газифікація виробництва; - придбання мікросолодовні; - заміна машин для сортування та сепараторів; - встановлення обладнання для очистки солоду. Таблиця 2. Фінансові результати (прибутки і збитки) за 2008 рік (тис. грн.)
У 2009 році обсяг виробництва зріс на 5% в порівнянні з 2005 роком і склав 67,4 тис. тон солоду. В тому числі, вироблено 50,5 тон солоду з українського ячменю, 14,5 тис тонн солоду з імпортного ячменю, 2,4 тис. тон солоду з давальницької сировини. Обсяги продажу солоду в 2009 році зросли на 3,5 тис. т., що на 4% більше, ніж продажі в 2008 році. Всього реалізовано солоду 67,6 тис. т. на суму 100,3 млн. грн., в тому числі солоду з українського ячменю – 50,1 тис. т. на 70 млн. грн., солоду з імпортного ячменю – 15,1 тис. т. на 29 млн. грн., солоду з давальницької сировини – 2,4 тис. т. на 1,3 млн. грн. Важливим досягненням в роботі підприємства в 2009 році є вихід на зовнішній ринок. В загальному об’ємі продаж експорт склав 15,6%. В Україні основними покупцями славутського солоду залишились заводи групи ББХ-Україна – ПБК «Славутич» та ВАТ «Львівська пивоварня» (73,2% продаж). Ріст операційного прибутку на 2,5 млн. грн. досягнуто за рахунок росту продаж, зниження енергомісткості технологічних процесів, скорочення виробничих та адміністративних витрат. За рахунок оптимізації грошових потоків дохід від фінансової діяльності склав 714 тис. грн., що в 2,4 рази більше, ніж у 2005 році. Кредитна лінія в Сітібанку збільшена на 997 тис. доларів. Ці додаткові кредитні кошти були необхідні у зв’язку з ростом цін на ячмінь та використані для розрахунків з українськими сільгоспвиробниками за поставлений ячмінь урожаю 2008 року. Незважаючи на збільшення загального об’єму кредитів, витрати на виплату відсотків по кредитах знизились в порівнянні з 2007 роком на 1,6 млн. грн. за рахунок оптимізації кредитного портфеля та зниження відсоткових ставок банків за користування кредитними коштами. Таблиця 3. Фінансові результати (прибутки і збитки) за 2006 рік (тис. грн.)
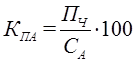
Щоб всебічно охарактеризувати ефективність бізнесово-господарської діяльності підприємства використовують такі показники: - прибутковості; - ліквідності і платоспроможності; - фінансової стійкості. Показники прибутковості - показник прибутковості власного капіталу
де Кпвк – показник прибутковості власного капіталу, Пч – чистий прибуток, СФ – статутний фонд. Значення показників прибутковості 2007 р. – Кпвк = -14646/5967·100%= -245,45%. 2008 р. – Кпвк = 1885,7/6176,2·100%= 30,53%. 2009 р. – Кпвк = 8417,2/5968,6·100%= 141,02%. Спочатку у 2007 році показник прибутковості мав велике від’ємне значення, що означало збитковість. До 2008 року підприємство змогло вивести цей показник на рівень 30,53%, а у 2009 році показник прибутковості набрав досить великого значення. Отже, можна зробити висновок, що за період з 2007 по 2007 рр. ВАТ «Славутський солодовий завод» вивело себе зі стану збитковості. Показник прибутковості всіх активів
де КПА – показник прибутковості всіх активів, Пч – чистий прибуток, СА – сума активу балансу. Значення показників прибутковості всіх активів 2007 р. КПА = -14646/88511·100%=16,55%. 2008 р. КПА = 1885,7/94529,1·100%= 1,99%. 2009 р. КПА = 8417,2/106313·100%= 7,92%. Отже, спочатку на підприємстві намітилась негативна тенденція до зменшення прибутковості всіх активів майже у 8 разів. Але до кінця 2009 року цей показник підвищився до майже 8%. Загалом відбувся спад прибутковості активів майже у 2 рази. РОЗДІЛ 2. БУХГАЛТЕРСЬКА ФІНАНСОВА ЗВІТНІСТЬ НА ПІДПРИЄМСТВІ2.1 Звітність, її призначення та вимоги до неїНе рідко ситуації складаються так, що представники податкових органів на місцях вимагають від підприємств надати ті чи інші документи, звіти, в тому числі фінансові, статистичні та ін. Наскільки обґрунтовані з погляду законодавства України такі вимоги ми сьогодні і розглянемо. Прямого визначення фінансово-господарської діяльності в законодавстві України немає. Тому розглянемо окремі визначення фінансової і господарської діяльності. Фінансова діяльність - це діяльність, яка призводить до змін розміру і складу власного і позикового капіталу підприємства (на підставі П(С)БО 4 "Звіт про рух грошових коштів" від 31.03.1999 № 87) [6, 117]. Господарська діяльність - це діяльність суб’єктів господарювання в сфері суспільного виробництва, спрямована на виготовлення та реалізацію продукції, виконання робіт або надання послуг вартісного характеру, що мають цінову визначенність (на підставі ГК України від 16.01.2003 № 436-IV). З наведених визначень виходить, що документами фінансово-господарської діяльності підприємства є документи, пов’язані з виготовленням і продажем продукції і товарів, наданням послуг, виконанням робіт, а також одержанням (здійсненням) оплати за них. Іншими словами, під такими документами варто розуміти первинні документи підприємства (рахунки-фактури, платіжні доручення, товарні, податкові і транспортні накладні і т.д.), на підставі яких здійснюється документування господарської і фінансової діяльності підприємства. Фінансова звітність до документів фінансово-господарської діяльності підприємства не відноситься, тому що є накопичувальною (узагальнюючою), а не первинною документацією. Визначення фінансової звітності дане в ст. 1 Закону України "Про бухгалтерський облік і фінансову звітність в Україні" (далі - Закон "Про бухгалтерський облік") від 16.07.1999 р. № 996-ХІ у такий спосіб: фінансова звітність - бухгалтерська звітність, що містить інформацію про фінансовий стан, результати діяльності і рух коштів підприємства за звітний період. Права державної податкової служби (далі - органи ДПС) регулюються ст. 11 Закону "Про ДПС". Відповідно до п. 2 ст. 11 цього Закону органи ДПС мають право: одержувати безоплатно від підприємств, установ, організацій…копії документів про фінансово-господарську діяльність [9, 103]. Таким чином, прямої вказівки на право вимагати від підприємства фінансову звітність Закон "Про ДПС" не містить. Раніше (в редакції до 21.12.2000 р.) п. 5 ст. 11 цього Закону містив таку пряму вимогу: органам ДПС надавалося право зупиняти операції платників податків у банку у випадку ненадання органам ДПС бухгалтерських звітів, балансів, податкових декларацій (розрахунків). Однак вже в редакції Закону "Про ДПС" після 21.12.2000 р. необхідність надання податковим органам бухгалтерської звітності виключена. Така зміна в Законі позбавляє органи ДПС можливості вимагати бухгалтерську звітність у безперечному порядку. Закон "Про бухгалтерський облік" також не включає податкові органи до переліку користувачів бухгалтерської звітності. Так п. 1 ст. 14 зазначеного Закону формулює обов’язковість надання бухгалтерської (фінансової) звітності в такий спосіб: підприємства зобов’язані подавати квартальну та річну фінансову звітність органам, до сфери управління яких, вони належать, трудовим колективам на їх вимогу, власникам (засновникам) відповідно до установчих документів, якщо інше не передбачено цим Законом. Органам виконавчої влади й інших користувачів фінансова звітність подається відповідно до законодавства. Статтею 18 Закону України "Про державну статистику" від 17.09.1992 р. № 2614-XII (далі - Закон № 2614) передбачена обов’язковість надання бухгалтерської звітності органам статистики. Однак податкових органів і в цьому Законі немає. Більш того, ст. 21 Закону № 2614 містить украй тверді вимоги до органів статистики із забезпечення конфіденційності отриманої інформації: первинні дані, отримані органами державної статистики від респондентів під час проведення статистичних спостережень, а також адміністративні дані щодо респондентів, отримані органами державної статистики від органів, що займаються діяльністю, пов’язаною зі збиранням і використанням адміністративних даних, є конфіденційною інформацією, що охороняється Законом і використовується винятково для статистичних цілей у зведеному знеособленому вигляді [9, 33]. Поширення статистичної інформації, на підставі якої можна визначити конфіденційну статистичну інформацію щодо конкретного респондента, забороняється. Статистична інформація, отримана органами держстатистики в процесі статистичних спостережень, не може вимагатися органами державної влади, органами місцевого самоврядування, іншими юридичними особами, об’єднаннями громадян, посадовими й іншими особами з метою використання для прийняття рішень до конкретного респондента. Єдине виключення з наведеного правила сформульоване в ст. 22 Закону № 2614 у такий спосіб:cтатистична інформація, що дозволяє прямо чи опосередковано установити конкретного респондента чи визначити первинні дані щодо нього, може бути поширена за згодою цього респондента і відповідно до погоджених з ним умов, або якщо вона отримана із загальнодоступних джерел [8, 101]. Фінансова звітність підприємства може надаватися органам ДПС органами держстатистики лише за письмовою згодою і по добрій волі керівництва такого підприємства. У протилежному випадку, побоюватися фінансових санкцій з боку органів ДПС відносно підприємства не варто. Причому, якщо підприємство вже дало письмовий дозвіл, то воно вправі в будь-який момент відкликати (анулювати) такий дозвіл. 2.2 Склад і призначення фінансової звітностіБухгалтерська звітність — це система узагальнення показників, що характеризують господарсько-фінансову діяльність підприємств за попередній період (місяць, квартал, рік). Бухгалтерська (фінансова) звітність подається відповідно до Закону України "Про бухгалтерський облік та фінансову звітність", а також положень (стандартів) бухгалтерського обліку, нормативно-правових актів, що регламентують питання фінансової звітності. Положенням (стандартом) бухгалтерського обліку 1 визначаються мета, склад і принципи підготовки фінансової звітності та вимоги до визначення й розкриття її елементів. Значення бухгалтерської звітності полягає в тому, що вона є джерелом інформації про результати господарсько-фінансової діяльності підприємства; за відповідними показниками підприємства аналізують свою діяльність, одержують інформацію для подальшого її планування в умовах ринкових відносин. Основне завдання звітності полягає в пошуку резервів подальшого розвитку і вдосконалення діяльності підприємств, досягнення стабільності на ринку. Вимоги до бухгалтерської звітності: - гарантувати реальність і достовірність даних, що забезпечується документальним обґрунтуванням усіх записів, здійсненням інвентаризації, дотриманням правил оцінки статей балансу, розподілом прибутків і витрат за відповідними звітними періодами; - забезпечувати своєчасність формування даних для оперативного управління господарською діяльністю організацій і підприємств. За видами звітність організацій і підприємств поділяють на бухгалтерську (фінансову), внутрішньогосподарську (управлінську), статистичну та податкову. За обсягом даних, які містяться у звітах, виокремлюють внутрішню та зовнішню звітність: внутрішня містить інформацію про роботу окремого підрозділу, а зовнішня відображає господарську діяльність підприємства в цілому [9, 84]. Залежно від періоду, що охоплює звітність, її поділяють на періодичну (за місяць, квартал) і річну (за рік). Розглянемо, у чому полягає основний зміст звітності. Так, баланс показує зв'язок складу і розміщення господарських засобів у активі із джерелами їх формування й цільовим призначенням у пасиві; забезпечує контроль і аналіз наявності майна підприємств, його стану, розміщення і джерел формування, стану зобов'язань за розрахунками, фінансової стійкості, платоспроможності підприємств. Звіт про фінансові результати містить інформацію про формування фінансових результатів підприємств, зокрема від реалізації продукції, від інших видів реалізації та позареалізаційних операцій; про використання одержаного прибутку (платежів до бюджету). Звіт про фінансово-майновий стан містить інформацію про рух фондів підприємств протягом звітного року, спрямування коштів до цільових, позабюджетних фондів і на споживання, а також про наявність і рух основних засобів. 2.3 ПСБО 1 «Загальні вимоги до фінансової звітності»Цим Положенням (стандартом) визначаються мета, склад і принципи підготовки фінансової звітності та вимоги до визнання і розкриття її елементів. Норми цього Положення (стандарту) слід застосовувати до фінансової звітності підприємств, організацій та інших юридичних осіб (далі-підприємства) усіх форм власності (крім бюджетних установ) і консолідованої фінансової звітності. Терміни, що використовуються у цьому Положенні (стандарті), мають таке значення: Активи-ресурси, контрольовані підприємством в результаті минулих подій, використання яких призведе до отримання економічних вигод у майбутньому. Метою складання фінансової звітності є надання користувачам для прийняття рішень повної, правдивої та неупередженої інформації про фінансовий стан, результати діяльності та рух коштів підприємства. Порядок надання фінансової звітності користувачам визначається чинним законодавством. Фінансова звітність забезпечує інформаційні потреби користувачів щодо: - придбання, продажу та володіння цінними паперами; - участі в капіталі підприємства; - оцінки якості управління; - оцінки здатності підприємства своєчасно виконувати свої зобов'язання; - забезпеченості зобов'язань підприємства; - визначення суми дивідендів, що підлягають розподілу; - регулювання діяльності підприємства; - інших рішень. Фінансова звітність повинна задовольняти потреби тих користувачів, які не можуть вимагати звітів, складених з урахуванням їх конкретних інформаційних потреб. Фінансова звітність складається з: балансу, звіту про фінансові результати, звіту про рух грошових коштів, звіту про власний капітал і приміток до звітів. Фінансові звіти містять статті, склад яких визначаються відповідними положеннями (стандартами). Стаття наводиться у фінансовій звітності, якщо відповідає таким критеріям: - існує ймовірність надходження або вибуття майбутніх економічних вигод, пов'язаних з цією статтею; - оцінка статті може бути достовірно визначена. До фінансової звітності включаються показники діяльності філій, представництв, відділень та інших відособлених підрозділів підприємства. Звітним періодом для складання фінансової звітності є календарний рік. Баланс підприємства складається накінець останнього дня звітного періоду. Проміжна (місячна, квартальна) звітність, яка охоплює певний період, складається наростаючим підсумком з початку звітного року. Перший звітний період новоствореного підприємства може бути меншим за 12 місяців, але не може бути більшим за 15 місяців. Звітним періодом підприємства, що ліквідується, є період з початку року до моменту ліквідації [6, 142]. 2.4 ПСБО 2 «Баланс»Цим Положенням (стандартом) визначаються зміст і форма балансу та загальні вимоги до розкриття його статей. Норми цього Положення (стандарту) застосовуються до балансів підприємств, організацій та інших юридичних осіб (далі - підприємства) усіх форм власності (крім банків і бюджетних установ). Особливості складання консолідованого балансу визначаються окремим положенням (стандартом). Терміни, що використовуються в цьому Положенні (стандарті), мають таке значення: Активи - ресурси, контрольовані підприємством в результаті минулих подій, використання яких, як очікується, приведе до надходження економічних вигод у майбутньому. Власний капітал - частина в активах підприємства, що залишається після вирахування його зобов'язань. Довгострокові зобов'язання - всі зобов'язання, які не є поточними зобов'язаннями. Пов'язані сторони - особи, стосунки між якими обумовлюють можливість однієї сторони контролювати іншу або здійснювати суттєвий вплив на прийняття фінансових і оперативних рішень іншою стороною. Метою складання балансу є надання користувачам повної, правдивої та неупередженої інформації про фінансовий стан підприємства на звітну дату. У балансі відображаються активи, зобов'язання та власний капітал підприємства у тисячах гривень без десяткових знаків. Згортання статей активів та зобов'язань є неприпустимим, крім випадків, передбачених відповідними положеннями (стандартами). Підсумок активів балансу повинен дорівнювати сумі зобов'язань та власного капіталу. Форма балансу є додатком до цього Положення (стандарту). Для малих підприємств може передбачатися скорочена форма балансу. Актив відображається в балансі за умови, що оцінка його може бути достовірно визначена і очікується отримання в майбутньому економічних вигод, пов'язаних з його використанням. Витрати на придбання та створення активу, які, відповідно до пункту 10 цього Положення (стандарту), не можуть бути відображені в балансі, включаються до складу витрат звітного періоду у звіті про фінансові результати. Зобов'язання відображається у балансі, якщо його оцінка може бути достовірно визначена та існує ймовірність зменшення економічних вигод у майбутньому внаслідок його погашення. Власний капітал відображається в балансі одночасно з відображенням активів або зобов'язань, які призводять до його зміни. У статті "Нематеріальні активи" відображається вартість об'єктів, які віднесені до складу нематеріальних активів згідно з відповідними положеннями (стандартами). У цій статті наводяться окремо первісна та залишкова вартість нематеріальних активів, а також нарахована у встановленому порядку сума накопиченої амортизації. Залишкова вартість визначається як різниця між первісною вартістю і сумою накопиченої амортизації, яка наводиться у дужках. У статті "Незавершене будівництво" відображається вартість незавершених капітальних інвестицій у будівництво, створення, виготовлення, реконструкцію, модернізацію, придбання необоротних активів (включаючи необоротні матеріальні активи, призначені для заміни діючих, і устаткування для монтажу), що здійснюються підприємством, а також авансові платежі для фінансування капітального будівництва. У статті "Основні засоби" наводиться вартість власних та отриманих на умовах фінансового лізингу об'єктів і орендованих цілісних майнових комплексів, які віднесені до складу основних засобів згідно з відповідними положеннями, а також вартість основних засобів, отриманих у довірче управління або на праві господарського відання чи праві оперативного управління. У цій статті також наводиться вартість інших необоротних матеріальних активів. У цій статті наводяться окремо первісна (переоцінена) вартість, сума зносу основних засобів (у дужках) та їх залишкова вартість. До підсумку балансу включається залишкова вартість, яка визначається як різниця між первісною (переоціненою) вартістю основних засобів і сумою їх зносу на дату балансу. У статті "Довгострокові біологічні активи" відображається вартість довгострокових біологічних активів, облік яких ведеться за Положенням (стандартом) бухгалтерського обліку 30 "Біологічні активи". У цій статті наводяться справедлива (первісна, переоцінена) вартість, сума накопиченої амортизації (у дужках) і залишкова вартість довгострокових біологічних активів. До підсумку балансу включається справедлива вартість, а також залишкова вартість, яка дорівнює різниці між первісною (переоціненою) вартістю і сумою накопиченої амортизації. У вписуваних рядках 055 - 057 відображається вартість об'єктів, що віднесені до інвестиційної нерухомості відповідно до Положення (стандарту) бухгалтерського обліку 32 "Інвестиційна нерухомість": - у рядку 055 "справедлива (залишкова) вартість інвестиційної нерухомості" наводяться справедлива вартість інвестиційної нерухомості, яка обліковується за справедливою вартістю, та залишкова вартість інвестиційної нерухомості, яка обліковується за первісною вартістю, що дорівнює різниці між первісною вартістю (рядок 056) і сумою зносу (рядок 057). Показник рядка 055 включається до підсумку балансу; - у рядку 056 "первісна вартість інвестиційної нерухомості" наводиться первісна вартість інвестиційної нерухомості, яка обліковується за первісною вартістю; - у рядку 057 "знос інвестиційної нерухомості" наводиться у дужках знос інвестиційної нерухомості, яка обліковується за первісною вартістю [8, 85]. У статті "Довгострокові фінансові інвестиції" відображаються фінансові інвестиції на період більше одного року, а також усі інвестиції, які не можуть бути вільно реалізовані в будь-який момент. У цій статті виділяються фінансові інвестиції, які згідно з відповідними положеннями (стандартами) обліковуються методом участі в капіталі. У статті "Довгострокова дебіторська заборгованість" показується заборгованість фізичних та юридичних осіб, яка не виникає в ході нормального операційного циклу та буде погашена після дванадцяти місяців з дати балансу. У статті "Відстрочені податкові активи" відображається сума податку на прибуток, що підлягає відшкодуванню в наступних періодах унаслідок тимчасової різниці між обліковою та податковою базами оцінки. У статті "Інші необоротні активи" наводяться суми необоротних активів, які не можуть бути включені до наведених вище статей розділу "Необоротні активи", крім гудвілу, який наводиться у рядку 065. У статті "Виробничі запаси" показується вартість запасів малоцінних та швидкозношуваних предметів, сировини, основних і допоміжних матеріалів, палива, покупних напівфабрикатів і комплектуючих виробів, запасних частин, тари, будівельних матеріалів та інших матеріалів, призначених для споживання в ході нормального операційного циклу. У статті "Поточні біологічні активи" відображається вартість поточних біологічних активів тваринництва (дорослі тварини на відгодівлі і в нагулі, птиця, звірі, кролики, дорослі тварини, вибракувані з основного стада для реалізації, молодняк тварин на вирощуванні і відгодівлі) в оцінці за справедливою або первісною вартістю, а також рослинництва (зернові, технічні, овочеві та інші культури) в оцінці за справедливою вартістю, облік яких ведеться за Положенням (стандартом) бухгалтерського обліку 30 "Біологічні активи". У статті "Незавершене виробництво" показуються витрати на незавершене виробництво і незавершені роботи (послуги), а також вартість напівфабрикатів власного виробництва і валова заборгованість замовників за будівельними контрактами. У статті "Готова продукція" показуються запаси виробів на складі, обробка яких закінчена та які пройшли випробування, приймання, укомплектовані згідно з умовами договорів із замовниками і відповідають технічним умовам і стандартам. Продукція, яка не відповідає наведеним вимогам (крім браку), та роботи, які не прийняті замовником, показуються у складі незавершеного виробництва. У статті "Товари" показується без суми торгових націнок вартість товарів, які придбані підприємствами для наступного продажу. У статті "Векселі одержані" показується заборгованість покупців, замовників та інших дебіторів за відвантажену продукцію (товари), інші активи, виконані роботи та надані послуги, яка забезпечена векселями. У статті "Дебіторська заборгованість за товари, роботи, послуги" відображається заборгованість покупців або замовників за надані їм продукцію, товари, роботи або послуги (крім заборгованості, яка забезпечена векселем). У підсумок балансу включається чиста реалізаційна вартість, яка визначається шляхом вирахування з дебіторської заборгованості резерву сумнівних боргів. Сума резерву сумнівних боргів наводиться у дужках [9, 46]. 2.5 Порядок складання «Звіт про рух грошових коштів» і «Звіт про власний капітал»Перший і найскладнійший з трьох розділів ЗРГК (Ф-3) називається «Рух грошових коштів у результаті операційної діяльності». Техніка проведення розрахунків тут така ж багатоступінчаста, як і в Звіті про фінансові результати (Ф-2). Всі дані, необхідні для обчислення проміжних і підсумкових показників першого розділу ЗРГК, беруться з Ф-2 і балансу (Ф-1), але при цьому іноді необхідно звертатися до даних бухгалтерських рахунків. Згідно п. 12 П(С)БО 4 рух грошових коштів у результаті операційної діяльності визначається шляхом коригування прибутку (збитку) від звичайної діяльності до оподаткування на такі суми: - суми змін запасів, дебіторської та кредиторської заборгованості, пов’язаної з операційною діяльністю, протягом звітного періоду; - суми, наведені в негрошових статтях; - суми, наведені в статтях, які пов’язані з рухом грошових коштів у результаті інвестиційної та фінансової діяльності. У цьому загальному правилі законодавець, на жаль, сказав не все необхідне і трохи не в тій послідовності. Насправді зазначені коригування здійснюються в порядку: «б», «в», «а». Причому в результаті ми виходимо тільки на проміжний показник ГКОД (далі — грошові кошти від операційної діяльності). Далі цей «алмаз» ГКОД шліфується за допомогою таких грошових потоків, як сплата відсотків і податку на прибуток. Однак «діамант» ЧГКОД (чистий рух грошових коштів від операційної діяльності) все ще не готовий, оскільки необхідна його обробка грошовим потоком від надзвичайних подій (у межах операційної діяльності). От після цієї операції ми нарешті одержуємо показник ЧГКОД як підсумок першого розділу ЗРГК. При цьому графи «Надходження» та «Виплата», що містяться у Ф-3 за своїм змістом є не чим іншим, як «збільшенням ДС» і «зменшенням ДС» (тому що фактичних платежів в ЗРГК відображається не так і багато). Необхідність проведення коригувань обумовлена тим, що ціль нашого розрахунку — досить обмежений результатний показник ЧГКОД, тоді як відштовхуємося ми від гранично загального результатного показника ПДО (прибуток від звичайної діяльності до оподаткування). З цієї ж причини кожне зі згаданих коригувань «б» і «в» робиться зі зворотним знаком (тобто те, що збільшувало або зменшувало ПДО при її розрахунку у Ф-2, має бути показане у Ф-3 відповідно зі знаком «мінус» або «плюс»). Коригування ПДО на суми «а» (зміна запасів і поточної дебіторки та кредиторки) перевіримо за правилами, виведеними нами в попередніх частинах цієї публікації. У принципі, все буде сходитися, за винятком коригувань, пов’язаних з розрахунками з бюджетом з податку на прибуток (та сама проблема заміни ПП на ПДО). Це і не дивно (через складність самого питання, яким законодавець «плідно» займається вже сім років, однак жаль, що не «на собачках») [4, 111]. Тепер, маючи точний і обґрунтований загальний план, переходимо до постатейного розрахунку ЧГКОД відповідно до останньої редакції П(С)БО 4. Відповідно до п. 13 П(С)БО 4 у статті «Прибуток (збиток) від звичайної діяльності до оподаткування» (ряд. 010 Ф-3) відображається прибуток або збиток від звичайної діяльності до оподаткування за звітний період, наведені у звіті про фінансові результати. Якщо додержуватися цього правила буквально, то необхідно брати всю суму з ряд. 170 (175) Ф-2. Однак вона може включати і фінансовий результат бартерних угод чисто операційної діяльності (обмін товару на інший товар тощо), які в нижченаведених положеннях П(С)БО 4 не згадуються взагалі. Тому, спираючись на п. 10 П(С)БО 4, суму прибутку (збитку) з ряд. 170 (175) Ф-2 необхідно переносити до ряд. 010 Ф-3 за виключенням фінансових результатів зазначеного бартеру, що ввійшли до неї. Інакше правильного ЧГКОД ми не одержимо (цей показник буде завищений (занижений) на суму бартерного прибутку (збитку)). У Ф-3 розглянутий прибуток (збиток) до оподаткування (ПДО) відображається в графі «Надходження» («Виплата»). Далі показник ПДО (ряд. 010 Ф-3) коригується на суми, наведені в негрошових статтях фінансової звітності (не плутати зі згадуваними вище негрошовими операціями, які в ЗРГК взагалі не відображаються). Суть негрошових статей (п.п. 14–16 П(С)БО 4) в тому, що вони безпосередньо впливають на формування розміру ПДО, але фактичними грошовими потоками не є. До негрошових статей відносяться: - амортизація необоротних активів; - збільшення (зменшення) забезпечень (у смислі резервів майбутніх витрат і платежів, відображених у другому розділі пасиву балансу); - збиток (прибуток) від нереалізованих курсових різниць, нарахування яких пов’язано безпосередньо з валютними коштами підприємства, а не з його валютними вимогами або зобов’язаннями. Порядок коригувань такий. У статті «Амортизація необоротних активів» (ряд. 020 Ф-3) відображаються амортизаційні відрахування за матеріальними і нематеріальними необоротними активами, нарахованми протягом звітного періоду (п. 14 П(С)БО 4). Сума такої амортизації береться з ряд. 260 Ф-2, оскільки саме ця сума негативно вплинула на розрахунок ПДО (балансові ж різниці з амортизації на початок і кінець періоду можуть з цією сумою не збігатися з багатьох причин). Тому у Ф-3 амортизація відображається винятково в графі «Надходження» [7, 94]. В статті «Збільшення (зменшення) забезпечень» (ряд. 030 Ф-3) відображається зміна в складі забезпечень майбутніх витрат і платежів, які не пов’язані з інвестиційною та фінансовою діяльністю (п. 15 П(С)БО 4). Збільшення таких забезпечень на кінець звітного періоду в порівнянні з його початком (у розділі 2 пасиву балансу) відображається у Ф-3 у графі «Надходження», а зменшення — у графі «Виплата». Це відповідає теоретичному правилу: збільшення будь-якої статті пасиву балансу відображається в ЗРГК як збільшення ГК, а її зменшення відображається в ЗРГК як зменшення ГК. У статті «Збиток (прибуток) від нереалізованих курсових різниць» (ряд. 040 Ф-3) у графі «Надходження» відображаються збитки, у графі «Виплата» — прибутки від курсових різниць внаслідок перерахування статті балансу «Грошові кошти й їхні еквіваленти в іноземній валюті» (п. 16 П(С)БО 4). Таким шляхом елімінується зміна суми залишку ГК на кінець звітного періоду відповідно до валютних курсів на дату балансу. Однак без урахування суми таких курсових різниць правильний ЗРГК побудувати не можна (не буде відповідності розрахункової та балансової сум ГК), через що ті ж курсові різниці з’являються в ЗРГК знову, але тільки вже в самому кінці (ряд. 420 Ф-3). Що стосується самих величин цих різниць, то окремі статті для них не передбачені ні у Ф-1, ні у Ф-2. Тому такі показники необхідно дивитися по проводках: для втрат за курсовими різницями: Д-т 945 К-т 302 (312, 314, 334, 351), а для доходів за курсовими різницями: Д-т 302 (312, 314, 334, 351) К-т 714. При цьому (що дуже важливо) суми таких проводок за період можуть не завжди бути пов’язані тільки із сумами залишків інвалютних коштів на кінець періоду, оскільки в русі перебувають не тільки валютні курси, але самі валютні кошти. Тому головбух підприємства має чітко відрізняти курсові різниці, враховані протягом періоду (за датами і сумами платежів в інвалюті), від різниць, врахованих на останній день звітного періоду (за сумами інвалютних залишків). Друга з цих двох різниць і показується в ряд. 040 і ряд. 420 Ф-3 (детальний аналіз п. 56 П(С)БО 4 ми проведемо у своєму місці). Інформація, відображена в першому розділі пасиву балансу «Власний капітал», показує загальну картину стану власного капіталу та його окремих позицій на початок та кінець звітного періоду. На основі цієї інформації можна провести поверховий аналіз показників, в основі розрахунку яких є власний капітал. Розшифрування першого розділу пасиву балансу, яке дає змогу фінансовому аналітику дійти висновків щодо змін, які відбулися в складі власного капіталу підприємства, причини цих змін та існуючі тенденції, міститься у звіті про власний капітал. Порядок складання звіту регламентується П(С)БО 5. Метою складання звіту про власний капітал є розкриття і аналіз інформації щодо змін у складі власного капіталу підприємства протягом звітного періоду. Читаючи звіт, користувач може з’ясувати основні чинники (операції), які вплинули на зміни (збільшення чи зменшення) у складі власного капіталу в цілому та окремих його позицій зокрема. Звіт складається у формі шахової таблиці в розрізі статей, які включаються до складу першого розділу пасиву балансу та причин їх зміни. Шаховий принцип побудови звіту передбачає розміщення по горизонталі елементів (статей) власного капіталу, а по вертикалі — основних операцій, які можуть призвести до зміни окремих статей і власного капіталу в цілому. Звіт про власний капітал складається на підставі балансу, звіту про фінансові результати, а також аналітичних даних до відповідних облікових регістрів. За правильного відображення операцій, які призвели до змін у складі власного капіталу, залишок власного капіталу на кінець року (в цілому та у розрізі окремих статей), який відображається у балансі, збігається з тим, який показується у звіті про власний капітал. Суми, що зменшують статті власного капіталу, наводяться в дужках. Показники залишку за окремими статтями власного капіталу на початок періоду переносяться з відповідної графи балансу підприємства. Далі по вертикалі відображаються операції, які можуть призвести до змін у власному капіталі. На перетині відповідних вертикальних рядків і горизонтальних граф відображаються дані, що характеризують вплив тих чи інших операцій на стан позицій власного капіталу. Якщо на підприємстві мали місце зміни в обліковій політиці, виправлення помилок, допущених при складанні звітів у попередніх періодах чи інші зміни, то на відповідну величину здійснюється, як правило, коригування сальдо нерозподіленого прибутку на початок звітного року. Скоригований залишок на початок року у звіті містить інформацію про позиції власного капіталу з урахуванням можливих коригувань. Власний капітал підприємства може змінитися в результаті переоцінки необоротних активів, зокрема уцінки чи дооцінки нематеріальних активів, основних засобів, незавершеного будівництва. Сума дооцінки збільшує інший додатковий капітал, якщо така дооцінка є першою переоцінкою необоротних активів, тобто до дооцінки не провадилася уцінка необоротних активів, суму якої було списано на інші витрати. Сума уцінки необоротних активів зменшує інший додатковий капітал у разі, якщо до уцінки вже було проведено дооцінку таких необоротних активів (сума якої збільшила додатковий капітал). Суми переоцінок необоротних активів, що проводяться протягом звітного року, відображаються у Звіті про власний капітал розгорнуто. Якщо стосовно одного з видів необоротних активів протягом року провадилися дооцінка та уцінка, суми яких вплинули на величину додаткового капіталу, у Звіті така переоцінка відображається розгорнуто — окремо дооцінка та окремо уцінка по відповідному рядку. Важливим чинником, який впливає на величину власного капіталу підприємства, є обсяг чистого прибутку (збитку) та порядок його використання (чи покриття) у звітному періоді. Базова інформація щодо цього міститься у звіті про фінансові результати та в рішенні зборів власників підприємства щодо порядку використання прибутку. Ця інформація відображається в графі перетину позицій «Чистий прибуток (збиток) за звітний період» та «Нерозподілений прибуток» звіту про власний капітал. Якщо за даними звіту про фінансові результати підприємство має збиток, то його величину має бути відображено у тій же графі у дужках. У разі прийняття рішення щодо використання чистого прибутку звітного року, нерозподіленого прибутку чи частини резервного капіталу на виплату дивідендів величина дивідендів відображається за відповідними позиціями власного капіталу у дужках і зменшує власний капітал підприємства. Якщо ж нерозподілений прибуток спрямовано на збільшення статутного і резервного капіталу, то відбувається внутрішній перерозподіл сум власного капіталу підприємства: відповідну суму прибутку у звіті про власний капітал відображають двічі — за статтею «Нерозподілений прибуток» у дужках (як величина, що зменшує прибуток) і за статтями «Статутний капітал» і «Резервний капітал» (як величина, що збільшує власний капітал). У нашому прикладі в балансі відображено приріст як статутного, так і резервного капіталу. Таким чином, можна дійти висновку, що статутний капітал підприємства зріс у результаті використання для цих цілей інших джерел, зокрема внесків власників. Внески до капіталу можуть спрямовуватися на: поповнення статутного чи пайового капіталу; збільшення додатково вкладеного чи іншого капіталу; погашення заборгованості учасників щодо внесків до статутного, пайового, додатково вкладеного та іншого капіталу [7, 17]. 2.6 ПСБО 6 «Виправлення помилок і зміни у фінансових звітахЦим Положенням (стандартом) визначається порядок виправлення помилок, внесення та розкриття інших змін у фінансовій звітності. Норми цього Положення (стандарту) застосовуються у фінансовій звітності підприємств, організацій та інших юридичних осіб (далі - підприємства) усіх форм власності (крім бюджетних установ). Терміни, що використовуються в положеннях (стандартах) бухгалтерського обліку, мають таке значення: Дата балансу - дата, на яку складений баланс підприємства. Звичайно датою балансу є кінець останнього дня звітного періоду. Облікова оцінка - попередня оцінка, яка використовується підприємством з метою розподілу витрат і доходів між відповідними звітними періодами. Подія після дати балансу - подія, яка відбувається між датою балансу і датою затвердження керівництвом фінансової звітності, підготовленої до оприлюднення, яка вплинула або може вплинути на фінансовий стан, результати діяльності та рух коштів підприємства. Виправлення помилок, допущених при складанні фінансових звітів у попередніх роках, здійснюється шляхом коригування сальдо нерозподіленого прибутку на початок звітного року, якщо такі помилки впливають на величину нерозподіленого прибутку (непокритого збитку). Виправлення помилок, які відносяться до попередніх періодів, вимагає повторного відображення відповідної порівняльної інформації у фінансовій звітності. Облікова оцінка може переглядатися, якщо змінюються обставини, на яких базувалася ця оцінка, або отримана додаткова інформація. Наслідки зміни в облікових оцінках слід включати до тієї ж самої статті звіту про фінансові результати, яка раніше застосовувалась для відображення доходів або витрат, пов'язаних з об'єктом такої оцінки. Наслідки зміни облікових оцінок слід включати до звіту про фінансові результати в тому періоді, в якому відбулася зміна, а також і в наступних періодах, якщо зміна впливає на ці періоди. Облікова політика може змінюватися тільки, якщо змінюються статутні вимоги, вимоги органу, який затверджує положення (стандарти) бухгалтерського обліку, або, якщо зміни забезпечать достовірне відображення подій або операцій у фінансовій звітності підприємства. Не вважається зміною облікової політики встановлення облікової політики для: - подій або операцій, які відрізняються за змістом від попередніх подій або операцій. - подій або операцій, які не відбувалися раніше. Облікова політика застосовується щодо подій та операцій з моменту їх виникнення, за винятком випадків, передбачених п. 13 цього Положення (стандарту). Вплив зміни облікової політики на події та операції минулих періодів відображається у звітності шляхом: - коригування сальдо нерозподіленого прибутку на початок звітного року. - повторного надання порівняльної інформації щодо попередніх звітних періодів. Якщо суму коригування нерозподіленого прибутку на початок звітного року неможливо визначити достовірно, то облікова політика поширюється лише на події та операції, які відбуваються після дати зміни облікової політики. Якщо неможливо розрізнити зміну облікової політики та зміну облікових оцінок, то це розглядається і відображається як зміна облікових оцінок. Події після дати балансу можуть вимагати коригування певних статей або розкриття інформації про ці події у примітках до фінансових звітів. Події після дати балансу, які надають додаткову інформацію про визначення сум, пов'язаних з умовами, що існували на дату балансу, вимагають коригування відповідних активів і зобов'язань. Коригування активів і зобов'язань здійснюється шляхом сторнування та (або) додаткових записів в обліку звітного періоду, які відображають уточнення оцінки відповідних статей внаслідок подій після дати балансу. Події, що відбуваються після дати балансу і вказують на умови, що виникли після цієї дати, не потребують коригування статей фінансових звітів. Такі події слід розкривати в примітках до фінансових звітів, якщо відсутність інформації про них вплине на здатність користувачів звітності робити відповідні оцінки та приймати рішення. Дивіденди за звітний період, які оголошені після дати балансу, слід розкривати в примітках до фінансових звітів. Якщо події після дати балансу свідчать про наміри підприємства припинити діяльність або про неможливість її продовження, то фінансова звітність складається без застосування принципу безперервності діяльності. Орієнтовний перелік подій після дати балансу додається. Розкриття інформації у примітках до фінансових звітів У примітках до фінансових звітів слід розкривати таку інформацію щодо виправлення помилок, які мали місце в попередніх періодах: - зміст і суму помилки; - статті фінансової звітності минулих періодів, які були переобраховані з метою повторного подання порівняльної інформації [9, 44]. Факт повторного оприлюднення виправлених фінансових звітів або недоцільність повторного оприлюднення. Підприємству слід розкривати зміст і суму змін в облікових оцінках, які мають суттєвий вплив на поточний період або, як очікується, суттєво будуть впливати на майбутні періоди. У разі зміни в обліковій політиці підприємству слід розкривати: - причини та суть зміни; - суму коригування нерозподіленого прибутку на початок звітного року або обґрунтування неможливості її достовірного визначення; - факт повторного подання порівнянної інформації у фінансових звітах або недоцільність її переобрахунку; - у разі потреби розкриття події, що відбулася після дати балансу, слід надавати інформацію про зміст події та оцінку її впливу на фінансовий результат або обґрунтування щодо неможливості зробити таку оцінку. 2.7 ПСБО 20 «Консолідована фінансова звітність»Це Положення (стандарт) визначає порядок складання консолідованої фінансової звітності та загальні вимоги до розкриття інформації щодо складання консолідованої фінансової звітності. Норми цього Положення (стандарту) застосовуються групою підприємств, організацій та інших юридичних осіб (далі — група підприємств), яка складається з материнського (холдингового) підприємства та дочірніх підприємств. Терміни, що використовуються в положеннях (стандартах) бухгалтерського обліку, мають таке значення: Внутрішньогрупові операції — операції між материнським та дочірніми підприємствами або між дочірніми підприємствами однієї групи. Внутрішньогрупове сальдо — сальдо дебіторської заборгованості та зобов'язань на дату балансу, яке утворилося внаслідок внутрішньогрупових операцій. Нереалізовані прибутки та збитки від внутрішньогрупових операцій — прибутки та збитки, які виникають внаслідок внутрішньогрупових операцій (продажу товарів, продукції, виконання робіт, послуг тощо) і включаються до балансової вартості активів підприємства. Консолідовану фінансову звітність подає материнське підприємство. Материнське підприємство, яке є дочірнім підприємством іншого підприємства, не подає консолідовану фінансову звітність за наявності однієї з таких умов: - якщо воно повністю належить іншому підприємству; - згоди власників частки меншості. До консолідованої фінансової звітності включають показники фінансової звітності всіх дочірніх підприємств, за винятком показників фінансової звітності тих дочірніх підприємств, які не включаються з причин, зазначених у пункті 7 цього Положення (стандарту). Показники фінансової звітності дочірнього підприємства не включаються до консолідованої фінансової звітності, якщо: - контроль дочірнього підприємства є тимчасовим, оскільки воно було придбане й утримується лише з метою його наступного продажу протягом короткострокового періоду; - дочірнє підприємство здійснює діяльність в умовах, які обмежують його здатність передавати кошти материнському підприємству. Активи таких дочірніх підприємств відображаються як фінансові інвестиції відповідно до Положення (стандарту) бухгалтерського обліку 12 «Фінансові інвестиції». Фінансова звітність материнського підприємства та його дочірніх підприємств, що використовується при складанні консолідованої фінансової звітності, складається за той самий звітний період і на ту саму дату балансу. Консолідовану фінансову звітність складають з фінансової звітності групи підприємств з використанням єдиної облікової політики для подібних операцій та інших подій за схожих обставин. Якщо при складанні консолідованої фінансової звітності неможливо застосувати єдину облікову політику, то про це повідомляється у примітках до консолідованої фінансової звітності. Консолідована фінансова звітність складається шляхом впорядкованого додавання показників фінансової звітності дочірніх підприємств до аналогічних показників фінансової звітності материнського підприємства. Склад і форми фінансової звітності визначені Положеннями (стандартами) бухгалтерського обліку 1 — 5. При складанні консолідованої фінансової звітності можуть не наводитися статті (рядки) форм фінансової звітності, по яких у групи підприємств відсутні показники (крім випадків, якщо такі показники були в попередньому звітному році), та підлягають виключенню: - балансова вартість фінансових інвестицій материнського підприємства в кожне дочірнє підприємство і частка материнського підприємства в кожному дочірньому підприємстві; - сума внутрішньогрупових операцій та внутрішньогрупового сальдо; - сума нереалізованих прибутків та збитків від внутрішньогрупових операцій (крім збитків, які не можуть бути відшкодовані). Материнське підприємство для складання консолідованої фінансової звітності визначає частку меншості в капіталі та фінансових результатах дочірніх підприємств. Частка меншості визначається як добуток відсотку голосів, які не належать материнському підприємству, відповідно до власного капіталу та чистого прибутку (збитку) дочірніх підприємств, зменшеного (збільшеного) на суму нереалізованого прибутку (збитку) від внутрішньогрупових операцій. Частка меншості відображається в консолідованому балансі окремо від зобов'язань та власного капіталу материнського підприємства у вписуваному рядку 385 «Частка меншості». У консолідованому звіті про фінансові результати частка меншості у прибутку (збитку) відображається у вписуваному рядку 215 «Частка меншості» від'ємною величиною у дужках [11, 59]. Якщо частка меншості у збитках дочірнього підприємства перевищує частку меншості в капіталі дочірнього підприємства, то на суму такого перевищення і величину наступних збитків, яка належить до частки меншості, зменшується частка материнського підприємства у власному капіталі групи підприємств за винятком тієї частини, щодо якої меншість має зобов'язання і здатна покрити збитки. Якщо згодом у фінансовій звітності дочірнього підприємства відображено прибуток, то вся сума такого прибутку розподіляється на частку материнського підприємства до покриття збитків меншості, сума яких відшкодована раніше за рахунок материнського підприємства. Якщо дочірнім підприємством випущені привілейовані акції, за якими накопичується сума дивідендів та які перебувають у володінні за межами групи, то материнське підприємство розраховує свою частку прибутку або збитку після коригування на суму дивідендів за привілейованими акціями дочірнього підприємства, незалежно від оголошення дивідендів. Вартість гудвілу, що виникає при консолідації фінансової звітності материнського підприємства і фінансової звітності дочірніх підприємств, визначається згідно з Положенням (стандартом) бухгалтерського обліку 19 «Об'єднання підприємств» і відображається в консолідованому балансі у описуваному рядку 075 «Гудвіл при консолідації». Різниця між балансовою та справедливою вартістю придбаних ідентифікованих активів і зобов'язань на дату придбання відображається у консолідованій фінансовій звітності у складі витрат (доходів) протягом періоду корисного використання відповідного активу або терміну погашення зобов'язання. Курсові різниці, що виникають під час переобрахунку показників фінансової звітності дочірніх підприємств, які розташовані за межами України, у валюту України, визначаються згідно з Положенням (стандартом) бухгалтерського обліку 21 «Вплив змін валютних курсів» і відображаються у консолідованому балансі у вписуваному рядку 375 «Накопичена курсова різниця». При цьому негативна курсова різниця наводиться у дужках і вираховується при визначенні підсумку розділу «Власний капітал» Балансу. Такі різниці в консолідованому звіті про власний капітал відображаються у додатковій графі «Накопичена курсова різниця». 2.8 Підготовчі роботи перед складанням річного звітуПеред складанням річного звіту обов'язково проводять повну інвентаризацію господарських засобів, їх джерел, стану розрахунків з дебіторами і кредиторами і відображають її результати в обліку. Суми статей балансу за розрахунками з фінансовими, податковими органами, установами банків повинні бути погоджені з ними і відрегульовані. За діючим положенням передбачено повну інвентаризацію проводити в максимально наближені до складання річного звіту строки (з 1 жовтня до 1 січня). Отже, якісна відмінність між квартальним і річним балансом полягає у тому, що перший складають в основному за даними поточного обліку, а показники річного балансу обов'язково підтверджуються результатами інвентаризації, що забезпечує їх достовірність. Баланс та інші форми звітності підписують керівником підприємства і головним бухгалтером, у випадку відсутності на підприємстві бухгалтерської служби, — керівником спеціалізованої організації або спеціалістом, які за угодою виконували роботу по веденню бухгалтерського обліку і складанню звітності. Особи, які підписали звітність, несуть повну відповідальність за достовірність звітних показників. Підприємства зобов'язані подавати квартальну та річну фінансову звітність: - органам, до сфери управління яких вони належать; - трудовим колективам (на їх вимогу); - власникам (засновникам) відповідно до установчих документів, якщо інше не передбачено законом; - органам виконавчої влади та іншим користувачам відповідно до законодавства. Строки подання фінансової звітності встановлюються Кабінетом Міністрів України. Фінансова звітність не становлять комерційної таємниці, крім випадків, передбачених законодавством. Відкриті акціонерні товариства, підприємства-емітенти облігацій, банки, довірчі товариства, валютні і фондові біржі, інвестиційні фонди, інвестиційні компанії, кредитні союзи, недержавні пенсійні фонди, страхові компанії та інші фінансові установи зобов'язані не пізніше 1 червня наступного розвітним року оприлюднювати річну фінансову звітність і конструдовану звітність шляхом публікації у періодичних виданнях до розповсюдження її у вигляді окремих друкованих видань. Контроль за дотриманням законодавства про бухгалтерський облік і звітність в України здійснюється відповідними органами в межах їх повноважень, передбачених законом. Відповідні органи під час перевірки поданої на їх адресу звітності встановлюють правильність оформлення звіту і звітних даних; наявність всіх звітних фірм взаємозв'язок і погодженість між окремими показниками. Затвердження звітності підприємства відповідним органом оформляється актом (висновком) у якому дається також оцінка діяльності підприємства щодо підвищення ефективності його діяльності. 2.9 Порядок складання і затвердження річного звітуПеред початком складання звітності підприємства виконують велику підготовчу роботу: - перевіряють повноту відображення в поточному обліку господарських операцій, оформлюють їх відповідними документами; - уточнюють розподіл витрат і доходів між суміжними звітними періодами; - перевіряють стан розрахунків і списують в установленому порядку нереальну дебіторську, а також кредиторську заборгованість, за якою минули строки давності позову; - розподіляють витрати на обслуговування виробництва й управління; - визначають фактичну собівартість випущеної з виробництва та реалізованої продукції; - визначають та списують фінансовий результат від реалізації продукції та позареалізаційних операцій; - списують прибуток, використаний протягом року; - перевіряють правильність облікових записів, взаємно звіряють дані синтетичного та аналітичного обліків; - перед складанням річного звіту здійснюють повну інвентаризацію[8, 129]. Усі підприємства, за винятком спільних підприємств з іноземними інвестиціями, квартальну та річну звітність подають засновникам відповідно до установчих документів; органам, до сфери яких належать; органу державної статистики; фінансовому органу в разі одержання асигнувань з бюджету; іншим адресатам відповідно до законодавства. Квартальну звітність подають не пізніше 25 числа місяця, наступного за звітним кварталом, річну — не пізніше 15 лютого року, наступного за звітним. Розгляд і затвердження звітності здійснюють у порядку, передбаченому Положенням про організацію бухгалтерського обліку і звітності в Україні та відповідною інструкцією Міністерства фінансів України. Річний бухгалтерський фінансовий звіт підприємства подають за такими типовими формами: - № 1 — баланс підприємства; - № 2 — звіт про фінансові результати; - № 3 — звіт про рух грошових коштів; - № 4 — звіт про власний капітал; - примітки та пояснення до звітів. Зміст і форма звітів визначаються та регламентуються відповідними положеннями (стандартами) бухгалтерського обліку. У пояснювальній записці до звіту викладають основні фактори, що вплинули на господарські та фінансові результати підприємства. ВисновкиВідповідно до загальних вимог (стандарт № 1) розкриття інформації здійснюється у фінансовій звітності так: для того, щоб фінансова звітність була зрозумілою користувачам, вона повинна містити дані про: - підприємство; - дату звітності та звітний період; - валюту звітності та одиницю її виміру; - відповідну інформацію щодо звітного та попереднього періоду; - облікову політику підприємства та її зміни; - консолідацію фінансових звітів; - припинення (ліквідацію) окремих видів діяльності; - обмеження щодо володіння активами; - участь у спільних підприємствах; - виявлені помилки минулих років та пов'язані з ними коригування; - переоцінку статей фінансових звітів; - іншу інформацію, розкриття якої передбачено відповідними положеннями (стандартами). Інформація про підприємство, яка підлягає розкриттю у фінансовій звітності, включає: - назву, організаційно-правову форму та місцезнаходження підприємства (країну, де зареєстроване підприємство, адресу його офісу); - короткий опис основної діяльності підприємства; - назву органу управління, у віданні якого перебуває підприємство, або назву його материнської (холдингової) компанії; - середню чисельність персоналу підприємства протягом звітного періоду. Кожний фінансовий звіт повинен містити дату, станом на яку наведені його показники, або період, який він охоплює. Якщо період, за який складено фінансовий звіт, відрізняється від звітного періоду, передбаченого цим Положенням (стандартом), то причини і наслідки цього повинні бути розкриті у примітках до фінансової звітності. У фінансовій звітності повинна бути вказана валюта, в якій відображені елементи звітності, та одиниця її виміру. Якщо валюта звітності відрізняється від валюти, в якій ведеться бухгалтерський облік, то підприємство повинно розкривати причини цього та методи, що були використані для переведення фінансових звітів з однієї валюти в іншу. Підприємство повинно висвітлювати обрану облікову політику шляхом опису: Принципів оцінки статей звітності. Методів обліку щодо окремих статей звітності. Інформація, що підлягає розкриттю, наводиться безпосередньо у фінансових звітах або у примітках до них. У примітках до фінансових звітів слід розкривати: - Облікову політику підприємства. - Інформацію, яка не наведена безпосередньо у фінансових звітах, але є обов'язковою за відповідними положеннями (стандартами). - Інформацію, що містить додаткових аналіз статей звітності, потрібний для забезпечення її зрозумілості та доречності. - Звітний період. Звітним періодом для складання фінансової звітності є календарний рік. Баланс підприємства складається на кінець останнього дня звітного періоду. - Проміжна (місячна, квартальна) звітність, яка охоплює певний період, складається наростаючим підсумком з початку звітного року. 1. Абрамова І. М., Пєнська І. О., Проблеми розвитку підприємництва в Україні// Фінанси України. - 1999. - №4. 2. Балабанов И.Т. Финансовый менеджмент: Учебник. - М.: Финансы и статистика, 1994. 3. Бандурка О.М., Коробов М.Я., Орлов П.І., Петрова К.Я. Фінансова діяльність підприємства: Підручник. - К.: Либідь, 1998. 4. Брігхем Є.Ф. Фінансовий облік. Підручник. - К.: Молодь, 1997. 5. Галушко О.С. Від конетатації фінансового стану до управління фінансами підприємства//Фінанси України. - 1999. - №5. 6. Дідик Л.М. Рейтингова оцінка підприємства //Фінанси України. - 1999. -№5. 7. Ефимова О.В. Финансовый анализ. - М., 1996. 8. Конспект лекцій і практикум з курсу "Фінансовий облік"/ Є. Г. Рясних. - Хмельницький: ТУП, 1998. 9. Костіна Н. І. Фінансове прогнозування: методи та моделі. - К.: Знання, 1997. 10. Маслов С. І. Управління дебіторською заборгованістю та її прогнозування// Фінанси України. - 1999. - №2. 11. Назарова Г.В. Облік і аудит // Фінанси України. - 1999. 12. Сутоняко О.А. Аналіз фінансового стану підприємств і шляхи його оздоровлення.// Фінанси України. - 1997. - № 3. 13. Финансовое управление фирмой: Настольная книга менеджера/ Под ред. Терехина В.И. - М.: Экономика, 1998. 14. Фінанси підприємств: Підручник/ За ред. професора А.М. Поддєрьогіна. -К.:КНЕУ, 1998. 15. Шеремет А.Д., Ненашев Е.В. Методика финансового анализа. - М.: ИНФРА-М, 1999. Додаток 1 Структура Балансу
Додаток 2 Інформація для складання балансу
Додаток 3 Фінансова звітність
Додаток 4 Звіту про рух грошових коштів
Додаток 5 Баланс
|
|||||||||||||||||||||||||||||||||||||||||||||||||||||||||||||||||||||||||||||||||||||||||||||||||||||||||||||||||||||||||||||||||||||||||||||||||||||||||||||||||||||||||||||||||||||||||||||||||||||||||||||||||||||||||||||||||||||||||||||||||||||||||||||||||||||||||||||||||||||||||||||||||||||||||||||||||||||||||||||||||||||||||||||||||||||||||||||||||||||||||||||||||||||||||||||||||||||||||||||||||||||||||||||||||||||||||||||||||||||||||||||||||||||||||||||||||||||||||||||||||||||||||||||||||||||||||||||||||||||||||||||||||||||||||||||||||||||||||||||||||||||||||||||||||||||||||||||||||||||||||||||||||||||||||||||||||||||||||||||||||||||||||||||||||||||||||||||||||||||||||||||||||||||||||||||||||||||||||||||||||||||||||||||||||||||||||||||||||||||||||||||||||||||||||||||||||||||||||||||||||||||||||||||||||||||||||||||||||||||||||||||||||||||||||||||||||||||||||||||||||||||||||||||||||||||||||||||||||||||||||||||||||||||||||||||||||||||||||||||||||||||||||||||||||||||||||||||||||||||||

