Курсовая работа: Эконометрическое моделирование
|
Название: Эконометрическое моделирование Раздел: Рефераты по экономико-математическому моделированию Тип: курсовая работа | ||||||||||||||||||||||||||||||||||||||||||||||||||||||||||||||||||||||||||||||||||||||||||||||||||||||||||||||||||||||||||||||||||||||||||||||||||||||||||||||||||||||||||||||||||||||||||||||||||||||||||||||||||||||||||||||||||||||||||||||||||||||||||||||||||||||||||||||||||||||||||||||||||||||||||||||||||||||||||||||||||||||||||||||||||||||||||||||||||||||||||||||||||||||||||||||||||||||||||||||||||||||||||||||||||||||||||||||||||||||||||||||||||||||||||||||||||||||||||||||||||||||||||||||||||||||||||||||||||||||||||||||||||||||||||||||||||||||||||||||||||||||||||||||||||||||||||||||||||||||||||||||||||||||||||||||||||||||||||||||||||||||||||||||||||||||||||||||||||||||||||||||||||||||||||||||||||||||||||||||||||||||||||||||||||||||||||||||||||||||||||||||||||||||||||||||||||||||||||||||||||||||||||||||||||||||||||||||||||||||||||||||||||||||||||||||||||||||||||||||||||||||||||||||||||||||||||||||
Министерство образования и науки Украины Таврический национальный университет им. В.И. Вернадского Судакский факультет управления и экономики Кафедра информационного менеджментаКурсовая работа по курсу "Эконометрия" Выполнила: студент гр. 31- МО Абибуллаев ВВ. Проверил: Ст. преподователь Заболотский А. С. Судак, 2011 гЭтап №1. Эконометрическое моделирование 1 шаг. Пояснение экономического содержания показателей. Наименование показателей: 1. Розничный товарооборот государственной и кооперативной торговли на душу населения 2. Среднемесячная денежная заработная плата рабочих и служащих 3. Средний размер вклада в сберегательном банке 4. Доля жителей в трудоспособном возрасте 5. Продажа алкогольных напитков на душу населения Доля жителей в трудоспособном возрасте – это естественно-искусственный показатель, который влияет на среднемесячную денежную заработную плату рабочих и служащих. Среднемесячная денежная заработная плата рабочих и служащих - это искусственный показатель, который складывается под влиянием доли жителей в трудоспособном возрасте и влияет на средний размер вклада в сберегательном банке и продажу алкогольных напитков на душу населения. Средний размер вклада в сберегательном банке и продажа алкогольных напитков на душу населения, в свою очередь, влияют на розничный товарооборот государственной и кооперативно торговли на душу населения. 2шаг. Причинно-следственный анализ показателей и соподчинение их в иерархию:
3 шаг. Статистическая характеристика выборочной совокупности по регионам (средняя, средняя геометрическая, мода, медиана, среднее геометрическое отклонение, коэффициент вариации, асимметрия, эксцесс) Таблица №1Перечень показателей
Таблица №2 Расчет параметров по показателям
4 шаг. Геометрическая иллюстрация статистических наблюдений 1-ый показатель
2-ой показатель
3-ий показатель
4-ый показатель
5-ый показатель
Этап №2. Однофакторная регрессия 1 шаг. Сравнение 1-го со 2-м: Моделирование экономических процессов с помощью математических зависимостей заключается в подборе вида функции, которая гипотетически описывает эти процессы. В нашем случае в качестве такой функции выбираем линейную зависимость между факторами. Для этого введем следующие показатели: Y – розничный товарооборот государственной и кооперативной торговли на душу населения Х – среднемесячная денежная заработная плата рабочих и служащих Тогда зависимость между ними будет характеризоваться следующим уравнением:
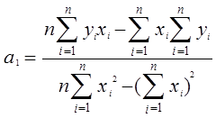
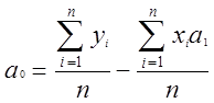
На основе данных, указанных в таблице 1, рассчитаем параметры модели, оценив ее статистическую надежность и адекватность реальным условиям. 2 шаг. Оценка параметров модели с помощью метода наименьших квадратов Параметры модели нужно оценить по методу наименьших квадратов, т.к. он обеспечивает минимальную дисперсию опытных данных и в случае линейных зависимостей является наилучшим.
3 шаг. Оценка значимости рассчитанных параметров Оценка параметров модели по данным формулам при помощи электронных таблиц Excel дает следующий результат: а0 =45,06 а1 =0,02 Следовательно, уравнение связи между факторами имеет следующий вид: У=45,06+0,02Х1 4 шаг. Тестирование модели. Рассчитаем коэффициент линейной корреляции. Коэффициент адекватности модели рассчитываем при помощи электронных таблиц Excel, используя надстройку. Анализ данных и получаем следующие значения: Таблица №3
Определение коэффициента детерминации. Он показывает изменение результирующего признака под действием факторного. Таким образом, действием фактора среднемесячной денежной заработной платы рабочих и служащих можно объяснить лишь 17,5% изменения результирующего признака - розничный товарооборот государственной и кооперативной торговли на душу населения. Вывод: анализ данной однофакторной модели показал, что она имеет низкую описательную силу. Выявлено наличие слабой связи между показателями среднемесячной денежной заработной платой рабочих и служащих и розничным товарооборотом государственной и кооперативной торговли на душу населения. 5 шаг.
Вывод: в результате анализа однофакторной эконометрической модели, характеризующей взаимосвязь между долей жителей в трудоспособном возрасте и среднемесячной денежной заработной платой рабочих и служащих, можно отметить, что модель имеет высокую описательную силу. Выявлена довольно значительная связь между этими показателями. Этап №3. Множественная линейная эконометрическая модель Для сложных систем характерно большое число входных параметров, влияющих на их состояние. Экономические явления представляют собой многофакторные системы, в которых состояние результирующего признака зависит от целой группы таких параметров. Поэтому для изучения процессов в экономике следует применять методы многофакторного анализа. В данном разделе работы проводится пример построения двухфакторной модели, как простейшего случая многофакторных систем. Y - розничный товарооборот государственной и кооперативной торговли на душу населения X1 - продажа алкогольных напитков на душу населения Х2 – среднемесячная денежная заработная плата рабочих и служащих Расчетные данные указаны в таблице:
Предположим, что между результирующим и факторными признаками существует линейная связь, выраженная уравнением: У = а0 + a1 x1 +a2 x2 Для расчета коэффициентов а0 ; a1 ; a2 применим метод наименьших квадратов. а0 = 1067,5 а1 = 175,1 а2 = 1,38 Следовательно, модель имеет следующий вид: У=1067,5+175,1Х1 +1,38Х2 1 шаг. Проверка на мультиколлинеарность Наиболее распространенным методом исследования модели на мультиколлинеарность является метод Феррара-Глобера. Проводим стандартизацию факторов:
Составляем матрицу В* = X*T X*.
Рассчитаем фактическое значение
Находим критическое значение
Сравнивая полученные значения, |























,