Курсовая работа: Расчет редуктора
|
Название: Расчет редуктора Раздел: Рефераты по транспорту Тип: курсовая работа | |||||||||||||||||||||||||
СодержаниеВведение.1. Кинематический расчет привода.1.1 Исходные данные:1.2 Выбор электродвигателя.1.3 Определение передаточного числа привода, и отдельных передач.1.4 Расчет кинематических параметров на каждом валу привода.1.5 Результаты кинематических расчетов сводим в таблицу:2.Расчет ременной передачи.2.1 Исходные данные:2.2 Выбор и обоснование типа ремня:2.3Расчет основных параметров клиноременной передачи.2.4 Рассчитываем силы действующие на валы:3. Расчет тихоходной цилиндрической зубчатой передачи.3.1 Исходные данные:3.2 Определение режима работы зубчатых колес.3.3 Выбор материала зубчатых колес:3.4 Определение коэффициентов нагрузок:3.5 Расчет основных параметров цилиндрической передачи.4. Расчет быстроходной зубчатой передачи.4.1 Исходные данные:4.2 Определение режима работы зубчатых колес.4.3 Выбор материала зубчатых колес.4.4 Определение коэффициентов нагрузок.4.5 Расчет основных параметров цилиндрической передачи.4.6 Геометрический расчет циклической передачи.4.7 Расчет сил зацепления.5. Ориентировочный расчет валов редуктора.5.1 Исходные данные:5.2 Расчет диаметров валов редуктора:5.3 Разработка конструкции вала.6. Эскизная компоновка редуктора.6.1 исходные данные:6.2 Построение схемы эскизной компоновки редуктора, и расчет всех размеров.7.Выбор подшипников качения.7.1 Исходные данные:7.2 Выбор типа подшипников:7.3 Составление расчетной схемы валов.7.4 Расчет подшипников по динамической грузоподъемности.8. Выбор соединения зубчатых колес, шкивов с валами.8.1 Исходные данные:8.2 Выбираем шпоночные соединения.9. Уточненный расчет ведомого вала.9.1 Исходные данные:9.2 разработка конструкции вала:9.3 выбор материала вала:9.4 Проверяем вал на выносливость в опасных сечениях:10. Выбор и обоснование посадок основных деталей редуктора.11. Смазка зубчатых колес и подшипников.12. Конструирование корпуса редуктора.13. Список литературы.Введение.Машиностроению принадлежит ведущая роль среди других отраслей народного хозяйства, т.к. основные производственные процессы выполняют машины. Поэтому и технический уровень всех отраслей народного хозяйства в значительной мере определяется уровнем развития машиностроения. На основе развития машиностроения осуществляются комплексная механизация и автоматизация производственных процессов в промышленности, строительстве, в сельском хозяйстве, на транспорте. Повышение эксплутационных и качественных показателей, сокращение времени разработки и внедрение новых машин, повышение их надежности и долговечности – основные задачи конструкторов – машиностроителей. Большие возможности для совершения труда конструкторов дает применение ЭВМ, позволяющее освободить конструкторов от не творческих операций, оптимизировать конструкции, автоматизировать значительную часть процесса проектирования. В данном курсовом проекте произведен расчет цилиндрического соосного редуктора с косозубыми зубчатыми колесами. Привод редуктора осуществляется электродвигателем через ременную передачу. 1. Кинематический расчет привода.1.1 Исходные данные:мощность на ведомом валу привода частота вращения ведомого вала передаточное число редуктора кинематическая схема 1.5[1]. 1.2 Выбор электродвигателя.Определяем требуемую мощность на валу двигателя:
где
Выбираем двигатель 4А160S6УЗ [2] стр.27, мощностью 11,0кВт; асинхронная частота вращения 975. Определяем асинхронную частоту вращения:
Определяем угловую скорость двигателя:
1.3 Определение передаточного числа привода, и отдельных передач.Определяем передаточное число привода:
Определяем передаточное число цилиндрической зубчатой передачи:
принимаем 4,0
Определяем передаточное число ременной передачи:
1.4 Расчет кинематических параметров на каждом валу привода.Определяем мощности на валах привода:
Определяем частоту вращения каждого вала:
Определяем угловую частоту вращения каждого вала:
Определяем крутящие моменты на валах привода:
1.5 Результаты кинематических расчетов сводим в таблицу:Таблица №1
2.Расчет ременной передачи.2.1 Исходные данные:
2.2 Выбор и обоснование типа ремня:Выбираем клиноременную передачу т.к. она передает больший крутящий момент. Выбираем сечение ремня «Б» с минимальным диаметром 125мм. 2.3Расчет основных параметров клиноременной передачи.Определяем диаметр меньшего шкива:
Определяем диаметр ведомого шкива:
принимаем 900мм. Уточняем передаточное отношение
Рассчитываем межосевое расстояние ременной передачи, и назначаем в интервале:
где:
Принимаем межосевое расстояние 1000мм. Определяем длину ремня по формуле:
Принимаем длину ремня 4000мм.Уточняем межосевое расстояние:
Рассчитываем угол обхвата меньшего шкива:
Выбираем для передачи заданной мощности число ремней:
где:
Принимаем 3 ремня. Рассчитываем предварительное натяжение ветвей клинового ремня:
где: V скорость в м/с,
2.4 Рассчитываем силы действующие на валы:
Определяем рабочий ресурс ремней:
3. Расчет тихоходной цилиндрической зубчатой передачи.3.1 Исходные данные:
Число смен 3; режим работы с(р); срок службы 4 года. 3.2 Определение режима работы зубчатых колес.Определяем коэффициент долговечности по контактной прочности:
где:
Определяем наработку: где:
где:
Определяем коэффициент долговечности по изгибу:
3.3 Выбор материала зубчатых колес:Выбираем сталь СТ-45, НВ 200мПа, Определяем допускаемые контактные напряжения.
где:
Определяем допускаемые напряжения на изгиб:
где:
3.4 Определение коэффициентов нагрузок:
где: Определяем ориентировочную скорость передачи:
где:
Выбираем степень точности 8 [2] стр 94. Определяем отношение для цилиндрической передачи:
По полученному отношению принимаем: Рассчитываем передачу на контактную выносливость:
Рассчитываем передачу на изгибочную выносливость:
По полученным данным принимаем следующие коэффициенты:
3.5 Расчет основных параметров цилиндрической передачи.Определяем крутящий момент:
Рассчитываем предварительное межосевое расстояние:
выбираем стандартное значение 400мм [2] стр. 51. Определяем ширину колеса:
Определяем ширину шестерни:
Определяем действительную скорость:
Определяем фактическое контактное нажатие:
Определяем разницу между фактическими и допускаемыми напряжениями:
Рассчитываем окружную силу:
Определяем модуль:
модуль получился слишком маленький, поэтому принимаем стандартное значение из условия: Определяем угол подъема линии зуба:
Определяем суммарное число зубьев:
Определяем окончательный угол подъема линии зуба.
Определяем фактический коэффициент осевого перекрытия:
Определяем число зубьев шестерни:
принимаем 31 зуб. Определяем число зубьев колеса:
Определяем фактическое передаточное число:
Определяем отклонение фактического передаточного числа от заданного:
Определяем коэффициент наклона зуба:
Определяем эквивалентное число зубьев:
смещение Определяем фактическое напряжение изгиба зубьев шестерни.
Определяем фактическое напряжение изгиба зубьев колеса.
3.6 геометрический расчет цилиндрической передачи.
Проверяем межосевое расстояние:
определяем диаметры вершин зубьев:
определяем впадины зубьев:
3.7 Расчет сил зацепления. J пределяем осевую силу:
определяем радиальную силу:
определяем нормальную силу:
4. Расчет быстроходной зубчатой передачи.4.1 Исходные данные:
4.2 Определение режима работы зубчатых колес.Определяем коэффициент долговечности по контактной прочности.
где:
Определяем наработку:
Определяем машинное время работы:
где:
принимаем 1 Определяем коэффициент долговечности по изгибу.
4.3 Выбор материала зубчатых колес.Выбираем сталь СТ-45, НВ-200, Определяем допускаемые контактные напряжения.
где: определяем допускаемые напряжения на изгиб:
где: 4.4 Определение коэффициентов нагрузок.
где: Определяем действительную скорость зубчатой передачи:
Выбираем степень точности «8» [2] стр. 94. определяем отношение для цилиндрической передачи:
из полученного отношения принимаем коэффициенты:
Рассчитываем передачу на контактную выносливость:
рассчитываем передачу на изгибочную выносливость:
принимаем коэффициенты:
4.5 Расчет основных параметров цилиндрической передачи.Определяем расчетный момент:
определяем ширину колеса и шестерни:
определяем фактическое нажатие:
определяем разницу между фактическими и допускаемыми напряжениями:
рассчитываем окружную силу:
определяем модуль:
принимаем модуль равный 4 [2] стр. 53. определяем угол подъема линии зуба:
суммарное число зубьев:
суммарное число зубьев принимаем: определяем окончательный угол подъема линии зуба:
определяем фактический коэффициент осевого перекрытия:
определяем число зубьев шестерни:
определяем число зубьев колеса:
определяем фактическое передаточное число:
определяем отклонение фактического передаточного числа от заданного:
определяем коэффициент наклона зубьев:
определяем эквивалентное число зубьев:
смещение определяем фактическое напряжение изгиба шестерни:
колеса:
4.6 Геометрический расчет циклической передачи.определяем делительные диаметры шестерни и колеса:
Проверяем межосевое расстояние:
определяем диаметр вершин зубьев:
определяем впадины зубьев:
4.7 Расчет сил зацепления.определяем осевую силу:
определяем радиальную силу:
определяем нормальную силу:
5. Ориентировочный расчет валов редуктора.5.1 Исходные данные:
5.2 Расчет диаметров валов редуктора:
где:
5.3 Разработка конструкции вала.Рассчитываем быстроходный вал:
диаметр буртика под шестерню принимаем Рассчитываем промежуточный вал:
диметр буртика колеса и шестерни принимаем:
где: диаметр под подшипник принимаем:
диаметр буртика под подшипник принимаем: Рассчитываем тихоходный вал:
6. Эскизная компоновка редуктора. 6.1 исходные данные:
6.2 Построение схемы эскизной компоновки редуктора, и расчет всех размеров.
7.Выбор подшипников качения.7.1 Исходные данные:
Быстроходный вал:
Промежуточный вал:
Тихоходный вал.
7.2 Выбор типа подшипников:Выбираем шариковые радиально упорные подшипники легкой серии. Они предназначены для восприятия радиальной нагрузки и односторонней осевой. Для фиксации вала в обе стороны устанавливаем подшипники попарно. Основные размеры подшипников:
7.3 Составление расчетной схемы валов.Быстроходный вал: Рассчитываем реакции в опорах:
рассчитываем суммарные реакции в опорах:
Промежуточный вал: Рассчитываем реакции в опорах:
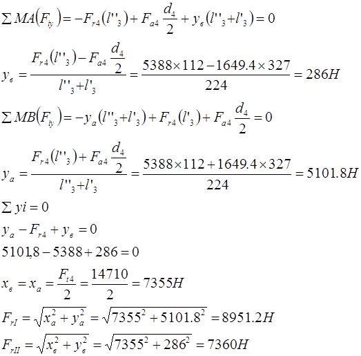
Тихоходный вал: Рассчитываем реакции в опорах:
7.4 Расчет подшипников по динамической грузоподъемности.Быстроходный вал:
Из отношения: Величине отношения: Осевые составляющие от радиальных нагрузок:
т.к.
Проверяем отношение: уточняем для первой опоры: следовательно: Эквивалентная нагрузка:
Для второй опоры:
следовательно:
т.к.
Промежуточный вал:
отношение:
т.к.
Тихоходный вал:
Осевая нагрузка действует на опору I отношение для этой опоры:
8. Выбор соединения зубчатых колес, шкивов с валами.8.1 Исходные данные:
8.2 Выбираем шпоночные соединения. [2] стр. 301-304.Для диаметра
длину шпонки принимаем: Проверяем шпонку на смятие:
Для диаметра
проверяем шпонку на смятие:
Для диаметра
длину шпонки принимаем: проверяем шпонку на смятие:
Для диаметра
длину шпонки принимаем: проверяем шпонку на смятие:
Для диаметра
длину шпонки принимаем: проверяем шпонку на смятие:
9. Уточненный расчет ведомого вала.9.1 Исходные данные:
9.2 разработка конструкции вала:ЭПЮРА ВАЛА.
9.3 выбор материала вала:Выбираем сталь ст-45 термообработка нормализация 9.4 Проверяем вал на выносливость в опасных сечениях:Нагрузки в сечении I:
Параметры сечения I:
Коэффициенты концентрации:
Параметры цикла напряжения:
Коэффициент влияния асимметрии цикла: [2] стр.293 Коэффициент запаса прочности:
Нагрузки в сечении II:
Параметры сечения II:
Коэффициенты концентрации:
Выбираем радиус галтели из стандартного ряда: из отношения:
Параметры цикла напряжения:
Коэффициент влияния асимметрии цикла: [2] стр.293 Коэффициент запаса прочности:
Нагрузки в сечении III
Параметры сечения III:
Коэффициенты концентрации:
Параметры цикла напряжения:
Коэффициент влияния асимметрии цикла: [2] стр.293 Коэффициент запаса прочности:
10. Выбор и обоснование посадок основных деталей редуктора.Выбираем посадку для подшипников с натягом, при этом исключается обкатывание кольцом сопрягающихся деталей и как следствие развальцовку посадочных поверхностей, и контактную коррозию. Поле допуска вал выбираем: 11. Смазка зубчатых колес и подшипников.Принимаем картерную систему смазки для зубчатых зацеплений:
где v- окружная скорость м/с выбираем вязкость V50
Тихоходное колесо погружаем на глубину равную Выбираем масло [3]стр. 148 Индустриальное И-30А. Подшипники будут смазываться этим же маслом, которое разбрызгивается и стекает по стенкам редуктора в подшипники. Масло заливается через смотровой люк, а сливается через коническую пробку размерами:
Контроль уровня масла производиться через контрольное отверстие. 12. Конструирование корпуса редуктора.Определяем толщину стенки нижней части:
принимаем толщина стенки крышки корпуса:
принимаем- толщина ребра у основания:
диаметр стяжных винтов:
принимаем: Расстояние между стяжными винтами:
толщина фланца по разъему:
диаметр фундаментного болта:
толщина лапы фундаментного болта:
Высота центров цилиндрического редуктора:
Уклон дна составляет: радиус спрягаемых деталей:
диаметр штифта:
2 штифта устанавливаются в удобное место как можно дальше друг от друга. ширину прилива для подшипников:
определяем диаметр крышки под подшипник:
диаметр прилива для повернутой крышки:
13. Список литературы.1. Методические указания. 2. С.А. Чернавский Проектирование механических передач, издательство машиностроение, 1984г. с изменениями. 3. П.Ф. Дунаев. Детали машин курсовое проектирование. Издание переработано и дополнено – высшей школой 1990г. |
;






























часов.

;
;

;
.















; принимаем 159 зубьев.


















принимаем 1
.
.









зуба.

зуба. Принимаем 










, принимаем:
, принимаем:
, принимаем: 





















, выбираем подшипник №36212 легкой серии.
, соответствует значение: 
,


часов.

применяем радиальные шариковые подшипники средней серии №313


применяем радиальные однорядные шариковые подшипники особо легкой серии №120, для которых:




.
.
.
.
.











, принимаем коэффициенты:












