Дипломная работа: Оцінка економічної ефективності інвестиційного проекту (на прикладі ВАТ "Дніпропетровський хлібозавод № 9")
|
Название: Оцінка економічної ефективності інвестиційного проекту (на прикладі ВАТ "Дніпропетровський хлібозавод № 9") Раздел: Рефераты по финансовым наукам Тип: дипломная работа | |||||||||||||||||||||||||||||||||||||||||||||||||||||||||||||||||||||||||||||||||||||||||||||||||||||||||||||||||||||||||||||||||||||||||||||||||||||||||||||||||||||||||||||||||||||||||||||||||||||||||||||||||||||||||||||||||||||||||||||||||||||||||||||||||||||||||||||||||||||||||||||||||||||||||||||||||||||||||||||||||||||||||||||||||||||||||||||||||||||||||||||||||||||||||||||||||||||||||||||||||||||||||||||||||||||||||||||||||||||||||||||||||||||||||||||||||||||||||||||||||||||||||||||||||||||||||||||||||||||||||||||||||||||||||||||||||||||||||||||||||||||||||||||||||||||||||||||||||||||||||||||||||||||||||||||||||||||||||||||||||||||||||||||||||||||||||||||||||||||||||||||||||||||||||||||||||||||||||||||||||||||||||||||||||||||||||||||||||||||||||||||||||||||||||||||||||||||||||||||||||||||||||||||||||||||||||||||||||||||||||||||||||||||||||||||||||||||||||||||||||||||||||||||||||||||||||||||||||||||||||||||||||||||||||||||||||||||||||||||||||||||||||||||||||||||||||||||||||||||||
Українська академія бізнесу та підприємництва Факультет___________________________________________ Кафедра ___________________________________________ Спеціальність __________________________________________ ДИПЛОМНА РОБОТА Тема: ОЦІНКА ЕКОНОМІЧНОЇ ЕФЕКТИВНОСТІ ІНВЕСТИЦІЙНОГО ПРОЕКТУ (на прикладі ВАТ “ДНІПРОПЕТРОВСЬКИЙ ХЛІБОЗАВОД № 9”) Студент(ка) _________________________________________ _________________________ ________________ Курс __________ , група _____________ . Науковий керівник: кандидат економічних наук, доцент _________________ “РОБОТА ДОПУЩЕНА ДО ЗАХИСТУ” Зав. кафедри _________________________________ Протокол № ______ від “___” _________ 200 __ р. Київ – 2008 АНОТАЦІЯ Дипломна робота на тему ОЦІНКА ЕКОНОМІЧНОЇ ЕФЕКТИВНОСТІ ІНВЕСТИЦІЙНОГО ПРОЕКТУ (на прикладі ВАТ “ДНІПРОПЕТРОВСЬКИЙ ХЛІБОЗАВОД № 9”) на 95 стор., 34 рисунки, 7 таблиць, 7 додатків на 40 стор.. Список використаної літератури з 47 джерел. Об’єкт дипломного дослідження – передінвестиційний (бізнес-план) етапи реалізації виробничого проекту модернізації хлібопекарських печей на базі модернізованої виробничої інфраструктури ВАТ “ДНІПРОПЕТ-РОВСЬКИЙ ХЛІБОЗАВОД № 9”. Предмет дипломного дослідження – технологія проектного менеджменту виробничих інвестиційних проектів та економічне обґрунтування бізнес-планів інвестиційних проектів. Мета роботи: вивчення сутності побудови і аналізу інвестиційної привабливості виробничих проектів на прикладі проекту підприємства ВАТ “ДНІПРО-ПЕТРОВСЬКИЙ ХЛІБОЗАВОД № 9” – зниження собівартості продукції при модернізації хлібопекарських печей. Інформаційно-методологічна база досліджень дипломної роботи— звітні документи ВАТ “ДНІПРОПЕТРОВСЬКИЙ ХЛІБОЗАВОД № 9” за 2005 - 2007 роки, інформація Інтернет-сайтів підприємств України по виробництву та реалізації хліба в Україні. Практична цінність отриманих в дипломному дослідженні результатів полягає в економічному обґрунтуванні доцільності впровадження нового обладнання на підприємстві ВАТ “Дніпропетровський хлібозавод №9”, за допомогою якого буде досягнутий рівень рентабельності акціонерного капіталу не нижчий рівня альтернативної ставки доходності капіталу в Україні, тобто підприємство стає інвестиційно привабливим і може розширювати обсяги акціонерного капіталу за рахунок додаткових емісій акцій. КЛЮЧОВІ СЛОВА: БІЗНЕС-ПЛАН, ІНВЕСТУВАННЯ, ПРОЕКТ. ЗМІСТ ВСТУП РОЗДІЛ 1. ОСНОВИ ПРОЕКТНОГО МЕНЕДЖМЕНТУ 1.1 Сутність інвестиційного проекту та етапи його реалізації 1.2 Методологія оцінки економічної ефективності інвестиційного проекту 1.3 Управління ризиками інвестиційних проектів РОЗДІЛ 2. АНАЛІЗ ДІЯЛЬНОСТІ ТА СОБІВАРТОСТІ ПРОДУКЦІЇ ВАТ “ДНІПРОПЕТРОВСЬКИЙ ХЛІБОЗАВОД №9” У 2005 – 2007 РОКАХ 2.1 Загальна характеристика ВАТ “Дніпропетровський хлібозавод №9” 2.2 Економічна діагностика ВАТ “Дніпропетровський хлібозавод №9” 2.3 Аналіз структури собівартості продукції 2.4 Аналіз динаміки зміни собівартості порівняльної продукції РОЗДІЛ 3. БІЗНЕС-ПЛАН ЗНИЖЕННЯ СОБІВАРТОСТІ ПРОДУКЦІЇ ВАТ “ДНІПРОПЕТРОВСЬКИЙ ХЛІБОЗАВОД № 9” 3.1 Специфіка державного регулювання та розвитку конкуренції на ринку хліба в Дніпропетровській області у 2003 - 2007 роках 3.2 Бізнес-план зниження собівартості продукції у 2008 році за рахунок впровадження нових типів хлібопекарень «ВОСХОД» ВИСНОВКИ. ПЕРЕЛІК ДЖЕРЕЛ ЛІТЕРАТУРИ ДОДАТКИ ВСТУП Сучасна організація може існувати й успішно конкурувати на ринку лише за умови постійного розвитку й адаптації до умов ведення бізнесу. А це означає, що керівництво підприємства, під час планування визначеної мети, постійно зіштовхується з відповідними управлінськими проблемами - як спланувати роботи в часі, які будуть потрібні ресурси, скільки ресурсів і коли саме, скільки це буде коштувати, коли відбуватимуться розрахунки з партнерами. Всі ці питання пов'язані з непевністю, що завжди присутня при реалізації проектів. Точне формулювання цілей і ефективне їхнє досягнення є запорукою успішного розвитку будь-якої компанії. Актуальність дослідження формування собівартості продукції підприємства та шляхів її зниження полягає в тому, що це основна складова загальної конкурентоспроможності підприємства в ринковій економіці і тільки вихід на ринок з конкурентноздатним товаром дає можливість підприємству вижити в умовах ринку. Об’єкт дипломного дослідження – передінвестиційні (бізнес-план) етапи реалізації виробничого проекту модернізації хлібопекарських печей на базі модернізованої виробничої інфраструктури ВАТ “ДНІПРОПЕТРОВСЬКИЙ ХЛІБОЗАВОД № 9”. Предмет дипломного дослідження – технологія проектного менеджменту виробничих інвестиційних проектів та економічне обґрунтування бізнес-планів інвестиційних проектів. Мета дипломної роботи: вивчення сутності побудови і аналізу інвестиційної привабливості виробничих проектів на прикладі проекту підприємства ВАТ “ДНІПРОПЕТРОВСЬКИЙ ХЛІБОЗАВОД № 9” – зниження собівартості продукції при модернізації хлібопекарських печей. Згідно завдання на дослідження дипломної роботи: В першому розділі роботи розглянуті теоретичні питання: - сутності та методології проектування виробничих інвестиційниїх проектів і оцінки їх ефективності та ризиківпри реалізації; 2. У другому розділі роботи: - проведений аналіз загальних характеристик ВАТ “Дніпропетровський хлібозавод №9”; - виконана економічна діагностика фінансово-економічного стану ВАТ “Дніпропетровський хлібозавод №9” у 2005 – 2007 роках; - проведений аналіз структури собівартості продукції та динаміки зміни собівартості порівняльної продукції у 2005 – 2007 роках; 3. У третьому розділі роботи: - досліджена специфіка державного регулювання та розвитку конкуренції на ринку хліба в Дніпропетровській області у 2003 - 2007 роках; - проведена оцінка обгрунтованості планового рівня собівартості продукції та відповідні шляхи її зниження; - обгрунтований бізнес-план проекту зниження рівня собівартості продукції та підвищення ефективності роботи підприємства за рахунок впровадження нових хлібопекарень «ВОСХОД -5000»; Інформаційно-методологічна база досліджень дипломної роботи— звітні документи ВАТ “ДНІПРОПЕТРОВСЬКИЙ ХЛІБОЗАВОД № 9” за 2005 - 2007 роки, інформація Інтернет-сайтів підприємств України по виробництву та реалізації хліба в Україні. Методи досліджень : проведення горизонтального(індексно-хронологічного) та вертикального(структурно-хронологічного) аналізу балансу та фінансової звітності підприємства, аналіз фінансових коефіцієнтів, калькуляційні розрахунки собівартості виробництва продукції, прогнозування інвестиційної привабливості бізнес-планів впровадження альтернативних варіантів нового обладнання. Практична цінність отриманих в дипломному дослідженні результатів полягає в економічному обґрунтуванні доцільності впровадження нового обладнання на підприємстві ВАТ “Дніпропетровський хлібозавод №9”, за допомогою якого буде досягнутий рівень рентабельності акціонерного капіталу не нижчий рівня альтернативної ставки доходності капіталу в Україні, тобто підприємство стає інвестиційно привабливим і може розширювати обсяги акціонерного капіталу за рахунок додаткових емісій акцій. При цьому, застосування багатоальтернативного аналізу ефективності застосування різних видів пекарських печей на природному газі, електроенергії та дизтопливі дозволило встановити, що навіть при піднятті вартості природного газу з рівня 50 дол.США/1000 м3 (2004 рік) до рівня 180 дол.США/ 1000м3(2008 рік) та одночасному піднятті вартості дизтоплива з 2,7 грн./л до 5,10 грн./л , а електроенергії з 22 коп/квтч до 65 коп/квтч– найефективнішою залишається хлібопекарська піч «Муссон-Ротор-5000» фірми «ВОСХОД» (Росія) на природному газі. РОЗДІЛ 1. ОСНОВИ ПРОЕКТНОГО МЕНЕДЖМЕНТУ 1.1 Сутність інвестиційного проекту та етапи його реалізації В системі відтворення, безвідносно до його суспільної форми, інвестиціям належить найважливіша роль в справі відновлення і збільшення виробничих ресурсів, а, відповідно, і забезпечення відповідних темпів економічного росту. Якщо уявити суспільне відтворення як систему виробництва, розподілу, обміну та споживання, то інвестиції, головним чином, стосуються першої ланки – виробництва, і, можна сказати, складають матеріальну основу його розвитку. Саме поняття інвестиції (від лат. Іnvestіo - одягаю) значить вкладення капіталу в галузі економіки як в самій країні так і за її межами [41]. Інвестиції – це грошові, майнові, інтелектуальні цінності, які вкладають в об’єкти підприємницької та інших видів діяльності з метою отримання прибутку. Їх можна робити в основні (будівлі, споруди, машини и й устаткування тощо) та оборотні (для формування виробничих запасів товарно – матеріальних цінностей тощо) фонди, у нематеріальні ресурси й активи (цінні папери. патенти, ліцензії тощо). Таким чином, інвестиціями вважаються ті економічні ресурси, які направлені на збільшення реального капіталу суспільства, тобто на розширення чи модернізацію виробничого апарату. Це може бути пов’язано з придбанням нових машин, будинків, транспортних засобів, а також з будівництвом доріг, мостів та інших інженерних споруд. Сюди також треба включити витрати на освіту, наукові дослідження та підготовку кадрів. Ці витрати представляють собою інвестиції в “людський капітал”, які на сучасному розвитку економіки набувають все більшого і більшого значення, тому що на сам кінець результатом людської діяльності виступають і будинки, і споруди, і машини, і устаткування, і саме головне, основний фактор сучасного економічного розвитку – інтелектуальний продукт, який визначає економічне положення країни в світовій ієрархії держав. Інвестиційна діяльність може здійснюватись за рахунок: - власних фінансових ресурсів інвестора (прибуток, амортизаційні відрахування, відшкодування збитків від аварій, стихійного лиха, грошові нагромадження і заощадження громадян, юридичних осіб тощо); - позичкових фінансових коштів інвестора (облігаційні позики, банківські та бюджетні кредити); - залучених фінансових коштів інвестора (кошти, одержані від продажу акцій, пайові та інші внески громадян і юридичних осіб); - бюджетних інвестиційних асигнувань; - безоплатних та благодійних внесків, пожертвувань організацій, підприємств і громадян. Основний зміст діяльності інвестора в галузі реальних інвестицій можна охарактеризувати поняттям – “інвестиційний процес”, що складається з [22]: а) Формування інвестиційної стратегії на основі цілей і обмежень діяльності організації, а також тих можливостей, що надаються ринком. б) Аналізу інвестицій, що припускає аналіз ринку в цілому, його сегментів, окремих виробництв та товарів. в) Формування інвестиційного портфеля. г) Керування інвестиційним портфелем. д) Оцінки ефективності інвестиційної діяльності. Основними цілями інвестиційної діяльності є [41]: - безпека чи надійність вкладень; - прибутковість вкладень; - збільшення ринкової вартості вкладень; ліквідність вкладень. Часто виділяються наступні стратегії інвестування: - консервативна стратегія, що акцентує основну увагу на забезпечені безпеки вкладень; - помірковано агресивна, при якій баланс "прибутковість - ризик" зміщений убік забезпечення визначеної, заданої безпеки вкладень; - агресивні стратегії, цілі забезпечення деякої заданої мінімальної припустимої прибутковості вкладень. Різновидом цього виду стратегій є витончена стратегія, що ставить метою максимізувати одержання доходу на шкоду можливому ризику. Обрана стратегія інвестування багато в чому визначає і совокупність конкретних засобів і методів, якими інвестор керується . Інвестиційна стратегія – це система довгострокових цілей інвестиційної діяльності та вибір найбільш ефективних шляхів досягнення цих цілей. Інвестиційна стратегія підприємства повинна бути орієнтована на стратегічні інтереси організації та реалізовуватись шляхом відбору відповідних проектів та програм. Формування інвестиційної стратегії являє собою складний процес, який грунтується на прогнозуванні окремих умов здійснення інвестиційної діяльност, вивченні кон’юнктури ринку та складанні стратегічного плану організації. Інвестиційний проект – це засіб, організаційна форма досягнення цілей інвестиційної стратегії підприємства. Зазвичай, проекти ініціюються усередині компаній, але можуть припускати участь декількох зацікавлених організацій. Проект – це спільність дій і задач, що внаслідок їх унікальности і неповторності мають наступні відмітні ознаки [15]: - чіткі цілі, що досягаються одночасним виконанням визначених технічних, економічних і інших вимог; - внутрішні і зовнішні взаємозв'язки задач, робіт, операцій і ресурсів, що вимагають чіткої координації в процесі реалізації проекту; - визначені терміни початку і завершення проекту, а також обмеження ресурсів; - визначений ступінь унікальності проекту й умов його здійснення; В основі будь-якого проекту лежить необхідність задоволення потреб, тому на стадії ідентифікації формуються ідеї, котрі скеровані на розв'язання виниклих проблем незадоволеності. Після відсіву гірших варіантів ідей треба уточнити деталі, відібрати найкращі ідеї проекту, зробити їх попередній аналіз. Цикл проекту (ЦП) є базовим елементом концепції проектного аналізу. Життєвий цикл проекту — це час від першої затрати до останньої вигоди проекту. Він відображає розвиток проекту, роботи, які провадяться на різних стадіях підготовки, реалізації та експлуатації проекту. До поняття ЦП входить визначення різних стадій розробки й реалізації проекту. ЦП являє собою певну схему або алгоритм, за допомогою якого відбувається встановлення певної послідовності дій при розробці та впровадженні проекту. Ступінь деталізації і термінологія опису відповідних процедур залежать від характеру проекту, предметної культури, поставлених завдань, наявних ресурсів і, можливо, уподобань та смаків проектного аналітика. Головне в процесі виділення фаз, стадій та етапів проекту полягає у позначенні деяких контрольних точок, під час проходження яких використовується додаткова (зовнішня) інформація і визначаються або оцінюються можливі напрями розвитку проекту. В будь-якому разі, прийнятий поділ відображає взаємодію проекту з середовищем (діючий механізм регулювання економіки країни, політика держави, існуюче становище в економіці тощо). У загальному вигляді проект повинен представляти синтез трьох самостійних структур: організації процесу створення проекту, процесу розробки й реалізації, результату. У проекті можна відокремити два великих блоки робіт [55]: основна діяльність по проекту; забезпечення проекту. Основна діяльність по проекті містить : доінвестиційні дослідження; планування проекту; розробка технічної, проектної і бюджетної документації; проведення торгів і заключення контрактів; матеріалізація проекту (будівельно-монтажні роботи); виконання пуско-налагоджувальних робіт; здача проекту; експлуатація проекту; випуск продукції; ремонт устаткування; розвиток виробництва; демонтаж устаткування(закриття проекту); Забезпечення проекту містить : організаційну діяльність; правове забезпечення; фінансове забезпечення; матеріально-технічне забезпечення; комерційну(маркетингову) діяльність; кадрове забезпечення; інформаційне забезпечення. До основних стадій проектів відносяться : доінвестиційна стадія; стадія реалізації; стадія експлуатації; Доінвестиційна фаза проекту поєднує : вивчення прогнозів і напрямків розвитку фірми, регіону,країни; аналіз умов для впровадження початкового задуму; розробка концепцій проекту; розробка бізнес-плану проекту і попереднє обґрунтування інвестицій – оцінка життєздатності проекту; вибір і обґрунтування місця розміщення проекту; екологічне обґрунтування; аналіз і перспективу; попереднє інвестиційне рішення; розробка попереднього плану реалізації проекту; На доінвестиційній фазі проекту випускаються 4 основні документи : - аналіз інвестиційних можливостей; бізнес-план з попереднім техніко-економічним обґрунтуванням; уточнене техніко-економічне обґрунтування; доповідь з питань інвестиційних можливостей; Інвестиційна стадія проекту містить чотири великих блоки робіт: 1) розробка проектної документації і підготовка проекту до матеріальної реалізації (будівництво); 2) проведення торгів, заключення контрактів, організація закупівель і постачань; 3) матеріалізація проекту(будівельно-монтажні роботи); 4) завершення реалізації проектних рішень; До 1-го блоку відносяться : розробка плану проектно-дослідницьких робіт; підготовка завдання на розробку техніко-економічного обґрунтування; розробка ТЕО; узгодження, експертиза і твердження ТЕО, а також завдання на проектування; ухвалення остаточного рішення про інвестування; відведення земельної ділянки під будівництво; підготовка завдання на розробку проекту виконання робіт; розробка плану реалізації проекту; До 2-го блоку відносяться наступні роботи : проведення тендерів і заключення контрактів на проведення проектно- дослідницьких робіт; планування постачання устаткування і виконання підрядних робіт; розробка планів (графіків) постачання устаткування; До 3-го блоку відносяться наступні роботи: розробка оперативних планів матеріалізації проекту (будівництва); складання різних графіків використання робочої сили, машин і устаткування; постачання ресурсів і матеріалів; матеріалізація проекту (виконання будівельно-монтажних робіт); моніторинг і контроль; До 4-го блоку відносяться наступні роботи : пуско-налагоджувальні роботи; здача об'єкта замовнику; мобілізація ресурсів і аналіз результатів реалізації проекту; Стадія експлуатації містить наступні етапи проекту : експлуатація; ремонт і розвиток виробництва; закриття проекту ( демонтаж, ліквідація); У більшості проектів важливу роль відіграють шість стадій - це ідентифікація, розробка, експертиза, переговори, реалізація та завершальна оцінка. Ці стадії об'єднані в дві фази: фаза проектування — перші три стадії; фаза впровадження — останні три стадії. Перша стадія циклу — ідентифікація— стосується вибору або генерування таких ґрунтовних ідей, які можуть забезпечити виконання важливих завдань розвитку. На цій стадії слід скласти перелік усіх можливих ідей, придатних для досягнення цілей економічного розвитку. На подальших стадіях циклу проекту ці та інші ідеї буде уточнено і піддано дедалі ретельнішому аналізові в міру просування по стадіях проекту з метою остаточного визначення тієї комбінації заходів, що найкращим чином забезпечить досягнення цілей проекту. Ідеї, відображені на першій стадії, повинні відповідати деяким широким критеріям здорового глузду, а саме умовам, що прибуток від реалізації проекту перевищить витрати на його здійснення. Таким чином, перша стадія циклу проекту виходить з чіткого формулювання цілей і тим самим утворює місток поміж аналізом економічної політики держави та аналізом здійснимості проекту. Завдання аналізу економічної політики полягає у встановленні пріоритетних цілей економічного розвитку та дослідженні тих змін у політиці й керівництві, які потрібні для виконання цих завдань. Аналіз можливості здійснення проекту передбачає оцінку цих завдань шляхом порівняння альтернативних засобів їх виконання та вибір найвигідніших варіантів. Після того, як проект пройшов першу стадію циклу (ідентифікацію), необхідно прийняти рішення, чи варто продовжувати розгляд ідеї. Розпочинається стадія розробки. Для цього потрібне послідовне уточнення проекту за всіма його параметрами, а саме за його технічними характеристиками, врахування його впливу на довколишнє середовище, ефективності та фінансової здійснимості, прийнятності з соціальних і культурних міркувань, а також масштабності організаційних заходів. Розробка проекту включає звуження кола запропонованих на першій стадії циклу ідей шляхом детальнішого їх вивчення. Можливе проведення кількох типів досліджень, у тому числі попереднє інженерне проектування, аналіз економічної та фінансової здійснимості, розгляд систем адміністративного управління, які необхідні для успішного здійснення проекту та подальшої його експлуатації, оцінка альтернативних варіантів під поглядом захисту навколишнього середовища, оцінка впливу проекту на місцеве населення та його найвразливіші групи тощо. Чим більше ми знаємо про різні підходи до управління проектом, тим більше можливості маємо забракувати невдалі варіанти й приступити до детального вивчення обраного проекту. Експертиза забезпечує остаточну оцінку всіх аспектів проекту перед запитом чи рішенням про його фінансування. На заключному етапі розробки проекту готується детальне обґрунтування його доцільності та здійснимості із зазначенням тих компонентів проекту, які дадуть максимальний прибуток. На стадії експертизи увага, як правило, зосереджується на оптимальному варіанті. Провадиться докладне вивчення фінансово-економічної ефективності, факторів невизначеності й ризиків, а також окремих змін у керівництві або політиці, які можуть вплинути на успіх здійснення проекту. На стадії переговорів інвестор і замовник, який хоче одержати фінансування під проект, докладають зусиль для того, щоб дійти згоди щодо заходів, необхідних для забезпечення успіху проекту. Досягнуті домовленості потім оформлюються як документально застережені юридичні зобов'язання. Після проведення переговорів складається протокол намірів, меморандум або інші документи, що відображають досягнуті домовленості. Під реалізацією проекту розуміють виконання необхідних робіт для досягнення його цілей. На стадії реалізації провадиться контроль і нагляд за всіма видами робіт чи діяльності в міру розвитку проекту. Порядок проведення контролю та інспекції має бути погоджено на стадії переговорів. На стадії завершальної оцінки визначається ступінь досягнення цілей проекту, із набутого досвіду робляться висновки для його використання в подальших проектах. У перебігу цієї стадії треба порівняти фактичні результати проекту із запланованими. Управління проектом припускає його розбивку на окремі блоки, які є самостійними об'єктами планування, обліку, організації й координування, тобто побудову структури проекту. Структура проекту – це сукупність взаємопов’язаних елементів і процесів проекту, які представлені з різним ступенем деталізації. В термінах управління проектами структура проекту являє собою “дерево” орієнтованих на продукт компонентів, представлених обладнанням, роботами, послугами й інформацією, отриманими в результаті реалізації проекту. Структура проекту повинна відповідати наступним вимогам: - кожний рівень ієрархії повинен мати закінчений вигляд або охоплювати всю суму частин проекту, що представлені на даному рівні деталізації; - сума характеристик елементів проекту на кожному рівні ієрархії структури повинна бути рівною; - нижній рівень декомпозиції проекту повинен містити елементи (модулі), на основі яких можуть бути чітко визначені всі дані, що необхідні та достатні для управління проектами (функціональні характеристики, обсяги робіт, вартість, необхідні ресурси, виконавці, зв'язки з іншими елементами і т.д.). Декомпозиція проекту означає поділ проекту на окремі компоненти, елементи, модулі, тобто виокремлення окремих рівнів ієрархії. Прийнята структура проекту з виділеною ієрархією постійних елементів утворить основу інформаційної мови проекту, на якій будуть спілкуватись всі учасники проекту і буде вестись документація. Найбільш важливими сферами використання структурних моделей проекту є: - пошук, визначення та аналіз цілей проекту; - побудова та вибір альтернативних рішень щодо реалізації проекту; - попереднє планування проекту за укрупненими моделями (фазовими, сітьовими і т.д.); - визначення ресурсів, термінів, вартості робіт; - проектний аналіз (визначення життєздатності проекту); - фінансовий план проекту; - організація проекту; - проектні роботи і система документації проекту; - детальне планування робіт (календарні плани робіт, графіки постачання, бюджетування); - підписання й управління контрактами; - оперативне планування робіт; - моніторинг проекту; - регулювання ходу робіт; - управління забезпеченням проекту; - складання виконавчих (фактичних) моделей і графіків, аналіз результатів та накопичення досвіду. Такий перелік використання структурних моделей неповний, але яскраво відображає важливість ролі структурних моделей і методології управління проектами. Структуризація проекту дозволяє більш конкретно сформувати для всіх учасників проекту перелік виконуваних ними робіт, проміжні і кінцеві результати, які повинні бути отримані ними на визначених стадіях створення проекту, а також встановити між роботами раціональні інформаційні зв'язки. Вона передбачає розробку робочої структури (Work Breakdown Structure – WBS), організаційної структури проекту (Organіzatіon Breakdown Structure ‑ OBS) та затратної структури (Cost Breakdown Structure – CBS) [23]. Структуризація проекту — досить складний процес, оскільки він повинний враховувати всі елементи і параметри проекту: результати проекту; стадії й етапи життєвого циклу; організаційну структуру управління; ресурси на розробку й реалізацію; умови зовнішнього й внутрішнього середовищ, у яких здійснюється розробка і реалізація проекту й багато інших факторів. Тобто структуризація проекту є одним з інструментів організації проекту, основою створення системи управління проектом в цілому (через запровадьження схеми тотальної інтеграції), інструментом управління персоналом проекту. Виробнича структура (WBS) – це ієрархічна структура, побудована з метою логічного розподілу усіх робіт з виконання проекту і подана у графічному вигляді. Це сукупність декількох рівнів, кожний з яких формується в результаті розподілу роботи попереднього рівня на її складові. Основні етапи розробки виробничої структури: 1. Визначення ступеня деталізації проектних робіт; 2. Визначення кількості рівнів; 3. Розробка структури кожного рівня; 4. Підготовка опису елементів виробничої структури; 5. Формування системи кодування; 6. Проведення зворотних обчислень (затрати знизу доверху за принципом: відділ локалізації - субпідрядник). На сьогодні використовується два основних підходи при застосуванні цього методу: 1. Створення тільки виробничої структури (структуризація в одному розрізі); 2. Створення виробничої і організаційної структур (у розрізі – проект і організаційні підрозділи). На основі цих підходів використовують структуру витрат CBS та багаторівневий підхід для мультинаціональних проектів. У загальному вигляді проект повинний представляти синтез трьох самостійних структур: організації процесу створення проекту, процесу розробки й реалізації, результату. Для структуризації проекту використовується ряд спеціальних моделей [21]: 1. “Дерево цілей” — схеми цілей, підцілей по рівнях. Основне правило розбиття — повнота: кожна мета верхнього рівня повинна бути представлена повним набором підцілей. 2. “Дерево рішень” — схеми задач оптимізації багатокрокового процесу реалізації проекту. “Гілки дерева” відображають події, які можуть мати місце, а вузли (вершини) ‑ точки, в яких виникає необхідність вибору. 3. “Дерево робіт” (структура поділу робіт або WBS/СПР) — включає дві ієрархічні схеми, які між собою пов'язані певним чином: ієрархія виробів та ієрархія робіт. Нижній рівень ієрархії робіт відповідає пакетам робіт, які необхідні при розробці сітьового графіка. Пакет робіт може бути самостійною фінансовою одиницею і повинен мати окремий кошторис та звіт про витрати. СПР — основа для розробки структурної схеми адміністративного управління проекту. 4. Організаційна структура виконавців (ОСВ/OBS ) — в цій схемі керівник — нульовий рівень. На більш низьких рівнях — відділи, необхідні для функціонального управління роботами. Ці рівні іноді відповідають рівням СПР. Мета ОСВ — визначити виконавців, відповідальних за виконання робіт. 5. Матриця відповідальності — пов'язує пакети робіт з організаціями-виконавцями. Складається на основі СПР і ОСВ. Використовується для контролю відповідності розподілу ролей цілям проекту. На верхньому рівні розподіляються ролі та відповідальність по елементах ІСР. На нижньому – по операціях проекту. 6. Сітьова модель — на основі СПР і ОСВ, дерева цілей і робіт складають Сітьовий графік вузлових подій. Доцільно складати, крім загального (повного), сіткові графіки окремих пакетів робіт, які називаються сітьовими блоками або підсітями. Це забезпечує можливість проведення ефективного контролю, дозволяє більше уваги приділяти управлінню найбільш важливими (критичними) підсітями, замінивши процедуру постійного контролю всього сітьового графіку та значно економлячи час. 7. Структура споживання ресурсів — ієрархічно побудований графік, який фіксує необхідні на кожному рівні ресурси. Використовується для аналізу коштів, необхідних для досягнення цілей та підцілей проекту. Наприклад: 1-й рівень – фінансові ресурси; 2-й рівень — матеріально-технічні та трудові ресурси; 3-й рівень – будівельні матеріали, машини, обладнання; 4-й рівень — складуємі та нескладуємі витратні ресурси. 8. Структура витрат — ієрархічний графік, який фіксує вартість елементів проекту на кожному рівні. Здійснити на практиці структуризацію не так легко, як здається на перший погляд. Здійснення цього процесу є порівняно легшим стосовно “відчуваних” (речовинних) проектів, що пов’язані з будівництвом, наприклад, а не з розробкою програмного забезпечення (“інтелектуальних” проектів). Двоспрямована структуризація проекту полягає в поєднанні робочої та організаційної структури проекту. Вона передбачає [13]: - робочу структуру проекту (WBS); - організаційну структуру проекту (OBS); - облік витрат; - описання робочих пакетів; - систему кодування; - словник використання СTR-WBS (каталог “Витрати-час-ресурси”). WBS – це Структура Декомпозиції Робіт (WorkBreakdownStructure), або робоча структура проекту. WBS — це спосіб опису цілей і задач проекту шляхом його декомпозиції в термінах ієрархічно взаємозалежних результатів і пакетів робіт, виконання яких необхідно для реалізації проекту. Кожен елемент WBS (пакет робіт) являє собою деякий обсяг робіт для оцінки і виміру виконання, а також витрат, зв'язаних з досягненням цілей проекту. WBS розробляється шляхом ітераційного розгляду цілей і результатів проекту, критеріїв планування/досягнення функціональності, обсягу робіт, реалізації технічних вимог і інших технічних атрибутів. Верхні рівні WBS можуть бути розроблені на ранній, концептуальній стадії проекту. Подальша деталізація WBS можлива, як тільки буде визначені проект і підготовлені специфікації. Основний процес розробки WBS складається з наступних кроків: - Перший крок— визначення кінцевих результатів проекту — що повинно бути зроблене (поставлене) для забезпечення успішного завершення проекту. Як керівництво рекомендується проаналізувати, розглянути документи, що описують загальний обсяг робіт із проекту. - Другий крок— визначення основних пакетів робіт, необхідних для одержання кінцевих результатів (продуктів) проекту. Часто такими основними пакетами робіт є результати, необхідні для створення результату проекту, але разом з тим, самі по собі вони не є цілями проекту (наприклад технічні вимоги до розробки). - Третій крок — об'єднання додаткових рівнів деталізації відповідно до внутрішньої системи керування і єдиною системою контролю. Такі елементи звичайно зв'язані з чітким і роздільним визначенням окремих результатів (продуктів) проекту. - Четвертий крок— перегляд (аналіз) і удосконалення WBS доти, поки всі учасники проекту не будуть згодні, що планування проекту може бути успішно довершено, і можна буде успішно керувати, контролювати і регулювати одержувані результати. OBS — це ієрархічне представлення структури керування проектами. Через відповідального виконавця, обумовленого в ієрархії OBS, визначаються привілеї і права доступу користувачів до вузлів і проектів в ієрархії структури проектів підприємства (EPS). Організаційна структура будується аналогічно робочій структурі. Тобто на першому рівні відображається організаційна структура, як єдиний елемент, а на нижчих рівнях відбувається поділ структури на основні елементи. Розподіл WBS здійснюється до робочого пакета, а OBS – до рівня груп, які виконують найнижчий рівень робіт. Кількість рівнів залежить від розміру проекту. Поєднання робочої та організаційної структур дає можливість інтегрувати, планувати, контролювати роботу та порівнювати її виконання по підрозділах і в цілому по організації. Якщо зобразити робочу структуру по горизонталі, а організаційну структуру – по вертикалі, то отримаємо на перетині елементи двоспрямованої структури. Кожна з них має свої ресурси, свій бюджет, що створює систему обліку витрат. За це відповідає менеджер-обліковець, який входить до складу адміністративної групи. Зі створенням структур WBS і OBS та кодуванням потрібно створити CTR - словник, який визначав би елементи й облік витрат. Словник може бути розширений визначенням обсягу робіт, витрат, ресурсів та обмежень за часом. Це може бути подано у вигляді каталогу “Витрати – час – ресурси”. Триспрямована структура проекту створюється додаванням до двоспрямованої структури третьої – структури витрат (Cost Breakdown Structure — CBS). CBS утворюється за алгоритмом, аналогічним алгоритму кодування WBS і OBS. Перший рівень – це всі витрати на проект. Другий рівень – основні елементи CBS: матеріали, вузли, комплектуючі; витрати на утримання устаткування; трудові витрати; інші витрати. Третій та четвертий рівень – подальша розбивка. Ця структура дає можливість збирати інформацію про витрати, аналізувати та готувати звіти по витратах будь-якого з підрозділів або елементу робіт. RBS - це структура ресурсів підприємства, що визначає всі ресурси, доступні для роботи з проектом - класифікуючи їх як робочу силу, машино-механізми або матеріали. Діаграма Ганта (CBS – проект) і ресурсний профіль (RBS- проект) допомагають акцентувати увагу на визначених ресурсах, необхідних для виконання робіт. Досить часто RBS (Resources Breakdown Structure) фактично відповідає організаційній структурі керування проектом OBS (Organіzatіon Breakdown Structure), або структурі проектної групи, і використовується для попереднього призначення задачам групових ресурсів з метою уточнення оцінки загальних термінів виконання, а іноді і бюджету. На основі сітьового графіка будується діаграма Ганта з наведенням усіх необхідних параметрів і логічних зв'язків. Формуються за необхідності можливі шляхи скорочення тривалості окремих робіт і проекту в цілому. Розглядається потреба в ресурсах з наведенням ресурсних гістограм. На основі визначення потреби в ресурсах визначаються витрати по роботах за основними елементами. Будується бюджет з розподілом у часі по ранніх та пізніх строках, наводяться відповідні (бананоподібні) графіки. Сітьове планування – одна з форм графічного відображення змісту робіт і тривалості виконання планів і довгострокових комплексів проектних, планових, організаційних та інших видів діяльності підприємства, яка забезпечує наступну оптимізацію розробленого графіка на основі економіко-математичних методів та комп’ютерної техніки [47]. Сітьова модель – це множина поєднаних між собою елементів для опису технологічної залежності окремих робіт і етапів майбутніх проектів. Основним плановим документом системи сітьового планування є Сітьовий графік, що являє собою інформаційно-динамічну модель, яка відображає всі логічні взаємозв’язки та результати робіт, необхідні для досягнення кінцевої мети планування. Роботами у сітьовому графіку називаються будь-які виробничі процеси чи інші дії, які призводять до досягнення певних результатів, подій. Роботою слід вважати і можливі очікування початку наступних процесів, пов’язані з перервами чи додатковими витратами часу. Подіями називаються кінцеві результати попередніх робіт. Подія являє собою момент завершення планової дії. Події бувають початковими, кінцевими, простими, складними, проміжними, попередніми, наступними і т.д. На всіх сітьових графіках важливим показником є шлях, що визначає послідовність робіт чи подій, в якій результат однієї стадії збігається з початковим показником наступної за нею іншої фази. На будь-якому графіку прийнято розрізняти декілька шляхів: - повний шлях від початкової до кінцевої події; - шлях, що передує даній події від початкової; - шлях, наступний за даною подією до кінцевої; - шлях між декількома подіями; - критичний шлях від початкової до кінцевої події максимальної тривалості. Залежно від способу зображення існують такі види сітьових графіків: - стрільчаті графіки; - графіки передування. Стрільчаті графіки почали застосовуватись у 50-х роках. Вони мали вигляд зображення роботи у вигляді стрілки, а зв’язки між роботами зображались у вигляді кіл та мали назву подій, які мали порядкові номери . Графіки передування почали використовуватися у 60-х роках минулого століття. На відміну від стрільчатих, роботи подано у вигляді прямокутників, а стрілками позначають логічні зв’язки. Календарне планування — це процес складання й коригування розкладу, в якому роботи, що виконуються різними організаціями, взаємопов’язуються між собою в часі і з можливостями їх забезпечення різними видами матеріально-технічних та трудових ресурсів. При календарному плануванні обов’язково повинно враховуватись дотримання заданих обмежень (тривалість робіт, ліміти ресурсів тощо) та оптимальний розподіл ресурсів. В більшості складних календарних планів існують до 6 варіантів моментів початку, закінчення, тривалості робіт та резервів часу. Це – ранні, пізні, базові, планові і фактичні дати, реальний та вільний резерв часу. Методи розрахунку сітьових моделей дозволяють розраховувати тільки ранні та пізні дати. Базові та поточні планові дати необхідно вибирати з врахуванням інших факторів. Існує три варіанти вибору: 1. Календарний план за датою раннього початку. Використовується для стимулювання виконавців проекту; 2. Календарний план за датою пізнього завершення. Використовується для представлення виконання проекту в кращому вигляді для споживача; 3. Календарний план, який вибирається для представлення замовнику найбільш ймовірного закінчення. Дата раннього початку – це найбільш рання дата, коли робота може бути розпочата. Якщо до неї додати тривалість роботи, отримаємо дату її раннього завершення. Через те, що виконання роботи можезалежати від завершення якогось її елемента, існує остання дата, коли робота може бути завершена без затримки роботи проекту. Ця дата обчислюється як сума дати пізнього початку та тривалості виконання роботи. Робота з нульовим резервом часу називається критичною, її тривалість визначає тривалість реалізації проекту загалом. Критична тривалість – мінімальна тривалість, протягом якої може бути виконаний весь комплекс робіт проекту [47]. Критичний шлях — шлях у сітьовій моделі, тривалість якого рівна критичній. Роботи, що лежать на критичному шляху називаються критичними. Метод критичного шляху є основним для розрахунку ранніх та пізніх початків та закінчень робіт та резервів часу. Календарний план як перелік тільки планових параметрів проектних робіт втрачає свій сенс без порівняння з фактичними термінами виконання, тому частіше говорять про календарний графік. Він відбиває планові та фактичні дані про початок, кінець і тривалість кожного робочого елементу. Існують різні способи відображення календарного плану: 1. Табличний. У таблиці подається перелік робіт на певному рівні WBS за датами початку, кінця, тривалості по кожній з робіт. 2. Діаграмний. Подання у вигляді діаграм Ганта (названа за ім’ям німецького інженера Генрі Ганта який, вперше запропонував цей інструмент календарного планування проектів). Позитивними рисами діаграми Ганта є легкість побудови та читання, наочність подання перебігу виконання робіт за проектом, дає зрозуміти ідею запасу часу і його використання, є прекрасним засобом планування й контролю, передумовою календарного планування потреб у ресурсах. 1.2 Методологія оцінки економічної ефективності інвестиційного проекту Фінансове інвестування в реальний інвестиційний проект виконується задовго до реального початку його здійснення. Реалізація проекту може тривати роками й десятиріччями, тому в розрахунках повинна враховуватись різноцінність валюти в часі, яка пояснюється такими причинами [41]: зниження купівельної спроможності й загальне підвищення цін; отримання процентного прибутку (якщо гривню віднести в банк); ризик (кредитор може не виконати свої боргові зобов’язання). Так чи інакше, відбувається зміна цінності національної валюти, тож у проектному аналізі це необхідно враховувати. У проектному аналізі прийнятий метод порівнювання різночасових грошей, так зване дисконтування [37]. Майбутня вартість Мв сьогоднішніх грошей визначається за формулою:
де Св – сьогоднішня вартість суми грошей, що інвестуються; r – постійна норма дисконту, що дорівнює прийнятій для інвестора нормі прибутку на капітал; t – тривалість розрахункового періоду (в роках); Сьогоднішня цінність Св майбутніх грошей визначається таким чином:
Перерахунок поточних і майбутніх сум в еквівалентній вартості шляхом дисконтування дозволяє визначити цінність проектів на основі поточних і майбутніх витрат і результатів. Підраховані за кожний рік життя проекту, вони дисконтуються, а потім підсумовуються з метою одержання загального показника цінності проекту, на основі якого роблять висновок щодо прийнятності проекту. Критерії, що використовуються в аналізі інвестиційної діяльності, можна підрозділити на дві групи в залежності від того враховується чи ні часовий параметр: 1) засновані на дисконтованих оцінках; 2) засновані на облікових оцінках. До першої групи відносяться критерії: чистий приведений ефект (Net Present Value, NPV); індекс рентабельності інвестиції (Probabіlіty Іndex, PІ); внутрішня норма прибутку (Іnternal Rate of Return, ІRR); модифікована внутрішня норма прибутку (Modіfіed Іnternal Rate of Return, MІRR); дисконтований строк окупності інвестиції (Dіscounted Payback Perіod, DPP). До другої групи відносяться критерії: строк окупності інвестиції (Payback Perіod, PP); коефіцієнт ефективності інвестиції (Accountіng Rate of Return, ARR). а) Метод розрахунку чистого приведеного ефекту(ЧДД) Цей метод заснований на зіставленні величини вихідної інвестиції (ІC) із загальною сумою дисконтованих чистих грошових надходжень, генерованих нею протягом прогнозованого періоду. Оскільки приплив коштів розподілений у часі, він дисконтується за допомогою коефіцієнта r, встановлюваного інвестором самостійно виходячи зі щорічного відсотка повернення, який він хоче чи може мати на інвестований їм капітал. Припустимо робиться прогноз про те, що інвестиція (ІC) буде генерувати протягом n років річні доходи в розмірі Р1 , Р2 , …, Рn . Загальна накопичена величина дисконтованих доходів (Present Value, PV) і чистий приведений ефект (Net Present Value, NPV= ЧДД –чистий дисконтований доход) відповідно розраховуються по формулах [34]:
Якщо NPV>0, то проект варто прийняти; якщо NPV<0, то проект варто відкинути; NPV=0, то проект ні прибутковий, ні збитковий. Дамо економічне трактування критерію NPV з позиції власників компанії, що по суті і визначає логіку критерію NPV: якщо NPV<0, то у випадку прийняття проекту цінність компанії зменшиться, тобто власники компанії понесуть збиток; якщо NPV=0, то у випадку прийняття проекту цінність компанії не зміниться, тобто добробут її власників залишиться на колишньому рівні; якщо NPV<0, то у випадку прийняття проекту цінність компанії, а отже, і добробут її власників збільшиться. Проект із NPV=0 має додатковий аргумент у свою користь – у випадку реалізації проекту добробут власників компанії не зміниться, але в той же час обсяги виробництва зростуть, тобто компанія збільшиться в масштабах. При прогнозуванні доходів по роках необхідно по можливості враховувати усі види надходжень як виробничого, так і невиробничого характеру, що можуть бути асоційовані з даним проектом. Якщо проект припускає не разову інвестицію, а послідовне інвестування фінансових ресурсів протягом m років, то формула для розрахунку NPV модифікується в такий спосіб (з врахуванням впливу інфляції як на дисконтовані потоки інвестиції, так і на сгенеровані потоки прибутку інвестиційного проекту):
де j – прогнозований середній рівень інфляції. При розрахунку NPV, як правило, використовується постійна ставка дисконтування, однак при деяких обставинах, наприклад, очікується зміна рівня дисконтних ставок, можуть використовуватися індивідуалізовані по роках коефіцієнти дисконтування. Якщо в ході імітаційних розрахунків приходиться застосовувати різні коефіцієнти дисконтування, то формула (1.5) не застосовується, і проект прийнятний при постійній дисконтній ставці може стати неприйнятним. Показник NPV відбиває прогнозну оцінку зміни економічного потенціалу комерційної організації у випадку прийняття розглянутого проекту. Цей показник адитивен у просторово-тимчасовому аспекті, тобто NPV різних проектів можна підсумовувати. Це дуже важлива властивість, що виділяє цей критерій із всіх інших і що дозволяє використовувати його в якості основного при аналізі оптимальності інвестиційного портфеля. б) Метод розрахунку індексу рентабельності інвестиції(ІД,ІДД) Цей метод є по суті наслідком попереднього. Індекс рентабельності (PІ) = ІД(індекс доходності) розраховується по формулі [34]:
Якщо PІ>1, то проект варто прийняти; якщо PІ<1, то проект варто відкинути; якщо PІ=1, то проект є ні прибутковим, ні збитковим. Якщо проект припускає не разову інвестицію, а послідовне інвестування фінансових ресурсів протягом m років, то формула для розрахунку PІ модифікується в такий спосіб (з врахуванням впливу інфляції як на дисконтовані потоки інвестиції, так і на згенеровані потоки прибутку інвестиційного проекту):
На відміну від чистого приведеного ефекту індекс рентабельності є відносним показником: він характеризує рівень доходів на одиницю витрат, тобто ефективність вкладень – чим більше значення цього показника, тим вище віддача кожної гривні, інвестованої в даний проект. Завдяки цьому критерію PІ дуже зручний при виборі одного проекту з ряду альтернативних, що мають приблизно однакові значення NPV (зокрема, якщо два проекти мають однакові значення NPV, але різні обсяги необхідних інвестицій, те вигідніше той з них, що забезпечує велику ефективність вкладень), або при комплектуванні портфеля інвестицій з метою максимізації сумарного значення NPV. в) Метод розрахунку внутрішньої норми прибутку інвестиції(ВНД) Під внутрішньою нормою прибутку інвестиції (ІRR= ВНД) розуміють значення коефіцієнта дисконтування r, при якому NPV проекту дорівнює нулю: ІRR = r, при якому NPV = f( r ) = 0. Іншими словами, якщо позначити ІC=CF0 , то ІRR знаходиться з рівняння [34]:
Для розрахунку застосовується метод послідовних ітерацій, для цього за допомогою таблиць вибираються два значення коефіцієнта дисконтування r1 <r2 таким чином, щоб в інтервалі (r1 , r2 ) функція NPV=f(r ) змінювала своє значення з “+” на “-” чи з “-” на “+”. Далі застосовують формулу
де r1 - значення табульованого коефіцієнта дисконтування, при якому f(r1 )>0 (f(r1 )<0)); r2 - значення табульованого коефіцієнта дисконтування, при якому f(r2 )<0 (f(r2 )>0)). г) Метод визначення строку окупності інвестицій(СО, ДСО) Цей метод, що є одним з найпростіших і широко використовуємих у світовій обліково-аналітичній практиці, не припускає тимчасової упорядкованості грошових надходжень [34]. Алгоритм розрахунку строку окупності (СО) залежить від рівномірності розподілу прогнозованих доходів від інвестиції. Якщо доход розподілений по роках рівномірно, то строк окупності розраховується розподілом одноразових витрат на величину річного доходу, обумовленого ними. При одержанні дробового числа воно округляється убік збільшення до найближчого цілого. Якщо прибуток розподілений нерівномірно, то строк окупності розраховується прямим підрахунком числа років, протягом яких інвестиція буде погашена кумулятивним доходом. Загальна формула розрахунку показника СО має вид:
Нерідко показник СО = РР розраховується більш точно, тобто розглядається і дробова частина року; при цьому робиться припущення, що грошові потоки розподілені рівномірно протягом кожного року. Тоді формула (1.10) модифікується для розрахунків як :
Деякі фахівці при розрахунку показника СО= РР рекомендують враховувати часовий аспект. У цьому випадку в розрахунок приймаються грошові потоки, дисконтовані по показнику WACC, а відповідна формула для розрахунку дисконтованого строку окупності (DPP) має вид:
Очевидно, що у випадку дисконтування строк окупності збільшується, тобто завжди DPP>PP. Іншими словами, проект прийнятний за критерієм СО може виявитися неприйнятним за критерієм DPP= ДСО. Якщо проект припускає не разову інвестицію, а послідовне інвестування фінансових ресурсів протягом m років, то формула для розрахунку ДСО(DPP) модифікується в наступний спосіб (з врахуванням впливу інфляції як на дисконтовані потоки інвестиції, так і на згенеровані потоки прибутку проекту):
1.3 Управління ризиками інвестиційних проектів У загальному виді, ризик в інвестиційній діяльності можна визначити як імовірність втрат, що виникають при вкладенні організацією засобів у виробництво нових товарів і послуг, у розробку нової техніки і технологій, що, можливо, не знайдуть очікуваного попиту на ринку, а також при вкладенні засобів у розробку управлінських інновацій, що не принесуть очікуваного ефекту [17]. У цілому, ризик, що виникає в інвестиційній діяльності, містить у собі наступні основні види ризиків: ризики помилкового вибору інвестиційного проекту. Однієї з причин виникнення даного ризику є необґрунтоване визначення пріоритетів економічної і ринкової стратегій організації, а також відповідних пріоритетів різних видів інновацій, здатних внести вклад у досягнення цілей організації. ризики незабезпечення інвестиційного проекту достатнім рівнем фінансування містять у собі: а) ризик неотримання засобів, необхідних для розробки інвестиційного проекту (організація не може залучити інвесторів через неможливість переконати їх у достатній ефективності інвестиційного проекту) б) ризик при використанні самофінансування проекту (проект може виявитися без достатніх фінансових засобів у силу невиконання організацією фінансового плану по прибутку і позареалізаційних доходах, а також при зменшенні відрахувань засобів у бюджет інвестиційного проекту) в) ризик при використанні зовнішніх джерел фінансування (бюджет проекту може виявитися дефіцитним через ліквідацію, банкрутства, або накладення арешту на майно кредиторів, закриття кредитної чи лінії призупинення платежів по ній у результаті погіршення платоспроможності кредиторів) г) ризик при використанні комбінованого методу фінансування проекту, тобто організація використовує одночасно кілька джерел (може не вистачити джерел фінансування на визначених етапах реалізації проекту через складність комбінування цих джерел); - маркетингові ризики поточного постачання ресурсами, необхідними для реалізації інвестиційного проекту, і збуту результатів інвестиційного проекту. Маркетингові ризики збуту розробленого інвестиційного проекту включають наступні види: а) ризик недостатньої сегментації ринку, що найчастіше виникає при розробці і впровадженні нових товарів і послуг високого якості і високій вартості, у результаті чого передбачувані споживачі не зможуть їх купити, а це у свою чергу впливає на обсяги реалізації нових виробів б) ризик помилкового вибору цільового сегмента ринку, що виникає коли попит на нововведення на обраному сегменті виявляється нестабільним чи на даному сегменті ринку потреба в нововведенні недостатньо сформувалася, якщо обраний сегмент ринку, де потреба в нововведенні оцінена чи невірно потреба в нововведенні обмежена й ін. б) ризик помилкового вибору стратегії продажів нововведення через невдалу організацію мережі збуту і системи просування нововведення до споживача в) ризик проведення неефективної реклами нових товарів і послуг або товарів з удосконаленими характеристиками; - ризики невиконання господарських договорів (контрактів) бувають: а) ризик відмовлення партнера від висновку договору після проведення переговорів (у разі потреби зміни попередніх умов контракту й у випадку несумлінності партнера) б) ризик висновку організацією договорів на умовах або відрізняючихся від найбільш прийнятних, або звичайних для організацій даної галузі (у разі потреби для виконання проекту унікальної сировини, чи матеріалів комплектуючих виробів, кількість постачальників яких обмежено, і у випадку, коли організація не має достатнього досвіду, постійних і перевірених партнерів і достатньої гнучкості, що дозволяють їй укладати більш складні контракти на вигідних умовах) в) ризик висновку договорів (контрактів) з недієздатними чи неплатоспроможними партнерами (контрагентами) г) ризик невиконання партнерами договірних зобов'язань у встановлений термін, у результаті чого виникають втрати організації, зв'язані з порушенням графіків постачань, невиконання партнерами робіт, необхідних для здійснення інвестиційного проекту - ризик нанесення збитку третьою особою, що містить у собі ризик забруднення навколишнього середовища і ризик заподіяння морального і матеріального збитку громадянам при здійсненні інвестиційного проекту; - ризики виникнення непередбачених витрат і зниження доходів; - ризики посилення конкуренції за наступних причин: 1) витік конфіденційної інформації або з вини співробітників організації, або в результаті промислового шпигунства, початого конкурентами 2) недосконалість маркетингової політики, тобто неправильний вибір ринків збуту і неповна інформація про чи конкурентів відсутність достовірної інформації про конкурентів 3) уповільнене впровадження нововведень у порівнянні з конкурентами через відсутність необхідних засобів для проведення НДР, впровадження нових технологій, освоєння виробництва нових високоякісних і конкурентних товарів 4) несумлінність конкурентів (використання методів несумлінної конкуренції) 5) поява на ринку виробників з інших галузей, що пропонують однотипні, взаємозамінні товари, здатні задовольнити попит споживачів 6) виявлення непередбачених функціональне однорідних замінників вироблених товарів у галузі, у якій діє дана організація 7) поява нових місцевих організацій-конкурентів 8) експансія на місцевий ринок виробленого чи продукту його аналогів з боку закордонних експортерів; 9) ризики, зв'язані з недостатнім рівнем кадрового забезпечення; 10) ризики, зв'язані з забезпеченням прав власності на інвестиційний проект, виникають по різних причинах: - ризик незабезпечення умов патентування технічних, дизайнерських і маркетингових рішень виникає в результаті недостатньо «щільної» патентного захисту винаходів, технологій - ризик опротестування патентів, що захищають принципові технічні та інші подібні рішення – це імовірність втрат у випадку оголошення недійсними патентних прав, на основі яких організація вже здійснює інвестиційний проект і розраховує дістати монопольний прибуток. - ризики легальної і нелегальної імітації конкурентами запатентованих організацією інновацій . Уникнути цілком ризику в інвестиційній діяльності неможливо, тому що інвестиції і ризик – дві взаємозалежних категорії. Управління ризиками інвестиційних проектів включає процеси планування управління ризиками, їх ідентифікації, аналізу, реакції на ризики, а також моніторингу і контролю під час виконання проекту. Мета управління проектними ризиками – підвищення ймовірності позитивних для цілей проекту подій і зниження ймовірності несприятливих подій. До управління проектними ризиками належать такі процеси [28]: 1. Планування управління ризиками. Призначення цього процесу – визначення того, як ставитися до ризиків, як планувати та виконувати операції з управління ризиками в проекті. Вхідні дані для процесу: - Чинники середовища, що оточує підприємство. - Активи і стандарти організаційних процесів. - Проектне завдання. - План управління проектом. Інструменти та методики, які використовують у цьому процесі: - Засідання з планування, аналіз. Вихідні дані цього процесу: - План управління ризиками. 2. Ідентифікація ризиків. Призначення цього процесу – визначення, які ризики можуть впливати на проект та документування їх характеристик. Вхідні дані для процесу: - Чинники середовища, що оточує підприємство. - Активи і стандарти організаційних процесів. - Проектне завдання. - План управління ризиками. - План управління проектом. Інструменти та методики, які використовують у цьому процесі: - Огляди документів. - Технології збору інформації. - Аналіз запитальників (контрольних питань). - Аналіз припущень. - Технології діаграмування. Вихідні дані цього процесу: - Реєстр ризиків. 3. Якісний аналіз ризиків. Призначення цього процесу – пріоритизація ризиків для наступного подальшого аналізу через оцінку та комбінації ймовірностей виникнення. Вхідні дані для процесу: - Активи і стандарти організаційних процесів. - Проектне завдання. - План управління ризиками. - Реєстр ризиків. Інструменти та методики, які використовують у цьому процесі: - Оцінка ймовірності і впливу ризиків. - Матриця ймовірності і впливу. - Кількісна оцінка ризиків. - Категоризація ризиків. - Оцінка терміновості ризиків. Вихідні дані цього процесу: - Реєстр ризиків (оновлений). 4. Кількісний аналіз ризиків. Призначення цього процесу – числовий аналіз впливу визначених ризиків на цілі проекту. Вхідні дані для процесу: - Активи і стандарти організаційних процесів. - Проектне завдання. - План управління ризиками. - Реєстр ризиків. - План управління проектом. Інструменти та методики, які використовують у цьому процесі: - Технології збору та представлення інформації. - Технології кількісного аналізу і моделювання ризиків. Вихідні дані цього процесу: - Реєстр ризиків (оновлений). 5. Планування реакції на ризики. Призначення цього процесу – розробка варіантів і дій, які підвищували б можливості та знижували загрози для цілей проекту. Вхідні дані для процесу: - План управління ризиками. - Реєстр ризиків. Інструменти та методики, які використовують у цьому процесі: - Стратегії для негативних ризиків і загроз. - Стратегії для позитивних ризиків і можливостей. - Стратегії одночасно для загроз і можливостей. - Стратегія поправок на ризик. Вихідні дані цього процесу: - Реєстр ризиків (оновлений). - План управління проектом (оновлений). - Пов'язані з ризиками договори. 6. Моніторинг і контроль ризиків. Призначення цього процесу – відстеження визначених ризиків, моніторинг залишкових ризиків, ідентифікація нових ризиків, виконання планів реакції на ризики та оцінка їх ефективності впродовж життєвого циклу проекту. Вхідні дані для процесу: - План управління ризиками. - Реєстр ризиків. - Затверджені запити на зміни. - Інформація про виконання роботи. - Звіти про виконання. Інструменти та методики, які використовують у цьому процесі: - Переоцінка ризиків. - Аудит ризиків. - Варіаційний і трендовий аналіз. - Вимірювання ефективності виконання. - Аналіз резервів. - Збори про стан проекту. Вихідні дані цього процесу: - Реєстр ризиків (оновлений) - Рекомендовані корегувальні та превентивні дії. - Активи і стандарти організаційних процесів. - План управління проектом (оновлений). РОЗДІЛ 2. АНАЛІЗ ДІЯЛЬНОСТІ ТА СОБІВАРТОСТІ ПРОДУКЦІЇ ВАТ “ДНІПРОПЕТРОВСЬКИЙ ХЛІБОЗАВОД №9” У 2005 – 2007 РОКАХ 2.1 Загальна характеристика ВАТ “Дніпропетровський хлібозавод №9” Орендне підприємство "Дніпропетровський хлібозавод №9" було приватизоване у 1996 році із статутним фондом 1 249 030 грн. шляхом перетворення орендного підприємства у відкрите акціонерне товариство. Засновниками його є відділення Фонду держмайна України по Дніпропетровській області та організація орендарів орендного підприємства ВАТ «Дніпропетровський хлібозавод №9» є самостійною господарчою одиницею у вигляді відкритого акціонерного товариства. Завод розташований у м. Дніпропетровську у Ленінському районі за адресою вул. Чеботарьова, 28. Територія заводу єдина, підрозділів та філій, розташованих поза територією немає . Основні реєстраційні характеристики наведені в табл.2.1 – 2.3. Таблиця 2.1 Інформація про емітента акцій ВАТ «Дніпропетровський хлібозавод № 9»
Таблиця 2.2 Основні реєстраційні характеристики ВАТ «Дніпропетровський хлібозавод №9»(0000378000)
Таблиця 2.3 Види діяльності ВАТ «Дніпропетровський хлібозавод №9»
Підприємство випускає всього більше 130 найменувань хлібобулочних і кондитерських виробів: в тому числі хліба, батонних і хлібобулочних виробів - більше 30 видів. Відповідно до даних прайсу на продукцію підприємства, покупцям пропонувався асортимент, що нараховував біля 90 видів кондитерських виробів і вафельної продукції. Весь асортимент хлібобулочних виробів можна поділити на декілька підгруп: - хліб пшеничний ( хліб "Миколаївський", хліб "Львівський", хліб "Богатирський", хліб "Степовий"); - хліб житньо-пшеничний ( хліб "Домашній", хліб "Петровський", хліб "Таврійський", хліб "Хуторський" та ін.); - хліб тостерний ( хліб тостерний класичний,хліб тостерний з сиром, хліб тостерний з піцею); - батонні вироби ( батон "Любительський", батон "Дворянський", батон "Оригінальний", батон з висівками); - булочні вироби ( булки "Боярська", "Маковейчик","Ласунка", булочка із згущеним молоком,рулет "Вишневий" та ін.). Така градація хлібобулочних виробів обумовлена поточністю виробництва, технологічною схемою приготування тіста, валкою борошна, що використовується для приготування тіста. Асортимент кондитерських виробів складається з таких груп: - торти і вироби кондитерські( торти, тістечка, вироби здобні та ін.); - пряники і вироби аналогічні ( пряники, кекси та ін.); - печиво солодке і вафлі ( печиво листкове, вафлі та ін.) У середньому добовий тоннаж заводу складає близько 35 тон хлібобулочних виробів, продукції доставляється у власну мережу реалізації у м.Дніпропетровську власним автотранспортом. Штат підприємства – 682 співробітників, що працюють у 1 – 3 зміни, середньоявочна чисельність зміни – 294 чоловік (коефіцієнт змінності – 2,13). Підприємство має 3 цеху ( цех № 1 – 6 ліній, цех № 2 – 3 лінії, цех № 3 – 2 лінії), до складу транспортного цеху входить 1 муковоз, 8 хлібних фургонів розвезення продукції, 1 автомобіль-цистерна, 1 самоскид, 1 трактор, 3 легкових автомобілі. Основні постачання вихідних матеріалів виробництва здійснюються залізничним транспортом по системі під'їзних колій. Значний вплив на діяльність емітента справляють виробничо-технологічні фактори. В зв'язку з відсутністю вітчизняного машинобудування для хлібопекарної і кондитерської промисловостей, підприємство вимушене працювати на обладнанні застарілої модифікації, яке не дає можливості випускати продукцію бажаної якості, істотну проблему в діяльності емітента мають політичні фактори - удержання вільної ціни на готову продукцію, законодавче обмеження рівня рентабельності на хліб і хлібобулочні вироби, що перешкоджає вести планомірну господарську діяльність і виконувати намічені плани. Збут хліба, хлібобулочних та кондитерських виробів підприємство проводить через роздрібну торгівельну мережу м.Дніпропетровськ, Дніпропетровської області, а також за її межами, через магазини фірмової торгівлі. Вафельну та кондитерську продукцію добре знають у Полтавській, Херсонській, Миколаївській, Одеській, Кримській областях та інших регіонах України. Значну частку серед покупців продукції підприємства займають приватні підприємці та супермаркети. Найвагомішими покупцями продукції підприємства є: ЗАТ "Кстрейдинг", ТОВ "Алікон Маркет", ТОВ "Машинобудівник", ТОВ "НВ ТРЕЙД",ТОВ "Омега", ТОВ "Бетта",ПП "Реарді". В теперішній час більшість діючих підприємств хлібопекарної промисловості використовують проектні потужності не в повному обсязі, переходять на роботу на обладнанні меншої потужності. Все більшого поширення набуває розробка фірмових сортів хліба. З кожним днем збільшується випуск продукції порізаної та запакованої. Виконання функцій нарізки та упаковки продукції потребує придбання додаткового обладнання. Враховуючи відсутність вітчизняного машинобудування для хлібопекарної та кондитерської промисловостей, приходиться придбавати дороге імпортне обладнання. Однією з серйозних проблем діяльності хлібопекарної галузі є стійка негативна тенденція до зменшення фактичного рівня рентабельності хлібопекарського виробництва,яка зумовлює зменшення надходжень до Держбюджету та неспроможність підприємств оновлювати обладнання та підтримувати матеріально-технічну базу в належному стані. Товариство постійно працює над підвищенням конкурентоспроможності продукції, вдосконаленням технологічних процесів, залученням кращих світових досягнень в області виробництва продукції в поєднанні з національними традиціями. інформація про конкуренцію в галузі, про особливості продукції ( послуг) емітента Конкурентами підприємства являються хлібозаводи, хлібокомбінати, мініпекарні,загальна кількість яких не визначена. Таблиця 2.4 Інформація про обсяги випуску основної продукції ВАТ “Дніпропетровський хлібозавод № 9” у 2007 році
Продукція підприємства користується попитом, є конкурентоспроможною. Основною перевагою перед конкурентами є якість виробленої продукції, її смакові властивості, які досягаються приміненням тільки натуральної,високоякісної сировини без використання покращувачів і консервантів. Основними конкурентами хлібзаводу 9 є: ВАТ "Золотий колос", ВАТ "Хліб", ВАТ "Дніпропетровський хлібокомбінат №2", хлібзавод №10, кондитерська фабрика "Квітень", хлібзавод №11,приватні пекарні міста і області. Товар являється цінним і незамінним харчовим продуктом. Особливістю хлібопекарної і кондитерської продукції являється її короткий термін придатності, який обчислюється годинами. 2.2 Економічна діагностика фінансово-економічного стану ВАТ “Дніпропетровський хлібозавод №9” Для оцінки внутрішніх та зовнішніх резервів розвитку ВАТ “Дніпропетровський хлібозавод №9” в дипломному проекті проведена економічна діагностика діяльності підприємства за 2005 – 2007 роки. В Додатках А, Б наведені балансові звіти, звіти про фінансові результати ВАТ “Дніпропетровський хлібозавод №9” за 2005 – 2007 роки. В Додатку Е наведені результати фінансового аналізу характеристик ВАТ “Дніпропетровський хлібозавод №9” з розраховані за алгоритмами [24].
Рис. 2.1. Динаміка змін основних грошових агрегатів балансу ВАТ „Дніпропетровський хлібозавод №9” за 2005 -2007 роки Аналіз результатів первинної статистичної обробки балансових звітів та звітів про фінансові результати діяльності ВАТ “Дніпропетровський хлібозавод №9” з за 2003 – 2005 роки, наведених в Додатках А, Б та табл.2.5– 2.6 , показує (рис.2.1, 2.2): - валюта активів балансу у 2006 році зросла на + 12,1 % відносно рівня 2005 року, а у 2007 році ще зросла на + 1,4 % відносно рівня 2006 року, таким чином валюта балансу за два роки зросла з 14,9 млн.грн. до 16,9 млн.грн..; - необоротний капітал (основні фонди) підприємства зросли за два роки з 9,47 млн.грн. до 10, 89 млн.грн., займаючи основну долю 80,0%(у 2005), 78,4% (у 2006), 73,2%(у 2007) % в валюті баланса, тобто підприємство – виробниче, а основні фонди – це основний потенціал виробництва. - динаміка структурної долі грошових коштів характеризується падінням з рівня 3,1% (2005 рік) до рівня 1,8% у 2007 році; - динаміка структурної долі виробничих запасів характеризується стабільним рівнем 9,6 %(2005), 10,2%(2006), 9,4%(2007); - динаміка структурної долі дебіторської заборгованості характеризується зростанням з рівня 7,2%(2005) до 9,2%(2006) та зростанням до рівня 12,4% у 2007 році;
Рис. 2.2. Динаміка структури основних грошових агрегатів активів балансу ВАТ „Дніпропетровський хлібозавод №9” за 2005 -2007 роки Таблиця 2.5 Аналіз динаміки та структури майна ВАТ “Дніпропетровський хлібозавод №9”
Таким чином, для 2005 - 2007 років для активів підприємства при рості валюти балансу на +13,4% характерні процеси нарощення структурної частки мобільних коштів за рахунок росту рівня дебіторської заборгованості з 2,03 млн.грн. до 2,42 млн.грн. (в 1,18 рази) та зростання рівня готівкових коштів з 74,9 тис.грн. до 196,8 тис.грн., тобто у підприємства можна відмітити появу проблеми з розрахунками за реалізовану продукцію, відпущену у комерційний кредит. Як видно із даних табл.2.6 та графіків рис.2.3, основними джерелами ресурсів підприємства ВАТ “Дніпропетровський хлібозавод №9” є власний капітал та кредиторська заборгованість за надані товари та послуги: структурна частка власного капіталу становить 82,4% у 2005 році та 79,9% у 2007 році структурна частка кредиторської заборгованості наростає з рівня 12,5% у 2005 році до рівня 14,0% у 2007 році; у 2005 - 2007 роках підприємство не використовувало короткострокові банківські кредити, довгострокові не перевищували рівня 4,9% (2006 рік); рівень поточних пасивів в розрахунках займає частку 17,1 - 19,6%; Таблиця 2.6 Динаміка джерел (ресурсів) підприємства ВАТ “Дніпропетровський хлібозавод №9”
Рис. 2.3. Динаміка структури основних грошових агрегатів пасивів балансу ВАТ „Дніпропетровський хлібозавод №9” за 2005 -2007 роки Звертає на себе увагу позитивне значення показника власних оборотних коштів підприємства у 2005 – 2007 роках при нарощуванні обсягів необоротних фондів (основні засоби та незавершене будівництво), що свідчить про планування рівня іммобілізації власного капіталу в необоротні фонди та наявність страхових запасів власного оборотного капіталу на рівні 3,0 – 9,2% валюти балансу. Аналіз динаміки показників звітів про фінансові результати ВАТ “Дніпропетровський хлібозавод №9”, наведених в Додатку Б показав : обсяги чистого доходу від реалізації продукції в 2005 – 2007 році поступово нарощуються з рівня 29,13 млн.грн.(2005) до рівня 30,4 млн.грн. у 2006 році та до рівня 34,0 млн.грн. у 2007 році; ланцюговий темп росту обсягів доходів від реалізації становить +4,35% у 2006 році відносно рівня 2005 року та +11,8 % у 2007 році відносно рівня 2006 року; - ланцюговий темп росту собівартості випуску та реалізації продукції становить + 1,58 % у 2006 році відносно рівня 2005 року та + 9,7% у 2007 році відносно рівня 2006 року, тобто темп росту обсягів доходів від реалізації при розширенні виробництва є вищим, ніж темп росту собівартості продукції; - ланцюговий темп росту чистого прибутку після оподаткування становить -96,6 % у 2006 році відносно рівня 2005 року та +987% у 2007 році відносно рівня 2006 року, що свідчить про нестабільний характер розвитку ділової діяльності підприємства; Аналіз результатів вторинної (коефіцієнтної) статистичної обробки балансових звітів та звітів про фінансові результати діяльності ВАТ “Дніпропетровський хлібозавод №9”за 2005 – 2007 роки, представлений в Додатку Е, показує (рис.2.4): - значення коефіцієнта загальної ліквідності знаходилось в діапазоні 1,56 (2005 рік), 1,44(2006 рік) та 1,41(2007 рік), тобто задовольняє нормативні вимоги (більше 1,0) для рівня загальної ліквідності підприємства; - значення коефіцієнта строкової ліквідності знаходилось в діапазоні 0,45 (2005 рік), 0,47(2006 рік) та 0,43(2007 рік), тобто не задовольняє нормативні вимоги (0,7-0,8) для рівня строкової ліквідності підприємства; - значення коефіцієнта абсолютної (моментальної) ліквідності знаходилось у діапазоні 0,029 (2005 рік) - 0,059(2007 рік), тобто у 2005 –2007 роках не задовільнює нормативні вимоги (0,2-0,35) для рівня абсолютної ліквідності підприємства і ідентифікує у підприємства наявність проблем з готівковими розрахунками; - значення коефіцієнта співвідношення дебіторської та кредиторської заборгованостей зменшилось з рівня 1,5 (2005 рік) до рівней 0,56(2006 рік) та 0,52 (2007 рік), тобто у 2004 –2005 роках не задовільнює нормативні вимоги (більше 1,0) для рівня співідношення дебіторської та кредиторської заборгованостей, тобто у підприємства існують проблеми з джерелом своєчасних розрахунків з кредиторами, особливо при відсутності необхідного рівня готівкових коштів для розрахунків;
Рис.2.4 Динаміка показників ліквідності підприємства ВАТ “Дніпропетровський хлібозавод №9” Аналіз рентабельності активів та власного капіталу ВАТ “Дніпропетровський хлібозавод №9” показує (Додаток Е), що його діяльність може бути охарактеризована наступними показниками(рис.2.5): 1. Ресурсовіддача активів в чисту виручку на підприємстві знаходиться на стабільному високому рівні 1,96 (2005), 1,82(2006), 2,02(2007) році, тобто підприємство працює ефективно; 2. Фондовіддача основних засобів в чисту виручку на підприємстві знаходиться на стабільному високому рівні 3,13 (2005), 2,93(2006), 3,30(2007) році, тобто додатково введені основні фонди працюють ефективно; 3. Рентабельність активів по валовому реалізаційному прибутку знизилась з рівня 41,17% у 2005 році до рівня 42,13% у 2006 році та значно зросла до рівня 49,56% у 2007 році; 2. Рентабельність власного капіталу по чистому прибутку після оподаткування знизилась з рівня 2,89% у 2005 році до рівня 0,09% у 2006 році та піднялась до рівня 0,97% у 2007 році. Для акціонерів ВАТ “Дніпропетровський хлібозавод №9” такий рівень дивідендної доходності є замалим при альтернативній ринковій нормі доходності капіталу в Україні 13 –16% річних, що практично робить підприємство інвестиційно непривабливим і не дає можливості нарощувати рівень власного капіталу за рахунок додаткової емісії. Одночасно, для форми відкритого акціонерного товариства існує ризик масового продажу низькорентабельних акцій на біржі та перепорядкування підприємства новим власникам. Таким чином, підвищення рентабельності власного капіталу є основною задачею розвитку підприємства, а проблеми ідентифікації структури та пошуку шляхів зниження виробничої та повної собівартості виробництва є нагальними і актуальними для успішної конкурентоспроможної роботи підприємства.
Рис.2.5 Динаміка рентабельності активів та власного капіталу підприємства ВАТ “Дніпропетровський хлібозавод №9” На рис.2.6 наведені характеристики ділової активності (швидкості обороту окремих характерних грошових агрегатів активів та пасивів балансу).
Рис.2.6 Характеристики динаміки показників ділової активності ВАТ “Дніпропетровський хлібозавод №9” Як показано на графіках рис.2.6 за період з 2005 по 2007 рік період обороту характерних грошових агрегатів знаходиться в стабільному діапазоні, що свідчить про відлажений процес постачання сировини та реалізації продукції заводу. Як показують результати розрахунків коефіцієнтів покриття запасів (Додаток Е, рис.2.7), у 2005 - 2007 роках загальних джерел покриття запасів було недостатньо, тобто підприємство має постійні проблеми з пошуком джерел покриття виробничих запасів за рахунок власного оборотного капіталу.
Рис.2.7. Характеристики динаміки покриття запасів в ВАТ “Дніпропетровський хлібозавод №9” Існує багато підходів до прогнозування фінансової неплатоспроможності суб'єктів господарювання. Будь-яка методика оцінювання кредитоспроможності є, по суті, методикою прогнозування банкрутства. У закордонній практиці поширення придбала модель Альтмана [27, с.149]. Модель Альтмана розроблена в 1968 році і відома також за назвою «розрахунок Z-показника» — інтегрального показника рівня погрози:
де Х1 = (Поточні активи - Поточні пасиви) / Обсяг активу; Х2 = Нерозподілений прибуток / Обсяг активу; Х3 = Прибуток до виплати відсотків / Обсяг активу; Х4 = Ринкова вартість власного капіталу / Позикові засоби; Х5 = Виторг від реалізації / Обсяг активу; При Z < 1,8 - імовірність банкрутства дуже висока; 1,8 < Z < 2,7 - імовірність банкрутства середня; 2,7 < Z < 2,99 - імовірність банкрутства невелика; Z > 2,99 - імовірність банкрутства незначна. Розрахунок інтегрального показника Альтмана за даними балансу ВАТ “Дніпропетровський хлібозавод №9” за 2007 рік , дає наступні значення :
Таким чином, імовірність банкрутства підприємства ВАТ “Дніпропетровський хлібозавод №9” по Альтману є незначною, при цьому основний внесок в фінансову стійкість підприємства вносить коефіцієнт автономності (фінансової незалежності) підприємства та коефіцієнт ресурсовіддачі активів, вплив прибутку підприємства є незначним і потребує уваги. Як показали результати економічної діагностики підприємства ВАТ “Дніпропетровський хлібозавод №9” у 2005 - 2007 роках та аналізу структури його потенціалу, основною проблемою розвитку підприємства є підвищення рентабельності власного капіталу до норми альтернативної доходності інвестиційного капіталу на ринках України (13 –16% річних), оскільки існує загроза масового продажу низькорентабельних (доходність 1,0%) акцій відкритого акціонерного товариства на біржі та зміні власників підприємства. Основним шляхом вирішення проблеми з врахуванням обмежень на ціну продажу хліба є зниження собівартості виробництва. 2.3 Аналіз структури собівартості продукції До виробничої собівартості продукції (робіт, послуг) включаються: прямі матеріальні витрати; прямі витрати на оплату праці; інші прямі витрати; змінні загальновиробничі та постійні розподілені загальновиробничі витрати. Класифікація витрат операційної діяльності за економічними елементами відбувається в такій послідовності (Додаток Б): матеріальні витрати; витрати на оплату праці; відрахування на соціальні заходи; амортизація; інші операційні витрати. Відповідно до п.17 П(С)БО 16 частина витрат, пов'язаних з операційною діяльністю, не включаються до виробничої собівартості реалізованої продукції (товарів, робіт, послуг), але входить в повну собівартість виробництва для підприємства. Вони в свою чергу поділяються на(Додаток Б): - адміністративні витрати; - витрати на збут; - інші операційні витрати. На основі проведених розрахунків з використанням таблиць Додатку Б, на рис.2.8 – 2.13 побудовані графіки структурного аналізу вагових часток складових виробничої собівартості продукції та повної собівартості продукції з врахуванням загальних витрат підприємства на функціонування та реалізацію продукції.
Рис.2.8. Структура складових часток виробничої собівартості в ВАТ „Дніпропетровський хлібзавод № 9” у 2005 році
Рис.2.9. Структура складових часток виробничої собівартості в ВАТ „Дніпропетровський хлібзавод № 9” у 2006 році
Рис.2.10. Структура складових часток виробничої собівартості в ВАТ „Дніпропетровський хлібзавод № 9” у 2007 році Як показує аналіз змін вагових часток в структурі виробничої собівартості на рис.2.8 - 2.10 за 2005 – 2007 роки: частка матеріальних витрат в виробничій собівартості знизилась з рівня 70,23% (2005) до рівня 64,76% у 2007 році; частка витрат на оплату праці персонала в виробничій собівартості підвищилась з рівня 16,23%+6,17% = 22,4% у 2005 році до рівня 20,53%+6,65% = 27,18% у 2007 році;
Рис.2.11. Структура складових часток повної собівартості продукції підприємства в ВАТ „Дніпропетровський хлібзавод № 9” у 2005 році
Рис.2.12. Структура складових часток повної собівартості продукції підприємства в ВАТ „Дніпропетровський хлібзавод № 9” у 2006 році
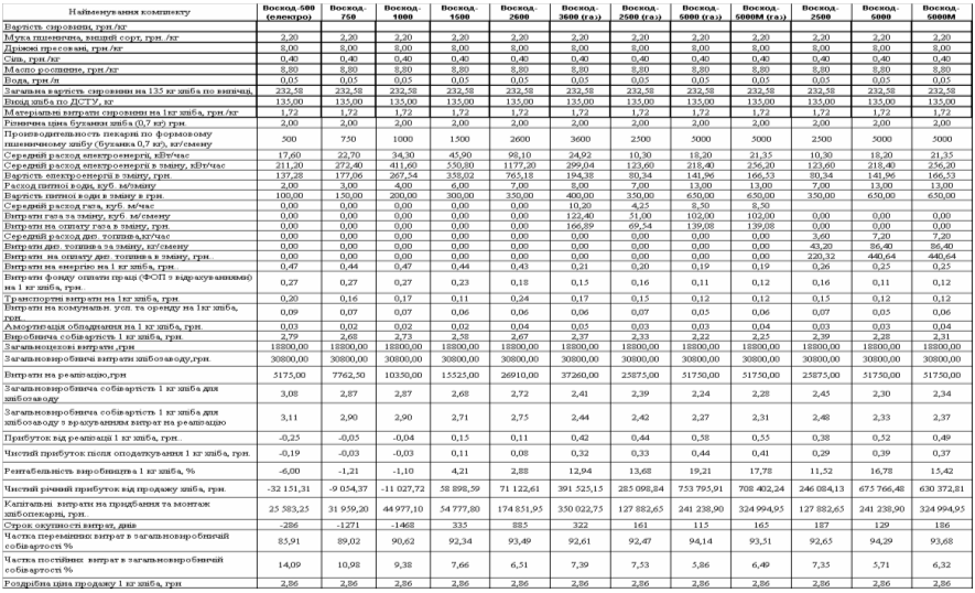
Рис.2.13. Структура складових часток повної собівартості продукції підприємства в ВАТ „Дніпропетровський хлібзавод № 9” у 2007 році Як показує аналіз результатів структур повної собівартості продукції в ВАТ „Дніпропетровський хлібзавод №9”, наведених на рис. 2.11 - 2.13: - рівень адміністративних витрат зріс з 4,75% (2005 рік) до рівня 4,91% у 2007 році; - рівень витрат на збут зменшився з 12,35% (2005 рік) до рівня 11,0% у 2007 році; - рівень позавиробничих операційних витрат зменшився з 3,67% (2005 рік) до рівня 1,09% у 2007 році; Таким чином, при формуванні як виробничої так і повної собівартості продукції в ВАТ „Дніпропетровський хлібозавод №9” все більшу вагову частку займає складова – оплата праці персоналу + виплата в фонди соціального страхування за рахунок скорочення часток всіх остальних складових собівартості. 2.4 Аналіз динаміки зміни собівартості порівняльної продукції Аналіз динаміки зміни собівартості порівняльної продукції проведемо на прикладі розрахунку вартості випічки білого хліба “соціального сорту” в хлібопекарні «ВОСХОД-1300Р» продуктивністю 1300 кг/день на базі ротаційної печі «Мусон-ротор» 7.1. При розрахунках ціни продажу даного сорту хліба в рознічному продажі врахуємо встановлену директивно станом на травень 2004 року ціну його реалізації населенню – не вище 1,60 грн./кг, тобто вартість буханця хліба(0,75 кг) не повинна бути вищою за 1,20 грн./шт (з врахуванням ПДВ – 20%). Розрахунки проведемо для цін на сировину, енергію, заробітну плату та вартість інших послуг станом на травень 2004 року та станом на травень 2006 року. Враховуємо, що директивне обмеження цін на реалізацію “соціальних сортів” хліба з 2004 року діяло ї у 2006 році. В табл.2.7 наведені основні зміни цін у поточному 2006 році відносно базового 2004 року в рівні змінних витрат В табл.2.8 - 2.9 наведені рецептурні матеріальні витрати при виготовлені “Соціального хліба –Таврійський формовий” у травні 2004 року та у травні 2006 року. В табл.2.10- 2.11 наведені основні дані по характеристикам хлібопечі ВОСХОД 1300Р для розрахунків калькуляції хлібної продукції(травень 2004 року). В табл.2.12 - 2.13 приведні основні дані по характеристикам хлібопечі ВОСХОД 1300Р для розрахунків калькуляції хлібної продукції(травень 2006 року). Таблиця 2.7 Ціни на основну сировину,енергію та експлуатацію обладнання для виробництва хліба
Таблиця 2.8 Матеріальні витрати рецептури “Соціального хліба –Таврійський формовий” (травень 2004 року)
Вихід хліба 135 кг (за Дст). Матеріальні витрати на 1 кг складають: 175,57 грн / 135 кг = 1,30 грн./кг (зі сплаченим ПДВ-20%). Таблиця 2.9 Матеріальні витрати рецептури “Соціального хліба – Таврійський формовий” (травень 2006 року):
Вихід хліба 135 кг (за Дст). Матеріальні витрати на 1 кг складають: 165,1 / 135 = 1,22 грн./кг (зі сплаченим ПДВ-20%). Таблиця 2.10 Основні характеристики хлібопечі ВОСХОД 1300Р для розрахунків калькуляції хлібної продукції(травень 2004 року)
Розрахунок собівартості на травень 2004 року 1.Витрати на електроенергію на 1 кг хліба ((витрата електроенергії в зміну х вартість електроенергії + витрата дизпалива в зміну х вартість дизпалива + витрата газу в зміну х вартість газу) : продуктивність пекарні) складають: 1.1. Пекарня «ВОСХОД-1300Р» (на газі): (94,6 х 0,23 + 53,5 х0,36) : 1300кг = 0,029 грн./кг Таблиця 2.11 Витрата енергоносіїв пічі ВОСХОД – 1300Р у зміну (травень 2004 року)
2. Фонд оплати праці (ФОП) на 1 кг хліба (середня заробітна плата на місяць х Квиплат до соцфонду * чисельність працюючих у зміну х кількість змін : (продуктивність пекарні х кількість робочих днів у місяці)) складає: 450 грн./мес. х 1,4 х 4 х 1 : (1300кг х 30) = 0,0646 грн./кг 3. Транспортні витрати на 1 кг хліба (транспортні витрати на місяць : (продуктивність пекарні х кількість робочих днів у місяці)) складають: 900 грн. : (1300 х 30) = 0,023 грн./кг 4. Витрати на комунальні послуги й орендну плату на 1 кг хліба (площа приміщення х (вартість комунальних послуг + орендна плата) : (продуктивність пекарні х кількість робочих днів у місяці)) складають: 120м2 х (15,0 +2,0) : (1300 х 30) = 0,052 грн./кг 5. Амортизація устаткування на 1 кг хліба ((вартість пекарні + вартість додаткового електросилового устаткування) х річна норма амортизації (6,5 %) : (продуктивність пекарні х кількість робочих днів у році)) складає: 5.1. Пекарня «ВОСХОД-1300Р» (на газі): (78841,67+916,67+5630+1875,5)грн. х 0,065 : (1300 х 345) = 0,013 грн./кг 6. Собівартість 1 кг хліба (матеріальні витрати + витрати на енергоносії + фонд оплати праці + транспортні витрати + витрати на комунальні послуги й орендну плату + амортизація устаткування ) складає(з обліком уплаченого ПДВ –20%): 6.1. Пекарня «ВОСХОД-1300Р» (на газі): 1,30 + 0,029 +0,0646 + 0,023 + 0,052 + 0,012 = 1,4806 грн./кг 7. Чистий доход підприємства від реалізації 1 кг хліба (роздрібна ціна 1 кг хліба – собівартість), де роздрібна ціна 1 кг хліба це роздрібна ціна 1 буханця хліба : вага = 1,2 грн. : 0,75 = 1,60 грн. складає,при цьому з ціни реалізації стягується різниця полученого й уплаченого податку ПДВ (20%)[14].: 7.1. Пекарня «ВОСХОД-1300Р» (на газі): 1,60грн.*5/6 – 1,4806 грн.*5/6 = 0,0995 грн./кг 8. Рентабельність виробництва по чистому прибутку підприємства складе ( як відношення чистого прибутку з 1 кг хліба до витрат на виробництво 1 кг хліба) : 8.1. Пекарня «ВОСХОД-1300Р» (на газі): 0,0995/1,4806*(1-0,25) *100 % = 5,04 % 9. Основні витрати (вартість пекарні + додаткове електросилове устаткування + транспортні витрати по доставці + монтаж і пусконаладка устаткування) складають: 9.1. Пекарня «ВОСХОД-1300Р» (на газі): 78841,67+916,67+5630,0+1875,5 = 87263,84 грн. 10. Строк окупності, днів (основні витрати : (чистий прибуток з 1 кг хліба х продуктивність пекарні) складає: 10.1. Пекарня «ВОСХОД-1300Р» (на газі): 87 263,84 грн. : (0,0995 грн./кг х 1300кг/день) = 674 дня чи 1,85 роки. Таблиця 2.12 Основні характеристики хлібопечі ВОСХОД 1300Р для розрахунків калькуляції хлібної продукції(травень 2006 року)
Таблиця 2.13 Витрата енергоносіїв пічі ВОСХОД – 1300Р у зміну (травень 2006 року)
Розрахунок собівартості на травень 2006 року 1.Витрати на електроенергію на 1 кг хліба ((витрата електроенергії в зміну х вартість електроенергії + витрата дизпалива в зміну х вартість дизпалива + витрата газу в зміну х вартість газу) : продуктивність пекарні) складають: 1.1. Пекарня «ВОСХОД-1300Р» (на газі): (94,6 х 0,28 + 53,5 х0,67) : 1300кг = 0,048 грн./кг 2. Фонд оплати праці (ФОП) на 1 кг хліба (середня заробітна плата на місяць х Квиплат до соцфонду * чисельність працюючих у зміну х кількість змін : (продуктивність пекарні х кількість робочих днів у місяці)) складає: 850 грн./мес. х 1,4 х 4 х 1 : (1300кг х 30) = 0,0832 грн./кг 3. Транспортні витрати на 1 кг хліба (транспортні витрати на місяць : (продуктивність пекарні х кількість робочих днів у місяці)) складають: 2400 грн. : (1300 х 30) = 0,0615 грн./кг 4. Витрати на комунальні послуги й орендну плату на 1 кг хліба (площа приміщення х (вартість комунальних послуг + орендна плата) : (продуктивність пекарні х кількість робочих днів у місяці)) складають: 120м2 х (20,0 +3,8) : (1300 х 30) = 0,0732 грн./кг 5. Амортизація устаткування на 1 кг хліба ((вартість пекарні + вартість додаткового електросилового устаткування) х річна норма амортизації (6,5 %) : (продуктивність пекарні х кількість робочих днів у році)) складає: 5.1. Пекарня «ВОСХОД-1300Р» (на газі): (78841,67+916,67+5630+1875,5)грн. х 0,065 : (1300 х 345) = 0,013 грн./кг 6. Собівартість 1 кг хліба (матеріальні витрати + витрати на енергоносії + фонд оплати праці + транспортні витрати + витрати на комунальні послуги й орендну плату + амортизація устаткування ) складає(з обліком уплаченого ПДВ –20%): 6.1. Пекарня «ВОСХОД-1300Р» (на газі): 1,22 + 0,048 +0,0832 + 0,0615 + 0,0732 + 0,013 = 1,4989 грн./кг 7. Чистий доход підприємства від реалізації 1 кг хліба (роздрібна ціна 1 кг хліба – собівартість), де роздрібна ціна 1 кг хліба це роздрібна ціна 1 буханця хліба : вага = 1,4 грн. : 0,75 = 1,867 грн. складає,при цьому з ціни реалізації стягується різниця полученого й уплаченого податку ПДВ (20%)[14].: 7.1. Пекарня «ВОСХОД-1300Р» (на газі): 1,867грн.*5/6 – 1,4989 грн.*5/6 = 0,3067 грн./кг 8. Рентабельність виробництва по чистому прибутку підприємства складе ( як відношення чистого прибутку з 1 кг хліба до витрат на виробництво 1 кг хліба) : 8.1. Пекарня «ВОСХОД-1300Р» (на газі): 0,3067/(1,4989*5/6)*(1-0,25) *100 % = 18,4 % 9. Основні витрати (вартість пекарні + додаткове електросилове устаткування + транспортні витрати по доставці + монтаж і пусконаладка устаткування) складають: 9.1. Пекарня «ВОСХОД-1300Р» (на газі): 98841,67+916,67+5630,0+1875,5 = 107 263,84 грн. 10. Строк окупності, днів (основні витрати : (чистий прибуток з 1 кг хліба х продуктивність пекарні) складає: 10.1. Пекарня «ВОСХОД-1300Р» (на газі): 107 263,84 грн. : (0,3067 грн./кг х 1300кг/день) = 269 днів чи 0,75 року Таким чином, зростання реалізаційних цін на хліб до рівня травня 2006 року 1,50 грн. за буханець „Соціального хліба” з рівня 1,20 грн. за той же буханець у травні 2004 року (темп росту + 125%) супроводжується, як із збільшенням собівартості з рівня: - 1,4806 грн/кг (2004) та 1,4989 грн/кг(2006), збільшення виробничої собівартості на +1,23% так і з підняттям рентабельності роботи хлібопекарних підприємств - виробнича рентабельність зросла з 5,04% (2004) до 18,4%(2006), темп росту виробничої рентабельності +365,0% На рис.2._ наведена порівняльна структура формування виробничої собівартості 1 кг хліба за рахунок вартості основних складових у 2004 та 2006 роках.
Рис.2.14 Порівняльна структура формування виробничої собівартості 1 кг хліба за рахунок вартості основних складових у 2004 та 2006 роках на роторній печі продуктивністю 1300 кг/зміну Як видно з графіків рис.2.14 частка вартості муки в собівартості 1 кг хліба зменшилась з рівня 85%(2004) до 76,6% (2006), а 8,4% її зменшення розподілились на зростання оплати праці, енергії, комунальних послуг та оренди. РОЗДІЛ 3. БІЗНЕС-ПЛАН ЗНИЖЕННЯ СОБІВАРТОСТІ ПРОДУКЦІЇ ВАТ “ДНІПРОПЕТРОВСЬКИЙ ХЛІБОЗАВОД № 9” 3.1 Специфіка державного регулювання та розвитку конкуренції на ринку хліба в Дніпропетровській області у 2003 - 2007 роках Основними особливостями роботи хлібопекарських підприємств є : - ненадійність ринку зерна, який залежить від реалізації кліматичних умов та щорічного врожаю зерна не тільки на Україні, але і в зернових зонах світу; - необхідність реалізації основного обсягу виробленої продукції на протязі 24 годин, що потребує оперативного керування територіальними ринками збуту продукції та цінами реалізації; На рис.3.1 наведена асортиментна структура реалізації хліба по Україні.
Рис.3.1. Валова долі асортименту хліба та хлібобулочних виробів на ринку хліба України В табл. 3.1 наведені основні результати роботи ВАТ “Дніпропетровський хлібзавод №9” та його основних конкурентів у Дніпропетровській області (без врахування конкуренції хлібозаводів Запорізької області). Таблиця 3.1 Основні конкурентні показники діяльності підприємств –хлібозаводів на ринку Дніпропетровської області у 2003 році
Як показують дані табл.3.1 конкурентне середовище хлібного ринку виробників у Дніпропетровській області за результатами 2003 року характеризується підвищенням монополізації виробництва великими хлібозаводами та банкрутством районних хлібозаводів, які не витримали підвищення цін на борошно у 2003 році, оскільки виробляли сорти хліба, віднесені до “соціальних”, тобто з регульованою державою ціною. Таблиця 3.2 Основні конкуренти ВАТ “Дніпропетровській хлібозавод №9”
Державне регулювання цін на “соціальні” сорти хліба впроваджувалося в Україні в 2003 році в стані ажіотажного попиту та підняття цін на хлібному ринку України. Урядова політика адміністративного стримування цін на хліб зазнала остаточного фіаско. У жовтні 2003 року більшість областей якщо не перейшли до вільного ціноутворення, то принаймні визнали, що на збереження «красивої міни» й низьких цін у регіональних «засіках» уже не вистачає ні дешевої пшениці, ні фінансів для покриття пекарських збитків. Сталося те, про що фахівці зернового ринку попереджали ще влітку 2003 року: хліб почав стрімко дорожчати. В 2007 – 2008 роках в деяких регіонах за 0,7 кг паляницю вже просять три гривні. Якщо в період з 10 по 25.05.06 середні оптово-відпускні та роздрібні ціни на хліб в Дніпропетровській області були стабільними і становили: 1) хліб з борошна вищого ґатунку: - оптово-відпускна ціна – 2,13 грн/кг 2) хліб з борошна першого ґатунку: - оптово-відпускна ціна – 1,85 грн/кг 3) хліб житньо-пшеничний: оптово-відпускна ціна – 1,63 грн/кг 4) хліб житньо-пшеничний (соціальний): оптово-відпускна ціна – 1,39 грн/кг то період з 1 по 18.01.2008 середні оптово-відпускні та роздрібні ціни на хліб в Дніпропетровській області становлять: 1) хліб з борошна вищого ґатунку: - оптово-відпускна ціна – 2,80 –3,30 грн/кг 2) хліб з борошна першого ґатунку: - оптово-відпускна ціна – 2,07 – 2,65 грн/кг 3) хліб житньо-пшеничний: оптово-відпускна ціна – 1,82 – 2,51 грн/кг 4) хліб житньо-пшеничний (соціальний): оптово-відпускна ціна – 1,65 грн/кг В табл.3.3 наведені основні зміни цін у 2008, 2006 роках відносно базового 2004 року в рівні змінних витрат. В табл.3.4 - 3.5 навелені рецептурні матеріальні витрати при виготовлені “Соціального хліба “ у травні 2004 року та у травні 2006 року. Таблиця 3.3 Ціни на основну сировину,енергію та експлуатацію обладнання для виробництва хліба (“Соціального хліба –Таврійський формовий”)
Таблиця 3.4 Матеріальні витрати рецептури “Соціального хліба –Таврійський формовий” (травень 2004 року)
Вихід хліба 135 кг (за Дст). Матеріальні витрати на 1 кг складають: 175,57 грн / 135 кг = 1,30 грн./кг (зі сплаченим ПДВ-20%). Таблиця 3.5 Матеріальні витрати рецептури “Соціального хліба – Таврійський формовий” (травень 2006 року):
Вихід хліба 135 кг (за Дст). Матеріальні витрати на 1 кг складають: 165,1 / 135 = 1,22 грн./кг (зі сплаченим ПДВ-20%). Таблиця 3.6 Основні характеристики хлібопечі ВОСХОД 1300Р для розрахунків калькуляції хлібної продукції(травень 2004 року)
Розрахунок собівартості на травень 2006 року 1.Витрати на електроенергію на 1 кг хліба ((витрата електроенергії в зміну х вартість електроенергії + витрата дизпалива в зміну х вартість дизпалива + витрата газу в зміну х вартість газу) : продуктивність пекарні) складають: 1.1. Пекарня «ВОСХОД-1300Р» (на дизельному паливі): (94,6 х 0,23 + 46,2 х 1,4) : 1300кг = 0,066 грн./кг 1.2. Пекарня «ВОСХОД-1300Р» (на газі): (94,6 х 0,23 + 53,5 х0,36) : 1300кг = 0,029 грн./кг Таблиця 3.7 Витрата енергоносіїв печі ВОСХОД – 1300Р у зміну (травень 2004 року)
2. Фонд оплати праці (ФОП) на 1 кг хліба (середня заробітна плата на місяць х Квиплат до соцфонду * чисельність працюючих у зміну х кількість змін : (продуктивність пекарні х кількість робочих днів у місяці)) складає: 450 грн./мес. х 1,4 х 4 х 1 : (1300кг х 30) = 0,0646 грн./кг 3. Транспортні витрати на 1 кг хліба (транспортні витрати на місяць : (продуктивність пекарні х кількість робочих днів у місяці)) складають: 900 грн. : (1300 х 30) = 0,023 грн./кг 4. Витрати на комунальні послуги й орендну плату на 1 кг хліба (площа приміщення х (вартість комунальних послуг + орендна плата) : (продуктивність пекарні х кількість робочих днів у місяці)) складають: 120м2 х (15,0 +2,0) : (1300 х 30) = 0,052 грн./кг 5. Амортизація устаткування на 1 кг хліба ((вартість пекарні + вартість додаткового електросилового устаткування) х річна норма амортизації (6,5 %) : (продуктивність пекарні х кількість робочих днів у році)) складає: 5.1. Пекарня «ВОСХОД-1300Р» (на дизельному паливі): (72313,33+916,67+5630+1875,5)грн. х 0,065 : (1300 х 345) = 0,012 грн./кг 5.2. Пекарня «ВОСХОД-1300Р» (на газі): (78841,67+916,67+5630+1875,5)грн. х 0,065 : (1300 х 345) = 0,013 грн./кг 6. Собівартість 1 кг хліба (матеріальні витрати + витрати на енергоносії + фонд оплати праці + транспортні витрати + витрати на комунальні послуги й орендну плату + амортизація устаткування ) складає(з обліком уплаченого ПДВ –20%): 6.1. Пекарня «ВОСХОД-1300Р» (на дизельному паливі): 1,30 + 0,066 + 0,0646 + 0,023 + 0,052 + 0,012 = 1,5176 грн./кг 6.2. Пекарня «ВОСХОД-1300Р» (на газі): 1,30 + 0,029 +0,0646 + 0,023 + 0,052 + 0,012 = 1,4806 грн./кг 7. Чистий доход підприємства від реалізації 1 кг хліба (роздрібна ціна 1 кг хліба – собівартість), де роздрібна ціна 1 кг хліба це роздрібна ціна 1 буханця хліба : вага = 1,2 грн. : 0,75 = 1,60 грн. складає,при цьому з ціни реалізації стягується різниця полученого й уплаченого податку ПДВ (20%)[14].: 7.1. Пекарня «ВОСХОД-1300Р» (на дизельному паливі): 1,60 грн.*5/6* – 1,5176 грн.*5/6 = 0,0687 грн./кг 7.2. Пекарня «ВОСХОД-1300Р» (на газі): 1,60грн.*5/6 – 1,4806 грн.*5/6 = 0,0995 грн./кг 8. Рентабельність виробництва по чистому прибутку підприємства складе ( як відношення чистого прибутку з 1 кг хліба до витрат на виробництво 1 кг хліба) : 8.1. Пекарня «ВОСХОД-1300Р» (на дизельному паливі): 0,0687/1,5176*(1-0,25) * 100 % = 3,39 % 8.2. Пекарня «ВОСХОД-1300Р» (на газі): 0,0995/1,4806*(1-0,25) *100 % = 5,04 % 9. Основні витрати (вартість пекарні + додаткове електросилове устаткування + транспортні витрати по доставці + монтаж і пусконаладка устаткування) складають: 9.1. Пекарня «ВОСХОД-1300Р» (на дизельному паливі): 72313,33+916,67+5630,0+1875,5 = 80735,5 грн. 9.2. Пекарня «ВОСХОД-1300Р» (на газі): 78841,67+916,67+5630,0+1875,5 = 87263,84 грн. 10. Строк окупності, днів (основні витрати : (чистий прибуток з 1 кг хліба х продуктивність пекарні) складає: 10.1. Пекарня «ВОСХОД-1300Р» (на дизельному паливі): 80 735,5 грн. : (0,0687 грн./кг х 1300кг/день) = 904 дні чи 2,48 років. 10.2. Пекарня «ВОСХОД-1300Р» (на газі): 87 263,84 грн. : (0,0995 грн./кг х 1300кг/день) = 674 дня чи 1,85 роки. Таблиця 3.8 Основні характеристики хлібопечі ВОСХОД 1300Р для розрахунків калькуляції хлібної продукції(травень 2006 року)
Таблиця 3.9 Витрата енергоносіїв пічі ВОСХОД – 1300Р у зміну (травень 2006 року)
Розрахунок собівартості на травень 2006 року 1.Витрати на електроенергію на 1 кг хліба ((витрата електроенергії в зміну х вартість електроенергії + витрата дизпалива в зміну х вартість дизпалива + витрата газу в зміну х вартість газу) : продуктивність пекарні) складають: 1.1. Пекарня «ВОСХОД-1300Р» (на дизельному паливі): (94,6 х 0,28 + 46,2 х 3,7) : 1300кг = 0,1519 грн./кг 1.2. Пекарня «ВОСХОД-1300Р» (на газі): (94,6 х 0,28 + 53,5 х0,67) : 1300кг = 0,048 грн./кг 2. Фонд оплати праці (ФОП) на 1 кг хліба (середня заробітна плата на місяць х Квиплат до соцфонду * чисельність працюючих у зміну х кількість змін : (продуктивність пекарні х кількість робочих днів у місяці)) складає: 850 грн./мес. х 1,4 х 4 х 1 : (1300кг х 30) = 0,0832 грн./кг 3. Транспортні витрати на 1 кг хліба (транспортні витрати на місяць : (продуктивність пекарні х кількість робочих днів у місяці)) складають: 2400 грн. : (1300 х 30) = 0,0615 грн./кг 4. Витрати на комунальні послуги й орендну плату на 1 кг хліба (площа приміщення х (вартість комунальних послуг + орендна плата) : (продуктивність пекарні х кількість робочих днів у місяці)) складають: 120м2 х (20,0 +3,8) : (1300 х 30) = 0,0732 грн./кг 5. Амортизація устаткування на 1 кг хліба ((вартість пекарні + вартість додаткового електросилового устаткування) х річна норма амортизації (6,5 %) : (продуктивність пекарні х кількість робочих днів у році)) складає: 5.1. Пекарня «ВОСХОД-1300Р» (на дизельному паливі): (72313,33+916,67+5630+1875,5)грн. х 0,065 : (1300 х 345) = 0,012 грн./кг 5.2. Пекарня «ВОСХОД-1300Р» (на газі): (78841,67+916,67+5630+1875,5)грн. х 0,065 : (1300 х 345) = 0,013 грн./кг 6. Собівартість 1 кг хліба (матеріальні витрати + витрати на енергоносії + фонд оплати праці + транспортні витрати + витрати на комунальні послуги й орендну плату + амортизація устаткування ) складає(з обліком уплаченого ПДВ –20%): 6.1. Пекарня «ВОСХОД-1300Р» (на дизельному паливі): 1,22 + 0,1519 + 0,0832 + 0,0615 + 0,0732 + 0,012 = 1,6018 грн./кг 6.2. Пекарня «ВОСХОД-1300Р» (на газі): 1,22 + 0,048 +0,0832 + 0,0615 + 0,0732 + 0,013 = 1,4989 грн./кг 7. Чистий доход підприємства від реалізації 1 кг хліба (роздрібна ціна 1 кг хліба – собівартість), де роздрібна ціна 1 кг хліба це роздрібна ціна 1 буханця хліба : вага = 1,4 грн. : 0,75 = 1,867 грн. складає,при цьому з ціни реалізації стягується різниця полученого й уплаченого податку ПДВ (20%)[14].: 7.1. Пекарня «ВОСХОД-1300Р» (на дизельному паливі): 1,867 грн.*5/6 – 1,6018 грн.*5/6 = 0,221 грн./кг 7.2. Пекарня «ВОСХОД-1300Р» (на газі): 1,867грн.*5/6 – 1,4989 грн.*5/6 = 0,3067 грн./кг 8. Рентабельність виробництва по чистому прибутку підприємства складе ( як відношення чистого прибутку з 1 кг хліба до витрат на виробництво 1 кг хліба) : 8.1. Пекарня «ВОСХОД-1300Р» (на дизельному паливі): 0,221/(1,6018*5/6)*(1-0,25) * 100 % = 12,41 % 8.2. Пекарня «ВОСХОД-1300Р» (на газі): 0,3067/(1,4989*5/6)*(1-0,25) *100 % = 18,4 % 9. Основні витрати (вартість пекарні + додаткове електросилове устаткування + транспортні витрати по доставці + монтаж і пусконаладка устаткування) складають: 9.1. Пекарня «ВОСХОД-1300Р» (на дизельному паливі): 92313,33+916,67+5630,0+1875,5 = 100 735,5 грн. 9.2. Пекарня «ВОСХОД-1300Р» (на газі): 98841,67+916,67+5630,0+1875,5 = 107 263,84 грн. 10. Строк окупності, днів (основні витрати : (чистий прибуток з 1 кг хліба х продуктивність пекарні) складає: 10.1. Пекарня «ВОСХОД-1300Р» (на дизельному паливі): 100 735,5 грн. : (0,221 грн./кг х 1300кг/день) = 351 день чи 0,97 року. 10.2. Пекарня «ВОСХОД-1300Р» (на газі): 107 263,84 грн. : (0,3067 грн./кг х 1300кг/день) = 269 днів чи 0,75 року Таким чином, зростання реалізаційних цін на хліб до рівня травня 2006 року 1,50 грн. за буханець „Соціального хліба” з рівня 1,20 грн. за той же буханець у травні 2004 року (темп росту + 125%) пов”язане, як із збільшенням собівартості з рівня: а) для печі на газі 1,4806 грн/кг (2004) та 1,4989 грн/кг(2006), збільшення виробничої собівартості на +1,23% б) для печі на дизельному пальному 1,5176 грн./кг(2004) та 1,6018 грн./кг(2006) , збільшення виробничої собівартості + 5,54% так і з виходом хлібопекарних підприємств на рентабельну роботу: а) для печі на газі виробнича рентабельність зросла з 5,04% (2004) до 18,4%(2006), темп росту виробничої рентабельності +365,0% б) для печі на дизельному пальному виробнича рентабельність зросла з 3,9%(2004) до 12,41%(2006) , темп росту виробничої собівартості + 318,2% Тобто підвищення ціни на хліб має двоїсту природу саморегуляції інвестиційного капіталу, який потребує нормального рівня прибутковості. 3.2 Бізнес-план зниження собівартості продукції у 2008 році за рахунок впровадження нових типів хлібопекарень «ВОСХОД» В якості основних шляхів зниження собівартості продукції ВАТ „Дніпропетровський хлібокомбінат № 9” в дипломному проекті пропонуються наступні заходи технічного переобладнання виробництва більш продуктивним та економним обладнанням фірми ЗАТ НПП „Восход” (Росія) останніх серій: 1. Хлібопекарні пічі „Муссонротор” випускаються в трьох варіантах – з електричними нагрівачами, з газовими нагрівачами та нагрівачами на дизельному топливі. Зовнішній вид пічей „Муссон-Ротор” наведений в Додатку Ж. Оскільки в останній рік зростання цін на газ та дизельне пальне перевищує зростання цін на електроенергію, в розрахунках по обґрунтуванню більш економічних печей були включені варіанти на всіх трьох видах пального. 2. Хлібопекарні пічі „Муссон-ротор” випускаються в декількох варіантах по обсягам змінної випічки хліба – 500 кг/зміну, 700 кг/зміну, 1300 кг/зміну, 2500 кг/зміну, 5000 кг/зміну. При рості обсягів випуску хліба міняється співвідношення постійних та перемінних витрат, при цьому структурна доля постійних витрат падає, що підвищує рівень рентабельності виробництва. В економічному обґрунтуванні бізнес-плану дипломного проекту проведені калькуляційні розрахунки собівартості для печей на одному виді палива та при різних обсягах продуктивності, а також на різних типах палива при одному обсягу продуктивності (типовий розрахунок наведений в табл.3.10). Таблиця 3.10 Порівняльний калькуляційний розрахунок собівартості хліба та рентабельності його виробництва у 2008 році на нових печах “ВОСХОД”
Закінчення табл.3.10
В таблицях Додатку К наведені результати розрахунків показників бізнес-планів впровадження нових видів хлібопекарних роторних печей „Муссон-Ротор”, які працюють на електроенергії, на газі та на дизельному пальному. На рис. 3.2 наведені результати розрахунків собівартості 1 кг хліба на різних типах печей з різними рівнями продуктивності. Розраховувалися три види собівартості - виробнича, цехова та загальна по підприємству. Реалізаційна ціна 1 кг хліба у всіх варіантах приймалася на рівні 2008 року – 2,86 грн./кг.
Рис.3.2. Результати розрахунків собівартості для різних варіантів впроваджуємих роторних пічей „Муссон-Ротор” на трьох видах палива при варіації продуктивності від 500 до 5000 кг хліба в зміну
Рис.3.3. Результати розрахунків рівня рентабельності для різних варіантів впроваджуємих роторних пічей „Муссон-Ротор” на трьох видах палива при варіації продуктивності від 500 до 5000 кг хліба в зміну
Рис.3.4. Результати аналізу підвищення рівня рентабельності роботи на печях „Муссон-Ротор” на газі при рості продуктивності пічей від 2500 до 5000 кг хліба в зміну та відповідному зниженні рівня постійних витрат в собівартості
Рис.3.5. Розрахунковий строк окупності витрат на впровадження нових видів роторних пічей „Муссон – ротор”
Рис.3.6. Порівняльна ефективність впровадження різних видів палива при рівній продуктивності пічі „Муссон-Ротор -2500” (2500 кг хліба за зміну) Таким чином, отримані результати калькуляційних розрахунків показників альтернативних бізнес-планів показали, що при рівнях вартості електроенергії, газу та дизельного пального для січня 2008 року рентабельність виробництва хліба для печей з сталим рівнем продуктивності 2500 кг хліба становить: при використанні електроенергії - 3,21%; при використанні дизельного пального – 11,96% при використанні газу - 18,98% Дисконтована «пренумерандо» чиста рентабельність інвестицій на придбання та монтаж обладнання при коефіцієнті дисконтування на рівні інфляції 2007 року – 17% та сроку окупності проекту 1 рік становитиме: при використанні електроенергії – (-13,8)%; при використанні дизельного пального – (-5,0%)% при використанні газу - (+1,98)% Отже, навіть при рості ціни на газ з 50 доларів(2004) до 180 доларів(2008) за 1000 м3 найбільш ефективним є використання роторних хлібопекарських печей на природному газі. Розрахунковий аналіз впливу росту продуктивності роторної пічі на структурне співвідношення перемінних та постійних витрат на прикладі роторних печей „Муссон-Ротор” на природному газі з продуктивністю від 2500 до 5000 кг хліба в зміну показав, що: при продуктивності пічі 2500 кг/зміну рівень постійних витрат в собівартості становить 7,01%, відповідна загальна для підприємства собівартість 1 кг хліба становить 2,40 грн./кг, що при ціні продажу 2,86 грн./кг відповідає рівню рентабельності 14,18%; при продуктивності пічі 3600 кг/зміну рівень постійних витрат в собівартості становить 6,95%, відповідна загальна для підприємства собівартість 1 кг хліба становить 2,43 грн./кг, що при ціні продажу 2,86 грн./кг відповідає рівню рентабельності 13,38%; при продуктивності пічі 5000 кг/зміну рівень постійних витрат в собівартості становить 5,45%, відповідна загальна для підприємства собівартість 1 кг хліба становить 2,26 грн./кг, що при ціні продажу 2,86 грн./кг відповідає рівню рентабельності 19,62%; ВИСНОВКИ Основними особливостями роботи хлібопекарських підприємств є : - ненадійність ринку зерна, який залежить від реалізації кліматичних умов та щорічного врожаю зерна не тільки на Україні, але і в зернових зонах світу; - необхідність реалізації основного обсягу виробленої продукції на протязі 24 годин, що потребує оперативного керування територіальними ринками збуту продукції та цінами реалізації; Досліджуємо в дипломному проекті підприємство - ВАТ “Дніпропетровський хлібозавод №9” за обсягами виробництва хлібобулочної продукції є третім в Дніпропетровській області (після ВАТ “Хліб” №8 та хлібозавода №10). У середньому добовий тонаж заводу складає близько 35 тон хлібобулочних виробів, продукція доставляється у власну мережу магазинів та хлібних кіосків реалізації у м.Дніпропетровську власним автотранспортом. Штат підприємства – 682 співробітників, що працюють у 1 – 3 зміни, середньоявочна чисельність зміни – 294 чоловік (коефіцієнт змінності – 2,13). Аналіз результатів первинної статистичної обробки балансових звітів та звітів про фінансові результати діяльності ВАТ “Дніпропетровський хлібозавод №9” за 2005 – 2007 роки показав: - валюта активів балансу у 2006 році зросла на + 12,1 % відносно рівня 2005 року, а у 2007 році ще зросла на + 1,4 % відносно рівня 2006 року, таким чином валюта балансу за два роки зросла з 14,9 млн.грн. до 16,9 млн.грн..; - необоротний капітал (основні фонди) підприємства зросли за два роки з 9,47 млн.грн. до 10, 89 млн.грн., займаючи основну долю 80,0%(у 2005), 78,4% (у 2006), 73,2%(у 2007) % в валюті баланса, тобто підприємство – виробниче, а основні фонди – це основний потенціал виробництва. - динаміка структурної долі грошових коштів характеризується падінням з рівня 3,1% (2005 рік) до рівня 1,8% у 2007 році; - динаміка структурної долі виробничих запасів характеризується стабільним рівнем 9,6 %(2005), 10,2%(2006), 9,4%(2007); - динаміка структурної долі дебіторської заборгованості характеризується зростанням з рівня 7,2%(2005) до 9,2%(2006) та зростанням до рівня 12,4% у 2007 році; Таким чином, для 2005 - 2007 років для активів підприємства при рості валюти балансу на +13,4% характерні процеси нарощення структурної частки мобільних коштів за рахунок росту рівня дебіторської заборгованості з 2,03 млн.грн. до 2,42 млн.грн. (в 1,18 рази) та зростання рівня готівкових коштів з 74,9 тис.грн. до 196,8 тис.грн., тобто у підприємства можна відмітити появу проблеми з розрахунками за реалізовану продукцію, відпущену у комерційний кредит. Основними джерелами ресурсів підприємства ВАТ “Дніпропетровський хлібозавод №9” є власний капітал та кредиторська заборгованість за надані товари та послуги: структурна частка власного капіталу становить 82,4% у 2005 році та 79,9% у 2007 році структурна частка кредиторської заборгованості наростає з рівня 12,5% у 2005 році до рівня 14,0% у 2007 році; у 2005 - 2007 роках підприємство не використовувало короткострокові банківські кредити, довгострокові не перевищували рівня 4,9% (2006 рік); рівень поточних пасивів в розрахунках займає частку 17,1 - 19,6%; Аналіз динаміки показників звітів про фінансові результати ВАТ “Дніпропетровський хлібозавод №9” показав : обсяги чистого доходу від реалізації продукції в 2005 – 2007 році поступово нарощуються з рівня 29,13 млн.грн.(2005) до рівня 30,4 млн.грн. у 2006 році та до рівня 34,0 млн.грн. у 2007 році; ланцюговий темп росту обсягів доходів від реалізації становить +4,35% у 2006 році відносно рівня 2005 року та +11,8 % у 2007 році відносно рівня 2006 року; - ланцюговий темп росту собівартості випуску та реалізації продукції становить + 1,58 % у 2006 році відносно рівня 2005 року та + 9,7% у 2007 році відносно рівня 2006 року, тобто темп росту обсягів доходів від реалізації при розширенні виробництва є вищим, ніж темп росту собівартості продукції; - ланцюговий темп росту чистого прибутку після оподаткування становить -96,6 % у 2006 році відносно рівня 2005 року та +987% у 2007 році відносно рівня 2006 року, що свідчить про нестабільний характер розвитку ділової діяльності підприємства; Аналіз результатів вторинної (коефіцієнтної) статистичної обробки балансових звітів та звітів про фінансові результати діяльності ВАТ “Дніпропетровський хлібозавод №9”за 2005 – 2007 роки показав: - значення коефіцієнта загальної ліквідності знаходилось в діапазоні 1,56 (2005 рік), 1,44(2006 рік) та 1,41(2007 рік), тобто задовольняє нормативні вимоги (більше 1,0) для рівня загальної ліквідності підприємства; - значення коефіцієнта строкової ліквідності знаходилось в діапазоні 0,45 (2005 рік), 0,47(2006 рік) та 0,43(2007 рік), тобто не задовольняє нормативні вимоги (0,7-0,8) для рівня строкової ліквідності підприємства; - значення коефіцієнта абсолютної (моментальної) ліквідності знаходилось у діапазоні 0,029 (2005 рік) - 0,059(2007 рік), тобто у 2005 –2007 роках не задовільнює нормативні вимоги (0,2-0,35) для рівня абсолютної ліквідності підприємства і ідентифікує у підприємства наявність проблем з готівковими розрахунками; - значення коефіцієнта співвідношення дебіторської та кредиторської заборгованостей зменшилось з рівня 1,5 (2005 рік) до рівней 0,56(2006 рік) та 0,52 (2007 рік), тобто у 2004 –2005 роках не задовільнює нормативні вимоги (більше 1,0) для рівня співідношення дебіторської та кредиторської заборгованостей, тобто у підприємства існують проблеми з джерелом своєчасних розрахунків з кредиторами, особливо при відсутності необхідного рівня готівкових коштів для розрахунків; Аналіз рентабельності активів та власного капіталу ВАТ “Дніпропетровський хлібозавод №9” показав, що його діяльність може бути охарактеризована наступним рівнем показників: 1. Ресурсовіддача активів в чисту виручку на підприємстві знаходиться на стабільному високому рівні 1,96 (2005), 1,82(2006), 2,02(2007) році, тобто підприємство працює ефективно; 2. Фондовіддача основних засобів в чисту виручку на підприємстві знаходиться на стабільному високому рівні 3,13 (2005), 2,93(2006), 3,30(2007) році, тобто додатково введені основні фонди працюють ефективно; 3. Рентабельність активів по валовому реалізаційному прибутку знизилась з рівня 41,17% у 2005 році до рівня 42,13% у 2006 році та значно зросла до рівня 49,56% у 2007 році; 2. Рентабельність власного капіталу по чистому прибутку після оподаткування знизилась з рівня 2,89% у 2005 році до рівня 0,09% у 2006 році та піднялась до рівня 0,97% у 2007 році. Для акціонерів ВАТ “Дніпропетровський хлібозавод №9” такий рівень дивідендної доходності є замалим при альтернативній ринковій нормі доходності капіталу в Україні 13 –16% річних, що практично робить підприємство інвестиційно непривабливим і не дає можливості нарощувати рівень власного капіталу за рахунок додаткової емісії. Одночасно, для форми відкритого акціонерного товариства існує ризик масового продажу низькорентабельних акцій на біржі та перепорядкування підприємства новим власникам. Таким чином, підвищення рентабельності власного капіталу є основною задачею розвитку підприємства, а проблеми ідентифікації структури та пошуку шляхів зниження виробничої та повної собівартості виробництва є нагальними і актуальними для успішної конкурентоспроможної роботи підприємства. Розрахункова імовірність банкрутства підприємства ВАТ “Дніпропет-ровський хлібозавод №9” по Альтману є незначною, при цьому основний внесок в фінансову стійкість підприємства вносить наднормативне значення коефіцієнта автономності (фінансової незалежності) підприємства та високе значення коефіцієнту ресурсовіддачі активів, вплив прибутку підприємства є незначним, що потребує уваги менеджменту підприємства. Таким чином, за результатами економічної діагностики підприємства ВАТ “Дніпропетровський хлібозавод №9” у 2005 - 2007 роках та аналізу структури його потенціалу, основною проблемою розвитку підприємства є підвищення рентабельності власного капіталу до норми альтернативної доходності інвестиційного капіталу на ринках України (13 –16% річних), оскільки існує загроза масового продажу низькорентабельних (доходність 1,0%) акцій відкритого акціонерного товариства на біржі та зміні власників підприємства. Основним шляхом вирішення вищеназваної проблеми проблеми з врахуванням обмежень на ціну продажу хліба є зниження собівартості виробництва. Як показав аналіз змін вагових часток в структурі виробничої собівартості за 2005 – 2007 роки: частка матеріальних витрат в виробничій собівартості знизилась з рівня 70,23% (2005) до рівня 64,76% у 2007 році; частка витрат на оплату праці персонала в виробничій собівартості підвищилась з рівня 16,23%+6,17% = 22,4% у 2005 році до рівня 20,53%+6,65% = 27,18% у 2007 році; Як показує аналіз результатів структур повної собівартості продукції в ВАТ „Дніпропетровський хлібзавод №9”: - рівень адміністративних витрат зріс з 4,75% (2005 рік) до рівня 4,91% у 2007 році; - рівень витрат на збут зменшився з 12,35% (2005 рік) до рівня 11,0% у 2007 році; - рівень позавиробничих операційних витрат зменшився з 3,67% (2005 рік) до рівня 1,09% у 2007 році; Таким чином, при формуванні як виробничої так і повної собівартості продукції в ВАТ „Дніпропетровський хлібозавод №9” все більшу вагову частку займає складова – оплата праці персоналу + виплата в фонди соціального страхування за рахунок скорочення часток всіх остальних складових собівартості. В якості основних шляхів зниження собівартості продукції ВАТ „Дніпропетровський хлібокомбінат № 9” в бізнес-плані дипломному проекту пропонуються наступні заходи технічного переобладнання виробництва більш продуктивним та економним обладнанням фірми ЗАТ НПП „Восход” (Росія) останніх серій: 1. Хлібопекарні пічі „Муссон-ротор” випускаються в трьох варіантах – з електричними нагрівачами, з газовими нагрівачами та нагрівачами на дизельному топливі. Оскільки в останній рік зростання цін на газ та дизельне пальне перевищує зростання цін на електроенергію, в розрахунках по обгрунтуванню більш економічних печей були включені варіанти на всіх трьох видах пального. 2. Хлібопекарні пічі „Муссон-ротор” випускаються в декількох варіантах по обсягам змінної випічки хліба – 500 кг/зміну, 700 кг/зміну, 1300 кг/зміну, 2500 кг/зміну, 5000 кг/зміну. При рості обсягів випуску хліба змінюється співвідношення постійних та змінних витрат, при цьому структурна частка постійних витрат падає, що підвищує рівень рентабельності виробництва. Отримані результати калькуляційних розрахунків показників альтернативних бізнес-планів (14 варіантів) показали, що при рівнях вартості електроенергії, газу та дизельного пального для січня 2008 року рентабельність виробництва хліба для печей з сталим рівнем продуктивності 2500 кг хліба становить: при використанні електроенергії - 3,21%; при використанні дизельного пального – 11,96% при використанні газу - 18,98% Дисконтована «пренумерандо» чиста рентабельність інвестицій на придбання та монтаж обладнання при коефіцієнті дисконтування на рівні інфляції 2007 року – 17% та сроку окупності проекту 1 рік становитиме: при використанні електроенергії – (-13,8)%; при використанні дизельного пального – (-5,0%)% при використанні газу - (+1,98)% Отже, навіть при рості ціни на газ з 50 доларів(2004) до 180 доларів(2008) за 1000 м3 найбільш ефективним є використання роторних хлібопекарських печей на природному газі. Розрахунковий аналіз впливу росту продуктивності роторної пічі на структурне співвідношення перемінних та постійних витрат на прикладі роторних печей „Муссон-Ротор” на природному газі з продуктивністю від 2500 до 5000 кг хліба в зміну показав, що: при продуктивності пічі 2500 кг/зміну рівень постійних витрат в собівартості становить 7,01%, відповідна загальна для підприємства собівартість 1 кг хліба становить 2,40 грн./кг, що при ціні продажу 2,86 грн./кг відповідає рівню рентабельності 14,18%; при продуктивності пічі 3600 кг/зміну рівень постійних витрат в собівартості становить 6,95%, відповідна загальна для підприємства собівартість 1 кг хліба становить 2,43 грн./кг, що при ціні продажу 2,86 грн./кг відповідає рівню рентабельності 13,38%; при продуктивності пічі 5000 кг/зміну рівень постійних витрат в собівартості становить 5,45%, відповідна загальна для підприємства собівартість 1 кг хліба становить 2,26 грн./кг, що при ціні продажу 2,86 грн./кг відповідає рівню рентабельності 19,62%; Таким чином, при впровадженні нового обладнання на підприємстві ВАТ “Дніпропетровський хлібозавод №9” буде досягнутий рівень рентабельності акціонерного капіталу не нижчий рівня альтернативної ставки доходності капіталу в Україні, тобто підприємство стає інвестиційно привабливим і може розширювати обсяги акціонерного капіталу за рахунок додаткових емісій акцій. Актуальність отриманих в дипломному дослідженні результатів полягає в наданні ВАТ „Дніпропетровський хлібзавод № 9” обґрунтованих рекомендацій по шляхам зниження собівартості випускаємої продукції за рахунок технічного переоснащення виробництва новими високопродуктивними роторними печами „Муссон-Ротор-77/99” виробництва ЗАТ НПП „Восход” (Росія) на газовому паливі з продуктивністю 5000 кг хліба за зміну. ПЕРЕЛІК ДЖЕРЕЛ ЛІТЕРАТУРИ 1. Господарський кодекс України N 436-ІV від 16 січня 2003 року // Законодавчо-довідкова система законодавства України www.lіga-zakon.com.ua, квітень 2006 року 2. Закон України „Про оподаткування прибутку підприємств” N 283/97-ВР від 22 травня 1997 року // станом змін від від 7 липня 2005 року N 2771-ІV // Законодавчо-довідкова система законодавства України www.lіga-zakon.com.ua, квітень 2006 року 3. Закон України “Про господарські товариства” N1576-XІІ від 19 вересня 1991 року // станом змін від 17 травня 2001 року N 2409-ІІІ // Законодавчо-довідкова система законодавства України www.lіga-zakon.com.ua, квітень 2006 року 4. Положення (стандарт) бухгалтерського обліку 1 "Загальні вимоги до фінансової звітності", Наказ Мінфіна України № 87 від 31.03.1999 + № 304 від 30.11.2000 // Законодавчо-довідкова система законодавства України www.lіga-zakon.com.ua, квітень 2006 року 5. Положення (стандарт) бухгалтерського обліку 2 "Баланс", Наказ Мінфіна України № 87 від 31.03.1999 + № 304 від 30.11.2000 // Законодавчо-довідкова система законодавства України www.lіga-zakon.com.ua, квітень 2006 року 6. Положення (стандарт) бухгалтерського обліку 3 " Звіт про фінансові результати «, Наказ Мінфіна України № 87 від 31.03.1999 + № 304 від 30.11.2000 // Законодавчо-довідкова система законодавства України www.lіga-zakon.com.ua, квітень 2006 року 7. Положення (стандарту) бухгалтерського обліку 9 "Запаси" // Наказ Міністерства фінансів України від 29 листопада 1999 року N 290 (Із змінами і доповненнями, внесеними наказом Мінфіна України від 14 червня 2000 року N 131) // Законодавчо-довідкова система законодавства України www.lіga-zakon.com.ua, квітень 2006 року 8. Положення (стандарту) бухгалтерського обліку 16 "Витрати" // Наказ Міністерства фінансів України від 29 листопада 1999 року N 290 (Із змінами і доповненнями, внесеними наказом Мінфіна України від 14 червня 2000 року N 131) // Законодавчо-довідкова система законодавства України www.lіga-zakon.com.ua, квітень 2006 року 9. Типове положення з планування, обліку і калькулювання собівартості продукції (робіт, послуг) у промисловості // КАБІНЕТ МІНІСТРІВ УКРАЇНИ ПОСТАНОВА від 26 квітня 1996 р. N 473 // Законодавчо-довідкова система законодавства України www.lіga-zakon.com.ua, квітень 2006 року 10. Айвазян С.А. Основы эконометрики. – М.: Юнити–Дана, 2001.–432 с. 11. Азоев Г.Л., Челенков А.П. Конкурентные преимущества фирмы / Гос. ун-т управления, Нац. фонд подготовки фин. и упр. кадров. - М.: ОАО "Тип. "Новости", 2000. - 256 с. 12. Аристов О.В. Конкуренція і конкурентноздатність. – М., 1999 13. Баканов М.И., Шеремет А.Д. Теория экономического анализа: учебник. – М.: Финанси и статистика, 1996. 14. Бартанов А.С. Экономическая диагностика предприятия : организация и методология – М., 1991 15. Бланк И.А. Управление активами. - К.: «Ника-Центр», 2000. - 720 с. 16. Бойчук І.М. Харів П.С., Хопчан М.І. Економіка підприємств. – Львів: В-во “Сполом”, 1998. 17. Гетьман О.О., Шаповал В.М. Економіка підприємства: навчальний посібник для студентів вищих навчальних закладів.- Київ, Центр навчальної літератури, 2006. – 488 с. 18. Горбашко Е.А. Менеджмент качества и конкурентоспособности: Учеб. пособие. - СПб.: Изд-во СПбГУЭФ, 1998. - 207 с. 19. Горемыкин В.А., Прочан О.П. Економічна стратегія підприємства. – М., 2001. 20. Економіка підприємства: Навч.-метод. посібник для самост. вивч. дисц./ І .О.Швиданенко, С.Ф.Покропивний, С.М.Клименко та ін. - К.: КНЕУ, 2000 -248 с 21. Економіка підприємства: Підручник / За заг. ред. С.Ф.Покропивного - Вид 2-ге, перероб. та доп.- К.: КНЕУ, 2000. -528с. 22. Еленева Ю.Я. Обеспечение конкурентоспособности промышленных предприятий. - М.: "Янус-К", 2001. - 296 с. 23. Ефимова М.Р., Ганченко О.И., Петрова Е.В. Практикум по общей теории статистики: Учебное пособие. – Москва: Финансы и статистика, 2000. 24. Ізмайлова К.В. Фінансовий аналіз: Навч. посібник – К.: МАУП,2000. 25. Клебанова Т.С., Дубровина Н.А. и др. Эконометрия на персональном компьютере. Учебное пособие. – Харьков: ИЗД ХГЭУ, 2002. – 208с. 26. Кремер Н.Ш., Путко Б.А. Эконометрика: Учебник для вузов. – М.: ЮНИТИ – ДАНА, 2002. – 311 с. 27. Ковалев В.В. Методы оценки инвестиционных проектов, Москва, “Финансы и статистика”, 1998 28. Ковалев В.В. Финансовый анализ, Москва, “Финансы и статистика”, 1995 29. Коробов М.Я. Фінансово-економічний аналіз діяльності підпри-ємств-Навч посіб. - 3-тє вид., перероб. і доп. - К.: Т-во «Знання», КОО 2002. – 294 с 30. Костіна Н.І., Алексєєв А.А., Василик О.Д. Фінансове прогнозування: методи і моделі. – К.: “Знання”, 1995. 31. Крейнина М.Н. Финансовое состояние предприятия. Методы оценки.- М.: ИКЦ «Дис», 1997. 32.Оценка бизнеса: Учебник / Под ред. А.Г.Грязновой, М.А.Федотовой. - М.: Финансы и статистика, 2000. - 512 с. 33. Попов Е.В. Рыночный потенциал предприятия, М, «Экономика»,2002 – 559с. 34. Ревуцкий Л.Д. Потенциал и стоимость предприятия. – М.: Перспек-тива, 1997. – 124 с. 35.Савицкая Г.А. Анализ хозяйственной деятельности предприятия. - Минск: Нов. знание, 2000. - 688 с. 36.Савчук В.П. Финансовый менеджмент предприятий: прикладные вопросы с анализом деловых ситуаций. - К.: Издательский дом «Максимум», 2001.- 600 с. 37. Статистика підприємництва: навч.посібник / під ред. П.Г.Вашківа – К.: “Слобожанщина”, 1999 – 600 с. 38.Харів П.С. Економіка підприємства: Збірник задач і тестів: Навч. посіб. - К.: Знання-Прес, 2001. - 301 с. 39. Экономика предприятия: Учебник для вузов / Под ред. проф. В.А.Швандера. - 3-є изд., перераб. и доп. - М.: ЮНИТИ-ДАНА, 2001. – 718 с. 40. Экономика предприятия: Учебник для вузов / Под ред. проф. В.Я.Горфинкеля. - 3-є изд., переб. и доп. - М.: ЮНИТИ-ДАНА, 2002. - 718 с 41. Экономика предприятия: Учебник / Под ред. проф. О.И.Волкова. – М. ИНФРА-М, 2002.-601 с. 42. Экономика и статистика фирм: Учебник/ В.Е.Адамов, С.Д.Ильенкова. - 3-е изд., перераб. и доп. - М.: Финансы и статистика, 2000. - 288 с. 43. Фатхутдинов Р.А. Конкурентоспособность: экономика, стратегия, управление: Учеб. пособие для вузов. - М.: ИНФРА-М, 2000. - 312 с. 44. Федонін О.С., Репіна І.М., Олексик О.І. Потенціал підприємства: формування та оцінка: Навч.посібник.- К.:КНЕУ,2004.-316 с. 45. Финансовый менеджмент. Учебник для вузов/ под.ред. Г.Поляка. – Москва, “Финансы”,1997 46. Фінанси підприємств.Підручник /За ред.А.М.Поддєрьогіна – К.:КНЕУ,2000 47. http://www.voshod.ru - офіційний сайт ЗАТ НПП “Восход”(Саратов) ДОДАТОК А Таблиця А.1 Баланси ВАТ “Дніпропетровський хлібозавод №9” за 2005 – 2007 роки
Закінчення табл.А.1
Таблиця А.2
Продовження табл.А.2
Таблиця А.3
Закінчення табл.А.3
ДОДАТОК Б Таблиця Б.1 Звіти про фінансові результати ВАТ “Дніпропетровський хлібозавод №9” за 2005 – 2007 роки
Закінчення табл.Б.1
Таблиця Б.2
Закінчення табл.Б.2
ДОДАТОК В Декларації про податок на прибуток ВАТ “Дніпропетровський хлібозавод №9” за 2005-2007 роки Таблиця В.1 Декларація за 2005 рік
Таблиця 1. Розрахунок приросту (убутку) балансової вартості запасів Одиниця виміру: грн. з коп.
Таблиця 2. Розрахунок амортизаційних відрахувань Одиниця виміру: грн. з коп.
Таблиця 3. Витрати на поліпшення основних фондів, що включаються до складу валових витрат Одиниця виміру: грн. з коп.
Таблиця В.2 2006 рік
Таблиця В.3 2007 рік
ДОДАТОК Г Таблиця Г.1 Алгоритми розрахунку показників рентабельності [ ]
Таблиця Г.2 Алгоритми розрахунку показників ділової активності [ ]
Таблиця Г.3 Алгоритми розрахунку показників майнового стану [ ]
Платоспроможність підприємства – це здатність підприємства впевнено сплачувати всі свої боргові зобов’язання згідно з встановленими строками або відповідно до договірних умов [16]. Її можна вивчати за минулий період, на якусь певну (звітну) дату або як майбутню можливість розрахувати у необхідні терміни за існуючими короткостроковими зобов’язаннями. Платоспроможність підприємства визначається системою показників ліквідності оборотних активів балансу. Знаменник в усіх наведених показників один і той самий – поточні пасиви, тобто термінові невідкладні зобов’язання. Показники ліквідності характеризують здатність фірми виконувати свої поточні (короткострокові) зобов’язання за рахунок поточних активів. Коефіцієнт загальної ліквідності (Кл.заг . ) (коефіцієнт покриття) – це відношення поточних активів (Апот ) до поточних зобов’язань (Зпот ):
де :
Цей результат співвідноситься з одиницею і показує, скільки грошових одиниць поточних активів припадає на одну грошову одиницю поточних зобов’язань. При Кл.заг. <2 вважається, що платоспроможність підприємства невисока існує певний фінансовий ризик. Співвідношення 2:1 вважається нормальним, але для деяких сфер бізнесу воно може коливатись від 1,2 до 2,5 [18]. Коефіцієнт термінової ліквідності (Кл.терм . ) – це відношення активів високої ліквідності (Алікв ) до поточних зобов’язань:
де : Алікв - активи високої ліквідності = поточні активи – запаси ( Форма 1 строки (260-100-110-120-130-140-150); Коефіцієнт абсолютної ліквідності (Кл. абс . ) характеризується відношенням грошових засобів та коротк. цінних паперів (Г,Цп ) до поточних зобов’язань:
де : Г,Цп – грошові засоби та короткострокові цінні папери (Форма 1 строки (230+240)) ; Значення цього коефіцієнта є достатнім, якщо він перевищує 0,2-0,25 [18]. Співвідношення короткострокової дебіторської та кредиторської заборгованостей – показує наскількі термінові надходження від боржників до підприємства відповідають терміновим вимогам кредиторів до підприємства:
де : Здеб – короткострокова дебіторська заборгованість (Форма 1 строки (160+170+180+190+200+210)); Зкред – короткострокова кредиторська заборгованість (Форма 1 строки (520+530+540)); Значення цього коефіцієнту є сприятливими , якщо він перевищує 1,25 [18]. Однією з найважливіших характеристик фінансового стану підприємства є фінансова стійкість. Фінансова стійкість характеризує ступінь фінансової незалежності підприємства щодо володіння своїм майном і його використання. Для оперативного розрахунку абсолютних показників фінансової стійкості(коефіцієнту покриття запасів оборотними коштами) вартість запасів (З) порівнюється з послідовно поширюваним переліком таких джерел фінансування [23]: власні оборотні кошти (НВОК ); власні оборотні кошти і довгострокові кредити та позики (НВОК + Дп ); власні оборотні кошти, довго- та короткострокові кредити і позики (НВОК + Дп + ДФЗ ). Відповідно до забезпеченості запасів згаданими варіантами фінансування можливі чотири типи фінансової стійкості [18]: 1. Абсолютна стійкість - для забезпечення запасів (З) достатньо власних оборотних коштів; платоспроможність підприємства гарантована: З < НВОК 2. Нормальна стійкість – для забезпечення запасів крім власних оборотних коштів залучаються довгострокові кредити та позики; платоспроможність гарантована: З < НВОК +Дп 3. Нестійкий фінансовий стан – для забезпечення запасів крім власних оборотних коштів та довгострокових кредитів і позик залучаються короткострокові кредити та позики; платоспроможність порушена, але є можливість її відновити: З < НВОК + Дп + ДФЗ 4. Кризовий фінансовий стан – для забезпечення запасів не вистачає “нормальних” джерел фінансування; підприємству загрожує банкрутство: З > НВОК + Дп + ДФЗ Забезпеченість запасів джерелами формування є сутністю фінансової стійкості, її зовнішнім проявом, а наслідком є платоспроможність (ліквідність). Таблиця Г.4 Алгоритми розрахунку показників фінансової стійкості [ ]
ДОДАТОК Е Результати розрахунків показників фінансової діяльності ВАТ „Дніпропетровський хлібокомбінат №9” за 2005 -2007 роки Таблиця Е.1
Таблиця Е.2
Таблиця Е.3
Таблиця Е.5
ДОДАТОК Ж Ротаційні печі та комплекти пекарень ЗАТ НПП „Восход”(Росія)
Рис.Ж.1 Ротаційна піч МУССОН-РОТОР" МОДЕЛЬ 250 Супер
Рис.Ж.2 Ротаційна піч МУССОН-РОТОР" МОДЕЛЬ 77
Рис. Ж.3. Перелік хлібопекарного обладнання ЗАТ НПП „Восход” ДОДАТОК К Таблиця К.1 Бізнес-плани розрахунків ВАТ „Дніпропетровський хлібзавод № 9”
Закінчення табл.К.1
|
|||||||||||||||||||||||||||||||||||||||||||||||||||||||||||||||||||||||||||||||||||||||||||||||||||||||||||||||||||||||||||||||||||||||||||||||||||||||||||||||||||||||||||||||||||||||||||||||||||||||||||||||||||||||||||||||||||||||||||||||||||||||||||||||||||||||||||||||||||||||||||||||||||||||||||||||||||||||||||||||||||||||||||||||||||||||||||||||||||||||||||||||||||||||||||||||||||||||||||||||||||||||||||||||||||||||||||||||||||||||||||||||||||||||||||||||||||||||||||||||||||||||||||||||||||||||||||||||||||||||||||||||||||||||||||||||||||||||||||||||||||||||||||||||||||||||||||||||||||||||||||||||||||||||||||||||||||||||||||||||||||||||||||||||||||||||||||||||||||||||||||||||||||||||||||||||||||||||||||||||||||||||||||||||||||||||||||||||||||||||||||||||||||||||||||||||||||||||||||||||||||||||||||||||||||||||||||||||||||||||||||||||||||||||||||||||||||||||||||||||||||||||||||||||||||||||||||||||||||||||||||||||||||||||||||||||||||||||||||||||||||||||||||||||||||||||||||||||||||||||
(1.2)
(1.6)
(1.7)
(1.11)
(1.13)












































