Контрольная работа: Построение порождающего полинома циклического кода по его корням (степеням корней)
|
Название: Построение порождающего полинома циклического кода по его корням (степеням корней) Раздел: Рефераты по математике Тип: контрольная работа |
Оглавление Предисловие 1. Краткие теоретические сведения 1.1 Полиномиальное представление двоичных чисел 1.2 Циклический код 1.3 Поле 1.4 Поля Галуа 1.4.1 Примитивный элемент поля и циклическая группа 1.4.2 Модульная арифметика и деление полиномов 1.4.3 Построение конечного поля 1.4.4 О корнях полиномов и минимальных полиномах 2. О циклических кодах и корнях порождающего полинома с точки зрения конечных полей 2.1 Нахождение порождающего полинома по последовательности степеней корней Заключение Список литературы Приложения На сегодняшний день одна из самых крупных таблиц содержащих параметры двоичного циклического кода представлена в [1] и часть таблиц в приложении. Построение кода, при помощи данных указанных в таблице, не имея представлений о математическом описании циклических кодов проблематично. Данная работа будет полезна тем, кому необходимо использовать циклические коды в прикладных целях, а, следовательно, нет необходимости глубоко изучать их структуру. В рамках данной работы не рассматриваются алгоритмы кодирования и декодирования, а только алгоритм построения порождающего полинома циклического кода. 1. Краткие теоретические сведения 1.1 Полиномиальное представление двоичных чисел Весьма удобным является представление двоичных чисел в виде полиномов степени n-1, где n – количество разрядов числа. Идея представления числа в виде полинома состоит в следующем – основание системы счисления заменяется некоторой фиктивной переменной, например x. Степень этой переменной будет соответствовать номеру разряда числа, а коэффициент значению самого разряда. Рассмотрим пример: Запишем двоичное число и его разложение в виде степеней двойки (аналогично переводу в десятичную систему счисления): Исключив элементы с нулевым коэффициентом, получим полиномиальное представление числа: Циклические коды относят к классу линейных кодов. Для обеспечения коррекции ошибок к блоку информационных разрядов добавляется блок контрольных разрядов. Значения контрольных разрядов формируются путем некоторых линейных операций над информационными разрядами, поэтому такие коды называются линейными. Линейный код называется циклическим, если слово Поле – это множество элементов замкнутое относительно двух бинарных операций – умножения и сложения. Под замкнутостью нужно понимать, что результат выполнения операций не выходит за пределы поля. Для поля выполняются следующие аксиомы: 1. Операция умножения обозначается как 2. Результатом умножения и сложения элементов поля является элемент также из этого поля. 3. Для любого элемента поля не равного нулю, существует обратный элемент по сложению и умножению, так что 4. Поле всегда содержит мультипликативную единицу 1, так что 5. Для умножения и сложения выполняются правила ассоциативности, коммутативности и дистрибутивности. Конечное поле или поле Галуа – это поле (далее конечное поле обозначено, как GF(p)), содержащее конечное число элементов. Нужно отметить, что аксиомы 1 – 5, справедливы, как для поля с конечным числом элементов, так и с бесконечным, но главное отличие конечных полей от бесконечных определяет аксиома 2. Из этого вытекает, что на понятие «умножение» и «сложение» накладывается ряд ограничений. Выполнение аксиомы 2 осуществляется выполнением по модулю некоторого числа p, называемым характеристикой поля. Конечные поля существуют не при любом числе элементов, а только когда количество элементов поля – простое число pили его степень pm , где m – целое положительное число. В первом случае поле называется простым и обозначается, как GF(p), а во втором называется расширением простого поля и обозначается GF(pm ) . Рассмотрим некоторое поле GF(p). Такое поле содержит p элементов, операции сложения и умножения над элементами этого поля производятся по модулю числа p. Рассмотрим расширение этого поля - GF(pm
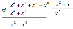
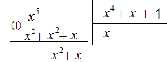
). Элементами 1.4.1 Примитивный элемент поля и циклическая группа Основное свойство конечных полей – это связь между собой ненулевых элементов поля Правило умножения в расширении поля аналогично правилу умножения многочленов с последующим приведением по модулю некоторого специального полинома Выше было сказано, что полином Резюме: Расширение поля содержит полиномы степени m-1 и меньше, с коэффициентами из основного поля. Любой элемент расширения поля можно получить, как степень примитивного элемента 1.4.2 Модульная арифметика и деление полиномов Рассмотрим, сложение и умножение по модулю некоторого числа p, это означает проведение операции по обычным правилам, а затем деление результата на число p. Например, умножим 7 на 3 по модулю 10. Обозначим проведение операции по модулю, как «mod» 1 1 0 0 Нетрудно убедиться, что если сложить две единицы и разделить на два, то остаток от деления будет равен нулю, а если сложить единицу с нулем и разделить на два, то остаток будет равен единице. Деление полиномов . Положим, что коэффициенты в полиномах лежат в поле GF(2), следовательно, все операции будут проводиться по модулю два. Рассмотрим деление полинома
Рассмотрим деление пошагово:
Не трудно убедиться, что на первом шаге делимое можно взять два раза, то есть умножить делимое на
Далее нужно взять делитель один раз, т.е. умножить его на
Итак, Умножение полиномов. Умножим полином
Вычитание полиномов аналогично сложению, вычитание заменяется суммированием. 1.4.3 Построение конечного поля Определение: Многочленом Построение порождающего полинома циклического кода напрямую связано с расширением конечного поля, рассмотрим построение расширения поля. Так как в рамках данной работы рассматриваются двоичные циклические коды, то не трудно догадаться, что основное поле Галуа будет состоять из двух элементов – нуля и единицы - GF(2). Построим расширение поля GF(24
), это поле пригодно для построения циклического кода длины 15, так как 24
-1 = 15. Для построения расширения поля нужно выбрать полином по модулю которого оно будет построено, исходя из того, что m = 4 необходим полином четвертой степени. Из таблицы в книге [1] или таблицы из приложения выберем полином
Умножим Рассмотрим вычисление элемента
Рассмотрим вычисление элемента
И так далее, пока не будет получено 24 = 16 элементов. Ниже представлено представление поля GF(24 ), полученного способом, изложенным выше.
Таблица 1. Представление поля GF(24 ). 1.4.4 О корнях полиномов и минимальных полиномах Минимальным полиномом или функцией минимума элемента Рассмотрим теорему, которая является ключевой для построения порождающего полинома кода по последовательности корней, ее доказательство можно найти в книгах [1] и [2]. Теорема. 1
. Предположим, что fi
(x) над GF(p) является минимальным полиномом элемента Определение. Два элемента из GF(pm ) называются сопряженными, если они являются корнями одного и того же минимального полинома над GF(p) (это означает, что коэффициенты полинома лежат в GF(p)). Следствие 1 теоремы 1: Можно сделать вывод, что у элемента может быть не один сопряженный элемент, таких элементов может быть m или меньше. Используя теорему 1 можно составить последовательность сопряженных элементов, такую последовательность в литературе еще называют циклотомическим классом. Множество элементов, входящие в циклотомический класс (сопряженные элементы) можно найти по следующей формуле:
Где, С – циклотомический класс, s – степень элемента для которого находятся сопряженные элементы, p – показатель основного поля, m – число элементов расширения поля. Рассмотрим пример нахождения циклотомического класса для элемента Итак, s = 1, p = 2, m = 4.
Таким образом, для элемента Следует иметь ввиду, что при построении циклотомического класса, степень элемента Следствие 2 из теоремы 1: Два сопряженных между собой элемента будут иметь один и тот же минимальный полином. Теорема 2
. Минимальный полином элемента
где Следствие из теоремы 2: Все элементы GF(pm ) являются корнями полиномов. Построим минимальный полином для элемента Используя теорему 2, запишем минимальный полином в общем виде:
Теперь нужно раскрыть скобки, по обычным правилам, не приводя подобные, помня что, операция вычитания определена по правилам для поля GF(2), и она эквивалента операции сложения.
Если один из элементов Теперь, нужно заменить элементы Резюме: Для нахождения минимального полинома для элемента 1. Построить расширение поля по модулю некоторого неприводимого над GF(p) полинома. 2. Построить циклотомический класс для элемента 3. При помощи теоремы 2 записать разложение минимального полинома, используя в качестве корней элементы циклотомического класса. 4. Раскрыть скобки разложения, не приводя подобные. 5. Проверить, не превышает ли степень 6. Заменить элементы 7. Раскрыть скобки, привести подобные, учитывая тот факт, что суммирование ведется по модулю p. Рассмотрим подробнее следствие 2 из теоремы 1: Циклотомический класс для элемента Рассмотрим более подробно пример нахождения минимальных полиномов для GF(24 ). Построение GF(24 ) рассмотрено выше, будем пользоваться готовым результатом.
Таблица 2. Представление GF(24 ). Начнем с элемента
Так как все элементы получились одинаковыми, то циклотомический класс будет состоять из одного элемента – {0}. При помощи теоремы 2 запишем: m0 (a0 ) = (x - a0 ), заменим a0 на элемент поля. Минимальная функция для элемента a0 :m0 (a0 ) = (x+ 1) Элемент Используя формулу 1, получим циклотомический класс. {1, 2, 4, 8}. Используя теорему 2, запишем разложение минимального полинома.
Теперь заменим a на элементы поля, после раскрытия скобок и приведения подобных получим минимальный полином для элементов со степенями 1, 2, 4, 8. Элемент Исходя из теоремы 1 и следствия из нее, для элемента Элемент Используя формулу 1, запишем циклотомический класс: C = {3,6,12,24}, как видно элемент со степенью 24 отсутствует в представлении поля GF(24
). Если разделить Используя теорему 2, запишем разложение минимального полинома: m3 (x) = (x – a3 ) (x – a6 ) (x – a9 ) (x – a12 ). Теперь, раскрыв скобки и приведя подобные, получим полином m3 (x) = x4 + x3 + x2 + x1 +1. Следовательно, это полином для элементов со степенями 3,6,12,9. Элемент Минимальный полином этого элемента равен полиному элемента Элемент Используя формулу 1, запишем циклотомический класс: C = {5,10,5,10}. Так как элементы класса совпали, то в классе останется два элемента C = {5,10}. Используя теорему 2, запишем разложение минимального полинома: m5 (x) = (x – a5 ) (x – a10 ) = x2 + x+1 Элемент Минимальный полином этого элемента равен полиному элемента Элемент Используя формулу 1, запишем циклотомический класс: C = {7,14,28,56}. Так как Используя теорему 2, запишем разложение минимального полинома: m7 (x) = (x – a7 ) (x – a14 ) (x – a11 ) (x – a13 ) = x4 + x3 +1 Нетрудно убедиться, что для остальных элементов минимальные полиномы уже найдены выше. 2. О циклических кодах и корнях порождающего полинома с точки зрения конечных полей Следует отметить, что в данном разделе будет рассмотрено описание циклических кодов с точки зрения конечных полей только в рамках нахождения порождающего полинома. Наиболее понятное полное рассмотрение циклических кодов с точки зрения конечных полей можно найти в книге [2]. Теорема 3.
Циклический код длины n с порождающим полиномом g(x) существует тогда и только тогда, когда g(x) делит Следствие из теоремы 3
. Порождающий полином циклического кода длины n можно найти, разложив полином
где s – число простых множителей. Произведение произвольного подмножества этих множителей дает порождающей многочлен g(x). Если g(x) – порождающий полином, то он делит Простые делители есть не что иное, как функции минимума или минимальные полиномы. Таким образом, зная корни минимальных полиномов, можно легко найти порождающий полином кода. Исходя из сказанного в предыдущих разделах, можно сделать вывод, что поле Резюме: 1. Порождающий полином не что иное, как произведение его простых делителей 2. Пусть 3. Имея корни полиномов – делителей g(x) можно найти их функции минимума, и следовательно найти g(x) . 4. Таким образом, нахождение порождающего полинома по степеням его корней сводится к нахождению минимальных полиномов для элементов поля с соответствующей степенью.
где 2.1 Нахождение порождающего полинома по последовательности степеней корней В таблице из приложения Г книги [1] содержатся параметры циклических кодов и последовательности степеней корней. Мы рассматриваем только коды тривиальной длины. Часть этой таблицы указана в приложении А данной работы. В таблице из приложения В книги [1] указаны неприводимые полиномы над GF(2). Укороченное представление такой таблицы также есть в приложении Б данной работы. Алгоритм нахождения порождающего полинома: 1. Исходя из длины выбранного кода, построить расширение 2. Для каждого корня построить циклотомический класс. 3. Для каждого корня найти минимальный полином. 4. Перемножить полученные минимальные полиномы по правилам для Рассмотрим каждый шаг более подробно на примере кода (15,5,7) . Для такого кода в таблице циклических кодов указаны следующие степени корней {1,3,5}. Шаг 1. Построение
Длина n заданного кода равна 15. Так как
Таблица 3. Шаг 2. Построение циклотомических классов. Последовательность степеней корней для данного кода - {1,3,5}. Для каждого элемента последовательности построим циклотомический класс, при помощи формулы Для корня со степенью 1 это {1,2,4,8}. Для корня со степенью 3 это {3,6,9,12}. Для корня со степенью 5 это {5,10}. Шаг 3 . Нахождение минимальных полиномов . Исходя из теоремы 2, для каждого корня найдем его минимальный полином, подробно нахождение минимальных полиномов описано выше. Для корня со степенью 1:
Для корня со степенью 3: m3 (x) = (x – a3 ) (x – a6 ) (x – a9 ) (x – a12 ) = x4 + x3 + x2 + x1 +1. Для корня со степенью 5: m5 (x) = (x – a5 ) (x – a10 ) = x2 + x+1 Шаг 4. Нахождение порождающего полинома. Из 1.5
В данной работе рассмотрено краткое математической описание циклических кодов с точки зрения алгебры конечных полей, которого вполне достаточно для решения задачи нахождения порождающего полинома кода, используя его корни. Безусловно, материал изложен в очень сжатой форме и многое нужно принять, как аксиому. Изначально данная работа задумывалась, как описание алгоритма нахождения полинома с некоторыми комментариями к каждому шагу, но в процессе описания алгоритма, оказалось, что без краткой теории конечных полей это сделать невозможно. 1. У. Питерсон, Э. Уэлдон. «Коды, исправляющие ошибки»: Москва: Мир, 1976. 2. Р. Блейхут. «Теория и практика кодов исправляющих ошибки»: Москва: Мир, 1986. - 576с. 3. Жуков А.Б. , Каменский С.В. Передача сообщений. – НГТУ, 2003. Приложение А. Таблица неприводимых полиномов над GF(2).
Приложение Б. Таблица двоичных некоторых циклических кодов тривиальной длины
|










