Курсовая работа: Коммуникационная деятельность предприятия: сущность и цели
|
Название: Коммуникационная деятельность предприятия: сущность и цели Раздел: Рефераты по маркетингу Тип: курсовая работа |
Содержание Введение Глава 1. Теоретические аспекты рекламной деятельности в условиях рынка 1.1 Предпосылки возникновения рекламы. Средства рекламы 1.2. Характеристики и каналы распространения рекламы Выводы к 1 главе Глава 2. Анализ эффективности рекламной деятельности 2.1 Оценка эффективности рекламы 2.2. Этапы оценки эффективности рекламы Критерии эффективности рекламы Выводы к главе 2 Заключение Библиография Введение Реклама сегодня прочно вошла в нашу жизнь. Высказывания о ней очень противоречивы. Многих она раздражает, появляясь посреди любимой теле- или радиопередачи, бросаясь в глаза повсюду — на улице, в транспорте, в различных заведениях. Услышать что-либо лестное о рекламе — большая редкость, даже от тех, кто в ней работает. В основном негативные отклики относятся даже не к самому факту существования рекламы, а к «засилию» этой рекламой нашей жизни. Но как бы мы не относились к этому явлению, без него наше общество уже не может существовать. Актуальность данной темы обусловлена тем, что делового успеха не добиться, если не знать до тонкостей состояние и перспективы рынка, его важнейших сегментов, нужды и запросы потребителей в рамках целевого рынка. Необходимо создать товар с нужными потребительскими свойствами; посредством оптимальной цены донести до потребителя идею ценности товара; найти умелых посредников, чтобы товар оказался широкодоступным и хорошо представленным публике; рекламировать товар таким образом, чтобы потребители о нем знали максимум и захотели его приобрести. Если производителя лишить такой эффективной связи с потребителем, какой является реклама, то он перестанет вкладывать деньги в совершенствование старых и создание новых товаров. Стремление к развитию, конкуренция в предпринимательстве будут увядать. При правильной организации реклама очень эффективна и способствует быстрой бесперебойной реализации производимой продукции. В современных условиях развития экономики, когда в крупных коммерческих проектах принимают участие широкие массы, учет общественного мнения, умение воздействовать на него, гармонизация общественных связей становится непременным условием развития товарно-денежных отношений. При правильной организации реклама очень эффективна и способствует быстрой бесперебойной реализации производимой продукции. Целью данной курсовой работы стало изучение теоретических аспектов эффективной рекламной деятельности. Указанная цель исследования определила постановку следующих задач: 1. Выявить предпосылки возникновения и развития рекламной деятельности. 2. Привести классификацию средств рекламы и охарактеризовать их. 3. Изучить основные характеристики рекламы и каналы распространения рекламы. 4. Провести теоретический анализ эффективности рекламной деятельности; Объектом изучения данной курсовой работы являются маркетинговые коммуникации фирмы в рамках её коммуникационной политики. Предмет исследования – реклама и её роль в коммуникационной политике фирмы. Цель и задачи исследования определили конкретную структуру курсовой работы. Работа состоит из введения, двух глав, заключения и списка использованной литературы. Теоретической и методологической основой для данной работы явились работы Ф. Котлера, Т. Масловой, А. Вановой, В. Беляева, О. Самагиной и многих других. Глава 1. Теоретические аспекты рекламной деятельности в условиях рынка 1.1 Предпосылки возникновения рекламы. Средства рекламы Современная транснациональная экономика, которая провозгласила своей задачей создать глобальную социально-экономическую систему, способную объединить коммерческие интересы всех рас и народностей, предлагает новые варианты рекламной деятельности, в которой специфические особенности национального поведения нивелируются и ассимилируются в некотором “транскультурном рекламном пространстве”. К концу двадцатого столетия реклама стала неотъемлемым атрибутом культуры современного общества, и она весьма активно проникает в культурные модели различных стран, оказывая определенное воздействие на систему морально-этических норм и ценностей. Реклама в переводе с латинского (reclamare) означает выкрикивание, оглашение. В русский язык слово «реклама» пришло из французского. Однако происхождение термина одинаково: «reclamare» - крик, выкрик. В англоязычных странах пользуются словом «advertising», которое также уходит корнями в латынь: «advertere» - обращать на что-либо внимание. Поскольку современная рекламная индустрия сосредоточена в США, то наиболее актуален перевод и объяснение этого термина с английского. К примеру, в англо – русском словаре с толкованиями по рекламе и паблик релейшнз составитель К. Иванова пишет, что advertising – 1) реклама; 2) рекламирование, рекламная деятельность; оплаченная передача средствами массовой информации достоверных сведений о товаре, услугах или идее, имеющая конкретного отправителя, но без личностной ориентации [2]. Реклама может пониматься по – разному в зависимости от конкретных целей и задач. Понятно, что существует множество авторских определений рекламы. Например, известный маркетолог Филип Котлер, профессор маркетинга Северо-Западного университета США, дает следующее определение рекламы: «Реклама представляет собой неличные формы коммуникации, осуществляемые через посредство платных средств распространения информации, с четко указанным источником финансирования» [3]. Французский автор А. Дейян определяет рекламу как платное, однонаправленное и неличное обращение, осуществляемое через средства массовой информации и другие виды связи, агитирующее в пользу какого – либо товара, марки, фирмы, дела, кандидата, правительства [4]. Российские исследователи также дают множество определений рекламы, которые затрагивают ее различные аспекты. Например, И. Рожков считает, что реклама – вид деятельности, либо произведенная в ее результате продукция, целью которой является реализация сбытовых или других задач предприятий и общественных организаций путем распространения оплаченной ими информации, сформированной таким образом, чтобы оказывать усиленное воздействие на массовое или индивидуальное сознание, вызывая заданную реакцию выбранной потребительской аудитории [5]. Среди определений рекламы можно встретить даже некие афоризмы: «Реклама – хорошо пересказанная правда», «Реклама – еще одно проявление человеческой мысли». Согласно Федеральному Закону о Рекламе от 13 марта 2006 года №38 - ФЗ, реклама – это информация, распространенная любым способом, в любой форме и с использованием любых средств, адресованная неопределенному кругу лиц и направленная на привлечение внимания к объекту рекламирования, формирование или поддержание интереса к нему и его продвижение на рынке [1]. Таким образом, допустимо сделать вывод, что определение рекламы, равно как и отношение к ней, формулировки её целей и задач трансформируются под влиянием изменений в обществе. Кроме того, определения рекламы имеют свои социальные и культурно – этнические отличия, т.е. могут видоизменяться в зависимости от страны. Реклама как явление, вероятно, существовала еще до нашей эры. Сохранились египетские папирусы, которые можно считать прообразами рекламных объявлений, поскольку в них сообщалось о продажах рабов. Становление рекламы как вида деятельности связано с появлением товара как единицы обмена и развитием рыночных отношений. Не случайно реклама в переводе с латыни (как было выше указано) означает «выкрикивать»: громкие крики зазывал в торговых рядах, банях, цирюльнях, харчевнях и на постоялых дворах, призывы об оказании различных услуг разносчиков, лавочников, бродячих ремесленников и т.д. При этом каждый из них обращал внимание публики на преимущества своих товаров и услуг по сравнению с теми, что предлагали соседи – конкуренты. Можно сказать, что в этот период возникли первые формы политической рекламы: например, в Древнем Риме глашатаи объявляли правительственные указы, распоряжения. Под этим предлогом проводились политические битвы: наемные крикуны поливали грязью соперников своего патрона, делая достоянием публики различные компрометирующие детали их личной жизни. Таким образом, с древних времен реклама является средством для борьбы с конкурентами. Наглядная реклама тоже появилась давно. В Древнем Риме стены расписывались объявлениями о гладиаторских боях; финикийцы расхваливали свои товары, разрисовывая скалы. Различные свидетельства, говоря современным языком, рекламных акций археологами найдены на территории стран Средиземноморья, в Помпеях, Карфагене и др. Уже тогда в рекламе информация, изложенная письменно, сочеталась с изображением, наглядной иллюстрацией. Опыт совмещения рисунка и текста находит широкое применение в рекламной деятельности до настоящего времени. В 1622 г. В лондонской газете «Уикли Ньюз» публикуется информация об украденной лошади, которая считается первым рекламным объявлением в СМИ. В США развитие рекламы как индустрии связывают с именем Бенджамина Франклина и появлением в 1729 г. его «Газетт», в которой публиковалось огромное количество рекламных объявлений. В 1784 г. в США стала выходить первая ежедневная американская газета «Почта и ежедневная реклама». В 1785 г. в Нью-Йорке – газета «Ежедневный рекламист». В 1890 г. в США, в Филадельфии, появляется «Айер энд сан» - первое рекламное агентство, которое начало работать над текстами рекламных обращений и проводить рекламные кампании. Становление рекламных агентств было обусловлено социальными, экономическими и политическими причинами. Развитие рекламного дела в России относят к X-XI вв., когда русские купцы начали использовать разнообразные приемы для предложения своих товаров, в том числе нанимали глашатаев. В 1726 г. – первая русская газета «Санкт – Петербургские ведомости» (тираж 500 экз.). Первоначально реклама имела те же задачи и функции, что и журналистика, с разницей в объекте деятельности: журналистика занимается любыми общественными явлениями, а реклама – заданными заказчиками (рекламодателями) предметами. В России до 1863 г. существовала государственная монополия на рекламную деятельность. В начале XIX в. в России стали появляться первые рекламные плакаты, которые вместе с красочными афишами и вывесками влияли на облик городов. В особый жанр выделилась библиографическая реклама – каталог. После Октябрьской революции 1917 г. содержание и задачи рекламы изменились. Одним из первых декретов советской власти реклама была монополизирована государством, предприниматели лишились возможности расширять свое дело за счет рекламы. После гражданской войны в России реклама получает определенное развитие. Появились рекламные агентства: «Реклама-транс», «Связь», «Промреклама», «Мосторгреклама». Последнее широко использовало в рекламных целях московские трамваи, театры, фойе гостиниц. В 1984 г. в СССР был организован Первый Всесоюзный смотр – конкурс рекламы. В 1990-е гг. переход к рыночной экономике привел к большим изменениям организации рекламной деятельности в России. Централизованная рекламная служба министерств и ведомств развилась – рекламные организации и предприятия преобразованы в рекламно-информационные агентства и рекламные фирмы с преимущественно акционерными формами собственности. 14 июня 1995 г. Госдумой России принят Федеральный Закон «О рекламе», призванный регулировать отношения в процессе производства, размещения и распространения рекламы на рынках товаров и услуг. В начале 2000-х гг., несмотря на то, что, к примеру, около 80% ТВ рекламы в РФ производится, оплачивается зарубежными фирмами и, в целом, западная реклама занимает на российском рынке рекламы приблизительно 85%, границы отечественного рекламного бизнеса расширяются. В настоящее время в России насчитывается более 2 тыс. рекламных агентств, наблюдается тенденция к их узкой специализации (одни занимаются наружной рекламой, другие – рекламой в СМИ и т.д.). Выходят специализированные периодические издания, посвященные рекламной деятельности [6]. Реклама как социальное явление обладает индивидуальными свойствами, характеристиками и другими особенностями. В условиях нынешнего развития рынка наиболее значимыми для любой фирмы являются средства рекламы как способ донесения рекламного сообщения до потенциальных и уже имеющихся клиентов. Средство рекламы – это прием воплощения идеи рекламного обращения, связанный с использованием определенного типа раздражителя (или сочетания различных типов) для кодирования информации в какой-либо вещественной форме. Средство рекламы определяет, с помощью каких раздражителей будет оказываться воздействие на получателя рекламы, какие органы чувств при этом должны быть задействованы. Акустические средства рекламы – это прием воплощения идеи рекламного обращения, связанный с передачей воздействия через слух получателя. Примерами подобного воздействия могут служить объявления диктора по радиотрансляции в метро, по телефону, объявления по радио, личное обращение. Недостатки осложняют задачу – удержать внимание получателей информации, чтобы они восприняли и запомнили обращение (человек, как правило, запоминает 20% услышанного). Продукт, о котором многое можно сказать его внешним видом, лучше не рекламировать с помощью аудиосредств. Однако этот вариант хорош, когда надо быстро сообщить какую-либо новость или есть возможность рассказать о товаре кратко, но эмоционально, затрагивая чувства потенциальных покупателей. В процессе своей деятельности фирма должна подобрать оптимальное для выпускаемой ими продукции средство рекламы, которое бы отражало основные преимущества отдельного товара. Существуют следующие виды средств рекламы: · графические; · акустические; · визуально-зрительные; · средства, воздействующие на обоняние; · предметные; · декоративные; Графические средства рекламы воздействуют на получателя рекламы с помощью статического изображения и/или текстовой информации. Графические средства рекламы отличаются большим разнообразием. Они могут быть преимущественно информационными - с минимальным количеством иллюстраций (буклет, проспект, информационное письмо, наклейка, открытка и т.д.). В зависимости от финансовых возможностей рекламодателя они могут быть очень дешевыми, так и очень дорогими. Цели рекламной кампании могут определять размер рекламного обращения: оно может быть выполнено на небольшом носителе (открытка, этикетка и т.д.) или на достаточно крупном (афиша, плакат). Акустические средства рекламы передают рекламное обращение, оказывая влияние на слух получателя. Это может быть радио, телефон, объявление в транспорте или магазине. Преимущества - быстрота изготовления ролика и невысокая стоимость создания. Недостатки - слабая выразительность - только звук - мимолетность контакта и невозможность передачи большого количества информации. Визуально-зрительные средства рекламы предают рекламное обращение с помощью звука, изображения и движения одновременно. Происходит сильное воздействие на получателя. Это могут быть клипы, ролики, фильмы и т.д. Так же рекламные мероприятия - различные праздники, соревнования, выставки. К недостаткам относится высокая стоимость такой рекламы. Средства, воздействующие на обоняние, не могут использоваться самостоятельно, поэтому они, как правило, сочетаются с небольшими по размеру графическими средствами рекламы. Такие средства целесообразно использовать для рекламы товаров, аромат которых может усилить впечатление получателя рекламы. Часто их применяют в рекламе духов, кофе, копченостей. Такие средства умножают эмоциональное воздействие и усиливают действие графического средства рекламы. Декоративные средства рекламы - это сувениры, мелкие предметы, безвозмездно раздаваемые получателям рекламы и напоминающие о рекламодателе и его товарах с помощью логотипа, торговой марки реквизитов рекламодателя. Они могут быть как дешевыми (карманные календарики, шариковые ручки, блокноты, зажигалки и т.д.), так и дорогостоящими (деловые сувениры, часы). Декоративные средства рекламы, воздействующие на получателя информации с помощью декоративных или утилитарных предметов, украшающих торговое пространство или офис и т.д. Примерами использования такого вида средств рекламы являются витрины, вывески, торговые полки, стенды, уличные зонтики, мусорные контейнеры, воздушные шары, флаги [14]. 1.2 Характеристики и каналы распространения рекламы Уинстон Черчилль говорил, что «реклама вскармливает потребительские способности людей. Она порождает потребности в более высоком уровне жизни. Она ставит перед человеком цель обеспечить себя лучшим жилищем, лучшей одеждой, лучшей пищей. Она стимулирует его усердие и производительность. Она объединяет в плодотворный брачный союз такие вещи, которые в других обстоятельствах просто не сошлись бы друг с другом» [7]. Реклама является массовой коммуникацией, воздействующей на формирование мнений и настроений, способствующей закреплению привычек, навыков покупателей. Характеристика рекламы как инструмента маркетинговых коммуникаций дана ниже, на рис.1.
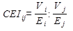
Рис. 1. Основные характеристики рекламы Общественный характер рекламы проявляется в том, что рекламные объявления получают одновременно множество лиц, поэтому поведение покупателя (его выбор, который он сделал при покупке данного товара) понятно многим и многими будет одобрено. Способность к убеждению – реклама многократно повторяет свое предложение. Покупатель имеет возможность сравнить обращения продавцов-конкурентов и выбрать наиболее убедительное. Экспрессивность – реклама может быть броской и эффектной благодаря искусству и техническим средствам. Однако в некоторых случаях, когда броскость рекламы становится самоцелью, до потребителя не доносится суть рекламного объявления. Однонаправленность – реклама имеет фактически только одно направление – от рекламодателя к объекту воздействия. От аудитории не требуется ответа на сделанное ей предложение. Сигналы по обратной связи поступают только в виде конечного поведения потенциального покупателя. Опосредованность – при передаче рекламного объявления используются посредники – средства рекламы и каналы распространения массовой информации (пресса, телевидение и др.) [8]. В настоящее время можно говорить о том, что реклама проникла во все сферы человеческой жизни, и является неотъемлемой частью окружающего мира: прессы, радио, телевидения, интернета и даже городского транспорта. Реклама в газетах и журналах получила широкое распространение и по объему затрат уступает лишь рекламе по телевидению. Реклама в газетах дешевле телевизионной. Вместе с тем качество воспроизведения рекламных оригиналов в газетах обычно невысокое. Отсюда размещенные в них рекламные объявления, как правило, менее привлекательны, и каждое издание имеет одновременно много таких объявлений, в связи с чем воздействие любого из них в отдельности снижается. Специфика рекламы в прессе диктует следующие особые подходы к ее созданию и размещению: · заголовок должен привлекать потребителя, давать ему новую информацию, содержать основную аргументацию и наименование товара; · потребитель нередко склонен воспринимать информацию буквально, поэтому лучше обойтись без отрицательных оборотов, т.к. у него в памяти могут сохраниться отрицательные моменты, ассоциирующиеся с предметом рекламы; · необходимо использовать простые, но положительно действующие на всех слова, например, « бесплатно», «новинка» и т.д.; · фотографии работают лучше, чем рисунок, особенно когда они сравнивают состояние до и после появления, использования товара; · не нужно бояться длинных текстов, т.к. если потребитель заинтересован в более детальной информации, он, привлеченный заголовком, будет читать весь текст; · текст должен быть легким для восприятия, без хвастовства, представлять факты, а не голословные утверждения; · доверие к рекламе повышается, если фото и текст отражают картину реальной жизни, свидетельства очевидцев, авторитетных специалистов. Преимущество радио перед другими средствами массовой информации: 24-часовое вещание на многие регионы и разнообразие программ. Радио слушают в жилых и производственных помещениях, на кухне, прогуливаясь на чистом воздухе, в автомобиле. Поэтому рекламные объявления, размещенные в соответствующих радиопрограммах, охватывают значительный процент заданной аудитории потребителей, независимо от того, где они находятся - на работе, на отдыхе, в пути. Радиореклама оперативна и имеет невысокую стоимость. Вместе с тем в процессе восприятия рекламных обращений, транслируемых по радио, не участвует зрение, через которое человек получает до 90% информации. Кроме того, радиореклама усложняет установление двусторонних коммуникаций с потребителем. Часто у его нет под рукой ручки, карандаша, бумаги, чтобы записать переданные в объявлении данные. Телевизионные объявления включают в себя изображения, звук, движение, цвет и поэтому оказывают на рекламную аудиторию значительно большее воздействие, чем объявления в других средствах массовой информации. Реклама на телевидении становится все более интересной, информативной и вместе с тем сложной и дорогостоящей в производстве, особенно если основывается на компьютерной графике. Одно из самых дорогих и престижных видов рекламы, но и самый массовый. Телереклама требует специальных профессиональных знаний и длительного опыта работы в этой области. Чтобы стать эффективной, она должна быть тщательно спланирована и изготовлена на высоком уровне. Статичная иллюстрация, озвученная закадровым голосом, так резко отличается в худшую сторону от профессионально сделанных рекламных роликов, что пользоваться ею можно только в исключительных случаях. Недостаток телерекламы в том, что во время ее трансляции внимание потенциального потребителя должно быть сосредоточено на экране, в ином случае рекламное обращение не будет воспринято. Наружная реклама распространена повсеместно. Плакатные панели, обычно деревянные, используются для расклейки театральных и киноафиш. Но эти афиши очень часто наклеивают в наших городах частные объявления, поскольку процесс расклейки частных объявлений не упорядочен. Вторая форма наружной рекламы - рисование изображения. Рекламное сообщение в этом случае не готовится полиграфическим способом, а рисуется прямо на плоской поверхности. Обычно изображение создается на вертикально установленной панели, только боле крупной. Такое изображение называется рисованным щитом. К наружной рекламе относятся также электрифицированные табло или газосветные световые панно. Плакаты на щитах наружной рекламы обычно размещаются вдоль оживленных автотрасс и в местах скопления людей и напоминают потребителям о фирмах или товарах, которые они уже знают или указывают потенциальным покупателям на места, где они могут совершить нужные им покупки либо получить соответствующее обслуживание. Рекламное объявление в наружной рекламе обычно кратко и не может полностью информировать о фирме либо товаре, поэтому знакомство потенциальных потребителей с новыми товарами с помощью этого средства массовой информации недостаточно эффективно. Основным типом наружной рекламы является крупногабаритный плакат. Также существуют электрифицированные или газосветные световые панно. Бывают табло нестандартного размера и формы, изготовляемые по особому заказу. Интернет являет собой наиболее динамично развивающуюся среду вещания в истории человечества. Реклама в сети Интернет становится все более популярной у российских рекламодателей. Чем же привлекает она рекламодателей? Пожалуй, в первую очередь своим охватом потенциальной аудитории. Во-вторых, своими мультимедийными возможностями и гиперссылками, позволяющими последовательно, шаг за шагом вести потребителя по своей виртуальной экспозиции, при том, что стоимость рекламы в сети Интернет порой значительно ниже, чем в отдельных СМИ. В-третьих, возможности Интернет-технологий позволяют каждому рекламодателю получить реальное значение количества посетителей его странички. С помощью лежащих в основе Интернет интеллектуальных компьютерных технологии можно автоматически отслеживать бесценные сведения о посетителях Web-сайтов и на их основе делать выводы, о том какую рекламу можно предложить каждому конкретному посетителю. А если к этой информации добавить еще и заполненные пользователями анкеты, то возможности по фокусированию рекламы можно усилить многократно. Также рекламодателям необходимо знать, насколько эффективно работает их реклама. Самым популярным способом представления рекламы в Интернет, является, конечно же, собственная домашняя страница. Но сама по себе даже профессионально сделанная страница не может гарантировать привлечения внимания потребителей, если она размещена не на «раскрученном сервере». Чтобы привлечь их внимание к ней, прежде всего, необходимо во всех рекламно-информационных материалах предприятия обязательно указывать адрес страницы в Интернет и чаще обновлять информацию на ней. Есть и другой вариант размещения своей рекламы в виде своего рода объявления в рамке, которое еще называют баннером, разместив его на популярном сервере, например, поисковом [15]. Выводы к 1 главе Таким образом, изучив теоретические аспекты эффективной рекламной деятельности, можно сделать следующие выводы. Актуальность данной темы обусловлена тем, что делового успеха не добиться, если не знать до тонкостей состояние и перспективы рынка, его важнейших сегментов, нужды и запросы потребителей в рамках целевого рынка. Необходимо создать товар с нужными потребительскими свойствами; посредством оптимальной цены донести до потребителя идею ценности товара; найти умелых посредников, чтобы товар оказался широкодоступным и хорошо представленным публике; рекламировать товар таким образом, чтобы потребители о нем знали максимум и захотели его приобрести. Основным средством продвижения товаров на рынке является реклама. Точного и однозначного определения понятия «реклама» нет. Классическим определением термина «реклама» является определение Ф. Котлера, маркетолога, профессора маркетинга Северо-Западного университета США: «Реклама представляет собой неличные формы коммуникации, осуществляемые через посредство платных средств распространения информации, с четко указанным источником финансирования». Реклама как социальное явление обладает индивидуальными свойствами, характеристиками и другими особенностями. В условиях нынешнего развития рынка наиболее значимыми для любой фирмы являются средства рекламы как способ донесения рекламного сообщения до потенциальных и уже имеющихся клиентов. Средство рекламы – это прием воплощения идеи рекламного обращения, связанный с использованием определенного типа раздражителя (или сочетания различных типов) для кодирования информации в какой-либо вещественной форме. В процессе своей деятельности фирма должна подобрать оптимальное для выпускаемой ими продукции средство рекламы, которое бы отражало основные преимущества отдельного товара. Существуют следующие виды средств рекламы: · графические; · акустические; · визуально-зрительные; · средства, воздействующие на обоняние; · предметные; · декоративные; Реклама как массовая коммуникация обладает следующими характеристиками: общественный характер, способность к убеждению, экспрессивность, обезличенность, однонаправленность, опосредованность. Реклама является неотъемлемой частью окружающего мира: прессы, радио, телевидения, интернета и даже городского транспорта. Рекламное обращение характеризуется определенным содержанием и формой, а также носителем или каналом распространения. Глава 2. Анализ эффективности рекламной деятельности 2.1 Оценка эффективности рекламы Лица, определяющие финансовую политику фирмы, готовы долго лично обсуждать вопрос о том, сколько Фирма будет тратить на рекламу. После решения вопроса возникает понятие “рекламный бюджет” или “деньги, с которыми попрощались”. К сожалению, затраты на рекламу рассматриваются именно как затраты, “неизбежные расходы”, а не как инвестиции... Именно это существенное отличие и определяет недостаточное внимание к вопросам оценки эффективности... Затраты главное сделать, а инвестициями необходимо управлять. Только с изменением отношения к рекламе изменится отношение к процедурам оценки эффективности затрат на рекламу. Сложность и неразработанность вопросов, связанных с оценкой эффективности затрат на рекламу, а также необходимость реализации индивидуального подхода в каждом конкретном случае не позволяет, как правило, давать готовые рекомендации и советы. В настоящее время, уместным кажется изложение возможных подходов и вариантов решения вопросов анализа эффективности рекламных мероприятий. Эффективность затрат - это отношение количественного выражения эффекта к затратам, этот эффект вызвавшим. Основная часть проблемы при оценке эффективности затрат на рекламу заключается в определении числителя дроби. Базисом, основным источником проблемы являются: во-первых - многогранность и многозадачность анализируемого процесса, т.е. рекламы. Реклама - это и информационный процесс, и мероприятия по продвижению и сбыту, и процесс социальной коммуникации. Во-вторых - конечная неопределенность процесса, на ход которого оказывают существенное влияние достаточно большое число внешних факторов. В глобальном смысле эффективность рекламы - это степень достижения поставленных перед рекламой целей; следовательно, на операционном уровне понятие эффективности рекламы для каждой цели будет своё. Понятие эффективности рекламы на операционном уровне и показатели эффективности будут зависеть от целей, которые перед рекламой поставлены. Многозадачность и конечная неопределенность - объективный источник проблем и трудностей анализа эффективности затрат на рекламу. Определение эффективности рекламы в целом связано с изучением комплекса взаимовлияющих факторов, вопросов и проблем, измерить которые часто практически невозможно. Однако невозможность точного измерения общей эффективности рекламы вовсе не означает, что от исследований эффективности необходимо отказаться. На практике можно выделить три основные направления работ по анализу эффективности: a. анализ коммуникативной (информационной) эффективности рекламной кампании, т.е. в качестве числителя дроби рассматривают число рекламных контактов, достигнутое в результате каких-либо мероприятий; b. анализ финансовой или коммерческой эффективности - как отношение прироста объема сбыта (прибыли, оборота) к затратам, которые были для этого сделаны; c. оценка качества рекламного материала, т.е. оценка того, насколько эффективно форма и содержание рекламного обращения позволяют этому обращению выполнять возложенную на него функцию. Как правило, работы по оценке качества рекламного материала являются частью процесса анализа коммуникативной эффективности. Рекламное обращение характеризуется определенным содержанием и формой, а также носителем или каналом распространения. Определение коммуникативной (информационной) эффективности позволяет установить насколько эффективно конкретное рекламное обращение передает целевой аудитории намеченные сведения или формирует желательную для рекламодателя точку зрения. Оценка, прогнозирование коммуникативной эффективности комплекса рекламных мероприятий - основа медиапланирования Некоторые рекламодатели думают, что медиапланирование - это ненужный грамотному российскому бизнесмену процесс, придуманный на Западе крупными рекламными агентствами для выкачивания денег из богатых клиентов. И ошибаются... Медиапланирование - важный инструмент прогнозирования, без использования которого работать на рынке рекламы в настоящее время сложно, а завтра будет просто невозможно. Для оценки коммуникативной эффективности рекламной кампании нужно (в общем случае) просто определить сколько раз люди, которым было адресовано рекламное обращение, увидели его. Качество планирования рекламы и управления ею решающим образом зависит от надежности измерения результатов рекламной деятельности. Фундаментальных исследований по проблеме эффективности рекламы очень мало. Исследований зависимости объема оборота (сбыта) от ассигнований на рекламу и того меньше, т.к. основные усилия в данной области направлены на изучение чисто информационных результатов рекламы. Определение информационной (коммуникативной) эффективности позволяет установить, насколько эффективно конкретное рекламное обращение передает целевой аудитории намеченные сведения или формирует желательную для рекламодателя точку зрения. Изучение информационной (коммуникативной) результативности рекламы дает возможность улучшить качество как содержания, так и формы подачи информации, но оно ничего не говорит о влиянии рекламы на динамику оборота. Основной метод оценки финансовой (экономической) эффективности рекламы, основан на определении дополнительной прибыли, полученной за счет рекламы, и сопоставлении этих объемов с затратами на рекламу. Реклама является одним из многих, не всегда важнейшим, инструментом активизации продаж. Уже по этой причине затруднена оценка ее роли в увеличении товарооборота. Кроме того, перед рекламой могут ставиться цели, связанные с оборотом лишь косвенно или не связанные совсем. Следует учитывать, что кроме коммерческого реклама имеет и социальный эффект. Простейший метод определения финансовой (экономической) эффективности рекламных объявлений основывается на анализе результатов эксперимента, суть которого, в большинстве случаев, сводится к следующему. Выбираются два или больше сопоставимых локальных рынка, на которых фирма осуществляет свою деятельность в течение определенного промежутка времени с различной степенью рекламной поддержки (при прочих равных условиях). Разница торговых результатов соотносится с разницей в объемах ассигнований на рекламу, на основании этого и делается вывод о величине вклада рекламы в изменение оборота фирмы. Для анализа финансовой эффективности возможно использование моделей, описывающих изменения товарооборота в зависимости от величины расходов на рекламу ("Видаля-Вольфа", "Кюна" и т.п.) В моделях предполагается, что зависимость товарооборота от ассигнований на рекламную деятельность можно выразить в виде функции, а если эта функция определена и известна, можно рассчитать и величину ассигнований на рекламу, которые обеспечат максимальную прибыль. Принято считать, что график этой функции - S-образная кривая. Впервые модель подобного типа была описана М. Видалем и Х.Вольфом. В модели Видаля-Вольфа объем реализуемого товара в период времени есть функция от следующих факторов: затрат на рекламу; реакции сбыта на рекламу; уровня насыщения рынка рекламируемыми товарами; нормы падения объема реализации при отсутствии рекламы. Для сравнительного анализа, возможно, полезен расчет показателя эффективности расходов на рекламу (cost-efficiency index - CEI) в сравнении с другими компаниями-конкурентами.
где Vi и Vj - объем продаж фирм i и j соответственно за некоторый период времени, а Ei и Ej объем затрат на рекламу этих фирм за тот же период. Пример расчета достаточно прост. Фирмы "1" и "2" - конкуренты, выпускающие товары одной группы. Фирма-1: объем продаж за год 5 млн. USD, затраты на рекламу 200 тыс. USD. Фирма-2: объем продаж за год 2 млн. USD, затраты на рекламу 50 тыс. USD. Показатель эффективности расходов на рекламу Фирмы-1 (CEI_1) относительно Фирмы-2 рассчитывается как отношение 25 к 40 = 0.625, а показатель эффективности расходов на рекламу Фирмы-2 (CEI_2) относительно Фирмы-1 будет равен обратному отношению 40 к 25 = 1.6. Следовательно, по мнению Индекса, 50 тыс. USD Фирмы-1 вроде бы работают эффективнее, чем сумма в четыре раза большая у Фирмы-2. Работы по анализу финансовой эффективности затрат на рекламу, как правило, проводятся структурными подразделениями рекламодателей, т.к. при таком подходе исключается возможность утечки "коммерческой информации", кроме того, во внутреннюю жизнь коллектива фирмы не вносятся элементы нервозности, связанные с публичной оценкой работы некоторых сотрудников (как правило, приближенных к руководству). Но в этом случае ситуация напоминает проверку деятельности бухгалтера, осуществляемую самим бухгалтером, с предоставлением отчета в бухгалтерию, а копии - руководству... Проиллюстрируем влияние изменений величины рекламного бюджета на объем продаж при условии, что фирма работает на конкурентном рынке, а начальные объемы рекламы не равны нулю (равны или несколько меньше среднерыночных). График иллюстрирует зависимость изменений — увеличение годового объема рекламы в 4 раза привело к росту объемов реализации в 2.5 раза.
Если начальный объем рекламы был 2000 USD в месяц, а объем реализации 50 тыс. USD/мес., то экономическая целесообразность активизации рекламных усилий очевидна. Дополнительные 70-75 тыс. USD/год, вложенные в рекламу, позволили фирме увеличить объем реализации на 900 тыс. USD/год. 2.2 Этапы оценки эффективности рекламы Критерии эффективности рекламы. Сколько существует реклама, столько же и стоит вопрос, насколько она эффективна. Рассмотрим те основные показатели, которые доказали свою действенность для рекламодателей, представляющих различные сферы бизнеса, и которые дают больше, чем просто субъективную уверенность в эффективности рекламной кампании. Первый этап заключается в том, чтобы обозначить стартовую позицию. Например, если цель рекламы – повысить уровень осведомленности о компании-рекламодателе, необходимо выяснить, каков он сейчас среди той целевой аудитории, на которую планируется повлиять. Стартовую точку можно определить при помощи небольшого объективного исследования. Например, можно провести опрос среди тех, на кого будет ориентирована рекламная кампания, попросив их рассказать, что они знают о компании. Этот вид исследования носит название "бенчмаркинг". На втором этапе важно наметить реалистичные для рекламной кампании цели. Надо принимать в расчет множество факторов, например имеющийся в распоряжении бюджет, рекламную активность конкурентов, тактику рекламирования и многое другое. Третий этап – предварительный прогноз эффективности воздействия созданного варианта рекламного объявления, или "претест". Если речь идет о полномасштабной рекламной кампании, то необходимо предварительное тестирование сначала самой концепции планируемой кампании, а потом – отдельных ее элементов (видеороликов, полиграфической продукции). В ходе претеста можно предварительно изучить восприятие концепции рекламной кампании, психологическое воздействие рекламного сообщения, а также внести необходимые изменения и дополнения в соответствии с полученными результатами исследования. Четвертый этап – размещение измерительных инструментов эффективности в само рекламное объявление. Тут можно использовать несколько тактик. Например, упомянуть в рекламном объявлении цену на продукт, которая более нигде не фигурирует, можно предложить читателям имя конкретного человека, к которому они могут обращаться и др. Пятый этап подразумевает запуск специальных процедур, позволяющих отследить результаты рекламной кампании. Процесс мониторинга, помимо деталей рекламного бюджета, должен включать в себя учет таких факторов, как рекламная деятельность конкурентов и значимые события, происходящие на рынке. На шестом этапе следует провести исследование "по следам" рекламной кампании среди той же самой аудитории, которая участвовала в бенчмаркинговом исследовании. Полученные результаты можно будет сравнить с результатами бенчмаркингового исследования. На седьмом этапе контроля эффективности рекламы существует большое разнообразие методик и критериев. Наиболее распространенным критерием является запоминание рекламы. Среди других часто отслеживаемых измерений – знание элементов рекламы, осведомленность, рейтинг имиджа, предпочтение вашей компании. Для определения эффективности рекламы, как правило, требуется несколько критериев. Например, полезно рассмотреть узнаваемость рекламы или показатель ее запоминаемости как признак "ширины" эффективности данной рекламы, так как эти критерии показывают, скольких людей "охватила" эта реклама. В то же время показатели убедительности рекламы или намерения обратиться можно рассматривать как оценку того, насколько глубоко реклама влияет на людей: достаточно ли она затронула их для того, чтобы они выбрали эту марку. В любом случае, выбирая критерий эффективности рекламы, надо заранее решить, что является соответствующей мерой эффективности рекламы для данной марки, для данной компании, в данной маркетинговой ситуации. Обычно наиболее важной задачей в ситуации невысоких денежных затрат является запоминаемость (и узнаваемость), а в случае привлечения больших денежных средств – убедительность. До вынесения каких-либо суждений, до принятия решений необходимо убедиться, что были рассмотрены и второстепенные факторы. Например, неэффективность рекламной кампании может быть объяснена, если заметить, что услуга была недоступна в течение какого-то времени или что конкурент удвоил свой рекламный бюджет. Еще один важный момент состоит в том, что должно пройти достаточно времени между бенчмаркингом и посттестом эффективности рекламного сообщения. Особенно это относится к рекламе, рассчитанной не на частных, а на корпоративных клиентов. Рекламе необходимо время, чтобы повлиять на сознание и подтолкнуть к действию. На восьмом этапе надо связать объективные показатели рекламирования с тем, как оно повлияло на практические результаты. Нельзя сказать, что это возможно для всех рекламных целей. Итак, необходимо помнить, что говорить об эффективности рекламы можно только в том случае, если известны конкретные цели компании, ее общая стратегия и текущее положение дел. Иначе можно оценить только оригинальность идеи, эстетичность ее подачи и очень субъективно и приблизительно спрогнозировать результат. Полноценно о "лучшей" рекламе можно говорить только в том случае, если это подкреплено исследованием эффективности работы этой рекламы. Специалисты, в частности собственные, смотрят "изнутри", зная преимущества рекламируемых услуг не "с нуля", поэтому они могут быть необъективны. Вполне возможно, что реклама, которая покажется им абсолютно неэффективной, вызовет прилив энтузиазма у клиентов. Для определения эффективности рекламы, как правило, требуется несколько критериев. 1. Реклама должна привлекать внимание потребителей. Значит, ей необходимо обладать такой силой воздействия, чтобы на нее обратил внимание целевой рынок. Без восприятия не может быть и речи о какой-либо ответной реакции. Здесь следует заметить, что реклама порой не только увлекает, но и раздражает покупателя, что неблагоприятно сказывается на объеме продаж рекламируемого товара. В этом случае она выступает в роли антирекламы и скорее мешает продвижению товара на рынок, нежели способствует этому. 2. Реклама должна быть зрительно разработана. Именно от того, насколько целостен зрительный образ текста и иллюстрации, зависит и степень привлекательности данной рекламы для потребителя, что, конечно же, имеет большое значение для рекламируемого товара. Покупателю должно быть все ясно с первого взгляда, иначе он просто пройдет мимо сообщения. Так, чрезмерно усложненная реклама не в силах преодолеть барьеров восприятия и заинтересовать покупателя. 3. Реклама должна быть концентрированной. Иными словами, в сообщении допускается не более 1—2 утверждений о преимуществах той или иной продукции. Исследования показали, что реклама, содержащая в себе слишком много сведений, плохо воспринимается потребителем. Считается, что наиболее эффективным методом рекламного обращения является уникальное торговое предложение (УТП). 4. Реклама должна быть понятной и достоверной. Для ее успешного восприятия очень важно, чтобы сообщение, заключенное в ней, было составлено на языке потребителя и не использовало каких-либо чуждых, неясных элементов. Так, например, если фармацевтическую продукцию рекламировать исключительно медицинским языком, с привлечением соответствующей узкоспециальной терминологии, то едва ли подобный препарат найдет своего покупателя. Кроме того, рекламная информация требует подтверждения неоспоримыми и достоверными фактами. 5. Реклама должна вызывать у потребителя только положительные эмоции. Если этого не происходит, у потребителя складывается неприятие как самого товара, так и предлагающей его фирмы. Покупатели просто не приобретают товар, реклама которого вызвала какие-либо отрицательные чувства или вообще никак не воздействовала на них. 6. Реклама должна быть выдержана в едином стиле. Но стиль рекламного сообщения не должен разниться со стилем рекламной марки. Так, например, при продвижении продукции, славящейся прежде всего длительностью своего служения, в рекламе следует обязательно указать именно на это преимущество. Кроме того, и марка товара, и реклама должны вызывать в потребителе сходные эмоциональные настроения. 7. В рекламе должно сохраняться единство стиля. Исследования показали, что оттого, насколько долго реклама того или иного продукта выдерживается в едином стиле, настолько повышается эффективность спроса. Нельзя резко менять стиль рекламы, способ ее осуществления, иначе это не самым благоприятным образом отразится на имидже марки. Требуется значительно больше времени для того, чтобы реклама надоела потребителю, чем думают некоторые менеджеры, поскольку покупателя не интересует продвижение товара, а значит, он меньше внимания уделяет изменениям в той или иной рекламе. 8. Реклама не должна входить в резонанс с миром потребителя. Иными словами, рекламное обращение должно соответствовать реальности, в которой вынужден существовать тот или иной покупатель. Так, она должна создаваться в зависимости от страны, где впоследствии будет представлена, контингента, на которого ориентирована продукция, а также отражать общепринятые идеалы потребителей данного региона. 9. Реклама должна отражать определенные отличительные преимущества продукции. Другими словами, рекламное обращение призвано донести до потребителей, почему им целесообразнее выбрать именно данный продукт или услугу. Если последние, судя по рекламе, не несут в себе какой-либо отличительный признак, то можно с уверенностью сказать, что фирма, предлагающая данную продукцию, вскоре понесет существенные убытки. 10. В рекламе на первый план должны выступать образы, а не слова. Так, замечено, что с помощью образов можно гораздо эффективнее донести до потребителя сложные обращения. Изображения, как правило, наиболее подходят для этой роли. Тут потребителю хватает нескольких минут, чтобы ухватить суть сообщения. Выводы к главе 2 Таким образом, проведя глубокий теоретический анализ эффективности рекламной деятельности фирмы, можно сделать определенные выводы. Эффективность рекламы - это степень достижения поставленных перед рекламой целей. Определение коммуникативной (информационной) эффективности позволяет установить насколько эффективно конкретное рекламное обращение передает целевой аудитории намеченные сведения или формирует желательную для рекламодателя точку зрения. Основной метод оценки финансовой (экономической) эффективности рекламы, основан на определении дополнительной прибыли, полученной за счет рекламы, и сопоставлении этих объемов с затратами на рекламу. Существует несколько критериев оценки эффективности рекламы. Первый этап заключается в том, чтобы обозначить стартовую позицию. На втором этапе важно наметить реалистичные для рекламной кампании цели. Третий этап – предварительный прогноз эффективности воздействия созданного варианта рекламного объявления, или "претест". Четвертый этап – размещение измерительных инструментов эффективности в само рекламное объявление. Пятый этап подразумевает запуск специальных процедур, позволяющих отследить результаты рекламной кампании. На шестом этапе следует провести исследование "по следам" рекламной кампании среди той же самой аудитории, которая участвовала в бенчмаркинговом исследовании. На седьмом этапе контроля эффективности рекламы существует большое разнообразие методик и критериев. Наиболее распространенным критерием является запоминание рекламы. Для определения эффективности рекламы, как правило, требуется несколько критериев. 1. Реклама должна привлекать внимание потребителей. 2. Реклама должна быть зрительно разработана. 3. Реклама должна быть концентрированной. 4. Реклама должна быть понятной и достоверной. 5. Реклама должна вызывать у потребителя только положительные эмоции. 6. Реклама должна быть выдержана в едином стиле. 7. В рекламе должно сохраняться единство стиля. 8. Реклама не должна входить в резонанс с миром потребителя. 9. Реклама должна отражать определенные отличительные преимущества продукции. 10. В рекламе на первый план должны выступать образы, а не слова. Заключение Таким образом, изучив теоретические аспекты эффективной рекламной деятельности, можно сделать следующие выводы. Актуальность данной темы обусловлена тем, что делового успеха не добиться, если не знать до тонкостей состояние и перспективы рынка, его важнейших сегментов, нужды и запросы потребителей в рамках целевого рынка. Необходимо создать товар с нужными потребительскими свойствами; посредством оптимальной цены донести до потребителя идею ценности товара; найти умелых посредников, чтобы товар оказался широкодоступным и хорошо представленным публике; рекламировать товар таким образом, чтобы потребители о нем знали максимум и захотели его приобрести. Основным средством продвижения товаров на рынке является реклама. Точного и однозначного определения понятия «реклама» нет. Классическим определением термина «реклама» является определение Ф. Котлера, маркетолога, профессора маркетинга Северо-Западного университета США: «Реклама представляет собой неличные формы коммуникации, осуществляемые через посредство платных средств распространения информации, с четко указанным источником финансирования». Реклама как социальное явление обладает индивидуальными свойствами, характеристиками и другими особенностями. В условиях нынешнего развития рынка наиболее значимыми для любой фирмы являются средства рекламы как способ донесения рекламного сообщения до потенциальных и уже имеющихся клиентов. Средство рекламы – это прием воплощения идеи рекламного обращения, связанный с использованием определенного типа раздражителя (или сочетания различных типов) для кодирования информации в какой-либо вещественной форме. В процессе своей деятельности фирма должна подобрать оптимальное для выпускаемой ими продукции средство рекламы, которое бы отражало основные преимущества отдельного товара. Существуют следующие виды средств рекламы: · графические; · акустические; · визуально-зрительные; · средства, воздействующие на обоняние; · предметные; · декоративные; Реклама как массовая коммуникация обладает следующими характеристиками: общественный характер, способность к убеждению, экспрессивность, обезличенность, однонаправленность, опосредованность. Реклама является неотъемлемой частью окружающего мира: прессы, радио, телевидения, интернета и даже городского транспорта. Рекламное обращение характеризуется определенным содержанием и формой, а также носителем или каналом распространения. Эффективность рекламы - это степень достижения поставленных перед рекламой целей. Определение коммуникативной (информационной) эффективности позволяет установить насколько эффективно конкретное рекламное обращение передает целевой аудитории намеченные сведения или формирует желательную для рекламодателя точку зрения. Основной метод оценки финансовой (экономической) эффективности рекламы, основан на определении дополнительной прибыли, полученной за счет рекламы, и сопоставлении этих объемов с затратами на рекламу. Существует несколько критериев оценки эффективности рекламы. Первый этап заключается в том, чтобы обозначить стартовую позицию. На втором этапе важно наметить реалистичные для рекламной кампании цели. Третий этап – предварительный прогноз эффективности воздействия созданного варианта рекламного объявления, или "претест". Четвертый этап – размещение измерительных инструментов эффективности в само рекламное объявление. Пятый этап подразумевает запуск специальных процедур, позволяющих отследить результаты рекламной кампании. На шестом этапе следует провести исследование "по следам" рекламной кампании среди той же самой аудитории, которая участвовала в бенчмаркинговом исследовании. На седьмом этапе контроля эффективности рекламы существует большое разнообразие методик и критериев. Наиболее распространенным критерием является запоминание рекламы. Для определения эффективности рекламы, как правило, требуется несколько критериев. 1. Реклама должна привлекать внимание потребителей. 2. Реклама должна быть зрительно разработана. 3. Реклама должна быть концентрированной. 4. Реклама должна быть понятной и достоверной. 5. Реклама должна вызывать у потребителя только положительные эмоции. 6. Реклама должна быть выдержана в едином стиле. 7. В рекламе должно сохраняться единство стиля. 8. Реклама не должна входить в резонанс с миром потребителя. 9. Реклама должна отражать определенные отличительные преимущества продукции. 10. В рекламе на первый план должны выступать образы, а не слова. Библиография 1. Федеральный Закон от 13 марта 2006 года №38-ФЗ "О рекламе" (в ред. Федеральных законов от 18.12.2006 N 231-ФЗ, от 09.02.2007 N 18-ФЗ, от 12.04.2007 N 48-ФЗ, от 21.07.2007 N 193-ФЗ, от 01.12.2007 N 310-ФЗ, от 13.05.2008 N 70-ФЗ, от 27.10.2008 N 179-ФЗ). 2. Иванова К.А. Англо – русский словарь по рекламе и паблик релейшнз (с толкованиями). – СПб., 2010 г., с.122. 3. Котлер Филип. Основы маркетинга./ Пер. с англ. В.Б. Боброва, под общ. ред. Е.М. Пеньковой. – М: Прогресс, 2009 г., с. 511. 4. Дейян Арманд. Реклама: пер. с фр. / общ. Ред. В.С. Загашвили. – 5-е изд., исп. – М: Прогресс – Универс, 2010 г. 5. Рожков И.Я. Международное рекламное дело. – М., 1994 г. 6. Ванова А. Маркетинг и реклама: два в одном: уч. пособие. М: РУДН, 2002 г. 7. Песоцкий Е.Современная реклама. Теория и практика. – Ростов н/Д: изд-во «Феникс», 2001 г. 8. Маслова Т.Д., Божук С.Г., Ковалик Л.Н. Маркетинг. – СПб.: Питер, 2006. 9. Беляев В.И. Маркетинг: основы теории и практики. М:КНОРУС, 2005 г. 10. Годин А.М. Маркетинг: Учебник. – 6-е изд., перераб. и доп. – М.: Издательско-торговая корпорация «Дашков и Ко», 2008 г. 11. Александров Филипп. Хроники российской рекламы. М: Гелла-принт, 2003 г. 12. Сэндидж Чарльз. Реклама: теория и практика. М: Прогресс, 2010 г. 13. Самагина О.А. Маркетинговые коммуникации: практикум, 2003 г. |


