Курсовая работа: Рівномірне наближення функцій ермітовими сплайнами
|
Название: Рівномірне наближення функцій ермітовими сплайнами Раздел: Рефераты по математике Тип: курсовая работа |
Міністерство освіти і науки України Національний університет "Львівська політехніка" Курсова робота на тему: "Рівномірне наближення функцій ермітовими сплайнами" Львів 2009р Зміст Вступ 1. Означення ермітових сплайнів з експоненціальними ланками 2. Знаходження аналітичних виразів для параметрів сплайна з експоненціальною ланкою 3. Многочленні ермітові сплайни 4. Похибки наближення ермітовими сплайнами 5. Рівномірне наближення ермітовими сплайнами Висновок Список використаної літератури Додаток Вступ Наближення функцій необхідне для практичних розрахунків під час проведення наукових досліджень і в багатьох областях техніки. Аналітично задані функції, які представлені складним виразом, часто необхідно замінити простішим виразом, так, щоб зберігались їх властивості. Це потрібно для обчислення функцій на ЕОМ. Методи інтерполювання многочленом Лагранжа або Ньютона на відрізку Ще одним із способів інтерполювання на відрізку є інтерполювання з використанням сплайн функцій. Сплайн функцією або сплайном називають кусково-поліноміальну функцію, що визначена на відрізку Перевага сплайнів над звичайною інтерполяцію є, по-перше, їх збіжність і, по-друге, стійкість процесу обчислення. Ряд задач вимагає наближення не тільки самої функції, а й її похідних. Для цього використовують ермітові сплайни. З метою покращення точності наближення функцій сплайнами як ланки можна використовувати не тільки многочлени, а й нелінійні за параметрами вирази. 1.Означення ермітових сплайнів з нелінійним за параметрами виразами в ланках Наведемо означення ермітових сплайнів з нелінійними за параметрами виразами в ланках (далі нелінійні ермітові сплайни) з парною і непарною кількістю параметрів. На множині
де Означення 1. Нехай
яка задовольняє систему рівнянь
де Із системи (3) випливає, що
Означення 2. Нехай
Із означень випливає, що для визначення параметрів кожної ланки конкретного нелінійного ермітового сплайна необхідно розв’язати систему рівнянь (3) або (5). 2. Вивід формул для параметрів ермітових сплайнів з експоненціальними ланками Сімейство цих ермітових сплайнів має ланку, яку подано виразом (1). Оскільки наближаючий вираз (1) не змінює знака, то цим виразом можна наближати функції, що не змінюють знака. Припустимо для конкретності, що При Ланка такого сплайна має вигляд
Згідно означення 1 параметри ланки ермітового сплайна (2) з ланкою (6) задовольняють системі рівнянь (3)
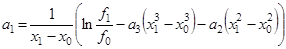
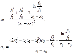
де Із першого і третього рівнянь системи знаходимо вирази для параметра
Прирівнюємо між собою вирази для
Підставляємо перший вираз для
Підставляємо другий вираз для
Ми отримали систему двох лінійних рівнянь (10) і (11) щодо двох невідомих
Із формул (8), (9), (10) для параметрів При
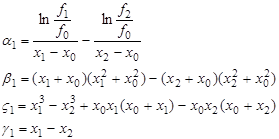
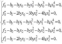
Згідно з означенням 2 параметри ланки (13) ермітового сплайна (2) задовольняють системі рівнянь (5):
де
Прирівняємо вирази для
Прирівнявши між собою вирази для
Де
Підставивши перший вираз для
Де
Підставивши третій вираз для
де
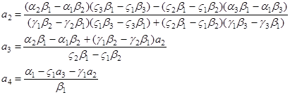
Ми отримали систему трьох лінійних рівнянь (18-20) щодо трьох невідомих
Із формул (15), (16), (17) і (21) для параметрів 3. Многочленні ермітові сплайни При Ланка такого сплайна має вигляд
Означення 3. Нехай
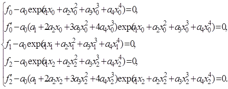
яка задовольняє систему рівнянь
де Згідно означення 3 параметри ланки ермітового сплайна (23) з ланкою (22) задовольняють системі рівнянь (24)
де
При
Означення 4. Нехай
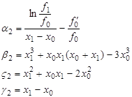
Згідно з означенням 4 параметри ланки (27) ермітового сплайна (23) задовольняють системі рівнянь (28):
де
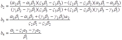
Прирівняємо вирази для
Прирівнявши між собою вирази для
Підставивши перший вираз для
Підставивши третій вираз для
Ми отримали систему трьох лінійних рівнянь (23-35) щодо трьох невідомих
Із формул (30), (31), (32) і (36) для параметрів 4. Похибки наближення ермітовими сплайнами Максимальна похибка
а для ермітових сплайнів з непарною кількістю параметрів
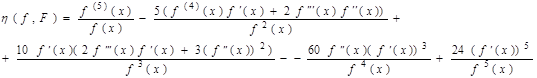
де Теорема 1. Нехай для функції
Тоді для функції
Нехай
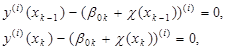
Доведення. Сплайн з ланкою вигляду (39) характеризується системою рівнянь
а сплайн з ланкою вигляду (40) — системою рівнянь
Надалі опускаємо індекс, який вказує на приналежність параметра до
Подамо
де При
Помножимо чисельник і знаменник цього рівняння на
Оскільки з умов теореми
а це і є рівняння із системи (43) при Використовуючи метод математичної індукції, покажемо, що рівняння із системи (44) зводиться до рівнянь із системи (43) за довільних
Для
Про диференціюємо це рівняння і отримаємо
Перший доданок в квадратних дужках дорівнює нулю через рівність нулю останнього співмножника. Рівняння набере вигляду
Множник, який стоїть перед квадратними дужками, не дорівнює нулю з умов теореми, отже нулю дорівнює вираз у квадратних дужках. А це і є рівняння із системи (43). Отже, ми довели, що за довільних Доведемо справедливість відношення (43) для похибок наближення. Оскільки системи (43) і (44) рівносильні, то точки, в яких досягається максимальні похибки, збігаються. Нехай
Із цієї рівності випливає, що
У правій частині маємо відносну похибку наближення функції За допомогою цієї теореми можна отримувати наближення ермітовим сплайном з ланкою (40) шляхом знаходження наближення ермітовим сплайном з простішою ланкою (39). Зокрема, наближення до функції Теорема 2. Нехай для функції
Тоді для функції
Нехай
Доведення. В теоремі 1 до системи рівнянь (42) додається рівняння
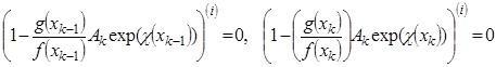
а до системи (43) рівняння
Для доведення цієї теореми для ермітових сплайнів з непарною кількістю параметрів необхідно довести еквівалентність рівнянь (48) і (50). Для цього перепишемо (50) у вигляді
Про логарифмуємо і отримаємо
де із умови теореми 2 Властивість 1. Нехай
Доведення. Із теорем 1 і 2 випливає, що наближення функції
Із рівності похибок і формули (37) матимемо
Цей вираз справедливий для довільних Тепер можна вивести аналітичний вираз для ядра похибки наближення
Для ермітового сплайна з експоненціальною ланкою (6) ядро матиме такий вигляд:
А для ланки (13)
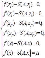
5. Рівномірне наближення ермітовими сплайнами Наближення функції Алгоритм рівномірного наближення ермітовими сплайнами з заданою похибкою. Алгоритм не залежить від виду сплайна. 1. Будуємо ланку нелінійного ермітового сплайна на всьому інтервалі 2. Знаходимо похибку наближення 3. Якщо 4. Якщо 5. Запам’ятовуємо границі ланки і параметри ермітового сплайна. 6. Лівою границею наступної ланки є права границя попередньої ланки. Правою границею можна завжди вважати т. 7. Будуємо сплайн і знаходимо похибку. 8. Якщо 9. Якщо Очевидно, що описаний алгоритм приводить до єдиного рішення, якщо наближувана функція
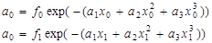
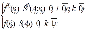
є неспадною функцією від Із означення ермітового сплайна можна запропонувати інший алгоритм знаходження його параметрів. При
Потрібно знайти залежність Вони залежать від
Система (54) є системою трансцендентних рівнянь. Її можна розв’язати, використовуючи відомі наближені методи знаходження коренів трансцендентних систем. Висновки В багатьох технічних задачах використовується кускова апроксимація однозначних функцій. Застосування у такій задачі нелінійних виразів з метою наближення викликає труднощі через відсутність ефективних алгоритмів для визначення їх параметрів. Для цієї задачі є зручними кускові наближення (сплайн-наближення). У роботі наведений приклад побудови ермітового сплайна з експоненціальною і многочленною ланками. Оскільки похибка ермітового сплайна з експоненціальною ланкою в деяких випадках є меншою, ніж у многочленного ермітового сплайна, то їх доцільно застосовувати для наближення функцій. Також побудовано алгоритми рівномірного наближення ермітовими сплайнами. Викладацька практика 1.10.2009 – 3 пара. Лекція з курсу "Теорія масового обслуговування". Тема: "Потоки Пальма". Заняття проводилось для груп СІМ51 магістри і спеціалісти. 2.10.2009 – 1 пара. Лабораторна робота з курсу "Чисельні методи". Тема: "Однокрокові методи чисельного розвязування задачі Коші для звичайних диференціальних рівнянь" Заняття проводилось для групи ПМ41. 2.10.2009. – 3 пара. Практичне заняття з курсу "Теорія масового обслуговування". Тема: "Найпростіший потік" Заняття проводилось для груп СІМ51 магістри і спеціалісти. Опис програми Програма Hermit’sspline шукає балансне наближення функцій ермітовими сплайнами. Головне вікно програми розділене на дві частини: ліву і праву. У лівій частині є три закладки: перша призначена для виводу результатів програми, друга для виводу графіків функції і сплайну; третя для виводу графіку похибки наближення. У правій частині є поля для вводу меж інтервалу і похибки. Також є перемикачі для вибору виду сплайна і функції.
Для роботи програми треба виконати наступні дії: · у поля"2" "3" потрібно ввести межі інтервалу на якому функція визначена і диференційовна; · у поле "1" треба ввести похибку; · вибрати вид сплайна 4; · вибрати функцію 5; · далі натиснути кнопку "6", яка викликає функцію, що будує балансне наближення із заданою похибкою; · для побудови балансного наближення із заданою кількістю ланок треба натиснути кнопку "8"; · вивід результатів буде у полі "7"; · щоб переглянути графіки функції і сплайну потрібно натиснути на закладку 9; · щоб переглянути графік похибки наближення потрібно натиснути на закладку 10; Опис основних функцій програми: · voidermit_1(double *a, doublex0, doublex1); - функція пошуку коефіцієнтів ермітового сплайна з ланками виду · voidermit_2(double *a, doublex0, doublex1); - функція пошуку коефіцієнтів ермітового сплайна з ланками виду · voidermit_3(double *a, doublex0, doublex2); - функція пошуку коефіцієнтів ермітового сплайна з ланками виду · voidermit_4(double *b, doublex0, doublex2); - функція пошуку коефіцієнтів ермітового сплайна з ланками виду · voidermit_5(double *a, doublezl, doublezp); - функція пошуку коефіцієнтів ермітового сплайна з ланками виду · voidermit_rp(double *a, doublea1, doubleb1, doublenyu, intn); - рівномірне наближення ермітовими сплайнами із заданною похибкою; · voidermit_rl (double*a, doublezl, doubleb1, intn, intp, intr); - рівномірне наближення ермітовими сплайнами із заданною кількістю ланок. Література 1. Пізюр Я.В., Попов Б.О. Рівномірне наближення ермітовими сплайнами з парною кількістю параметрів.// Контрольно-вимірювальна техніка.- 1993. – Вип. 50. – С. 8-13 2. Пізюр Я.В. Наближення функцій ермітовими сплайнами з експоненціальними ланками// Вісник НУ "Львівська політехніка". "Фізико-математичні науки" №566, 2006, – С. 68-75. 3. Зав’ялов Ю.С., Квасов Б.И., Мірошниченко В.Л. Методи сплайн функцій. – М.: Наука, 1980. – 352 с. Додаток Код програми. private: System::Void button2_Click(System::Object^ sender, System::EventArgs^ e) { double zl, zp, x; zl=Double::Parse(textBox3->Text); zp=Double::Parse(textBox4->Text); x =(zl+zp)/2; int p=2,n=5; if((s1->Checked==true)||(s2->Checked==true)||(s5->Checked==true)||(s7->Checked==true)||(s9->Checked==true)){ n=4;p=1; } double *a = new double[n]; if (s1->Checked == true) { ermit_1(a, zl, zp, p); } if (s2->Checked == true) { ermit_2(a, zl, zp, p); } if (s3->Checked == true) { ermit_3(a, zl, zp, p); } if (s4->Checked == true) { ermit_4(a, zl, zp, p); } if (s5->Checked == true) { ermit_5(a, zl, zp, p); } if (s6->Checked == true) { ermit_6(a, zl, zp, p); } if (s7->Checked == true) { ermit_8(a, zl, zp, p); } if (s8->Checked == true) { ermit_9(a, zl, zp, p); } if (s9->Checked == true) { ermit_7(a, zl, zp, p); } chart1->Series["Function"]->Points->Clear(); chart1->Series["Spline"]->Points->Clear(); chart2->Series["error"]->Points->Clear(); double t,ch1,ch2,ch3; for(t = zl; t <= zp; t += 0.01) { ch1 = f(t,1); ch2 = sp(a,t); ch3 = epx_p(a,t,1); chart1->Series["Function"]->Points->AddXY(t, ch1); chart1->Series["Spline"]->Points->AddXY(t, ch2); chart2->Series["error"]->Points->AddXY(t, ch3); } } //~~~~~~~~~~~~~~~~~~~~~~~~~~~~~~~~~~~~~~~~~~~~~~~~~~~~~~~ double epx_p(double *a, double x, int p) { return Math::Abs((f(x, p) - sp(a, x)) / w(x)); } //~~~~~~~~~~~~~~~~~~~~~~~~~~~~~~~~~~~~~~~~~~~~ public: double f(double x, int p) { if(f1->Checked==true){ return Math::Sin(x); } if(f2->Checked==true){ return Math::Cos(x); } if(f3->Checked==true){ return 1 / (2 + x * x); } if(f4->Checked==true){ return Math::Log(x + 1); } if(f5->Checked==true){ return Math::Exp(x); } if(f6->Checked==true){ return x*x; } return -1; } //~~~~~~~~~~~~~~~~~~~~~~~~~~~~~~~~~~~~~~~~~~~~~~~~~ public: double fp(double x, int p) { if(f1->Checked==true){ return Math::Cos(x); } if(f2->Checked==true){ return -Math::Sin(x); } if(f3->Checked==true){ return (-2* x ) / ((2 + x * x) * (2 + x * x)); } if(f4->Checked==true){ return 1 / (x + 1); } if(f5->Checked==true){ return Math::Exp(x); } if(f6->Checked==true){ return 2*x; } return -1; } //***************************************** public: void ermit_1(double *a, double x0, double x1, int p) { a[3] = (fp(x1, p) / f(x1, p) + fp(x0, p) / f(x0, p) + 2 * (Math::Log(f(x0, p) / f(x1, p)) / (x1 - x0))) / ((x1 - x0) * (x1 - x0)); a[2] = ((2* x0 * x0 - x0 * x1 - x1 * x1) * a[3] - (fp(x0, p) / f(x0, p)) - (Math::Log(f(x0, p) / f(x1, p)) / (x1 - x0))) / (x1 - x0); a[1] = (1 / (x1 - x0)) * (Math::Log(f(x1, p) / f(x0, p)) - a[3] * (x1 * x1 * x1 - x0 * x0 * x0) - a[2] * (x1 * x1 - x0 * x0)); a[0] = f(x0, p) * Math::Exp(-(a[1] * x0 + a[2] * x0 * x0 + a[3] * x0 * x0 * x0)); } ///////////////////////////////////////////////////////////////////////////// void ermit_2(double *b, double x0, double x1, int p) { double h; h = x1 - x0; b[3] = 2 * ((fp(x1, p) + fp(x0, p)) / 2 - (f(x1, p) - f(x0, p)) / h) / (h * h); b[2] = 0.5 * ((fp(x1, p) - fp(x0, p)) / h - 3* b [3] * (x0 + x1)); b[1] = fp(x1, p) - 2* b [2] * x1 - 3* b [3] * x1 * x1; b[0] = 0.5 * (f(x1, p) + f(x0, p) - b[3] * (x0 * x0 * x0 + x1 * x1 * x1) - b[2] * (x0 * x0 + x1 * x1) - b[1] * (x0 + x1)); } //////////////////////////////////////////////////////////////// void ermit_3(double *a, double x0, double x2, int p) { double a1, a2, a3, b1, b2, b3, z1, z2, z3, g1, g2, g3; double x1; x1 = (x0 + x2) / 2; a1 = Math::Log(f(x1, p) / f(x0, p)) / (x1 - x0) - Math::Log(f(x2, p) / f(x0, p)) / (x2- x0); b1 = (x1 + x0) * (x1 * x1 + x0 * x0) - (x2 + x0) * (x2 * x2 + x0 * x0); z1 = x1 * x1 + x1 * x0 - x2 * x2 - x2 * x0; g1 = x1 - x2; a2 = Math::Log(f(x1, p) / f(x0, p)) / (x1 - x0) - fp(x0, p) / f(x0, p); b2 = x1 * x1 * x1 + x0 * x1 * (x0 + x1) - 3* x0 * x0 * x0; z2 = x1 * x1 + x0 * x1 - 2* x0 * x0; g2 = x1 - x0; a3 = Math::Log(f(x1, p) / f(x0, p)) / (x1 - x0) - fp(x2, p) / f(x2, p); b3 = (x0 + x1) * (x0 * x0 + x1 * x1) - 4* x2 * x2 * x2; z3 = x1 * x1 + x0 * x1 + x0 * x0 - 3* x2 * x2; g3 = x1 + x0 - 2* x2 ; a[2] = ((a2 * b1 - a1 * b2) * (z3 * b1 - z1 * b3) - (z2 * b1 - z1 * b2) * (a3 * b1 - a1 * b3)) / ((g1 * b2 - g2 * b1) * (z1 * b3 - z3 * b1) + (z2 * b1 - z1 * b2) * (g1 * b3 - g3 * b1)); a[3] = (a2 * b1 - a1 * b2 + (g1 * b2 - b1 * g2) * a[2]) / (b1 * z2 - z1* b2); a[4] = (a1 - z1 * a[3] - g1 * a[2]) / b1; a[1] = (1 / (x2 - x0)) * (Math::Log(f(x2, p) / f(x0, p)) - a[4] * (x2 * x2 * x2 * x2 - x0 * x0 * x0 * x0) - a[3] * (x2 * x2 * x2 - x0 * x0 * x0) - a[2] * (x2 * x2 - x0 * x0)); a[0] = f(x0, p) * Math::Exp(-(a[1] * x0 + a[2] * x0 * x0 + a[3] * x0 * x0 * x0+ a[4] * x0 * x0 * x0 * x0)); } /////////////////////////////////////////////////////////////////////////// void ermit_4(double *a, double x0, double x2, int p) { double a1, a2, a3, b1, b2, b3, z1, z2, z3, g1, g2, g3; double x1, h; x1 = (x0 + x2) / 2; h = x1 - x0; a1 = (f(x2, p) - f(x0, p)) / (x2 - x0) - (f(x1, p) - f(x0, p)) / (x1 - x0); b1 = (x2 + x0) * (x2 * x2 + x0 * x0) - (x1 + x0) * (x1 * x1 + x0 * x0); z1 = x2 * x2 + x2 * x0 - x1 * x1 - x1 * x0; g1 = x2 - x1; a2 = (f(x1, p) - f(x0, p)) / (x1 - x0) - fp(x0, p); b2 = x1 * x1 * x1 + x0 * x1 * (x0 + x1) - 3* x0 * x0 * x0; z2 = x1 * x1 + x0 * x1 - 2* x0 * x0; g2 = x1 - x0; a3 = (f(x1, p) - f(x0, p)) / (x1 - x0) - fp(x2, p); b3 = (x0 + x1) * (x0 * x0 + x1 * x1) - 4* x2 * x2 * x2; z3 = (x1 * x1 + x0 * x1 + x0 * x0) - 3* x2 * x2; g3 = (x1 + x0 - 2* x2 ); a[2] = ((a2 * b1 - a1 * b2) * (z3 * b1 - z1 * b3) - (z2 * b1 - z1 * b2) * (a3 * b1 - a1 * b3)) / ((g1 * b2 - g2 * b1) * (z1 * b3 - z3 * b1) + (z2 * b1 - z1 * b2) * (g1 * b3 - g3 * b1)); a[3] = (a2 * b1 - a1 * b2 + (g1 * b2 - b1 * g2) * a[2]) / (b1 * z2 - z1 * b2); a[4] = (a1 - z1 * a[3] - g1 * a[2]) / b1; a[1] = (f(x1, p) - f(x0, p)) / h - a[2] * (x1 + x0) - a[3] * (x1 * x1 + x1 * x0 + x0 * x0) - a[4] * (x1 + x0) * (x1 * x1 + x0 * x0); a[0] = f(x0, p) - a[1] * x0 - a[2] * x0 * x0 - a[3] * x0 * x0 * x0 - a[4] * x0 * x0 * x0 * x0; } //////////////////////////////////////////////////////////////// void ermit_5(double *a, double zl, double zp, int p) { double h, x1; h = (zp - zl) / 2; x1 = (zp + zl) / 2; a[3] = ((h * h * (fp(zp, p) - fp(zl, p))) / (f(zp, p) - f(zl, p) - h * (fp( zp, p) + fp(zl, p)))) - x1; a[2] = ((fp(zp, p) - fp(zl, p)) * (((x1 + a[3]) * (x1 + a[3]) - h * h) * ((x1 + a[3]) * (x1 + a[3]) - h * h))) / (4* h * (x1 + a[3])); a[0] = fp(zl, p) + a[2] / ((x1 + a[3] - h) * (x1 + a[3] - h)); a[1] = f(zl, p) - a[0] * (x1 - h) - a[2] / (x1 - h + a[3]); } //////////////////////////////////////////////////////////////////// void ermit_8(double *a, double zl, double zp, int p) { double j0, j1, j2, m0, m1; j0 = (Math::Exp(f(zp, p)) - Math::Exp(f(zl, p))) / (zp - zl); j1 = (zl * zl - zp * zp) / (zp - zl); j2 = (zl * zl * zl - zp * zp * zp) / (zp - zl); m0 = (f(zl, p) * Math::Exp(f(zl, p)) - j0) / (j1 - 2* zl ); m1 = (2* zl * zl - j2) / (j1 - 2* zl ); a[3] = (-fp(zp, p) * Math::Exp(f(zp, p)) + j0 + m0 * j1 - 2* zp * m0) / (3* zp * zp + 2* zp * m1 - j2 - m1 * j1); a[2] = m0 + a[3] * m1; a[1] = j0 + j1 * a[2] + a[3] * j2; a[0] = Math::Exp(f(zl, p)) - a[1] * zl - a[2] * zl * zl - a[3] * zl * zl * zl; } /////////////////////////////////////////////////////////////////// void ermit_9(double *a, double zl, double zp, int p) { double j1, j2, j3, j4, m1, m2, m3, k1, k2, z; z = (zp + zl) / 2; j1 = (zp * zp - z * z) / (z - zp); j2 = (zp * zp * zp - z * z * z) / (z - zp); j3 = (zp * zp * zp * zp - z * z * z * z) / (z - zp); j4 = (Math::Exp(f(z, p)) - Math::Exp(f(zp, p))) / (z - zp); m1 = (Math::Exp(f(zp, p)) - Math::Exp(f(zl, p)) + j4 * (zl - zp)) / (zp * zp - zl * zl + j1 * (zp - zl)); m2 = (zl * zl * zl - zp * zp * zp + j2 * (zl - zp)) / (zp * zp - zl * zl + j1 * (zp - zl)); m3 = (zl * zl * zl * zl - zp * zp * zp * zp + j3 * (zl - zp)) / (zp * zp - zl * zl + j1 * (zp - zl)); k1 = (Math::Exp(f(zl, p)) * fp(zl, p) - j4 - m1 * j1 - 2* zl * m1) / (j2 + 3* zl * zl + j1 * m2 + 2* m2 * zl); k2 = (j3 + 4* zl * zl * zl + j1 * m3 + 2* m3 * zl) / (j2 + 3* zl * zl + j1 * m2 + 2* m2 * zl); a[4] = (Math::Exp(f(zp, p)) * fp(zp, p) - j4 - m1 - j1 - 2* zp * m1 - k1 * j2 - 3* zp * zp * k1 - k1 * j1 * m2 - 2* m2 * zp * k1) / (j3 + 4* zp * zp * zp + j1 * m3 + 2* m3 * zp - k2 * j2 - 3* zp * zp * k2 - k2 * j1 * m2 - 2* m2 * zp * k2); a[3] = k1 - k2 * a[4]; a[2] = m1 + a[3] * m2 + a[4] * m3; a[1] = j4 + a[2] * j1 + a[3] * j2 + a[4] * j3; a[0] = Math::Exp(f(zl, p)) - a[1] * zl - a[2] * zl * zl - a[3] * zl * zl * zl - a[4] * zl * zl * zl * zl; } /////////////////////////////////////////////////////////////////// double poldiv_p3(double*a, double zl, double b1, int n, int p) { double zp, ny, x, nyu,ny1,ny2, x1, x2; textBox2->Text=""; nyu=Double::Parse(textBox1->Text); String ^ path = Path::GetFileName("rez.txt"); FileInfo^ fi = gcnew FileInfo(path); StreamWriter ^ sw = fi->CreateText(); int l = 0; double t,ch1,ch2,ch3; chart1->Series["Function"]->Points->Clear(); chart1->Series["Spline"]->Points->Clear(); chart2->Series["error"]->Points->Clear(); zp = zl + 0.00510101101;; while (1) { do { zp += 0.000135110101101; if (zp > b1) { zp = b1; if (s1->Checked == true) { ermit_1(a, zl, zp, p); } if (s2->Checked == true) { ermit_2(a, zl, zp, p); } if (s3->Checked == true) { ermit_3(a, zl, zp, p); } if (s4->Checked == true) { ermit_4(a, zl, zp, p); } if (s5->Checked == true) { ermit_5(a, zl, zp, p); } if (s6->Checked == true) { ermit_6(a, zl, zp, p); } if (s7->Checked == true) { ermit_8(a, zl, zp, p); } if (s8->Checked == true) { ermit_9(a, zl, zp, p); } if (s9->Checked == true) { ermit_7(a, zl, zp, p); } if(p==1){ x = (zl + zp) / 2; } if(p==2){ x1 = zl+(zp - zl) / 4; x2 = zl+2.5*(zp - zl) / 4; ny1=epx_p(a, x1, p); ny2=epx_p(a, x2, p); if(ny2>ny1){ x=x2; } else{x=x1;} } l++; //fprint(a, zl, zp, n, ny, l); //print(a, zl, zp, n, ny, l); sw->WriteLine("{0:D} - ланка \n",l); sw->WriteLine("a[0] = {0,7:e}\n", a[0]); sw->WriteLine("a[1] = {0,7:e}\n", a[1]); sw->WriteLine("a[2] = {0,7:e}\n", a[2]); sw->WriteLine("a[3] = {0,7:e}\n", a[3]); if (n == 5) { sw->WriteLine("a[4] = {0,7:e}\n", a[4]); } sw->WriteLine("Лівамежаінтервалу= {0,7:e}\n", zl); sw->WriteLine("Правамежаінтервалу= {0,7:e}\n", zp); sw->WriteLine("Похибка = {0,7:e}\n", ny); sw->Write(sw->NewLine); sw->Close(); for(t = zl; t <= zp; t += 0.01) { ch1 = f(t,p); ch2 = sp(a,t); ch3 = epx_p(a,t,1); if(nyu=0.001){ if(ch3>nyu-0.00008){ch3-=0.000015;} } chart1->Series["Function"]->Points->AddXY(t, ch1); chart1->Series["Spline"]->Points->AddXY(t, ch2); chart2->Series["error"]->Points->AddXY(t, ch3); } return zp; }// po if(zp > b1) //z = (zp + ozp) / 2; if (s1->Checked == true) { ermit_1(a, zl, zp, p); } if (s2->Checked == true) { ermit_2(a, zl, zp, p); } if (s3->Checked == true) { ermit_3(a, zl, zp, p); } if (s4->Checked == true) { ermit_4(a, zl, zp, p); } if (s5->Checked == true) { ermit_5(a, zl, zp, p); } if (s6->Checked == true) { ermit_6(a, zl, zp, p); } if (s7->Checked == true) { ermit_8(a, zl, zp, p); } if (s8->Checked == true) { ermit_9(a, zl, zp, p); } if (s9->Checked == true) { ermit_7(a, zl, zp, p); } if(p==1){ x = (zl + zp) / 2; } if(p==2){ x1 = zl+(zp - zl) / 4; x2 = zl+3*(zp - zl) / 4; ny1=epx_p(a, x1, p); ny2=epx_p(a, x2, p); if(ny2>ny1){ x=x2; } else{x=x1;} } ny = epx_p(a, x, p); //std::cout << "\n" << ny << " - " << nyu << "\t" << ny - nyu << "\n"; //ny=Math::Abs(f(x, p) - sp(a, x))/f(x,p)*100; //nyu=(nyu/f(x,p))*100; if(ny>nyu){ zp =zp- 0.000135110101101-(0.000135110101101)/2; } if (((nyu-ny)*100 < 0.0005)&&(nyu>ny)) { break; } } while (1); l++; //fprint(a, zl, zp, n, ny, l); //print(a, zl, zp, n, ny, l); sw->WriteLine("{0:D} - ланка \n",l); sw->WriteLine("a[0] = {0,7:e}\n", a[0]); sw->WriteLine("a[1] = {0,7:e}\n", a[1]); sw->WriteLine("a[2] = {0,7:e}\n", a[2]); sw->WriteLine("a[3] = {0,7:e}\n", a[3]); if (n == 5) { sw->WriteLine("a[4] = {0,7:e}\n", a[4]); } sw->WriteLine("Лівамежаінтервалу= {0,7:e}\n", zl); sw->WriteLine("Правамежаінтервалу= {0,7:e}\n", zp); sw->WriteLine("Похибка = {0,7:e}\n", ny); sw->Write(sw->NewLine); for(t = zl; t <= zp; t += 0.01) { ch1 = f(t,p); ch2 = sp(a,t); ch3 = epx_p(a,t,1); if(nyu=0.001){ if(ch3>nyu-0.00008){ch3-=0.000015;} } chart1->Series["Function"]->Points->AddXY(t, ch1); chart1->Series["Spline"]->Points->AddXY(t, ch2); chart2->Series["error"]->Points->AddXY(t, ch3); } zl = zp; zp += 0.000135110101101; } sw->Write(sw->NewLine); sw->Close(); for(t = zl; t <= zp; t += 0.01) { ch1 = f(t,p); ch2 = sp(a,t); ch3 = epx_p(a,t,1); if(nyu=0.001){ if(ch3>nyu-0.00008){ch3-=0.000015;} } chart1->Series["Function"]->Points->AddXY(t, ch1); chart1->Series["Spline"]->Points->AddXY(t, ch2); chart2->Series["error"]->Points->AddXY(t, ch3); } return zp; } //***************************************************************************void algo_p3(double*a, double zl, double b1, int n, int p) { double X, Y, eps, nyu, x, x1, x0, zp, xx, zz,ny,dz; nyu=Double::Parse(textBox1->Text); String ^ path = Path::GetFileName("rez.txt"); FileInfo^ fi = gcnew FileInfo(path); StreamWriter ^ sw = fi->CreateText(); int l = 0; double t,ch1,ch2,ch3; chart1->Series["Function"]->Points->Clear(); chart1->Series["Spline"]->Points->Clear(); chart2->Series["error"]->Points->Clear(); x0 = 0.1; //zz = zp = x1 = 0.5; //xx = x = 0.3; eps = 0.00001; nyu = 0.001; int j = 0; do { Y = (f2dx(x, x1, x0, p) * ff1(x, x1, x0, p) - ff2(x, x1, x0, nyu, p) * f1dx(x, x1, x0, p)) / (f2dy(x, x1, x0, p) * f1dx(x, x1, x0, p) - f2dx(x, x1, x0, p) * f1dy(x, x1, x0, p)); X = (-ff1(x, x1, x0, p) - f1dy(x, x1, x0, p) * Y) / f1dx(x, x1, x0, p); x += X; x1 += Y; } while ((Math::Abs(ff1(x, x1, x0, p)) >= eps) && (Math::Abs(ff2(x, x1, x0, nyu, p))>= eps)); sw->WriteLine("{0:D} - ланка \n",l); sw->WriteLine("a[0] = {0,7:e}\n", a[0]); sw->WriteLine("a[1] = {0,7:e}\n", a[1]); sw->WriteLine("a[2] = {0,7:e}\n", a[2]); sw->WriteLine("a[3] = {0,7:e}\n", a[3]); if (n == 5) { sw->WriteLine("a[4] = {0,7:e}\n", a[4]); } sw->WriteLine("Лівамежаінтервалу= {0,7:e}\n", zl); sw->WriteLine("Права межа інтервалу = {0,7:e}\n", zp); sw->WriteLine("Похибка = {0,7:e}\n", ny); sw->Write(sw->NewLine); for(t = zl; t <= zp; t += 0.01) { ch1 = f(t,p); ch2 = sp(a,t); ch3 = epx_p(a,t,1); chart1->Series["Function"]->Points->AddXY(t, ch1); chart1->Series["Spline"]->Points->AddXY(t, ch2); chart2->Series["error"]->Points->AddXY(t, ch3); } zl = zp; zp += dz;} Результати роботи програми
Рис. 1. Параметри ланок сплайна
Рис. 2. Графік сплайна і функції
Рис. 3. Графік похибки наближення функції |
(1)
(5)
(7)
(10)
(11)
(12)
(14)


(21)
(25)
(26)
(29)


(36)
, (37)
(38)
(44)
.
.
.
зводиться до наближення функції 
(53)
(54)


