Курсовая работа: Привод цепного транспортера
|
Название: Привод цепного транспортера Раздел: Промышленность, производство Тип: курсовая работа | |||||||||||||||||||||||||||||||||||||||||||||||||||||||||||||||||||||||||||||||||||||||||||||||||||||||||||||||||||||||||||||||||||||||||||||||||||||||||||||||||||||||||||||||||||||||||||||||||||||||||||||||||||||||||||||||||||||||||||||||||||||||||||||||||||||||||||||||||||||||||||||||||||||||||||||||||||||||||||||||||||||||||||||||||||||||||||||||||||||||||||||||||||||||||||||||||||||||||||||||||||||||||||||||||||||||||||||||||||||||||||||||||||||||||||||||||||||||||||||||||||||||||||||||||||||||||||||||||||||||||||||||||||||||||||||||||||||||||||||||||||||||||||||||||||||||||||||||||||||||||||||||||||||||||||||||||||||||||||||||||||||||||||||||||||||||||||||||||||||||||||||||||||||||||||||||||||||||||||||||||
Введение Технический уровень всех отраслей народного хозяйства в значительной мере определяется уровнем развития машиностроения. На основе развития машиностроения осуществляется комплексная механизация и автоматизация производственных процессов в промышленности, строительстве, сельском хозяйстве и на транспорте. Перед машиностроением поставлена задача значительного повышения эксплуатационных и качественных показателей при непрерывном росте объёма её выпуска. Одним из направлений решения этой задачи является совершенствование конструкторской подготовки студентов высших учебных заведений. Выполнение курсового проекта по «деталям машин» завершается общеобразовательный цикл подготовки студентов. При выполнении работы используются знания из ряда пройденных предметов: теория машин и механизмов, механика материалов и конструкций, материаловедение и другие. Объектом курсового проекта является привод цепного транспортера. 1. Выбор двигателя, кинематический и силовой расчет привода 1.1 Анализ кинематической схемы привода и его передаточного механизма Привод состоит из электродвигателя, клиноременной передачи, цилиндрического горизонтального редуктора, муфты комбинированной компенсирующей с предохранительной по моменту. Силовой поток от электродвигателя 1 идет через упругую муфту 2 к редуктору 3, далее последовательно через вертикальные цилиндрические передачи редуктора и через комбинированную управляемую муфту 4 на приводной вал с тяговой звездочкой 5. Для упорядочения последующих расчётов на заданной кинематической схеме привода выполним дополнительные обозначения: по ходу силового потока нумеруем валы и элементы механических передач – шкивы (D1, D2). 1.2 Выбор стандартного асинхронного электродвигателя Поскольку в рассматриваемой кинематической схеме привода передаточный механизм состоит из последовательно соединённых цилиндрических передач с учетом потерь в компенсирующей муфте общий коэффициент полезного действия передаточного механизма равен:
где
В соответствии с заданной мощностью (Рв = 2,5025 кВт (Рв = Ft∙V=4,5∙0,55)) на выходном валу привода и расчётным значением общего КПД передаточного механизма (
Располагая численным значением мощности электродвигателя (Рдв = 2,77 кВт.) рассчитываем среднеквадратичную мощность двигателя РКВ= КЭК ∙ РДВ = 0,58 ∙ 2,77 = 1,6066 кВт, где КЭК = 0,58 при заданном режиме нагрузки Затем выбираем по каталогу, ориентируясь на номинальную мощность РД, четыре возможных стандартных асинхронных двигателя, которые при одном и том же значении РД отличаются номинальными частотами вращение валов nД. При выборе двигателя будем следовать условию: РД ³ РКВ (1.3) Возможные варианты типоразмеров асинхронных электродвигателей и их основные параметры представляем в таблице №1. Таблица 1.1
Вычислим номинальную частоту вращения вала двигателя nв, мин-1
Определяем возможное ориентировочное значение общего передаточного отношения Uов, которое может быть реализовано в заданной схеме передаточного механизма привода. Так как в заданной кинематической схеме присутствует редуктор и клиноременная передача, то ориентировочное значение общего передаточного отношения будет равно
где При выборе электродвигателя будем ориентироваться на условие
Исходя из конструктивных соображений выбираем электродвигатель №4 марки 4А112MA8У3. 1.3 Разбивка общего передаточного отношения передаточного механизма привода по его ступеням Сопоставляем возможное ориентировочное значение общего передаточного отношения с расчетной величиной, выбираем конкретный типоразмер электродвигателя.
где
Выполняем разбивку передаточного числа редуктора по его ступеням. Назначаем передаточные числа для первой и второй ступеней редуктора (
Разбивка общего передаточного числа передаточного механизма привода 1.4 Определение номинальных частот вращения валов привода Номинальные частоты вращения валов в заданном приводе определяют с учётом выполненной разбивки общего передаточного отношения Частота вращения вала 1 (входного вала редуктора): n1 = nД, (1.8) n1 = 700 мин-1. Частота вращения вала 2 (промежуточного вала привода):
Частота вращения вала 3 (выходного вала привода):
1.5 Определение номинальных вращающих моментов на валах привода Номинальные вращающие моменты, действующие на валах привода, определим с учётом передаточных отношений механических передач и их коэффициентов полезного действия. Определим номинальный вращающий момент на первом валу привода с помощью формулы:
где Рдс – номинальная мощность на валу двигателя в кВт, nд – номинальная частота вращения вала электродвигателя, мин-1.
Номинальный вращающий момент на первом валу:
Номинальный вращающий момент на втором валу:
Номинальный вращающий момент на третьем выходном валу:
1.6 Техническая характеристика привода В технической характеристике приведены численные значения основных кинематических и энергетических параметров привода. Номинальный вращающий момент на выходном валу, Н·мм 69,68·104. Номинальная частота вращения выходного вала, мин-1 36,6. Общее передаточное отношение редуктора 20. Общий коэффициент полезного действия 0,903. 2. Выбор материалов и определение допускаемых напряжений для зубчатых передач 2.1 Выбор материалов и определение допускаемых напряжений для зубчатых колес тихоходной передачи Номинальная частота вращения ведущей шестерни n2 = 140 мин-1. Номинальная частота вращения ведомого колеса n3 = 36,6 мин-1. Срок службы передачи, часов (лет): 5 лет. Расчёт допускаемых напряжений для зубчатой пары при термической обработке представлен в таблице №2.1. Таблица 2.1
2.2 Выбор материалов и определение допускаемых напряжений для зубчатых колес быстроходной передачи Номинальная частота вращения ведущей шестерни n1 = 700 мин-1. Номинальная частота вращения ведомого колеса n2 = 140 мин-1. Срок службы передачи (лет): 5 лет. Расчёт допускаемых напряжений для зубчатой пары при термической обработке представлен в таблице №2.2. Таблица 2.2
3. Проектный и проверочный расчет цилиндрических зубчатых передач 2-й ступени редуктора 3.1 Предварительное значение межосевого расстояния а' передачи из условия контактной выносливости рабочих поверхностей зубьев
где [sH] − расчетное допускаемое контактное напряжение для материалов зубчатой пары, МПа; [sH] = 469,4 МПа;
Расчетную величину межосевого расстояния а2' округлим до ближайшего стандартного значения а2. а2 = 200 мм. 3.2 Руководствуясь зависимостями назначается номинальный модуль зацепления m m= (0,01…0,02) · а = (0,01…0,02) ·200 = (2,0…4,0). m = 3,0 мм. 3.3 Зададимся предварительным значением угла наклона линии зубьев 3.4 Определим суммарное число зубьев шестерни по зависимости
3.5 С учетом стандартных значений нормального модуля зацепления
m
, межосевого расстояния а и принятого суммарного числа зубьев
3.6 Определим ширину b 4 и b 3 зубчатого колеса и шестерни b4 = b4 = b3 = b3 = 3.7 Находим коэффициент осевого перекрытия
3.8 Вычисляем числа зубьев шестерни Z 3 и колеса Z 4
Расчетные значения Z3 = 25; Z4 = 102. 3.9 Фактическое передаточное число передачи
Это удовлетворяет допускаемым отклонениям передаточного числа в пределах ± 4% от номинального значения. 3.10 Окружная скорость в зацеплении, м/с
где
3.11 Назначаем 9-ю степень точности передачи [3. с 7. таблица №4] 3.12 Фактическое значение коэффициента нагрузки [1] при расчете по контактным напряжениям
где КНV − коэффициент, учитывающий внутреннюю динамическую нагрузку в передаче при расчете на прочность активных поверхностей зубьев.
КНb − коэффициент, учитывающий неравномерность распределения нагрузки по длине контактных линий зубьев при расчете на прочность их активных поверхностей. Значение КНbопределяем в зависимости от расположения зубчатых колес проектируемой передачи относительно опор, т.е. схемы передачи, твердости рабочих поверхностей зубьев и относительной ширины колеса ybd.
КНa2 − коэффициент, учитывающий распределение нагрузки между зубьями при расчете на прочность их активных поверхностей.
3.13 Коэффициент Z М , учитывающий механические свойства сопряженных зубчатых колес, принимают [1] в зависимости от материалов Для стальных зубчатых колес Коэффициент ZН, учитывающий форму сопряженных поверхностей зубьев в полосе зацепления, определяем в зависимости от коэффициента смещения Xисходного контура и угла наклона bлинии зубьев на делительном цилиндре. ZН2 = 2,4. Коэффициент Ze, учитывающий суммарную длину контактных линий зубьев, находим с учетом значений коэффициентов торцевого
Ze2 = 0,77. Действительные контактные напряжения на активных поверхностях зубьев при фактических параметрах передачи:
где
Отклонение действительного контактного напряжения:
Недогрузка составляет 17,1%. Проверка контактной прочности зубьев при действии пиковой нагрузки:
где [ Фактическое значение коэффициента нагрузки при расчете на прочность зубьев при изгибе:
где KFV − коэффициент, учитывающий внутреннюю динамическую нагрузку. KFV2 = 1 + 0,045·V2; KFV2 = 1+0,045·0,578=1,02601. KFb − коэффициент, учитывающий неравномерность распределения нагрузки по длине контактной линии при расчете на прочность зубьев при изгибе. Значения KFb определим в зависимости от расположения зубчатых колес проектируемой передачи относительно опор, твердости рабочих поверхностей зубьев и относительной ширины ybd колеса. KFb2 = 1,15. KFa2 − коэффициент, учитывающий распределение нагрузки между зубьями при расчете их на изгибную прочность. Величину KFaпринимаем с учетом назначенной степени точности передачи. KFa2 = 1 KF2 = 1,026·1,15·1 = 1,179. Проверяем усталостную прочность зубьев шестерни и колеса по напряжениям изгиба, сопоставляя местные напряжения изгиба
где
где b − угол наклона линии зубьев в градусах.
Принимаем
где
Проверка изгибной прочности зубьев шестерни и колеса при действии пиковой нагрузки:
Основные геометрические размеры зубчатой передачи. Делительные диаметры:
Проверка:
Диаметры вершин зубьев:
Диаметры впадин зубьев:
Усилия, действующие в зацеплении косозубой цилиндрической передачи (составляющие силы нормального давления): Окружное усилие: Радиальное усилие: Осевое усилие: 4. Проектный и проверочный расчет цилиндрических зубчатых передач 1-й ступени редуктора 4.1 Предварительное значение межосевого расстояния а' передачи из условия контактной выносливости рабочих поверхностей зубьев
где [sH] − расчетное допускаемое контактное напряжение для материалов зубчатой пары, МПа; [sH] = 424,4 МПа;
Расчетную величину межосевого расстояния а' округлим до ближайшего стандартного значения а. а1 = 140 мм. 4.2 Руководствуясь зависимостями назначается номинальный модуль зацепления m m= (0,01…0,02) · а = (0,016…0,0315) · 140 = (1,4…2,8). m = 2,0 мм. 4.3 Зададимся предварительным значением угла наклона линии зубьев 4.4 Определим суммарное число зубьев шестерни по зависимости
С учетом стандартных значений нормального модуля зацепления m, межосевого расстояния а и принятого суммарного числа зубьев
4.6 Определим ширину b 4 и b 3 зубчатого колеса и шестерни b2 = b2 = b1 = b1 = 4.7 Находим коэффициент осевого перекрытия
4.8 Вычисляем числа зубьев шестерни Z 1 и колеса Z 2
Расчетные значения Z1 = 22; Z2 = 112. 4.9 Фактическое передаточное число передачи
Это удовлетворяет допускаемым отклонениям передаточного числа в пределах ± 4% от номинального значения. 4.10 Окружная скорость в зацеплении, м/с
где
4.11 Назначаем 9-ю степень точности передачи [3. с 7. таблица №4] Фактическое значение коэффициента нагрузки [1] при расчете по контактным напряжениям:
где КНV − коэффициент, учитывающий внутреннюю динамическую нагрузку в передаче при расчете на прочность активных поверхностей зубьев.
КНb1 − коэффициент, учитывающий неравномерность распределения нагрузки по длине контактных линий зубьев при расчете на прочность их активных поверхностей. Значение КНbопределяем в зависимости от расположения зубчатых колес проектируемой передачи относительно опор, т.е. схемы передачи, твердости рабочих поверхностей зубьев и относительной ширины колеса ybd.
КНa1 − коэффициент, учитывающий распределение нагрузки между зубьями при расчете на прочность их активных поверхностей.
Коэффициент ZМ, учитывающий механические свойства сопряженных зубчатых колес, принимают [1] в зависимости от материалов. Для стальных зубчатых колес Коэффициент ZН, учитывающий форму сопряженных поверхностей зубьев в полосе зацепления, определяем в зависимости от коэффициента смещения Xисходного контура и угла наклона bлинии зубьев на делительном цилиндре. ZН1 = 2,4. Коэффициент Ze, учитывающий суммарную длину контактных линий зубьев, находим с учетом значений коэффициентов торцевого
Ze1 = 0,78. Действительные контактные напряжения на активных поверхностях зубьев при фактических параметрах передачи:
где
Отклонение действительного контактного напряжения:
Недогрузка составляет 15%, что находится в пределах допустимых Проверка контактной прочности зубьев при действии пиковой нагрузки:
где [ Фактическое значение коэффициента нагрузки при расчете на прочность зубьев при изгибе:
где KFV − коэффициент, учитывающий внутреннюю динамическую нагрузку. KFV2 = 1 + 0,045·V2; KFV2 = 1+0,045·1,69=1,07605. KFb2 − коэффициент, учитывающий неравномерность распределения нагрузки по длине контактной линии при расчете на прочность зубьев при изгибе. Значения KFb определим в зависимости от расположения зубчатых колес проектируемой передачи относительно опор, твердости рабочих поверхностей зубьев и относительной ширины ybd колеса. KFb2 = 1,2. KFa2 − коэффициент, учитывающий распределение нагрузки между зубьями при расчете их на изгибную прочность. Величину KFaпринимаем с учетом назначенной степени точности передачи. KFa2 = 1 KF2 = 1,07605·1,2·1 = 1,291. Проверяем усталостную прочность зубьев шестерни и колеса по напряжениям изгиба, сопоставляя местные напряжения изгиба
где
где b − угол наклона линии зубьев в градусах.
Принимаем
где
Проверка изгибной прочности зубьев шестерни и колеса при действии пиковой нагрузки:
Основные геометрические размеры зубчатой передачи. Делительные диаметры:
Проверка:
Диаметры вершин зубьев:
Диаметры впадин зубьев:
Усилия, действующие в зацеплении косозубой цилиндрической передачи (составляющие силы нормального давления): Окружное усилие: Радиальное усилие: Осевое усилие: 5. Проектный расчет валов, выбор подшипников и эскизная компоновка редуктора Вал при работе испытывает сложное нагружение: деформации кручения и изгиба. Однако проектный расчет валов проводится из условия прочности на чистое кручение, а изгиб вала и концентрация напряжений учитываются пониженными допускаемыми напряжениями на кручение, которые выбираются в интервале [t] – 20…25 МПа [4, с. 296]. Наименьший диаметр выходного участка быстроходного вала dВ1, мм, равен [4]:
Наименьший диаметр промежуточного вала dB2, мм, равен:
Наименьший диаметр выходного участка тихоходного вала dB3, мм, равен:
где Т1, Т2, Т3 – номинальные вращающие моменты соответственно на входном (быстроходном), промежуточном и выходном (тихоходном) валах редуктора. Полученные расчетные значения диаметров выходных участков валов Окончательно принимаем:
Остальные размеры участков валов назначаем из ряда стандартных диаметров в сторону увеличения, исходя из конструктивных и технологических соображений. Для быстроходного вала: dy1=dП1³ Диаметр бортика для упора подшипника ds1, мм, вычислим по формуле ds1³dП1+2•t, где t-значение высоты перехода [10 таблица 14] ds1³25+2•2³29 Окончательно выбираем ds1=30 мм. Величина высоты буртика больше величине радиуса закругления подшипника r, мм, что обеспечивает надежное осевое размещение подшипника на валу; dfl, da1, d1, – размеры шестерни (пункт 3.1). Для промежуточного вала: Диаметр вала под уплотнение и подшипник: dy2=dП2³ 40=40 мм df2, da2, d2, – размеры колеса (пункт 3.1) df3, da3, d3, – размеры шестерни (пункт 3.2). Диаметр под зубчатое колесо: dк2 ³dП2+2• t2³ 45=45 мм Диаметр бортика для упора колеса: ds2³45+2•2,5³50 мм Для тихоходного вала: Диаметр вала под уплотнение и подшипник: dy3=70 мм. Диаметр под зубчатое колесо: dк4 =75 мм Диаметр бортика для упора колеса: ds3³80 мм Окончательно выбираем ds3=80 мм. df4, da4, d4, – размеры колеса (пункт 3.2). Длины участков валов определим после эскизной компоновки редуктора на миллиметровой бумаге непосредственным измерением линейкой. Корпус и крышку редуктора выполняем из чугунного литья Толщина стенки корпуса d, мм, и крышки d1, мм, должны быть не меньше 8 миллиметров. Принимаем: в = d1=8 мм. Толщину ребер корпуса
Принимаем: Диаметр фундаментных болтов d1 принимаем: d1=16 мм. Диаметр болтов крепящих крышку к корпусу принимаем: d3= 12 мм Размеры штифта: Длина lш ³b+b1+(5…6)=29…30 мм. Принимаем: lш = 30 мм Диаметр dш = 10 мм В редукторах применяют в основном подшипники качения. Выбор типа подшипника зависит от нагрузок, действующих на вал. Так как на вал действуют осевая и радиальная силы, то используем радиально-упорные подшипники. Выбор его типоразмера зависит от диаметра вала под подшипник. Посадочный диаметр подшипника для быстроходного вала d=dП1, для промежуточного вала d=dП2, для тихоходного вала – d=dП3. Входной вал: шариковый однорядный радиальный подшипник 36207. Промежуточный вал: шариковый однорядный радиальный подшипник 36208. Выходной вал: шариковый однорядный радиальный подшипник 36214. Для герметизации подшипниковых узлов редуктора с осевой фиксацией подшипников применим закладные крышки. Они изготавливаются, из чугуна СЧ 15 двух видов. Размеры крышек определяют в зависимости от диаметра наружного кольца подшипника D. Во время работы привода происходит нагрев деталей и масла, что приводит к линейному удлинению валов редуктора. Для компенсации этого расширения предусматривают осевой зазор в подшипниковых узлах а = 0,2… 0,5 мм, который на чертежах общего вида не показывается. Так как применили закладные крышки регулировка осевого зазора производится с помощью компенсирующих колец, которые устанавливаются между торцами наружных колец подшипников и крышек. Смазку зубчатых колёс производим посредством окунания колес в масленую ванну. Графическая часть эскизной компоновки проводим на бумаге формата А 1 в масштабе 1:1 и содержащей вид сбоку вертикального редуктора с разрезом по осям валов и главного вида редуктора. Выполнение эскизной компоновки проводим несколькими этапами. На первом этапе откладываем межосевое расстояние а и вычерчивается зубчатая цилиндрическая передача, размеры которой получены в пунктах 3.2 и 3.3. На втором этапе прочерчиваем границы внутренней стенки редуктора на расстоянии X = 5…12 мм от элементов зубчатой цилиндрической передачи. Со стороны шестерни предварительное значение размера f, мм, назначим равным f =10 мм. На третьем этапе вычерчиваем ступени валов на соответствующих осях по диаметральным размерам, полученным в проектном расчете валов (пункт 5). Длины участков валов получим из следующих рассуждений: Длина участка вала под муфты, которая равна: L1=1,5•dв, где dв-диаметр выходного участка вала, мм; L1=1,5·25=37,5 На четвертом этапе дорисовываются подшипники по своим габаритным размерам и определяем для валов размеры а, и в, мм, которые являются плечами приложенных к валу сил. Определение этих размеров позволяет провести проверочный расчет валов на прочность и расчет подшипников на долговечность. 6. Расчетная схема валов редуктора (определение реакции и построение эпюр) После выполнения эскизной компоновки редуктора проведём проверочные расчеты валов и подшипников. Расчет вала проведем на совместное действие изгиба и кручения. Для начала определим внутренние силовые факторы в сечениях вала. Составим расчетную схему вала (рисунок 1, 2, 3). К тихоходному валу прикладываем силы от зубчатой цилиндрической косозубой передачи, значения которых получены в пункте 6. Проверяем правильность расположения сил в плоскостях в соответствии с кинематической схемой привода. Размеры участков валов получены после эскизной компоновки редуктора. Быстроходный вал Силы в зацеплении Ft1=1537,36 H Fr1=589 H Fa1=499,51 H Расчётные расстояния a=0,140; b=0,057. Рассмотрим плоскость ХОY (рисунок 1). Определим опорные реакции:
Построим эпюры изгибающих моментов
при х1=0 х1=а
при х2=0 х2=а
Рассмотрим плоскость ХОZ (рисунок 1). Определим опорные реакции:
Построим эпюры изгибающих моментов
при х1=0 х1=а
при х2=0 х2=а Построим суммарную эпюру изгибающих моментов
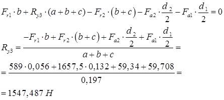
Промежуточный вал Силы в зацеплении Ft1=1537,36 H Fr1=589 H Fa1=499,51 H Ft2 =4326,4 H Fr2 =1657,5 H Fa2 =1405,73 H Расчётные расстояния а=0,065; в=0,076; c=0,056. Рассмотрим плоскость ХОY (рисунок 2). Определим опорные реакции:
Построим эпюры изгибающих моментов
при х1=0 х1=а
при х2=а х2=а+в
при х3=а+в
х3=а+в+c Рассмотрим плоскость ХОZ (рисунок 2). Определим опорные реакции:
Построим эпюры изгибающих моментов
при х1=0 х1=а
при х2=а х2=а+в
при х1=0 х1=а
Тихоходный вал Силы в зацеплении Ft2= 4326,4 H Fr2= 1657,5 H Fa2= 1405,73 H Расчётные расстояния а=0,065; b=0,132 Рассмотрим горизонтальную плоскость ХОY (рисунок 3). Определим опорные реакции:
Построим эпюры изгибающих моментов
при х1=0 х1=а
при х2=0 х2=а
Рассмотрим вертикальную плоскость ХОZ (рисунок 3). Определим опорные реакции:
Построим эпюры изгибающих моментов
при х1=0 х1=а
при х2=a х2=в Построим суммарную эпюру изгибающих моментов
7. Проверочный расчет подшипников Для проверки подшипников на долговечность необходимо сначала определить суммарные радиальные реакции в опорах вала. Быстроходный вал В опоре А (рисунок 3.1) суммарная реакция
В опоре В (рисунок 3.1) суммарная реакция
Промежуточный вал В опоре А (рисунок 3.2) суммарная реакция
В опоре В (рисунок 3.2) суммарная реакция
Тихоходный вал В опоре А (рисунок 3.3) суммарная реакция
В опоре В (рисунок 3.3) суммарная реакция
Выбранные в пункте 4 подшипники проверим на долговечность по наиболее нагруженной опоре. Для промежуточного вала:
Долговечность выбранных радиальных шарикоподшипников Lh, ч, определим по формуле:
где n – 140 мин-1 – частота вращения промежуточного вала; С = 38900 Н – динамическая грузоподъемность подшипника промежуточного вала; Р – приведенная нагрузка, Н, которая определяется по зависимости
где Fr – радиальная нагрузка, Н. Fr= 2907 Н V – коэффициент, учитывающий, какое кольцо подшипника вращается. При вращении внутреннего кольца подшипника V= 1; Кт – температурный коэффициент. Так как при работе редуктор не нагревается выше 100°, то принимаем Кт = 1 СР – коэффициент режима нагрузки, СР = 1,2 Приведенная нагрузка равна
Долговечность подшипника равна
Lh=165041>[L]=10000 Рассмотрим быстроходный вал.
n =700 мин-1; С = 30800 Н; V= 1; Кт = 1. Приведенная нагрузка равна
Долговечность подшипника равна
Lh=11728,3>[L]=10000 Рассмотрим тихоходный вал.
Н; n =36,6 мин-1; С = 80200 Н; V= 1; Кт = 1. Приведенная нагрузка равна
Долговечность подшипника равна
Lh=291583,8>[L]=10000 Расчетная долговечность подшипника показала недолговечность подшипников, по сравнению со сроком службы редуктора. Так как подшипники более тяжёлых серий более дорогостоящие, то конструкторским решением будет обязательная замена подшипников. 8. Проверочный расчет выходного вала редуктора на усталостную прочность Цель проверочного расчета состоит в проверке соблюдения следующего неравенства в опасном сечении вала
где [s] – расчетный и допускаемый коэффициент запаса прочности; [s]=3. Опасным будем считать сечение вала, где возникают наибольшие изгибающие и крутящие моменты. В рассматриваемом примере таким сечением является сечение под колесом. Расчетный коэффициент запаса прочности равен:
где
где Материал вала – сталь 40Х, термообработка – улучшение:
Учитывая, что для материала вала
Hапряжения изгиба изменяются по симметричному циклу, поэтому амплитуда
где W– момент сопротивления сечения, мм3, который для круглого сечения равен:
где в – диаметр вала в опасном сечении.
Определим амплитуду цикла
Напряжения кручения при нереверсивном вращении вала изменяются по нулевому циклу, поэтому амплитуда
где Тi– крутящий момент в опасном сечении вала, Н·мм; Т3=696870 Wp – полярный момент сопротивления сечения, мм3, который равен:
где в – диаметр вала, мм, в опасном сечении вала.
Определим напряжения кручения
Коэффициенты
Для рассматриваемого вала коэффициенты запаса прочности по нормальным и касательным напряжениям равны:
Расчетный коэффициент запаса прочности равен
Расчетный коэффициент запаса прочности больше допускаемого значит, вал работоспособен. 9. Проверочный расчет шпоночных соединений В соответствии с заданием на курсовую работу в конструкции редуктора применено два шпоночных соединения: выходные участки быстроходного и тихоходного валов для крепления муфт. Выбор сечения шпонки осуществим по диаметру вала d. Выбранная шпонка проверяется на смятие по условию прочности
где
где Ti– вращающий момент, Н • мм, передаваемый валом; d, h, b, t1 – размеры соединения, мм; 1 р – расчетная длина шпонки, мм, которая для призматической шпонки с закругленными торцами равна
Проверим все шпонки на смятие
Видим, что действительное напряжение смятия меньше допускаемого. Значит, выбранные шпонки работоспособны. 10. Обоснование посадок в основных сопряжениях редуктора Для основных видов сопряжения выбираем следующие виды посадок: а) упругие муфты б) зубчатые колеса в) наружные кольца подшипников качения на валы г) внутренние кольца подшипников качения на валы 11. Выбор сорта масла и его объема Смазку зубчатого зацепления осуществляем картерным способом-окунанием зубчатых колес в масляную ванну. Кинематическая вязкость масла u40=50 Этой вязкости соответствует масло И-Г-А-68 ГОСТ 1013–76 12. Перечень используемых стандартов Стандартизация – установление обязательных норм, называемых стандартами, которым должны соответствовать определенные виды или отдельные параметры продукции. Назначение стандартизации – максимальное упрощение и удешевление производства путем использования наиболее целесообразных видов изделий их исполнения, конструирования форм, размеров технических и качественных характеристик и показателей. Стандартизация деталей машин упрощает и ускоряет проектирование новых машин, снижает трудоемкость изготовления деталей и себестоимость продукции, уменьшает расход материалов и запасных частей, облегчает и ускоряет ремонт машин. В процессе проектирования были использованы следующие стандарты
13. Техника безопасности При выполнении курсового проекта предусмотрены мероприятия, обеспечивающие безопасные условия труда при изготовлении, монтаже и эксплуатации привода цепного транспортера на заданный срок службы. Проектные и проверочные расчеты закрытой и открытой передач, их элементов, валов и соединений гарантируют условия статической и усталостной прочности деталей, создание необходимых запасов прочности. При подборе асинхронного электродвигателя обеспечено условие, при котором затрачиваемая мощность не превышает номинальную мощность двигателя; расчетный вращающий момент принятого типоразмера муфты меньше предельно допускаемого момента; расчетные технические ресурсы подшипников редуктора выше нормативных значений. В конструкции редуктора предусмотрены необходимые регулировки подшипников и зубчатого зацепления, герметичность корпуса. Для подъема и транспортировки крышки корпуса и собранного редуктора применены проушины на крышке и крюки на основании корпуса редуктора. Принятая конструкция маслоуказателя позволяет доступно и просто контролировать уровень масла в картере. Сорт масла и способы смазки подшипников качения и зацепления назначены с учетом условий работы и конструктивной особенности редуктора, обеспечивая тем самым надежную работу привода. Безопасной эксплуатации привода способствует требование обязательного заземления электродвигателя и рамы. Во избежание несчастного случая обязательному ограждению подлежит открытая ременная (цепная) передача, соединительная муфта. При установке транспортера с приводной станцией в производственном помещении необходимо обеспечить их удаление от стен и проходов на расстояния, регламентированные нормативами. Обслуживающий персонал должен быть проинструктирован по технике безопасности на рабочем месте. ЗаключениеВ ходе проектирования выполнены: выбор типоразмера электродвигателя, проектные и проверочные расчеты передач привода, валов редуктора, расчет и выбор подшипников, шпоночные соединения, муфта. Даны рекомендации по сорту масла и смазке зубчатого зацепления и подшипников, по выбору посадок деталей редуктора, монтажу редуктора. Выполнены чертежи общего вида цилиндрического редуктора, муфты, рабочие чертежи промежуточного вала и колеса. На стадии проектирования предусматриваются некоторые меры безопасности эксплуатации привода, применены принципы стандартизации и унификации деталей и их элементов. Полученные результаты обеспечивают работоспособность и надежность конструкции привода. Список литературы 1. Методические указания к выполнению расчетно-графической работы и раздела курсового проекта «Кинематический я силовой расчет механического провода» / Сост.: С.Б, Бережной, В.Г. Сутокский, ВВ. Посохов; Кубанский гос. технол. ун-т. Каф. технической механики. – Краснодар: Изд-во КубТТУ, 1996. – 35 с. 2. Методические указания к практическим занятиям по технической механике / Сост.: В.В. Китаин, Р.В. Азнаурян, С.А. Метильков и др.; Кубанский гос. технол. ун – т. Каф. технической механики. – Краснодар: Изд – во КубТТУ, 1996. – 88 с. 3. А.В. Пунтус «ПРОЕКТНЫЙ РАСЧЁТ КОСОЗУБОЙ ЦИЛИНДРИЧЕСКОЙ ПЕРЕДАЧИ» – Методические указания к выполнению проекта по курсу «Детали машин и основы конструирования» для студентов механических специальностей дневной и заочной форм обучения.: Краснодар 2002. с. 17с ил. 4. Сутокский В.Г., Журавлёв С.Н. Детали машин. Проектирование механического привода общего назначения: Учебное пособие/ Кубанский гос. технол. ун – т. – Краснодар: Изд – во КубТТУ, 2001. – 80 с 5. Проектирование механических передач / С.А. Чернявский, Г.А. Снесарев, Б.С.-Козинцев и др. – М.: Машиностроение, 1984. – 558 с. 6. Анурьев В.И. Справочник конструктора – машиностроителя. В 3-х томах-М.: Машиностроение, 1982. 7. СТП 053–2.10–95 Дипломные проекта (работы). Общее требования и правила оформления; Кубанский гос. технол. ун-т. Краснодар: Изд – во КубТТУ, 1995. – 20 с. |
|||||||||||||||||||||||||||||||||||||||||||||||||||||||||||||||||||||||||||||||||||||||||||||||||||||||||||||||||||||||||||||||||||||||||||||||||||||||||||||||||||||||||||||||||||||||||||||||||||||||||||||||||||||||||||||||||||||||||||||||||||||||||||||||||||||||||||||||||||||||||||||||||||||||||||||||||||||||||||||||||||||||||||||||||||||||||||||||||||||||||||||||||||||||||||||||||||||||||||||||||||||||||||||||||||||||||||||||||||||||||||||||||||||||||||||||||||||||||||||||||||||||||||||||||||||||||||||||||||||||||||||||||||||||||||||||||||||||||||||||||||||||||||||||||||||||||||||||||||||||||||||||||||||||||||||||||||||||||||||||||||||||||||||||||||||||||||||||||||||||||||||||||||||||||||||||||||||||||||||||||
(1.1)
(1.2)
.
(1.7)
, (1.9)
.
, (1.12)







































мм
мм



= 1,12;
= 1,12;
;
;
.
.
(для стали).

;
;
.
.
,
,
,
.
,
.
,
.
;
.
Н.
Н.
мм
мм



= 1,12;
= 1,12;
;
;
.
.

;
;
.
.
.
,
,
,
.
,
.
,
МПа.
МПа.
;
Н.
Н.




















;
,






МПа
МПа
МПа