Реферат: Електричні кола при синусоїдній дії
|
Название: Електричні кола при синусоїдній дії Раздел: Рефераты по физике Тип: реферат |
Електричнi кола при синусоїднiй дiї Зміст 1. Змiнний струм та його основнi характеристики 2. Синусоїдний струм та його основнi параметри 3 Подання синусоїдних коливань у виглядi проекцiй векторiв, що обертаються 4. Синусоїдний струм в опорi 5. Синусоїдний струм в iндуктивностi 6. Синусоїдний струм в ємності 1. Змiнний струм та його основнi характеристикиНа рис.1 зображено часовi дiаграми миттєвих значень струму, значення якого змiнюються за часом. Друга та третя дiаграми вiдповiдають перiодичному струмовi.
Рисунок 1 Перiодичний струм (напруга, ЕРС) - електричний струм, миттєвi значення якого повторюються через однаковi iнтервали часу. Перiод T - найменший iнтервал часу, через який миттєве значення перiодичного електричного струму (ЕРС, напруги) повторюється. Частота електричного струму F (f ) - величина, обернена до перiоду електричного струму. Одиницi вимiру - 1/с (Гц), кГц, МГц. Змiнний струм (напруга) - перiодичний струм (напруга), середнє значення якого за перiод дорiвнює нулю:
Пульсний струм - перiодичний струм, середнє значення якого за перiод не дорiвнює нулю. На рис.1 на другiй дiаграмi показано змiнний струм, на третiй - пульсний струм. Дiюче (ефективне) значення перiодичного струму - середньоквадратичне значення струму за перiод. Аби з'ясувати це поняття, розглянемо вплив перiодичного струму i та постiйного струму I на один i той самий постiйний резистор R за час t = T . Енергiя, що видiляється постiйним струмом на опорi R за час перiоду змiнного струму T , визначається за формулою:
При змiнному струмi за перiод Т
витрачається енергiя
де i - миттєве значення перiодичного струму; I - дiюче значення. Отже, дiючим значенням перiодичного струму називається таке значення постiйного струму, яке за перiод змiнного струму при даному опорi видiляє стiльки ж тепла, скiльки видiляє перiодичний струм за той самий час. 2. Синусоїдний струм та його основнi параметриСинусоїдний струм (напруга, ЕРС) - це електричний струм, який є синусоїдною функцiєю часу. У лiтературi також застосовується назва гармонiчний струм - який змiнюється за синусоїдним чи косинусоїдним законами. На рис.2 показано часову дiаграму синусоїдного струму, миттєве значення якого визначається за формулою:
де
а) б) Рисунок 2Початкова фаза синусоїдного електричного струму - значення фази синусоїдного струму в початковий момент часу (t
=0). Iнакше, початкова фаза вiдповiдає абсцисi найближчої точки переходу з вiд'ємної пiвхвилi до додатної. На рис.2а початкова фаза коливання дорiвнює нулю, на рис.2б перша крива має початкову фазу Якщо розглядати змiнний струм, який змiнюється за косинусоїдним законом
Таким чином, при переходi вiд синусоїдної до косинусоїдної форми запису початкова фаза зменшується, при зворотньому переходi - збiльшується.
а) б) Рисунок 3Нехай для деякої дiлянки електричного кола струм та напруга становлять: Отже, зсув фаз мiж напругою та струмом - це алгебраїчна величина, що дорiвнює рiзницi фаз напруги та струму. Якщо
Цi спiввiдношення справедливi також i для синусоїдної форми запису. Аргумент синуса (косинуса) являє собою миттєву або поточну фазу
На рис.4а показано залежнiсть
в) г) Рисунок 4Аби визначити дiюче значення синусоїдного струму, скористуємось формулою (1) та косинусоїдною формою запису
Замiнимо
Другий iнтеграл дорiвнює нулю, оскiльки функцiя 0¸T /4 має однаковi додатну та вiд'ємнi площi (рис.4б). Таким чином, дiюче значення пов'язане з амплiтудним:
Дiюче значення синусоїдного струму характеризує його енергетичну дiю. Вольтметри та амперметри у колах змiнного струму показують дiюче значення ЕРС, напруги та струму. Наприклад, якщо амплiтуда напруги у колi U
= 311 В, то вольтметр на затискачах кола покаже 3 Подання синусоїдних коливань у виглядi проекцiй векторiв, що обертаютьсяДля розрахунку електричних кiл синусоїдного струму застосовують метод комплексних амплiтуд (або символiчний метод), який дозволяє розраховувати цi кола алгебраїчним способом, аналогiчно колам постiйного струму. Комплексний метод оснований на замiнi синусоїдних функцiй часу векторами, що обертаються. Вiдомо, що кожна точка на комплекснiй площинi визначається вектором, початок якого знаходиться в т.0, а кiнець - у точцi, що вiдповiдає даному комплексному числу. Комплексне число можна виразити в трьох формах: у показниковiй -
де у тригонометричнiй -
в алгебраїчнiй -
де
Очевидно, що
Вектор, який обертається у додатному напрямi (тобто проти годинникової стрiлки) з кутовою швидкiстю
де Отже, комплексна амплiтуда синусоїдного струму (напруги) - це комплексна величина, модуль та аргумент якої дорiвнюють вiдповiдно амплiтудi та початковiй фазi синусоїдного струму (напруги). Комплексна амплiтуда не залежить вiд часу, тобто є нерухомим вектором. Множення комплексної амплiтуди Записуючи комплексно-часову функцiю (2) у тригонометричнiй формi
бачимо, що синусоїдна функцiя i
(t
) може розглядатися як уявна частина (2) або як проекцiя вектора
Позначення Im означає, що застосовується уявна частина ("image"). Аналогiчно косинусоїдна функцiя може розглядатися як дiйсна частина або проекцiя на дiйсну вiсь:
Символ Re означає операцію взяття дiйсної частини ("real"). Подання синусоїдної функцiї за допомогою векторiв та їх проекцiй iлюструється на рис.5.
Рисунок 54. Синусоїдний струм в опорiРозглянемо коло з резистором, який має активний опiр R. Нехай у колi протікає струм
Як бачимо, Крiм того, при проходженнi синусоїдного струму крiзь опiр не тiльки миттєвi значення, але й амплiтуди та дiючi значення пов'язанi за законом Ома:
Подамо миттєвi значення напруги та струму через комплекснi амплiтуди:
Пiдставимо цi значення до виразу
Якщо рiвнi мiж собою реальнi частини, то рiвнi й вектори:
закон Ома в комплекснiй формi. Запишемо комплекснi дiючi значення струму та напруги:
На рис.6 зображено вектори
Рисунок 6 Визначимо миттєву потужнiсть, яка витрачається в опорi. При цьому врахуємо, що
Оскiльки
Залежнiсть миттєвих значень u
, i
, p
від t
(або
Другий iнтеграл дорiвнює нулю, оскiльки на iнтервалi часу, що кратний перiоду, додатнi та вiд'ємнi площi синусоїдної функцiї однаковi.
Рисунок 7 5. Синусоїдний струм в iндуктивностiНехай через iндуктивнiсть протiкає струм
Оскільки
Цей вираз дозволяє зробити такi висновки: 1) 2) амплiтуди, так само як i дiючi значення напруги та струму, пов'язанi законом Ома: Величина Миттєва потужнiсть, яка надходить до iндуктивностi, становить:
Очевидно, що активна потужнiсть P = 0 (як середнє значення синусоїдної функцiї на iнтервалi часу T ). Визначимо енергiю магнiтного поля в iндуктивностi:
(Замiна змiнних у межах: при Отже
Залежностi миттєвих значень u
, i
, p
,
Рисунок 8 У момент часу Подамо миттєвi значення струму та напруги через комплекснi амплiтуди:
З останнього виразу можна зробити такi висновки: 1) операцiя диференцiювання дiйсної функцiї часу за t
еквiвалентна множенню на величину 2) оскiльки рiвнi мiж собою реальнi частини, рiвнi також i вектори:
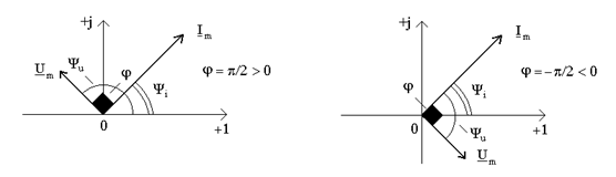
де Розглянемо фазовi спiввiдношення комплексних амплiтуд струму та напруги в iндуктивностi. Для цього запишемо
Цей вираз пiдтверджує висновок щодо фазового зсуву мiж комплексними амплiтудами
а) б) Рисунок 9 Знайдемо вираз для комплексної амплiтуди струму, користуючись спiввiдношенням:
Скоротивши вираз на множник
де Зазначимо, що операцiя iнтегрування дiйсної функцiї часу при переходi до комплексно-часової функцiї замiнюється операцiєю дiлення на величину 6. Синусоїдний струм в ємностіНехай через ємнiсть протiкає струм
Аналiз останнього виразу показує: 1) 2) амплiтуди, так само як i дiючi значення напруги та струму, пов'язанi законом Ома: Тодi Миттєва потужнiсть, яка надходить до ємностi, становить:
Активна потужнiсть P = 0, так само як i для iндуктивностi. Енергiя електричного поля в ємностi визначається за формулою:
Залежностi миттєвих значень u
, i
, p
,
Рисунок 10 Якщо перейти до комплексно-часових функцiй
де Здобутi вирази - це закон Ома в комплекснiй формi для ємностi. Аби роз-глянути фазовi спiввiдношення, запишемо комплексну амплiтуду
Подамо множник - j
в показниковiй формi
Цей вираз пiдтверджує висновок, що в ємностi напруга вiдстає за фазою вiд струму на кут |

.
. Дiюче значення струму знайдемо за умови рiвностi W
= w
:
;
;
, (1)


.
.

.
.
.
.
.
.
.
,
.
.
;
.
, (5)