Реферат: Управленческий учет сбытовой деятельности предприятия
|
Название: Управленческий учет сбытовой деятельности предприятия Раздел: Рефераты по менеджменту Тип: реферат |
Управленческий учет сбытовой деятельности предприятия Содержание Введение 1.Концепции управленческого учета 2.Классификация затрат для принятия решений и управления 3.Управленческий учет как инструмент регулирования процесса реализации готовой продукции (работ, услуг) 4.Методологии общего управления и планирования производства 5.Краткая характеристика производственно-финансовой деятельности предприятия 5.1 Действующая практика учета затрат и результатов финансово-сбытовой деятельности на предприятии 5.2 Процедура создания системы управленческого учета в конкретной ситуации Заключение Литература Введение управленческий учет затрата Управленческий учет, прежде всего, создаётся для того, чтобы оперативно принимать решения, связанные с деятельностью фирмы. Информация управленческого учёта собирается и используется (в зависимости потребности и разрешений) отделом маркетинга, отделом качества, производственным отделом, финансовым отделом и т.д. (при наличии таковых) и, естественно, бухгалтерией. Управленческий учёт может также оперировать прогнозами, электронной информацией, не подтверждённой первичными документами и другими данными. Управленческий учёт выделился как отдельная дисциплина, потому что для принятия управленческих решений требуется оперативная информация, чего обычный бухгалтерский учёт в силу своей периодичности, оперирования с уже совершёнными операциями и законодательным регулированием (выполняет в РФ функции налогового учёта) не может обеспечить, от этого может страдать конкурентность фирмы на рынке. Так как создание отдельной системы управленческого учёта требует больше затрат, чем развитие данной системы на базе бухгалтерского учёта, бухгалтеры часто считают управленческий учёт подсистемой бухгалтерского, что может быть верно на раннем этапе его развития. Дальнейшее развитие учёта необходимой управленческой информации на предприятиях ведёт к развитию более объёмной системы сбора информации, нежели это возможно в рамках бухгалтерского учёта. Несмотря на то что многие компании достаточно давно работают на рынке, система управленческого учета функционирует в них от двух до пяти лет. Лишь в некоторых из компаний управленческий учет внедрялся одновременно с их созданием. В любой организации имеет место принятие управленческих решений. В каждый момент необходимо решать или знать уже принятое решение о том, на каких рынках и с какими клиентами работает организация, какие доходы и расходы соответствуют сделкам с каждым клиентом, как управлять финансовой ликвидностью и какие договоры заключать, как организовывать структуру компании, каких специалистов нанимать и увольнять и т.д. и т.п. Для принятия любого решения необходима информация о том, в чем состоит проблема, какие есть возможные варианты или направления ее решения; желательно знать, какие последствия принесет организации то или иное решение. Качество решения существенно зависит от адекватности и качества информации, имеющейся на момент его принятия. Вся эта информация называется управленческой отчетностью организации. Ее объем определяется особенностями существующей системы управленческого учета и отчетности, запросами и физическими возможностями обработки информации, а также уровнем работы аналитиком организации. Остановимся на рассмотрении первого вопроса, поскольку от развитости системы управленческого учета и отчетности существенно зависит объем самой отчетности. Как говорится, нет исходных данных - нет и выводов. Система управленческого учета и отчетности может базироваться на данных любых других систем организации или способов ввода информации, например, на данных о количестве ушедших на больничный сотрудников, представляемом ежедневно отделом кадров на основе устного опроса помощников руководителей подразделений. Это значит, что учет для управленческих целей может быть организован как специально для возможности принятия решений (приведенный пример) или использовать уже готовые данные, собранные на основе учета других информационных систем или для других целей. Например, информация о налоговой нагрузке организации может быть получена из уже подготовленной налоговой отчетности. Получается, что поскольку в организации всегда существует ряд систем учета (учет персонала, бухгалтерский и налоговый учет и др.) как предусмотренных требованиями законодательства, так и созданных ей самой, в целях экономии средств организации в ряде случаев имеет смысл информацию из этих систем учета использовать одновременно и как управленческую информацию. 1. Концепции управленческого учета Вопросы управленческого учета в настоящее время продолжают оставаться дискуссионными в теории и практике как оперативного, так и стратегического управления в России. Существуют четыре концепции управленческого учета: 1. Управленческий учет - это тот же производственный учет, но применительно к современной терминологии, нет никаких оснований выделять его в самостоятельный вид учета. 2. Управленческий учет - это не только ретроспективный, но и перспективный учет затрат. 3. Управленческий учет должен быть связан с системой управления организацией в целом, а также со всеми ее функциями, и потому помимо вопросов собственно бухгалтерского учета он должен включать в себя вопросы анализа, планирования, прогнозирования и др. 4. Управленческий и бухгалтерский учет - две самостоятельные информационные системы. Исходя из результатов обобщения различных мнений и определений понятия управленческого учета выявлено, что на современном этапе к нему предъявляются следующие требования: он призван следить за текущими издержками, анализировать причины перерасхода по сравнению с предыдущими периодами, сметами или прогнозами, а также выявлять возможные резервы экономии; должен детально отражать все расходы, связанные с обычными видами деятельности организации. Взаимосвязь функций производственного учета позволяет рассчитать себестоимость единицы продукции и приходящуюся на нее прибыль, а также уровень рентабельности. Однако учетно-аналитическая информация необходима, но не достаточна для принятия управленческих решений во всем их многообразии. На мой взгляд, производственный учет является по существу ядром управленческого учета, включая в себя также и контроль, прогнозирование, планирование, бюджетирование затрат. Сложившаяся практика производственного учета на российских предприятиях в условиях интегрированной системы бухгалтерской информации позволяет осуществлять процесс принятия управленческих решений по формированию затрат производства и регулированию себестоимости продукции. Наряду с традиционными методами учета информация о производственных затратах должна группироваться по экономическим и географическим сегментам, структурным подразделениям предприятия, центрам затрат и ответственности, сметам управленческих расходов. Такая информация поступает к внутренним пользователям и является конфиденциальной. 2. Классификация затрат для принятия решений и управления В настоящее время в экономической литературе широко используются такие понятия как «затраты» и «расходы». В целях исследования производственных затрат в качестве объекта управленческой учетно-аналитической системы, следует разграничить данные экономические понятия, поскольку неправильное определение этих понятий искажает их экономический смысл. рассматриваемые термины используются как слова синонимы, но также существуют и другие подходы к их определению. Первый подход рассматривает понятие «расходы» намного шире понятия «затраты». Под расходами понимаются все платежи предприятия независимо от цели их осуществления, а под затратами - стоимостная оценка производственных ресурсов предприятия, израсходованных в процессе производства и реализации продукции. Согласно второму подходу понятие «затраты» соответствует понятию «расходы по обычным видам деятельности», и таким образом, понятие «расходы» представляется шире, чем понятие «затраты», поскольку включает в себя не только расходы по обычным видам деятельности, но и прочие расходы. Третий подход предполагает, что расходы выступают лишь частью затрат, то есть затраты представляют собой все израсходованные средства предприятия на приобретение различных видов ресурсов. На мой взгляд, затраты представляют собой стоимостное выражение использованных в процессе хозяйственной деятельности организации за отчетный период различных видов ресурсов. Расходы представляют собой активы организации, выраженные в денежной, натуральной и иной форме, используемые в процессе производства, обращения и реализации продукции и способствующие получению экономических выгод собственников. Состав расходов определяется расходами по обычным видам деятельности и прочими расходами. Понятие «расходы» является обобщающим термином, объединяющим в себя затраты предприятия, затраты на производство, относимые на себестоимость незавершенного производства и изготовленной продукции, выполненных работ и оказанных услуг за определенный период. Методика проведения анализа производственных затрат представляет собой совокупность специфических аналитических процедур, объединенных в определенную логическую последовательность. Совершенствование методологии, необходимость повышения качества проведения анализа предъявляют качественно новые требования к научному обоснованию его методики. Изменившиеся условия вызывают необходимость коренной переработки существующих методик экономического анализа. Разработка методики аналитического исследования затрат требует предварительного установления цели и определения задач, подлежащих решению для ее достижения. По нашему мнению, целью анализа затрат является информирование наиболее полной и своевременной информацией руководство и менеджеров о затратах организации для управления на стратегическом уровне, оценки результатов деятельности, принятия и исполнения решений по максимизации прибыли. Задачей анализа затрат является раскрытие и изучение причин (факторов) изменения показателей, а также выявление взаимосвязи между ними. Исследование позволило выделить 5 основных традиционных направлений анализа: - анализ общей суммы затрат на производство продукции (работ, услуг); - анализ затрат на рубль товарной продукции; - анализ себестоимости сравнимой товарной продукции; - анализ себестоимости по элементам и статьям затрат; - анализ себестоимости отдельных изделий. Стратегический управленческий анализ направлен на выявление внутренних ресурсов и возможностей предприятия, на оценку текущего состояния и перспективного развития бизнеса, выявление стратегических проблем. Сложной методологической проблемой в управленческом анализе является определение круга анализируемых показателей. На наш взгляд, можно выделить две группы показателей: - показатели, характеризующие экономический потенциал предприятия; - показатели, характеризующие хозяйственную деятельность предприятия. Анализ международной практики показывает, что данные управленческого учета, анализа и аудита являются тем фундаментом, на основании которого принимаются обоснованные управленческие решения, как в текущей деятельности, так и на перспективу. Изучение опыта западных компаний в области построения рациональной управленческой учетно-аналитической системы производственных затрат и применение ее методов на практике с учетом национальных особенностей позволяет повысить эффективность управления в организациях, а значит, и их функционирования в целом. Управленческий анализ производственных затрат может быть представлен, с одной стороны, как целостная система более высокого уровня управления, а с другой стороны - как целостная структура, которая обладает собственным внутренним содержанием. Более того, между различными уровнями анализа существует взаимная связь, которая в свою очередь имеет сквозное аналитическое значение. Согласно методике анализа затрат на производство и калькулирование продукции их глубокое исследование осуществляется на микроуровне в рамках отдельного предприятия. Такой анализ основан на данных управленческой учетной системы. Таким образом, формирование информации для стратегического управления затратами промышленных предприятий в системе управленческого учета предусматривает использование современных методов и приемов экономического анализа. В основу анализа затрат на производство и калькулирование себестоимости продукции положен системный подход, который позволяет дать оценку рациональному формированию затрат на различных иерархических уровнях управления, выявить негативные и отрицательные факторы, влияющие на развитие производства, разработать управленческие решения для повышения эффективности деятельности предприятий в различных сегментах бизнеса. 3. Управленческий учет как инструмент регулирования процесса реализации готовой продукции (работ, услуг) Внедрение комплексной системы управленческого учета на предприятии является достаточно дорогим и сложным в организационном плане мероприятием, часто требующим кардинальной "ломки" привычной жизни предприятия. Многие осторожные руководители, сталкиваясь с проблемой внедрения, высказывают пожелание, более ощутимо познакомится с системой управленческого учета уже на начальном этапе, чтобы удостоверится в его эффективности. В общем случае управленческий учет можно разделить на две части – систему сбора необходимой информации и анализ этой информации с целью выработки управленческих решений. В этой связи можно порекомендовать упрощенный подход, описанный в этой статье, который не требует организации сложной системы сбора информации, внедрения управленческого документооборота и т.д. и может рассматриваться как предварительный шаг на пути создания комплексной системы управленческого учета на предприятии. Суть заключается в том, что для выработки широкого круга управленческих решений достаточно проводить на регулярной основе так называемый операционный анализ или CVP-анализ (анализ "затраты-объем-прибыль"), в основе которого лежат линейные зависимости между величиной выпуска товаров, выручкой от реализации и затратами предприятия. Несмотря на простоту используемой модели, в умелых руках операционный анализ является мощным инструментом управления предприятием. Самым привлекательным моментом в этом подходе является то, что информационной базой для операционного анализа являются легкодоступные данные о полной выручке и полных расходах предприятия за несколько анализируемых периодов. Ключевым моментом в операционном анализе является деление затрат предприятия на постоянные и переменные составляющие. Постоянные затраты, как известно, не зависят от объема производства, а переменные затраты прямо пропорциональны объему производства. На практике буквальное использование этих определений вызывает массу проблем, поскольку многие виды затрат содержат в себе как постоянную, так и переменную составляющую (так называемые полупостоянные или полупеременные затраты). Выделение из каждого вида затрат постоянных и переменных составляющих является хотя и возможной, но не необходимой процедурой, поскольку в конечном итоге для целей операционного анализа необходимо знать величину всех постоянных и всех переменных (на единицу продукции) затрат. Для достижения этого результата достаточно рассмотреть зависимость между выручкой от реализации предприятия и полной себестоимостью продукции. Линейная связь между этими величинами позволяет выделить суммарные постоянные и переменные затраты за определенный период. 4. Методологии общего управления и планирования производства Нельзя сказать, что рассматриваемые ниже методологии управления производством не известны в отечественной практике, но что можно утверждать уверенно, так это то, что они не получили еще статуса методологии, а тем более стандарта, так как применялись достаточно разрозненно, без взаимоувязки отдельных компонентов в единое целое. Естественно, в данном случае речь идет об их массовом применении, в то время как на отдельно взятом объекте бизнеса все может быть достаточно благополучно. Важное значение имеет общий характер данных методологий, то есть их применимость (возможно, ограниченная) практически для всех вариантов конкретных бизнес-процессов. Например, планирование потребностей в производственных ресурсах (МРП II). Разработанная для промышленности методология может быть применена, например, и в сфере розничной торговли, так как там тоже важное значение имеет «выход работника к станку» (пусть и имеющему внешний вид весов), если, конечно, усложнение технологии управления будет оправдано увеличением прибыли. Ниже будут рассмотрены более специальные методологии, применимые для отдельных типов производственных процессов. MPS “Master planning shedule” -- объемно-календарное планирование. Старая и хорошо известная под названием объемно-календарное планирование, методология. Является базовой практически для всех планово-ориентированных методологий. MRP \ CRP “Material \ Capacity Requirements Planning” -- методология планирования материальных / производственных ресурсов. Сущность методологии MRP состоит в определении конечной потребности в ресурсах по данным объемно-календарного плана производства. Ключевым понятием данных методологий является понятие “разузлование”, то есть приведение древовидного состава изделия к линейному списку, по которому возможно планирование потребности и собственно производится заказ “на стороне” или планирование производства комплектующих “для внутреннего потребления”. Планирование потребности в производственных мощностях (CRP) имеет близкие функциональные задачи, но вместо единого понятия состава изделия оперирует такими неоднородными понятиями, как “обрабатывающий центр”, “машина”, “рабочие ресурсы”, ввиду чего технически реализация CRP более сложна. Данные методологии объединены ввиду их тесной логической связи в плановом механизме. FRP “Finit \ Finance Requirements Planning” Под данной аббревиатурой скрываются две совершенно различные методологии. Первая -- планирование производственных ресурсов в условиях ограниченных мощностей (далее при необходимости будет обозначаться FCRP, в различных реализациях имеет и другие названия), вторая -- планирование финансовых ресурсов. Ни та, ни другая не имеют статуса фактического стандарта в основном из-за того, что такого рода планирование достаточно специфично для конкретного предприятия и конкретной реализации. В дальнейшем аббревиатура FRP будет использоваться для обозначения методологии планирования финансовых ресурсов. В рамках данного материала мы рассмотрим именно стандартные методологии планирования финансовых ресурсов предприятия. MRP II “Manufacturing Resource Planning” -- интегрированная методология планирования, включающая MRP\CRP. При использовании данной методологии обязательно подразумевается анализ финансовых результатов производственного плана. Использование методологии, как правило, также подразумевает использование MPS и FRP, правда, без их интеграции в «динамическую систему». Часто пишется без добавления индекса II. ERP “Enterprise Resource Planning” -- “бизнес-планирование”. Обычно под аббревиатурой ERP подразумевается интегрированная система, выполняющая функции, предусмотренные MPS-MRP\CRP-FRP-SIC. Важным дополнением, внесенным по сравнению с механическим соединением данных методологий, является возможность динамического анализа и/или динамического изменения плана по всей цепочке планирования после подготовки “планового черновика”. Таким образом достигается возможность более точного определения причин возникновения исключительных ситуаций и управления плановыми компонентами. Конкретные возможности данной методологии существенно зависят от программной реализации. Project management -- проектное управление. Управление проектами, или проектное управление подразумевает специальную форму организации и соответственно управления, при которой вводится специальная единица управления и отнесения затрат -- «проект», что предполагает изменение учетных регистров и документооборота. Применение данной методологии предполагает использование одноименной формы финансового управления. Перечисленные методологии имеют весьма общий характер и фактически могут применяться в самых различных отраслях. 5. Краткая характеристика производственно-финансовой деятельности предприятия До настоящего времени в отечественных организациях применялся только учет полной себестоимости с распределением накладных расходов между изделиями, который был оправдан в условиях централизованного государственного ценообразования. По мере обособления организаций с различной формой собственности, развития процессов приватизации государственных предприятий, включения механизмов свободного ценообразования и самостоятельного планирования ассортимента выпускаемой продукции, развития других сторон рыночной экономики постепенно будет возрастать потребность в управленческой учете. Актуальность данной темы заключается в том, что управленческий учет финансово-сбытовой деятельности предприятия – один из важнейших разделов управленческого учета. Именно себестоимость производства единицы продукции является основой для принятия большого числа управленческих решений, например: • выпуск какой продукции продолжать или прекратить; • производить или покупать комплектующие изделия; • какую установить цену на продукцию; • покупать ли новое оборудование; • менять ли технологию и организацию производства. Планирование и контроль цен на продукцию, операционных (текущих) затрат, определение величины предполагаемой прибыли осень важны для любых организаций. Но прежде чем анализировать достигнутые результаты или составлять планы на будущие периоды, необходимо понять классификацию затрат, процесс формирования себестоимости продукции. Прежде чем принять правильное решение, необходимо определить цель или руководящее направление, которые помогут принимающим решения оценить предпочтительность одного варианта действий перед другим. Большую роль в обосновании управленческих решений в бизнесе играет маржинальный анализ, методика которого базируется на изучении соотношения между тремя группами важнейших экономических показателей: издержками, объемом производства (реализации) продукции и прибылью и прогнозировании величины каждого из этих показателей при заданном значении других. Данный метод управленческих расчетов называют еще анализом безубыточности или содействия доходу. 1.Действующая практика учета затрат и результатов финансово-сбытовой деятельности на предприятии. Рассмотрим в качестве примера предприятие, выпускающее один вид продукции. Предположим, что предприятие продает столько, сколько производит, а объем произведенной продукции за месяц увеличился на 20%. Данные по выручке от реализации и полной себестоимости продукции приведены в Таблице 1. Анализ Таблицы 1 показывает, что при условии неизменности цены выручка от реализации продукции увеличилась также на 20%, что является следствием прямой пропорциональности объему производства, а суммарные затраты предприятия увеличились на 15%, что говорит о том, что затраты кроме переменной содержат еще и постоянную часть. Как видно из Таблицы 1, постоянная составляющая содержится во всех элементах затрат кроме элемента "материалы". Таблица 1. Финансовые показатели модельного предприятия
Бухгалтеры-аналитики тратят много времени и сил на классификацию конкретных затрат предприятия, пытаясь понять какими – прямыми или косвенными являются затраты например на электроэнергию, и какая доля в этих затратах приходится на постоянную, а какая на переменную составляющую. Мы, однако, заметим, что достаточно знать величину выручки от реализации и полные затраты предприятия за два периода (в нашем случае два месяца) для определения постоянных и переменных затрат. Действительно, в линейном приближении связь между выручкой и затратами описывается выражением:
Где C – полные затраты, S – выручка, a - постоянные затраты, b – переменные затраты на единицу продукции, а p – цена товара. Отношение b/p=с называют коэффициентом покрытия. Он показывает, какую долю в цене товара составляют переменные затраты. Имея данные по затратам и выручке за два периода и решая систему линейных уравнений на основе уравнения (1), можно определить постоянные и переменные затраты. В нашем случае, из Таблицы 1 видно, что система уравнений выглядит так:
Решая эту систему, получаем a=
124 тыс. руб., b/p
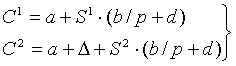
=0,596, т.е. постоянные затраты предприятия в среднем за два месяца составляют 124 тыс. руб., коэффициент покрытия составляет примерно 0,6. Этой информации достаточно для расчета всех основных показателей в рамках операционного анализа – валовой маржи, операционного рычага и точки безубыточности предприятия. Действительно, маржа за последний месяц составляет В нашем примере мы считали, что цена на товар не менялась в течение анализируемых двух месяцев. В этом случае нет необходимости знать величину цены на товар, поскольку все показатели выражаются через коэффициент покрытия. Если же необходимо знать величину переменных расходов на единицу продукции, или же цена продукции менялась в течение анализируемых периодов, то нужно учесть цену товара в каждом периоде. Способ действия в этом случае аналогичен предыдущему, только в систему (2) подставляются дополнительно значение цен в каждом периоде. Подчеркнем, что для анализа нам понадобились данные только по выручке и суммарным затратам, которые нетрудно получить из бухгалтерского учета. Кроме того, в этой статье понятия “затраты” и “расходы” не различаются. Но нужно помнить, что расходы это только часть затрат понесенных предприятием в связи с получением дохода. В дальнейшем, получая данные по выручке и затратам за последующие месяцы, мы проводим такой же анализ, используя данные только за два последних месяца. Получаемые таким образом новые средние значения для постоянных и переменных затрат представляют собой движущиеся средние значения. Чем меньше будет период наблюдения, тем точнее средние значения будут описывать реальные значения. Проведение на регулярной основе анализа движущихся средних постоянных и переменных затрат предприятия, а также всех остальных показателей, рассчитываемых в рамках операционного анализа, является базой для принятия управленческих решений и может рассматриваться как первый шаг на пути организации комплексной системы управленческого учета на предприятии. Отметим, однако, что формальное следование предложенному методу может привести к парадоксальным на первый взгляд результатам. Например, в определенных условиях можно получить, что коэффициент покрытия становиться отрицательным или даже неопределенным (бесконечным). Легко понять, что такие аномальные результаты связаны со скачком постоянных затрат. Чтобы учесть скачок постоянных затрат, нужно модифицировать систему (2). Самый простой вариант – предположить, что изменились только постоянные затраты, а переменные остались такими же (известными из анализа предыдущих периодов). Можно считать, что и переменные затраты изменились, поскольку система из двух уравнений позволяет найти два неизвестных. Действительно, пусть из анализа предыдущих периодов известны постоянные издержки равные a икоэффициент покрытия равный b/p. Чтобы учесть скачок постоянных затрат в следующем периоде нужно составить систему вида:
Где d
– приращение коэффициента покрытия в новом периоде и Случай нескольких товаров В случае если предприятие выпускает несколько видов продукции, то число неизвестных в системах (2) и (3) возрастает, что ведет, соответственно, к увеличению периодов наблюдения. Для двух товаров необходимы данные за три периода, для трех видов продукции – четыре периода и т.д. В качестве примера, в Таблице 2 приведены данные в случае двух товаров и трех периодов наблюдения. В качестве периода наблюдения выбран один месяц. Таблица 2. Выручка и затраты предприятия за три месяца
В общем виде для двух товаров А и В система уравнений, связывающая затраты и выручку по товарам, имеет вид:
Где верхние индексы обозначают номер периода. Для данных из Таблицы 2 система (4) имеет вид:
Решая эту систему, находим: a=
402,9 тыс. руб., Не вдаваясь в подробности операционного анализа, отметим, что полученные величины позволяют на количественной основе рассматривать такие важные вопросы в работе каждого предприятия как: · какие виды продукции рентабельны, а какие нет, · в какие виды продукции лучше инвестировать добавочные средства, · каков оптимальный ассортимент продукции и т.д. Другими словами на основе полученных значений можно провести комплексный ассортиментный анализ продукции. 2.Процедура создания системы управленческого учета в конкретной ситуации. Рассмотрим практический пример, иллюстрирующий описанную выше процедуру. Ситуация из жизни Предприятие выпускает наборы для строительства парников, состоящие из отрезков алюминиевой трубки, полиэтилена и сборочных элементов. Ведется стандартный оперативный и бухгалтерский учет, в соответствии с которым трубка и полиэтиленовый рукав учитываются в погонных метрах, сборочные элементы -- в штуках. На предприятии периодически возникает серьезная проблема: несмотря на наличие в учете достаточного количества погонных метров трубы, невозможно выпустить ни одного готового изделия, так как для производства необходима трубка отрезками длиной в два метра, а вся трубка имеется только в отрезках менее двух метров, при этом на складе скопилось большое количество остатков трубки длиной менее одного метра, вообще не пригодных для производства, то есть отходов. Поставки же трубки осуществляются в отрезках три и пять метров. Формулируем управленческую задачу: · снизить количество отходов, а по возможности -- ликвидировать их; · иметь четкое представление о возможности использования в производстве ресурсов, которыми располагает предприятие, и планировать производство, исходя из их наличия; · своевременно производить дозакупку необходимых материалов. Интересно, что в реальной жизни первоначальная формулировка данной задачи была другой: усовершенствовать учет производственных издержек с целью уменьшения сверхнормативных запасов на складе и найти способ обнаружения мест образования отходов. И поручено этим заниматься было бухгалтеру, хотя, как видно из решения, это скорее управленческая, нежели бухгалтерская задача. Другое дело, что в конечном итоге все планируемые изменения найдут свое отражение и в бухгалтерских регистрах, но это завершающий этап работы по формированию управленческой схемы учета. Каким образом может быть решена данная задача? Естественно, возможны различные варианты решения, например, трубу может выдавать лично генеральный директор предприятия, или каждая труба индивидуально маркируется, и отслеживается, кто и какие части от нее отрезал. Это все, конечно, шутка (хотя иногда указанные решения и применяются, например для редких или очень дорогих материалов). В данном случае, по-видимому, достаточно изменить учет материалов на складе следующим образом: · раздельно учитывать отрезки трубы длиной три и пять метров (стандартная поставка) и все отрезки менее одного метра, поступающие из цехов; · организовать учет таким образом, чтобы заказ на необходимые материалы формировался с учетом «оптимального раскроя», а также, по возможности, наладить поставку отрезков необходимого размера; · организовать учет движения материалов таким образом, чтобы можно было контролировать движение по вновь введенной номенклатуре. Определяем, какие данные необходимы для решения данной задачи: 1) расширить номенклатуру учитываемой алюминиевой трубки: вместо АЛ.ТР. (погонные метры) вводим новую номенклатуру -- АЛ.ТР. 3 метра, АЛ.ТР. 5 метров, АЛ.ТР. обрезки длинные (более 1 метра), АЛ.ТР. отходы (обрезки менее 1 метра). Каким образом будет реализовано введение новой номенклатуры -- зависит от используемых учетных технологий (программных продуктов). Возможно, что ввиду специфики конкретной управленческой задачи может потребоваться введение более сложной номенклатуры материалов; 2) расширить информацию документов оперативного учета таким образом, чтобы можно было проследить движение материалов между цехом и складом, а также установить соответствие заказа цеха фактически выданной номенклатуре; 3) иметь информацию о «мерности» планируемых поставок и планировать заказ в соответствии с потребностью в отрезках определенного размера. Очевидно, что для решения вышеописанной задачи стандартного «фактического» учета недостаточно. Чтобы иметь соответствующую информацию, необходимо изменить учетные регистры, документы оперативного учета и планирования. При этом в регистрах может при необходимости указываться как формализованная номенклатура для целей бухгалтерской отчетности (в погонных метрах), так и фактически необходимая в соответствии с номенклатурой склада (в отрезках соответствующей длины). Однако более естественным было бы вычислять бухгалтерскую номенклатуру из фактически полученной. При этом сохраняется важное требование единства информации в системе. В зависимости от используемых программных средств можно решить данную задачу разными способами. Например, в некоторых системах достаточно изменить схему складского учета так, чтобы номенклатура склада стала прозрачной для мастеров. В других системах придется ввести различные номенклатурные номера для различных видов трубы, в этом случае некоторую проблему может составлять изменение номенклатурного номера при сдаче на склад обрезков. Данную проблему можно решить организационно, создав "производственный" склад, на котором труба будет числиться до превращения в отходы. При этом на мастера цеха следует возложить ответственность за первоочередное использование остатков данного склада в производстве и контроль за его состоянием. Для поддержки процесса необходимо принять меры организационного характера, а именно, возложить ответственность за заказ трубки в оптимальном ассортименте на мастеров цеха, а за использование имеющихся обрезков и согласование возможных изменений в отпускаемом ассортименте -- на кладовщиков. Для контроля ответственности необходимо модифицировать учет таким образом, чтобы можно было установить, являются ли правильными действия тех и других. Следует также установить правила документооборота, при которых заказ на отпуск материалов будет представляться своевременно, а также правила подачи заказов на поставку материалов по номенклатуре в соответствии с производственным планом и для целей планирования потоков денежных средств. Заключение В ходе выполнения курсовой работы были выполнены следующие задачи: 1. Рассмотрена классификация затрат для принятия решений и управления. 2. Дана краткая характеристика производственно-финансовой деятельности предприятия. 3. Рассмотрен управленческий учет как инструмент регулирования процесса реализации готовой продукции. 4. Рассмотрена действующая практика учета затрат и результатов финансово-сбытовой деятельности на исследуемом предприятии. Финансово-сбытовая деятельность как часть обшей системы производства сопровождается затратами. В состав этой категории затрат входят: затраты, связанные со сбытом продукции; комиссионные сборы (отчисления), уплачиваемые сбытовым и другим посредническим предприятиям; затраты на сбор и распространение текущей маркетинговой информации; затраты по маркетинговым исследованиям; оплата маркетинговых услуг сторонних фирм; рекламные расходы; представительские расходы; другие расходы, связанные с финансово-сбытовой деятельностью. Классификация этих расходов определена теми же признаками, что и расходы по производственной деятельности. В то же время специфика финансово-сбытовой деятельности выдвигает в качестве основного признака классификацию затрат для принятия решений и планирования. Литература 1. Бороненкова С.А. Управленческий анализ: Учебн. пособие. М.: Финансы и статистика, 2004. – 384 с. 2. Глушков И.Е.. «Бухгалтерский учет на современном предприятии». Новосибирск, ЭКОР, 2005. – 532 с. 3. Карпова Т.П. Основы управленческого учета: Учебн. пособие. М.: ИНФРА-М, 2004. – 392 с. 4. Кондраков Н.П. «Бухгалтерский учет: Учебное пособие». – 4-е изд., перераб. и доп. – М.: ИНФРА-М, 2004. – 640 с. 5. Ткач В.И., Ткач М.В. «Международная система учета и отчетности». - М. - Финансы и статистика, 2004. – 257 с. 6. Скоун Т. «Управленческий учет».- М.: Изд-во ЮНИТИ, 2004. – 262 с. 7. Стражев В.И. «Анализ хозяйственной деятельности в промышленности» - Минск: ОАО «Новое знание», 2005. – 458 с. 8. Швандар В.А. «Экономика предприятия» - М: Финансы, ЮНИТИ, 2004 . – 476 с. 9. Шеремет А.Д. «Управленческий учет». – М.: ФБК-ПРЕСС, 2005. – 512 с. |

(2)
(3)
(4)
(5)