Учебное пособие: Математический анализ. Практикум
|
Название: Математический анализ. Практикум Раздел: Рефераты по математике Тип: учебное пособие | |||||||||||||||||||||||||||||||||||||||||||||||||||||||||||||||||
|
Математический анализ. Практикум. Для студентов ВУЗов по специальности: «Государственное и муниципальное управление» Т.З. Павлова Колпашево 2008 Глава 1. Введение в анализ 1.1 Функции. Общие свойства 1.2 Теория пределов 1.3 Непрерывность функции Глава 2. Дифференциальное исчисление 2.1 Определение производной 2.2 Основные правила дифференцирования 2.3 Производные высших порядков 2.4 Исследование функций 2.4.1 План полного исследования функции 2.4.2 Примеры исследования функции 2.4.3. Наибольшее и наименьшее значение функции на отрезке 2.5 Правило Лопиталя Глава 3. Интегрально исчисление 3.1 Неопределенный интеграл 3.1.1 Определения и свойства 3.1.2 Таблица интегралов 3.1.3 Основные методы интегрирования 3.2 Определенный интеграл 3.2.1 Понятие определенного интеграла и его свойства 3.2.2 Методы вычисления определенного интеграла 3.2.3 Приложения определенного интеграла Глава 4. Функции нескольких переменных 4.1 Основные понятия 4.2 Пределы и непрерывность функций нескольких переменных 4.3 Производные и дифференциалы функций нескольких переменных 4.3.1 Частные производные первого порядка 4.3.2 Частные производные второго порядка 4.3.3 Полный дифференциал и его применение к приближенным вычислениям 4.3.4 Дифференцирование неявной функции Глава 5. Классические методы оптимизации 5.2 Глобальный экстремум (наибольшее и наименьшее значение функции) Глава 6. Модель потребительского выбора 6.1 Функция полезности. 6.2 Линии безразличия 6.3 Бюджетное множество 6.4 Теория потребительского спроса Задания для домашней контрольной работы Литература 1.1 Функции. Общие свойстваЧисловая функция определена на множестве в действительных чисел, если каждому значению переменной Аналитическое представление функции: в явном виде: в неявном виде: в параметрической форме: разными формулами в области определения
Свойства. Четная функция: Нечетная функция: Периодическая функция: Монотонная функция. Если для любых Ограниченная функция. Если существует такое число M, что Пример 1. Найти область определения функций.
1.2 Теория пределовОпределение 1
. Пределом функции Обозначение: Определение 2
. Пределом функции Обозначение: Определение 3.
Функция Свойства. 1. Алгебраическая сумма конечного числа бесконечно малых величин есть величина бесконечно малая. 2. Произведение бесконечно малой величины на ограниченную функцию (постоянную, другую бесконечно малую величину) есть величина бесконечно малая. 3. Частное от деления бесконечно малой величины на функцию, предел которой отличен от нуля, есть величина бесконечно малая. Определение 4.
Функция Свойства. 1. Произведение бесконечно большой величины на функцию, предел которой отличен от нуля, есть величина бесконечно большая. 2. Сумма бесконечно большой величины и ограниченной функции есть величина бесконечно большая. 3. Частное от деления бесконечно большой величины на функцию, имеющую предел, есть величина бесконечно большая. Теорема.
(Связь между бесконечно малой величиной и бесконечно большой величиной.) Если функция Теоремы о пределах. 1. Функция не может иметь более одного предела. 2. Предел алгебраической суммы нескольких функций равен алгебраической сумме пределов этих функций:
3. Предел произведения нескольких функций равен произведению пределов этих функций:
4. Предел степени равен степени предела:
5. Предел частного равен частному пределов, если предел делителя существует:
6. Первый замечательный предел.
Следствия:
7. Второй замечательный предел:
Следствия:
Эквивалентные бесконечно малые величины при
Вычисление пределов. При вычислении пределов используют основные теоремы о пределах, свойства непрерывных функций и правила, вытекающие из этих теорем и свойств. Правило 1.
Чтобы найти предел в точке Пример 2. Найти
Правило 2.
Если при отыскании предела дроби предел знаменателя равен нулю, а предел числителя отличен от нуля, то предел такой функции равен Пример 3. Найти
Правило 3.
Если при отыскании предела дроби предел знаменателя равен Пример 4. Найти
Часто подстановка предельного значения аргумента приводит к неопределенным выражениям вида
Нахождение предела функции в этих случаях называется раскрытием неопределенности. Для раскрытия неопределенности приходится, прежде чем перейти к пределу, проводить преобразование данного выражения. Для раскрытия неопределенностей используют различные приемы. Правило 4
. Неопределенность вида Пример 5.
Пример 6.
Правило 5.
Если подпредельное выражение содержит тригонометрические функции, тогда, чтобы раскрыть неопределенность вида Пример 7.
Пример 8.
Правило 6
. Чтобы раскрыть неопределенность вида Возможны результаты: 1) искомый предел равен отношению коэффициентов при старших степенях аргумента числителя и знаменателя, если эти степени одинаковы; 2) предел равен бесконечности, если степень аргумента числителя выше степени аргумента знаменателя; 3) предел равен нулю, если степень аргумента числителя ниже степени аргумента знаменателя. Пример 9. а) т.к. Степени равны, значит, предел равен отношению коэффициентов при старших степенях, т.е. б) Степень числителя в) Степень числителя 1, знаменателя – Правило 7
. Чтобы раскрыть неопределенность вида Пример 10.
Правило 8
. Чтобы раскрыть неопределенность вида Можно доказать, что
Пример 11.
Пример 12.
Пример 13.
Правило 9 . При раскрытии неопределенностей, подпредельная функция которых содержит б.м.в., необходимо заменить пределы этих б.м. на пределы б.м., эквивалентных им. Пример 14.
Пример 15.
Правило 10. Правило Лопиталя (см. 2.6). 1.3 Непрерывность функцииФункция Эквивалентные условия: 1. 2. 3. 4. Классификация точек разрыва: разрыв I рода - устранимый – односторонние пределы существуют и равны; - неустранимый (скачок) – односторонние пределы не равны; разрыв II рода: предел функции в точке не существует. Пример 16. Установить характер разрыва функции а) при б) по сравнению с заданием (а) функция доопределена в точке в) При
Т.к. один из односторонних пределов бесконечен, то Глава 2. Дифференциальное исчисление2.1 Определение производнойОпределение производной Производная
Механический смысл производной – скорость изменения функции. Геометрический смысл производной – тангенс угла наклона касательной к графику функции:
2.2 Основные правила дифференцирования
Производные основных элементарных функций
Пример 17 а) б) в)
2.3 Производные высших порядковПроизводная второго порядка функции Производная второго порядка функции
Пример 18. а) Найти производную второго порядка функции Решение. Найдем сначала производную первого порядка От производной первого порядка возьмем еще раз производную Пример 19. Найти производную третьего порядка функции Решение.
2.4 Исследование функций2.4.1 План полного исследования функции:План полного исследования функции: 1. Элементарное исследование: - найти область определения и область значений; - выяснить общие свойства: четность (нечетность), периодичность; - найти точки пересечения с осями координат; - определить участки знакопостоянства. 2. Асимптоты: - найти вертикальные асимптоты - найти наклонные асимптоты: Если 3. Исследование с помощью - найти критические точки, те. точки в которых - определить интервалы возрастания, те. промежутки, на которых - определить экстремумы: точки, при переходе через которые 4. Исследование с помощью - найти точки, в которых - найти участки выпуклости, т.е. промежутки, на которых - найти точки перегиба, т.е. точки при переходе через которые 5. Построение графика функции. Рекомендации по применению плана исследования функции: 1. Отдельные элементы исследования наносятся на график постепенно, по мере их нахождения. 2. Если появляются затруднения с построением графика функции, то находятся значения функции в некоторых дополнительных точках. 3. Целью исследования является описание характера поведения функции. Поэтому строится не точный график, а его приближение, на котором четко обозначены найденные элементы (экстремумы, точки перегиба, асимптоты и т.д.). 4. Строго придерживаться приведенного плана необязательно; важно не упустить характерные элементы поведения функции. 2.4.2 Примеры исследования функции:20. 1) 2) Функция нечетная:
3) Асимптоты.
Наклонная асимптота
5)
Схематичный график данной функции:
21. 1) 2) Функция нечетная:
3) Асимптоты: Вертикальных асимптот нет. Наклонные:
4) 5)
Схематичный график данной функции:
22. 1) 2) Функция общего вида 3) Асимптоты
4)
Схематичный график данной функции:
23. 1) 2) Асимптоты.
Схематичный график данной функции:
24. 1) 2) Асимптоты
3) Схематичный график данной функции:
2.4.3 Наибольшее и наименьшее значение функции на отрезке Чтобы найти наибольшее и наименьшее значение функции на отрезке можно воспользоваться схемой: 1. Найти производную функции 2. Найти критические точки функции, в которых 3. Найти значение функции в критических точках, принадлежащих заданному отрезку и на его концах и выбрать из них наибольшее Пример. Найти наименьшее и наибольшее значение функции на данном отрезке. 25. 1) 2) 3)
26.
Производная не существует при 2.5 Правило ЛопиталяТеорема. Предел отношения двух бесконечно малых или бесконечно больших функций равен пределу отношения их производных (конечному или бесконечному), если последний существует в указанном смысле. Т.е. при раскрытии неопределенностей вида
Примеры. 27. 28.
Глава 3. Интегрально исчисление3.1 Неопределенный интеграл3.1.1 Определения и свойстваОпределение 1. Функция Определение 2. Неопределенным интегралом от функции f(x) называется совокупность всех первообразных для этой функции. Обозначение: Свойства неопределенного интеграла 1. Производная неопределенного интеграла: 2. Дифференциал неопределенного интеграла: 3. Неопределенный интеграл от дифференциала: 4. Неопределенный интеграл от суммы (разности) двух функций:
5. Вынесение постоянного множителя за знак неопределенного интеграла:
3.1.2 Таблица интегралов
3 .1.3 Основные методы интегрирования1. Использование свойств неопределенного интеграла. Пример 29.
2. Подведение под знак дифференциала. Пример 30.
3. Метод замены переменной: а) замена
где Пример 31.
б) замена
Пример 32.
Пример 33.
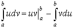
4. Метод интегрирования по частям:
Пример 34.
Пример 35.
Возьмем отдельно интеграл
Вернемся к нашему интегралу:
3.2 Определенный интеграл3.2.1 Понятие определенного интеграла и его свойстваОпределение.
Пусть на некотором интервале
Фигура, ограниченная сверху кривой S – область – криволинейная трапеция. Разделим интервал точками
Интегральная сумма:
Определение. Определенным интегралом называется предел интегральной суммы. Свойства определенного интеграла: 1. Постоянный множитель можно выносить за знак интеграла:
2. Интеграл от алгебраической суммы двух функций равен алгебраической сумме интегралов этих функций:
3. Если отрезок интегрирования разбит на части, то интеграл на всем отрезке равен сумме интегралов для каждой из возникших частей, т.е. при любых a, b, c
4. Если на отрезке
5. Пределы интегрирования можно менять местами, при этом меняется знак интеграла: 6. 7. Интеграл в точке равен 0:
8. 9. (“о среднем”) Пусть y = f(x) – функция, интегрируемая на [a,b]. Тогда
10. Формула Ньютона-Лейбница
где F(x) – первообразная для f(x). 3.2.2 Методы вычисления определенного интеграла.1. Непосредственное интегрирование Пример 35. а) б) в)
д) 2. Замена переменных под знаком определенного интеграла .
Пример 36.
2. Интегрирование по частям в определенном интеграле . Пример 37. а) б)
в)
д)
3.2.3 Приложения определенного интеграла
Пример 38. Вычислить площадь фигуры, ограниченной линиями: Решение:
Найдем точки пересечения графиков данных функций. Для этого приравняем функции и решим уравнение Итак, точки пересечения
Площадь фигуры найдем, используя формулу
В нашем случае
Ответ: площадь равна Глава 4. Функции нескольких переменных 4.1 Основные понятияОпределение. Если каждой паре независимых друг от друга чисел Определение. Областью определения функции z называется совокупность пар Область определения функции двух переменных
Рис.1 Пример 39. Найти область определения функции. а) Выражение, стоящее в правой части имеет смысл только при
б) Область определения данной функции – все точки плоскости Определение. Линии уровня функции Пример 40. Найти линии уровня функции Решение. Линии уровня данной функции – это семейство кривых на плоскости
Последнее уравнение описывает семейство окружностей с центром в точке О1
(1, 1) радиуса
Рис.4 4.2 Пределы и непрерывность функций нескольких переменных.1. Пределы. Определение. Число A называется пределом функции Пример 41. Найти пределы:
т.е. предел зависит от
2. Непрерывность. Определение. Пусть точка
причем точка Если в какой-либо точке условие (1) не выполняется, то эта точка называется точкой разрыва функции 1) Функция 2) Не существует предел 3) Этот предел существует, но он не равен Пример 42. Определить, является ли данная функция
Получили, что
предел зависит от k, т.е. он в данной точке не существует, а значит, функция имеет в этой точке разрыв. 4.3 Производные и дифференциалы функций нескольких переменных4.3.1 Частные производные первого порядкаЧастная производная функции
Частная производная функции
Пример 43. Найти частные производные функций.
4.3.2 Частные производные второго порядкаЧастные производные второго порядка – это частные производные от частных производных первого порядка. Для функции двух переменных вида
Частные производные второго порядка, в которых дифференцирование производится по разным переменным, называют смешанными производными. Смешанные производные второго порядка дважды дифференцируемой функции равны. Пример 44. Найти частные производные второго порядка.
4.3.3 Полный дифференциал и его применение к приближенным вычислениям.Определение. Дифференциал первого порядка функции двух переменных
Пример 45. Найти полный дифференциал для функции Решение. Найдем частные производные:
тогда
При малых приращениях аргументов x и y функция Формула для нахождения приближенного значения функции
Пример 46. Найти Решение. Пусть
Тогда используем формулу
Получим:
Ответ. Пример 47. Вычислить приближенно Решение. Рассмотрим функцию
Ответ. Пример 48. Вычислить приближенно Решение. Рассмотрим функцию
Ответ. 4.3.4 Дифференцирование неявной функцииОпределение. Функция Частные производные такой функции находятся по формулам:
Пример 49. Найти частные производные функции z, заданной уравнением Решение. Определение. Функция Производная такой функции находится по формуле:
Пример 50. Найти производные данных функций.
Глава 5. Классические методы оптимизации 5.1 Локальный экстремум функции нескольких переменных Определение 1. Функция Определение 2. Функция Необходимое условие экстремума. Если функция Точки, в которых частные производные обращаются в нуль или не существуют, называются критическими. Достаточный признак экстремума. Пусть функция
Тогда 1) 2) 3) Схема исследования на экстремум функции двух переменных. 1. Найти частные производные функции 2. Решить систему уравнений 3. Найти частные производные второго порядка, вычислить их значения в критических точках и с помощью достаточного условия сделать вывод о наличии экстремумов. 4. Найти экстремумы функции. Пример 51. Найти экстремумы функции Решение. 1) Найдем частные производные 2) Решим систему уравнений 3)
4) Найдем частные производные второго порядка и их значения в критических точках:
значит, в точке
значит, в точке 5) Ответ. 5.2 Глобальный экстремум (наибольшее и наименьшее значение функции)Наибольшее и наименьшее значения функции нескольких переменных, непрерывной на некотором замкнутом множестве, достигаются или в точках экстремума, или на границе множества. Схема нахождения наибольшего и наименьшего значений. 1) Найти критические точки, лежащие внутри области, вычислить значение функции в этих точках. 2) Исследовать функцию на границе области; если граница состоит из нескольких различных линий, то исследование необходимо провести для каждого участка отдельно. 3) Сравнить полученные значения функции и выбрать наибольшее и наименьшее. Пример 52. Найти наибольшее и наименьшее значения функции Решение. 1) Найдем критические точки функции, для этого найдем частные производные:
Получили критическую точку A
Границу области составляют четыре отрезка:
4) Сравним полученные результаты и получим, что Глава 6. Модель потребительского выбораБудем полагать, что имеется n различных товаров. Тогда некоторый набор товаров будем обозначать через n-мерный вектор Выбор индивида-потребителя характеризуется отношением предпочтения: считается, что потребитель может сказать о любых двух наборах, какой более желателен, или он не видит между ними разницы. Отношение предпочтения транзитивно: если набор 6.1 Функция полезностиНа множестве потребительских наборов Xопределена функция Т.о., функция Свойства функции полезности. 1. Первые частные производные функции полезности называются предельными полезностями продуктов. Из этого свойства следует, что возрастание потребления одного продукта при неизменном потреблении других продуктов приводит к росту потребительской оценки. Вектор 2. Т.е. предельная полезность любого товара уменьшается с ростом потребления. 3. Т.е. предельная полезность каждого продукта увеличивается с ростом количества другого продукта. Некоторые виды функций полезности. 1) Неоклассическая: 2) Квадратическая: 3) Логарифмическая функция: 6.2 Линии безразличияВ прикладных задачах и моделях потребительского выбора часто используется частный случай набора из двух товаров, т.е. когда функция полезности зависит от двух переменных. Линия безразличия – это линия, соединяющая потребительские наборы, имеющие один и тот же уровень удовлетворения потребностей индивида. По сути своей линии безразличия представляют собой линии уровня функции Основные свойства линий безразличия. 1. Линии безразличия, соответствующие разным уровням удовлетворения потребностей, не касаются и не пересекаются. 2. Линии безразличия убывают. 3. Линии безразличия выпуклы вниз.
Из свойства 2 следует важное приближенное равенство Это соотношение показывает, на сколько индивид должен увеличить (уменьшить) потребление второго продукта при уменьшении (увеличении) потребления первого продукта на одну единицу без изменения уровня удовлетворения своих потребностей. Отношение Пример 53. Если предельная полезность первого товара равна 6, а второго – 2, то при уменьшении потребления первого товара на единицу нужно увеличить потребление второго товара на 3 единицы при том же уровне удовлетворения потребностей. 6.3 Бюджетное множествоПусть Бюджетное множество описывается системой неравенств:
Рис. 1 Для случая набора из двух товаров бюджетное множество B(рис. 1) представляет собой треугольник в системе координат 6.4 Теория потребительского спросаВ теории потребления полагается, что потребитель всегда стремится максимизировать свою полезность и единственным ограничением для него является ограниченность дохода I, который он может потратить на покупку набора товаров. В общем виде задача потребительского выбора (задача рационального поведения потребителя на рынке) формулируется следующим образом: найти потребительский набор
В случае набора из двух товаров:
Геометрически решение этой задачи – это точка касания границы бюджетного множества G и линии безразличия.
Решение этой задачи сводится к решению системы уравнений:
Решение этой системы Решение задачи потребительского выбора
Эти функции называются функциями спроса соответствующих товаров. Пример 54. Для набора из двух товаров на рынке, известных ценах на них Решение. Продифференцируем функцию полезности:
Подставим полученные выражения в (1) и получим систему уравнений:
В данном случае расход на каждый товар составит половину дохода потребителя, а количество приобретенного товара равно затраченной на него сумме, поделенной на цену товара. Пример 55. Пусть функция полезности для первого товара цена первого товара Решение. Найдем производные функций полезности, подставим в систему (1) и решим ее:
Этот набор товаров является оптимальным для потребителя с точки зрения максимизации полезности. Задания для домашней контрольной работы Контрольная работа должна быть выполнена в соответствии с вариантом, выбираемым по последней цифре номера зачетной книжки в отдельной тетради. Каждая задача должна содержать условие, подробное решение и вывод. 1. Введение в математический анализ Задача 1. Найти область определения функции. 1. 2. 3. 4. 5. 6. 7. 8. 9. 10. Задача 2. Найти пределы функций.
Задача 3. Найти точки разрыва функции и определить их тип. 1. 4. 7. Глава 2. Дифференциальное исчисление функции одной переменной Задача 4. Найти производные данных функций. 1. а) г) y = е) y = 2 x - arcsin x . 2. а) 3. а) y = г) y = 4. а) y = 5. а) y = 2x3
- г) y = 6. а) y = г) y = 7. а) 8. а) y = г) y = 3x4
– е)y = x2
+ arcsin x - x 9. а) 10. а) Задача 5. Исследовать функцию и построить ее график. 1. а) 2. а) 3. а) 4. 5. а) 6. а) 7. а) 8. а) 9. а) 10. а) Задача 6. Найти наибольшее и наименьшее значение функции на заданном отрезке. 1. 2. 3. 4. 5. 6. 7. 8. 9. 10. Глава 3. Интегральное исчисление Задача 7. Найти неопределенные интегралы. 1. а) в) 2. а) 3. 4. 5. а) 6. а) 7. а) 8. а) 9. а) 10. а) Задача 8. Вычислить определенные интегралы. 1. 2. 3. 4. 5. 6. 7. 8. 9. 10. Задача 9. Найти несобственные интегралы или доказать, что они расходятся. 1. 2. 3. 4. 5. 6. 7. 8. 9. 10. Задача 10. Найти площадь области, ограниченной кривыми 1. 3. 5. 7. 9. 10. Глава 4. Дифференциальное исчисление функции нескольких переменных. Задача 11. Найти область определения функции (показать на чертеже). 1. 2. 3. 4. 5. 6. 7. 8. 9. 10. Задача 12. Исследовать на непрерывность функции при
1. 2. 3. 4. 5. 6. 7. 8. 9. 10. Задача 13. Найти производную неявно заданной функции. 1. 2. 3. 4. 5. 6. 7. 8. 9. 10. Задача 14. Вычислить приближенно 1. а) 2. а) 3. а) 4. а) 5. а) 6. а) 7. а) 8. а) 9. а) 10. а) Задача 15. Исследовать функцию на экстремумы. 1. 2. 3. 4. 5. 6. 7. 8. 9. 10. Задача 16. Найти наибольшее и наименьшее значение функции 1. 2. 3.
4.
5. 6. 7. 8. 9.
10.
Основная 1. М.С. Красс, Б.П. Чупрынов. Основы математики и ее приложение в экономическом образовании: Учебник. – 4-е изд., исп. – М.: Дело, 2003. 2. М.С. Красс, Б.П. Чупрынов. Математика для экономических специальностей: Учебник. – 4-е изд., исп. – М.: Дело, 2003. 3. М.С. Красс, Б.П. Чупрынов. Математика для экономического бакалавриата. Учебник. – 4-е изд., исп. – М.: Дело, 2005. 4. Высшая математика для экономистов. Учебник для вузов / Н.Ш. Кремер, Б.А. Путко, И.М. Тришин, М.Н. Фридман; Под ред. проф. Н.Ш. Кремера, - 2-е изд., перераб. и доп. – М: ЮНИТИ, 2003. 5. Кремер Н.Ш, Путко Б.А., Тришин И.М., Фридман М.Н.. Высшая математика для экономических специальностей. Учебник и Практикум (части I и II) / Под ред. проф. Н.Ш. Кремера, - 2-е изд., перераб. и доп. – М: Высшее образование, 2007. – 893с. – (Основы наук) 6. Данко П.Е., Попов А.Г., Кожевникова Т.Я. Высшая математика в упражнениях и задачах. М. высшая школа. 1999. Дополнительная 1. И.И. Баврин, В.Л. Матросов. Высшая математика. «Гуманитарный издательский центр Владос», 2002. 2. И.А. Зайцев. Высшая математика. «Высшая школа», 1998. 3. А.С. Солодовников, В.А. Бабайцев, А.В. Браилов, И.Г. Шандра. Математика в экономике / в двух частях/. М. Финансы и статистика. 1999. |

+ 2 – 3 +











.














,
– наклонных асимптот нет



– наклонных асимптот нет
– наклонных асимптот нет

.




















, где
, 















































является градиентом функции 




(1)











.
;б)

; в)
; б)





.


.
.
.
.
.
.
.
.
.
.
.