Реферат: Многочлены Лежандра, Чебышева и Лапласа
|
Название: Многочлены Лежандра, Чебышева и Лапласа Раздел: Рефераты по математике Тип: реферат |
СОДЕРЖАНИЕ Введение 1. Многочлены Лежандра 2. Многочлены Чебышева 3. Преобразование Лапласа 4. Обращение преобразования Лапласа с помощью многочленов, ортогональных на конечном промежутке 4.1 Постановка задачи 4.2.Обращение преобразования Лапласа с помощью смещенных многочленов Лежандра 4.3. Обращение преобразования Лапласа с помощью смещенных многочленов Чебышева первого рода. Заключение преобразование смещенный многочлен исчисление ВВЕДЕНИЕ Математический анализ – раздел математики, дающий методы количественного исследования разных процессов изменения; занимается изучением скорости изменения (дифференциальное исчисление) и определением длин кривых, площадей и объемов фигур, ограниченных кривыми контурами и поверхностями (интегральное исчисление). Для задач математического анализа характерно, что их решение связано с понятием предела. Начало математическому анализу положил в 1665 И.Ньютон и (около 1675) независимо от него Г.Лейбниц, хотя важную подготовительную работу провели И.Кеплер (1571–1630), Ф.Кавальери (1598–1647), П.Ферма (1601–1665), Дж.Валлис (1616–1703) и И.Барроу (1630–1677). Операционное исчисление –раздел математики, занимающийся главным образом алгебраическими операциями, производимыми над символами операции (или преобразования). Во многих задачах математического анализа рассматриваются ситуации, в которых каждая точка одного пространства ставится в соответствие некоторой точке другого (или того же) пространства. Пространства могут быть абстрактными, в которых «точки» в действительности являются функциями. Соответствие между двумя точками устанавливается с помощью преобразования или оператора. В задачу теории операторов входит подробное описание и классификация различных видов преобразований и их свойств, а также разработка символических методов, позволяющих минимизировать и упростить вычисления. Обычно теорию операторов применяют к пространствам, в которых допускается сложение или умножение точек, т.е. линейным пространствам, группам, кольцам, полям и т.д. Операционное исчисление позволяет осуществить абстрактные постановки задач и обобщить такие разделы математического анализа, как теория дифференциальных и интегральных уравнений. Мощным стимулом для развития теории операторов стали современные проблемы квантовой теории. Наиболее полные результаты получены для дистрибутивных операторов в т.н. гильбертовом пространстве. Интерес к этой области во многом связан с представлением таких операторов интегральными преобразованиями. В середине XIX века появился ряд сочинений, посвящённых так называемому символическому исчислению и применению его к решению некоторых типов линейных дифференциальных уравнений. Сущность символического исчисления состоит в том, что вводятся в рассмотрение и надлежащим образом интерпретируются функции оператора дифференцирования.
Среди сочинений по символическому исчислению следует отметить вышедшую в 1862 году в Киеве обстоятельную монографию русского математика М. Е. Ващенко-Захарченко «Символическое исчисление и приложение его к интегрированию линейных дифференциальных уравнений». В ней поставлены и разрешены основные задачи того метода, который в дальнейшем получил название операционного. В 1892 году появились работы английского учёного О. Хевисайда, посвящённые применению метода символического исчисления к решению задач по теории распространения электрических колебаний в проводах.
В отличие от своих предшественников, Хевисайд определил обратный оператор однозначно, полагая и считая f (u ) = 0 для u < 0. Труды Хевисайда положили начало систематическому применению символического, или операционного, исчисления к решению физических и технических задач.
Однако широко развитое в трудах Хевисайда операционное исчисление не получило математического обоснования, и многие его результаты оставались недоказанными. Строгое обоснование было дано значительно позже, когда была установлена связь между функциональным преобразованием Лапласа и оператором дифференцирования
если существует производная
существует и f (0) = 0, то
Одним из наиболее мощных средств решения дифференциальных уравнений, как обыкновенных, так, особенно, в частных производных, является метод интегральных преобразований. Преобразования Фурье, Лапласа, Ганкеля и другие применяются для решения задач теории упругости, теплопроводности, электродинамики и других разделов математической физики. Использование интегральных преобразований позволяет свести дифференциальное, интегральное или интегро-дифференциальное уравнение к алгебраическому, а также, в случае дифференциального уравнения в частных производных, уменьшить размерность. Интегральные преобразования задаются формулой
где функции Большинство интегральных преобразований являются обратимыми, то есть по известному изображению можно восстановить оригинал, зачастую также интегральным преобразованием:
Хотя свойства интегральных преобразований достаточно обширны, у них довольно много общего. преобразование смещенный многочлен исчисление 1. Многочлены Лежандра Многочлены Лежандра — многочлен, который в наименьшей степени отклоняется от нуля в смысле среднего квадратического. Образует ортогональную систему многочленов, на отрезке Названы по имени французского математика Адриен Мари Лежандра. Многочлены Лежандра определяются по формуле (называемой формулой Родрига)
часто записываемой в виде:
Многочлены Лежандра также определяются по следующим формулам:
Они также могут быть вычислены по рекуррентной формуле:
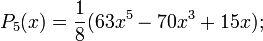
Первые многочлены Лежандра равны:
2. Многочлены Чебышева Многочлены Чебышева — две последовательности многочленов Tn
(x
) и Un
(x
), Многочлен Чебышева первого рода Tn (x ) характеризуется как многочлен степени n со старшим коэффициентом 2n - 1 , который меньше всего отклоняется от нуля на интервале [ − 1,1]. Впервые рассмотрены самим Чебышёвым. Многочлены Чебышева первого рода Tn (x ) могут быть определены с помощью рекуррентного соотношения:
Многочлены Чебышева первого рода
или, что почти эквивалентно,
Несколько первых многочленов Чебышева первого рода
Многочлены Чебышева обладают следующими свойствами: Ортогональность по отношению к соответствующим скалярному произведению (с весом Среди всех многочленов, значения которых на отрезке [ − 1,1] не превосходят по модулю 1, многочлен Чебышева имеет: наибольший старший коэффициент наибольшее значение в любой точке за пределами [ − 1,1] если Нули полиномов Чебышева являются оптимальными узлами в различных интерполяционных схемах. Например, в методе дискретных особенностей, который часто используется при исследовании интегральных уравнений в электродинамике и аэродинамике. 3. 4. Преобразование Лапласа Преобразование Лапласа — интегральное преобразование, связывающее функцию Одной из особенностей преобразования Лапласа, которые предопределили его широкое распространение в научных и инженерных расчётах, является то, что многим соотношениям и операциям над оригиналами соответствуют более простые соотношения над их изображениями. Так, свёртка двух функций сводится в пространстве изображений к операции умножения, а линейные дифференциальные уравнения становятся алгебраическими. Интеграл Лапласа имеет вид:
где интегрирование производится по некоторому контуру Lв плоскости комплексного переменного z, ставящий в соответствие функции f(z), определенной на L, аналитическую функцию F(p) комплексного переменного p=s+it. Многие интегралы вида (5) были рассмотрены П. Лапласом. В узком смысле под преобразованием Лапласа подразумевают одностороннее преобразование Лапласа
называемое так в отличие от двустороннего преобразования Лапласа
Преобразование Лапласа – частный вид интегральных преобразований;. преобразования вида (6) или (7) тесно связаны с Фурье преобразованием.
Двустороннее преобразование Лапласа (7) можно рассматривать как преобразование Фурье функции Подынтегральная комплексная локально суммируемая функция f(t) называется функцией-оригиналом, или просто оригиналом; в приложениях часто удобно трактовать переменное t как время. Функция F(p)=L[f], (р) называется также преобразованием Лапласа оригинала f(t) или изображением по Лапласу. Интеграл (6) понимается, вообще говоря, как условно сходящийся на бесконечности. Априори возможны три случая: 1) существует действительное число 2) интеграл (6) сходится при всех р,
в этом случае полагают 3) интеграл (6) расходится при всех р, в этом случае полагают Если Если а – есть нижняя грань тех s, для которых При некоторых дополнительных условиях оригинал f(t) однозначно восстанавливается по своему F(p). Например, если f(t) имеет ограниченную вариацию в окрестности точки t0 или если f(t) кусочногладкая, то имеет место формула обращения преобразования Лапласа:
Формулы (6) и (8) позволяют получить ряд соотношений между операциями, производимыми над оригиналами и изображениями, а также таблицу изображений для часто встречающихся оригиналов. Все это составляет элементарную часть операционного исчисления. В математической физике важные применения находит многомерное преобразование Лапласа:
где t = ( t 1 , ……, tn ) -точка re-мерного евклидова пространства Rn , p = ( p 1 , ……, pn ) = σ + iτ = ( σ 1 , ……, σ n ) + (τ1 , ……, τ n ) -точка комплексного пространства Cn , n ≥1, ( p , t ) = ( σ , t )+ i ( τ , t ) = p 1 t 1 + … + pn tn -скалярное произведение, dt = dt 1 … dtn - элемент объема в Rn . Комплексная функция f(t) в (9) определена и локально суммируема в области интегрирования
-положительном координатном угле пространства Rn
. Если функция f(t) ограничена в C*
, то интеграл (9) существует во всех точках
Интеграл (9) определяет голоморфную функцию комплексных переменных p
= (
p
1
,-
pn
)
в трубчатой области Численное преобразование Лапласа - численное выполнение преобразования (6), переводящего оригинал f
(
t
), 0<
t
<∞
в изображение F(p),
Необходимость применения численного преобразования Лапласа возникает вследствие того, что таблицы оригиналов и изображений охватывают далеко не все встречающиеся в практике случаи, а также вследствие того, что оригинал или изображение зачастую выражаются слишком сложными, неудобными для применений формулами. Проблема обращения преобразования Лапласа, как задача отыскания решения f(x) интегрального уравнения первого рода (6), относится к классу некорректных задач и может быть решена, в частности, посредством регуляризирующего алгоритма. Задачу численного обращения преобразования Лапласа можно также решать методами, основанными на разложении функции-оригинала в функциональный ряд. Сюда в первую очередь можно отнести разложение в степенной ряд, в обобщенный степенной ряд, в ряд по показательным функциям, а также в ряды по ортогональным функциям, в частности по многочленам Чебышева, Лежандра, Якоби и Лагерра. Задача разложения оригинала в ряды по многочленам Чебышева, Лежандра, Якоби в окончательном своем виде сводится к проблеме моментов на конечном промежутке. Пусть известно преобразование Лапласа F(p) функции β( t ) f ( t ):
где f(t) - искомая функция, а β(t) - неотрицательная, интегрируемая на [0,∞) функция. Предполагается, что функция f(t) интегрируема на любом конечном отрезке [0, Т] и принадлежит классу L 2 (β( t ), 0, ∞). По изображению F(р).функции β(t), f(t), функция f(t) строится в виде ряда по смещенным многочленам Якоби, в частности по смещенным многочленам Лежандра, Чебышева первого и второго рода, коэффициенты которого ak вычисляются по формуле.
где Другим приемом численного обращения преобразования Лапласа является построение квадратурных формул для интеграла обращения (8). 4. Обращение преобразования Лапласа с помощью многочленов, ортогональных на конечном промежутке 4.1 Постановка задачи Задачу преобразования Лапласа можно решать методами, основанными на разложении оригинала в ряды по ортогональным функциям, в частности по многочленам Чебышева, Лежандра и Якоби.Эта задача, которая в окончательном своем виде сводится к проблеме моментов на конечном промежутке, была подвергнута изучению в работах многих авторов. Рассмотрим постановку этой задачи в таком виде, как это сделано в работах В.М. Амербаева и в книге В.А. Диткина и А.П. Прудникова [2]. Пусть известно преобразование Лапласа F ( p ) функции β( t ) f ( t ):
Где f(t ) – искомая функция, а β(t ) – неотрицательная, абсолютно интегрируемая на [0,∞) функция. Предположим, что функция f(t ) интегрируема на любом конечном отрезке [0, Т] и принадлежит классу L 2 (β( t ), 0, ∞):
Требуется по изображению F(р ) функции β(t)f(t), построить функцию f(t ). В интеграле (10) введем замену переменной x = e - t ; тогда он приведется к виду
где
В силу условий, которые наложены на функции f(t
) и β(t
), интеграл (12) сходится всюду в плоскости Re
p
≥,0,
поэтому переменной р
можно придать значения 0, 1, 2, … и получить «взвешенные моменты» функции
После этого решаемую задачу можно сформулировать так: найти функцию
4.2.Обращение преобразования Лапласа с помощью смещенных многочленов Лежандра Рассмотрим частный случай весовой функции
Многочленами, ортогональными на отрезке [0,1] с весом Они задаются формулой
или же формулой
Величина rn в этом случае равна
и разложение функции f(t ) по смещенным многочленам Лежандра имеет вид
Величины αk вычисляются по формуле
в которой 4.3. Обращение преобразования Лапласа с помощью смещенных многочленов Чебышева первого рода. Положим теперь
Смещенные многочлены Чебышева первого рода Многочлены Якоби
где Многочлены
Значения rn вычисляются по формулам
а разложение функции f(t ) по смещенным многочленам Чебышева первого рода имеет вид
Коэффициенты ak
(
k
=0, 1, …)
вычисляются по формуле (17), в которой В вычислениях удобнее пользоваться тригонометрической записью многочленов Сделав замену переменной 2
x
– 1 =
cosθ
(0≤θ≤π)
и учитывая, что
ЗАКЛЮЧЕНИЕ Одним из наиболее мощных средств решения дифференциальных уравнений, как обыкновенных, так, особенно, в частных производных, является метод интегральных преобразований. Преобразования Фурье, Лапласа, Ганкеля и другие применяются для решения задач теории упругости, теплопроводности, электродинамики и других разделов математической физики. Преобразование Лапласа — интегральное преобразование, связывающее функцию Одной из особенностей преобразования Лапласа, которые предопределили его широкое распространение в научных и инженерных расчётах, является то, что многим соотношениям и операциям над оригиналами соответствуют более простые соотношения над их изображениями. Интеграл Лапласа имеет вид:
где интегрирование производится по некоторому контуру Lв плоскости комплексного переменного z, ставящий в соответствие функции f(z), определенной на L, аналитическую функцию F(p) комплексного переменного p=s+it. Численное преобразование Лапласа - численное выполнение преобразования
переводящего оригинал f
(
t
), 0<
t
<∞
в изображение F(p),
Необходимость применения численного преобразования Лапласа возникает вследствие того, что таблицы оригиналов и изображений охватывают далеко не все встречающиеся в практике случаи, а также вследствие того, что оригинал или изображение зачастую выражаются слишком сложными, неудобными для применений формулами. Задачу численного обращения преобразования Лапласа можно также решать методами, основанными на разложении функции-оригинала в функциональный ряд. Сюда в первую очередь можно отнести разложение в степенной ряд, в обобщенный степенной ряд, в ряд по показательным функциям, а также в ряды по ортогональным функциям, в частности по многочленам Чебышева, Лежандра, Якоби и Лагерра. Задача разложения оригинала в ряды по многочленам Чебышева, Лежандра, Якоби в окончательном своем виде сводится к проблеме моментов на конечном промежутке. Пусть известно преобразование Лапласа F(p) функции β( t ) f ( t ):
где f(t) - искомая функция, а β(t) - неотрицательная, интегрируемая на [0,∞) функция. СПИСОК ЛИТЕРАТУРЫ 1. Ван дер Поль Б., Бремер Х. Операционное исчисление на основе двустороннего преобразования Лапласа. — М.: Издательство иностранной литературы, 1952. — 507 с. 2. Диткин В.А., Прудников А. П. Интегральные преобразования и операционное исчисление. — М.: Главная редакция физико-математической литературы издательства «Наука», 1974. — 544 с. 3. Кожевников Н.И., Краснощекова Т. И., Шишкин Н. Е. Ряды и интегралы Фурье. Теория поля. Аналитические и специальные функции. Преобразования Лапласа. — М.: Наука, 1964. — 184 с. 4. Крылов В.И., Скобля Н.С. Методы приближенного преобразования Фурье и обращения преобразования Лапласа. – М.: Наука, 1974. – 226 с. |



.
, если
, если 

(17)

