Контрольная работа: Построение групп торговых точек по объему ежедневного дохода. Отображение динамики дохода фирмы
|
Название: Построение групп торговых точек по объему ежедневного дохода. Отображение динамики дохода фирмы Раздел: Рефераты по экономике Тип: контрольная работа | |||||||||||||||||||||||||||||||||||||||||||||||||||||||||||||||||||||||||||||||||||||||||||||||||||||||||||||||||||||||||||||||||||||||||||||||||||||||||||||||||||||||||||||||||||||||||||||||||||||||||||||||||||||||||||||||||||||||||||||||||||||||||||||||||||||||||||||||||||||||||||||||||||||||||||||||||||||||||||||||||||||||||||||||||||||||||||||||||||||||||||||||||||||||||||||||||||||||||||||||||||||||||||||||||||||||||||||||||||||||||||||
Содержание Задача 1 Задача 2 Приложения Задача 1Обследовано 50 торговых точек по объему ежедневного дохода. Данные обследования приведены в приложении 1. 1. Провести группировку торговых точек по объему ежедневного дохода. 2. Построить гистограмму, полигон, кумуляту. 3. Вычислить выборочные характеристики: a. среднее, b. дисперсию, c. среднее квадратическое отклонение, d. моду, e. медиану, f. нижний и верхний квартили, g. коэффициент вариации. 4. На основе анализа полученных данных выдвинуть гипотезу о законе распределения дохода. Решение: Количество групп определим по формуле Стерджесса: n = 1 + 3.222*lgN, где n - число групп; N - число единиц совокупности. n = 6 групп. Величина равного интервала: h = R / n, где R - размах вариации; n - число групп. h = 145.7 Получим интервалы для построения групп: 1-я группа: (638-783.67]; 2-я группа: (783.67-929.34]; 3-я группа: (929.34-1075.01]; 4-я группа: (1075.01-1220.68]; 5-я группа: (1220.68-1366.35]; 6-я группа: (1366.35-1512.02]. Построим группы:
Построим гистограмму, полигон, кумуляту.
Проведем расчет выборочных характеристик.
Среднее значение определим по формуле средней арифметической взвешенной:
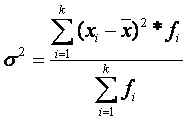
Дисперсию определим по формуле:
Среднее квадратическое отклонение определим по формуле:
Рассчитаем значение моды. Наибольшая частота: 15. Мода находится в интервале между 929.34 и 1075.01. Точное значение моды определим по формуле:
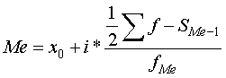
Рассчитаем значение медианы. Середина ряда: 25. Медианным является интервал с накопленной частой 33. Точное значение медианы определим по формуле:
Определим место нижней квартили: NQ 1 = (50+1) /4 = 12.75. Определим место верхней квартили: NQ 3 = (50+1) /4*3 = 38.25. Квартили определим по формулам:
783.67+145.67* ( (12.5-7) /11) = 856.51 д. ед.
1075.01+145.67* ( (37.5-33) /12) = 1129.64 д. ед. Коэффициент вариации определим по формуле:
В исследуемой совокупности средний размер объема ежедневного дохода составил 996.35 д. ед. Самым распространенным значением объема ежедневного дохода является 1012.58 д. ед.50% торговых точек имеют объем ежедневного дохода более 997.32 д. ед., а 50% - менее 997.32 д. ед. Полученное значение среднего квадратического отклонения говорит о том, что в среднем в исследуемой совокупности конкретные величины признака отклоняются от своего среднего значения на 179.5д. ед. 25% торговых точек имеют доход менее 856.51 д. ед.; 25% торговых точек имеют доход более 856.51 д. ед., а остальные торговые точки имеют доход в пределах от 856.51 д. ед. до 1129.64 д. ед. Так как значение коэффициента вариации меньше 33%, то исследуемую совокупность можно считать однородной. В целом на основе полученных данных можно выдвинуть гипотезу о нормальном законе распределения дохода. Задача 2Имеются ежемесячные уровни дохода фирмы (тыс. у. е.) в 2008 г (приложение 2). 1. Графически отобразить динамику дохода. 2. Рассчитать цепные и базисные: абсолютные приросты (изменения) уровней; темпы роста; темпы прироста (снижения) уровней, средние значения ряда, темпа роста и прироста. 3. Провести сглаживание методом скользящей средней с базой равной четырем. 4. Осуществить аналитическое выравнивание сглаженной зависимости по линейному тренду. 5. Оценить адекватность и точность полученной линейной модели. 6. Осуществит точечный и интервальный прогноз дохода фирмы в январе 2009. Решение: Графически отобразим динамику дохода:
группировка кумулята точечный прогноз Рассчитаем цепные и базисные показатели:
Цепные и базисные показатели динамики были определены по следующим формулам:
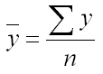
Далее определим средние показатели ряда динамики. Средний уровень ряда определим по формуле:
Средний абсолютный прирост определим по формуле:
Средний коэффициент роста определим по формуле:
Средний темп роста определим по формуле:
Средний темп прироста определим по формуле:
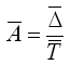
Среднюю величину абсолютного значения 1% прироста определим по формуле:
Анализ полученных результатов показывает, что средний размер дохода фирмы составил 47.75 тыс. у. е. при среднемесячном увеличении на 3.36 тыс. у. е. или на 8.59%. Значение 1% прироста возросло с 0.25 до 0.73 тыс. у. е. Проведем сглаживание методом скользящей средней с базой равной четырем:
Осуществим аналитическое выравнивание сглаженной зависимости по линейному тренду. Для этого построим вспомогательную таблицу:
Система нормальных уравнений будет иметь вид:
Для определения параметров уравнения подставим в приведенную систему исходные данные и получим: 426.75 = 9a0 +45a1 2403.5 = 45a0 +285a1 Выравняем коэффициенты при а0 , разделив первое уравнение на 9, а второе на 45 и получим: 47.42 = a0 +5a1, 53.41 = a0 +6.33a1 Вычтем из второго уравнения первое и определим значение а1 : а1 = 4.5. Подставим полученное значение а1
в одно из уравнений и определим значение а0
: а0
= 24.92. Тогда уравнение будет иметь вид: Оценим адекватность и точность полученной линейной модели.
Остаточная дисперсия: 8.8751/9 = 0.9861. Общая дисперсия: 1221.65/9 = 135.74. Систематическая дисперсия: 135.74-0.9861 = 134.7539. На систематическую дисперсию, определяемую тенденцией развития, приходится (134.7539/135.74) * 100 = 99.27% общей дисперсии, а остальные 0.73% вариации объясняются сезонными особенностями того или иного месяца и другими особенностями отдельных месяцев. Следовательно, построенную модель адекватна, точность и адекватность модели подтверждает и средняя ошибка аппроксимации = 2,26%, что существенно меньше 10%. Осуществим точечный и интервальный прогноз дохода фирмы в январе 2009 на основе полученной трендовой модели:
Доверительный интервал прогноза определим по формуле:
где L - период упреждения (L = 1);
n - количество наблюдений во временном ряду (9);
tα - табличное значение критерия Стьюдента для уровня значимости α и для числа степеней свободы, равного n- 2.
Таким образом, с вероятностью 95% можно утверждать, что в январе 2009 г. доход фирмы составит от 62.09 тыс. у. е. до 77.75 тыс. у. е. ПриложенияПриложение 1 647 1010 875 1115 1124 1044 1015 985 1155 1229 1251 796 981 1293 1046 907 691 1053 770 933 899 1161 638 721 979 1144 886 1163 1512 816 875 819 1325 1085 973 1105 1203 681 1062 1049 887 867 1172 1052 783 1104 1130 839 935 992 Приложение 2
|
|||||||||||||||||||||||||||||||||||||||||||||||||||||||||||||||||||||||||||||||||||||||||||||||||||||||||||||||||||||||||||||||||||||||||||||||||||||||||||||||||||||||||||||||||||||||||||||||||||||||||||||||||||||||||||||||||||||||||||||||||||||||||||||||||||||||||||||||||||||||||||||||||||||||||||||||||||||||||||||||||||||||||||||||||||||||||||||||||||||||||||||||||||||||||||||||||||||||||||||||||||||||||||||||||||||||||||||||||||||||||||||








=
=








