Курсовая работа: Формирование себестоимости продукции
|
Название: Формирование себестоимости продукции Раздел: Рефераты по экономике Тип: курсовая работа |
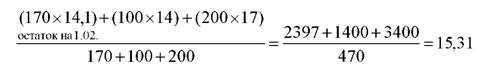
Содержание Ведение 1.1 Понятие себестоимости 1.2 Квалификация затрат 1.3 Методы учета затрат 1.4 Калькуляция себестоимости 1.5 Примеры расчета Вывод Литература ВедениеВ современной, быстро меняющейся, обстановке перехода к рынку, управлению предприятия необходимо постоянно проводить анализ деятельности фирмы для принятия управленческих решений. Для анализа и принятия решений необходима исходная информация, такую информацию получают из ряда экономических показателей - одним из которых является себестоимость. Этот показатель является одним из наиболее важных. Главными задачами развития экономики на современном этапе является всемерное повышение эффективности производства, а также занятие устойчивых позиций предприятий на внутреннем и международном рынках. Чтобы выдержать острую конкуренцию и завоевать доверие покупателей предприятие должно выгодно выделятся на фоне предприятий того же типа. Хорошо известно, что покупателя интересует качество продукции и ее цена. Чем выше качество и ниже цена, тем лучше и выгоднее для покупателя. Эти показатели как раз и заключены в себестоимости продукции. Себестоимость является основой определения цен на продукцию. Систематическое снижение себестоимости промышленной продукции - одно из основных условий повышения эффективности промышленного производства. Она оказывает непосредственное влияние на величину прибыли, уровень рентабельности. Поэтому формирование издержек производства и обращения, их учет имеют важное значение для предпринимательской деятельности организаций. Целью этой работы является рассмотрение методов расчета себестоимости, а также как запланировать себестоимость и снизить издержки которые включаются в себестоимость. 1.1 Понятие себестоимостиВ законодательстве себестоимость определяется как стоимостная оценка используемых в процессе производства продукции (работ, услуг) природных ресурсов, сырья, топлива, материалов, энергии, основных фондов, трудовых ресурсов, а также других затрат на её производство и реализацию. Получение наибольшего эффекта с наименьшими затратами, экономия трудовых, материальных и финансовых ресурсов зависят от того, как решает предприятие вопросы снижения себестоимости продукции. Выявление резервов снижения себестоимости должно опираться на комплексный технико-экономический анализ работы предприятия: изучение технического и организационного уровня производства, использование производственных мощностей и основных фондов, сырья и материалов, рабочей силы, хозяйственных связей. Затраты живого и овеществленного труда в процессе производства составляют издержки производства. В условиях товарно-денежных отношений и хозяйственной обособленности предприятия неизбежно сохраняются различия между общественными издержками производства и издержками предприятия. Общественные издержки производства - это совокупность живого и овеществленного труда, находящая выражение в стоимости продукции. Издержки предприятия состоят из всей суммы расходов предприятия на производство продукции и ее реализацию. Эти издержки, выраженные в денежной форме, называются себестоимостью и являются частью стоимости продукта. В нее включают стоимость сырья, материалов, топлива, электроэнергии и других предметов труда, амортизационные отчисления, заработная плата производственного персонала и прочие денежные расходы. Снижение себестоимости продукции означает экономию овеществленного и живого труда и является важнейшим фактором повышения эффективности производства, роста накоплений. Наибольшая доля в затратах на производство промышленной продукции приходится на сырье и основные материалы, а затем на заработную плату и амортизационные отчисления. Себестоимость продукции находится во взаимосвязи с показателями эффективности производства. Она отражает большую часть стоимости продукции и зависит от изменения условий производства и реализации продукции. Существенное влияние на уровень затрат оказывают технико-экономические факторы производства. Это влияние проявляется в зависимости от изменений в технике, технологии, организации производства, в структуре и качестве продукции и от величины затрат на ее производство. Анализ затрат, как правило, проводится систематически в течение года в целях выявления внутрипроизводственных резервов их снижения. Для анализа уровня и динамики изменения стоимости продукции используется ряд показателей. К ним относятся: смета затрат на производство, себестоимость товарной и реализуемой продукции, снижение себестоимости сравнимой товарной продукции и затраты на один рубль товарной (реализованной) продукции. Смета затрат на производство - наиболее общий показатель, который отражает всю сумму расходов предприятия по его производственной деятельности в разрезе экономических элементов. В ней отражены: во-первых, все расходы основного и вспомогательного производства, связанные с выпуском товарной и валовой продукции; во-вторых, затраты на работы и услуги непромышленного характера (строительно-монтажные, транспортные, научно-исследовательские и проектные и др.); в-третьих, затраты на освоение производства новых изделий независимо от источника их возмещений. Эти расходы исчисляют, как правило, без учета внутризаводского оборота. Для анализа уровня себестоимости на различных предприятиях или ее динамики за разные периоды времени, затраты на производство должны приводиться к одному объему. Себестоимость единицы продукции (калькуляция) показывает затраты предприятия на производство и реализацию конкретного вида продукции в расчете на одну натуральную единицу. Калькуляция себестоимости широко используется в ценообразовании, хозяйственном расчете, планировании и сравнительном анализе. Показатель снижения себестоимости сравнимой товарной продукции применяется для анализа изменения себестоимости во времени при сопоставимом объеме и структуре товарной продукции на тех предприятиях, которые имеют устойчивый по времени ассортимент изделий. Под сравнимой понимают такую продукцию, которая производилась серийно или массово в предшествующем году. К ней относится и частично модернизированная продукция, если эти изменения не привели к введению новых моделей, стандартов и технических условий. Затраты на один рубль товарной (реализованной) продукции - наиболее известный на практике обобщающий показатель, который отражает себестоимость единицы продукции в стоимостном выражении обезличенно, без разграничения ее по конкретным видам. Он широко используется при анализе снижения себестоимости и позволяет, в частности, характеризовать уровень и динамику затрат на производство продукции в целом по промышленности. Остальные встречающиеся на практике показатели себестоимости можно подразделить по следующим признакам: по составу учитываемых расходов - цеховая, производственная, полная себестоимость; по длительности расчетного периода - месячная, квартальная, годовая, за ряд лет; по характеру данных, отражающих расчетный период, - фактическая (отчетная), плановая, нормативная, проектная (сметная), прогнозируемая; по масштабам охватываемого объекта - цех, предприятие, группа предприятий, отрасль, промышленность и т.п. 1.2 Квалификация затратСуществует обширная классификация затрат. По функциям деятельности предприятия в системе управления производством затраты подразделяются на: 1) снабженческо-заготовительные; 2) производственные; 3) коммерческо-сбытовые; 4) организационно-управленческие. По экономической роли в процессе производства продукции затраты подразделяются на основные и накладные. Основными называются затраты, непосредственно связанные с технологическим процессом производства: сырье и материалы, топливо и энергия на технологические цели, расходы на оплату труда производственных рабочих и др. По способу включения в себестоимость продукции затраты подразделяются на прямые и косвенные. Прямые затраты связаны с производством определенного вида продукции и могут быть, на основании данных первичных документов, прямо и непосредственно отнесены на ее себестоимость. Это расходы сырья и основных материалов, заработная плата рабочих и др. Косвенные затраты связаны с выпуском нескольких видов продукции, например, затраты по управлению и обслуживанию производства. Они включаются в себестоимость конкретных изделий с помощью специальных расчетов распределения. Выбор базы распределения обуславливается особенностями организации и технологии производства и устанавливается отраслевыми инструкциями по планированию, учету и калькулированию себестоимости продукции. На практике затраты предприятия традиционно группируются и учитываются по составу и видам, местам возникновения и носителям. По составу затраты подразделяются на одноэлементные и комплексные. Одноэлементными называются затраты, состоящие из одного элемента, - материалы, заработная плата, амортизация и др. Эти затраты независимо от их места возникновения и целевого назначения не делятся на различные компоненты. Комплексными называются затраты, состоящие из нескольких элементов, например, цеховые и общезаводские расходы, в состав которых входит заработная плата соответствующего персонала, амортизация зданий и другие одноэлементные затраты. Установлен единый для всех предприятий перечень экономически однородных элементов затрат: материальные затраты; затраты на оплату труда; отчисления на социальные нужды; амортизация основных фондов; прочие затраты. Под экономическим элементом затрат принято понимать экономически однородный вид затрат на производство и реализацию продукции (работ, услуг), который на уровне предприятия невозможно разложить на отдельные составляющие. Для исчисления себестоимости отдельных видов продукции производственные предприятия используют группировку затрат по статьям калькуляции. Калькулирование себестоимости продукции (работ, услуг) - это исчисление величины затрат, приходящихся на единицу (выпуск) продукции. Ведомость, в которой производится расчет на единицу продукции, называется калькуляцией. В наиболее общем виде номенклатура статей калькуляции выглядит следующим образом: 1. "Сырье и основные материалы". 2. "Полуфабрикаты собственного производства". 3. "Возвратные отходы" (вычитаются). 4. "Вспомогательные материалы". 5. "Топливо и энергия на технологические цели". 6. "Расходы на оплату труда производственных рабочих". 7. "Отчисления на социальные нужды". 8. "Расходы на подготовку и освоение производства". 9. "Расходы по эксплуатации производственных машин и оборудования". 10. "Цеховые расходы". 11. "Общехозяйственные расходы". 12. "Потери от брака". 13. "Прочие производственные расходы". 14. "Коммерческие расходы". Итог первых десяти статей позволяет получить цеховую себестоимость, итог первых тринадцати статей образует производственную себестоимость, а итог всех четырнадцати статей - полную себестоимость продукции. По месту возникновения затраты группируются и учитываются по производствам, цехам, участкам, отделам и другим структурным подразделениям предприятия, т.е. по центрам ответственности. Завершающим этапом является группировка и учет по носителям затрат, т.е. продукции, работам, услугам с целью определения их себестоимости. Для определения и оценки себестоимости продукции целесообразно увязать учет затрат по видам и местам возникновения с учетом затрат по их носителям: видам продукции, работ, услуг. Прямые затраты непосредственно включают в себестоимость продукции, а косвенные распределяют при помощи специальных баз и коэффициентов распределения. Важное значение имеет группировка затрат по отношению к объему производства. По данному признаку затраты подразделяются на постоянные и переменные. Постоянные затраты не зависят от динамики объема производства и продажи продукции, то есть не изменяются при изменении объема производства. Переменные затраты зависят от объема и изменяются прямо пропорционально изменению объема производства (или деловой активности) компании. По мере его повышения растут и переменные затраты, и наоборот (например, заработная плата производственных рабочих, изготавливающих определенный вид продукции, затраты сырья и материалов). Переменные затраты, рассчитанные на единицу продукции, представляют собой постоянную величину. Кроме того, существуют смешанные затраты, которые содержат как постоянный, так и переменный компоненты. Часть этих затрат изменяется при изменении объема производства, а другая часть не зависит от объема производства и остается фиксированной в течение отчетного периода. Например, месячная плата за телефон включает постоянную сумму абонентской платы и переменную часть, которая зависит от количества и длительности междугородних телефонных разговоров. Таким образом, постоянные затраты (арендная плата) изменятся вместе с изменением уровня активности. Поэтому при учете затрат их необходимо четко разграничить между постоянными и переменными. Производственные затраты включают в себя: 1) прямые материальные затраты; 2) прямые расходы по оплате труда с отчислениями на социальные нужды; 3) потери от брака; 4) производственные накладные расходы. Производственные накладные расходы состоят из расходов по эксплуатации производственных машин и оборудования и цеховых расходов. Периодические расходы подразделяются на: · коммерческие; · общие; · административные. К ним относится существенная часть общей массы расходов на управление, обслуживание производства, сбыт продукции, которая, зависит не от объема производства и продаж, а от организации производственно-коммерческой деятельности, деловой политики администрации, продолжительности отчетного периода, структуры предприятия и других факторов. По технико-экономическому назначению различают основные (технологические) и накладные расходы. Основные (технологические) расходы - непосредственно связаны с производством и оказанием услуг, к ним относятся первые шесть статей затрат: затраты на оплату труда, стоимость материалов, топлива, электроэнергии, другие расходы, связанные с конкретным объектом калькулирования. Накладные - связаны с обслуживанием отдельных подразделений (цехов, участков) или организации в целом и управлением ими. Важное значение при калькулировании себестоимости и оценке готовой продукции имеет группировка затрат в зависимости от времени их возникновения и отнесения на себестоимость продукции. По данному признаку затраты подразделяются на: а) текущие; б) будущего отчетного периода; в) предстоящие. К текущим относятся расходы по производству и реализации продукции данного периода. Они принесли доход в настоящем и потеряли способность приносить доход в будущем. Расходы будущего периода - это затраты, произведенные в текущем отчетном периоде, но подлежащие включению в себестоимость продукции, которая будет выпускаться в последующие отчетные периоды (например, расходы на освоение вводимых в эксплуатацию цехов, производств, на подготовку и освоение новых видов продукции на действующих предприятиях). Такие затраты должны принести доход в будущем. К предстоящим относят затраты, которые в данном отчетном периоде еще не произведены, но для правильного отражения фактической себестоимости подлежат включению в затраты производства за данный отчетный период в плановом размере (расходы на оплату отпусков рабочих, выплату единовременного вознаграждения за выслугу лет и другие затраты, имеющие периодический характер). В процессе принятия управленческих решений руководитель должен обладать достаточной информацией, которая сулила бы выгоду предприятию от производства того или иного вида товара. В этих условиях особую значимость приобретает разделение затрат на следующие виды: 1) альтернативные (вмененные); 2) дифференциальные; 3) безвозвратные; 4) инкрементные; 5) маржинальные; 6) релевантные. На предприятиях ограниченность ресурсов порождает ограничение производственных возможностей. Каждая ресурсная единица обладает некоторой отдачей, характеризующей эффективность ее производственного использования. Отдача имеет свои пределы. Даже при самой лучшей, материалосберегающей технологии из тонны руды не получить больше тонны металла. Производительность людей, Ашин, оборудования также имеет верхний предел. В итоге, при данном количестве ресурсов существует предельный объем выпуска продукции. В этих условиях возможность увеличения производства одного товара достигается ценой снижения производства другого. На этом факте основывается понятие альтернативной стоимости. Затраты, обусловленные отказом от одного товара в пользу другого, называют альтернативными (вмененными) затратами. Они означают упущенную выгоду, когда выбор одного действия исключает появление другого действия. Альтернативные затраты возникают в случае ограниченности ресурсов. Если ресурсы не ограничены, вмененные издержки равны нулю. Каждое последующее увеличение производства продовольственных товаров на определенное число единиц требует все большего снижения производства непродовольственных товаров, т.е. вмененных затрат. То же самое наблюдается и при увеличении производства непродовольственных товаров за счет снижения выпуска продовольственных. Отсюда и вытекает закон возрастания вмененных издержек (упущенных возможностей, дополнительных затрат), отражающий свойство рыночной экономики, согласно которому для получения каждой дополнительной единицы одного товара приходится расплачиваться потерей все возрастающего количества других товаров, т.е. увеличением упущенных возможностей. Дифференциальные затраты - это величина, на которую отличаются затраты при рассмотрении двух альтернативных решений. Например, рассматриваются два альтернативных места для строительства нового производственного цеха. Если будет выбран район "А", ежегодные затраты по его содержанию предположительно составят 800 тыс. руб., если район "В" - 600 тыс. руб. Дифференциальные затраты по содержанию производственного цеха составят 200 тыс. руб. (800 - 600). себестоимость продукция калькуляция затрата Дифференциальные затраты также называют дополнительными или приростными. В приведенном примере приростные затраты по содержанию цеха составят 200 тыс. руб., если цех переместится из района "В" в район "А". Решения по вводу дополнительных смен на заводе, увеличение штата работников также включают дифференциальные издержки. Безвозвратные затраты - это такие затраты, которые были сделаны в прошлом в результате ранее принятого решения. Следовательно, они не могут повлиять на будущие затраты и не могут быть изменены никаким настоящим или будущим действием. Примером таких затрат может быть первоначальная стоимость закупленных материалов и оборудования. Несмотря на то, что приобретенные ресурсы не используются сейчас, затраты на их приобретение не могут быть изменены никакими будущими действиями. Инкрементные затраты являются дополнительными и возникают в случаях производства какой-то партии продукции дополнительно. Например, если в результате какого-то решения увеличиваются постоянные затраты (выплачивается премия за сверхурочные работы), то эти затраты называют инкрементными. Если принятое решение о дополнительном выпуске не влечет за собой увеличения абсолютной суммы постоянных затрат, то инкрементные затраты равны нулю. Маржинальные затраты - это дополнительные затраты, когда производится еще одна единица продукции. Такие затраты рассчитываются не на весь выпуск, а на единицу продукции. Маржинальные затраты обычно различны при разных объемах производства. Они уменьшаются с увеличением выпуска продукции. В зависимости от специфики принимаемых решений затраты подразделяются на релевантные и нерелевантные. Релевантными (т.е. существенными, значительными) затратами можно считать только те затраты, которые зависят от рассматриваемого управленческого решения. В частности, затраты прошлых периодов не могут быть релевантными, поскольку повлиять на них уже нельзя. В то же время, вмененные затраты (упущенная выгода) релевантны для принятия управленческих решений. Процесс управления на предприятии включает в себя не только прогнозирование, планирование, учет и анализ затрат, но и регулирование и контроль их уровня. Для этих целей применяется следующая классификация затрат: регулируемые и нерегулируемые; эффективные и неэффективные; в пределах норм и по отклонениям от них; контролируемые и неконтролируемые. По степени регулируемости затраты подразделяются на полностью, частично и слабо регулируемые. На результаты деятельности предприятия существенное влияние оказывает деление затрат на производительные (эффективные) и непроизводительные (неэффективные). 1.3 Методы учета затратВсего в России четыре метода учета производственных затрат: 1) Простой метод - используется в массовом производстве, где выпускается однородная продукция. Все затраты относятся на один вид продукции по всем статьям калькуляции и нормам затрат, в ходе производства устанавливаются отклонения от нормы. 2) Позаказный метод - применяется там, где есть мелкосерийное и единичное производство. 3) Попередельный - применяют на предприятиях с массовым производством, где производство продукции осуществляются по переделам (стадия производственного процесса). 4) Нормативный - применяют на предприятиях с массовым производством, может быть применен в мелкосерийном и индивидуальном производствах машиностроительной, металлообрабатывающей и других отраслей экономики. 1) Простой метод учета затрат на производство и калькуляции себестоимости продукции применяют на предприятиях, вырабатывающих однородную продукцию (гидроэлектростанции, предприятия по добыче руды, угля, нефти, газа). Здесь все затраты предприятия относят на один вид вырабатываемой продукции, а при отсутствии незавершенного производства - на выпущенную продукцию. На многих предприятиях добывающей и перерабатывающей промышленности простой метод объединяют с нормативным, тем самым усиливается контроль за издержками производства и устанавливаются отклонения затрат от норм в ходе производства. Различают четыре варианта простого метода учета затрат и калькуляции себестоимости продукции. Первый вариант. Прямые и косвенные расходы учитывают по установленным статьям затрат на весь выпуск продукции. Себестоимость единицы продукции определяют делением всех производственных затрат на количество готовой продукции. Незавершенного производства, полуфабрикатов и составных частей готовой продукции в этих производствах не бывает (гидростанции, добыча песка, глины). Второй вариант. Применяется этот вариант на предприятиях, имеющих незавершенное производство. Здесь возникает необходимость в распределении затрат между готовой продукцией и незавершенным производством. Этот вариант применяют в лесозаготовительной промышленности при калькуляции себестоимости 1м Третий вариант применяют на предприятиях, одновременно вырабатывающих или добывающих несколько видов продукции: выработка тепла и электроэнергии; добыча различных видов рыбы. Затраты, в этих случаях, учитывают в целом по производству, то есть простым методом, а калькулируют себестоимость продукции комбинированным способом. При добыче нефти и газа энергетические затраты, амортизацию, ремонт подземного оборудования скважин, расходы на улучшение отдачи пластов, деэмульсацию нефти, перекачку и хранение нефти относят по прямому признаку на нефть, а расходы по сбору и транспортировке газа - на газ. Остальные расходы распределяют между нефтью и газом пропорционально их валовой добыче и оценке по средним договорным ценам предприятия. Четвертый вариант простого метода применяют на предприятиях, в которых учет затрат ведут по процессам или переделам без определения себестоимости продукции (полуфабрикатов) этих процессов или переделов. Применяют на предприятиях химической промышленности, промышленности строительных материалов. Здесь сочетаются простой и попередельный методы учета затрат и калькуляции себестоимости продукции. 2) Позаказный метод учета затрат и калькуляции себестоимости продукции применяют на предприятиях с мелкосерийным и индивидуальным производством, на ремонтных предприятиях и экспериментальных цехах. Все прямые затраты учитывают в разрезе установленной номенклатуры статей по отдельным заказам. Заказы открывают в планово-производственном отделе предприятия на специальных бланках, которые затем поступают в цеха-исполнители заказов и бухгалтерию. Каждому заказу присваивают код, который проставляют в карточке учета затрат на производство и на всех документах по расходу материалов, начислению заработной платы рабочим и другое. Себестоимость заказа состоит из суммы затрат, связанных с его изготовлением. Фактическая себестоимость при позаказном методе будет определена после окончания заказа, до этого все затраты составляют незавершенное производство. Недостаток позаказного метода заключается в том, что при изготовлении сложных, неповторяющихся или редко повторяющихся заказов трудно организовать нормирование материальных и трудовых затрат, затруднено составление нормативных калькуляций и осуществление предварительного контроля за издержками в ходе производства. В целях устранение этого недостатка при изготовлении крупных изделий с длительным циклом производства (в кораблестроении, тяжелом машиностроении) заказы рекомендуется открывать на отдельные их узлы (агрегаты, конструкционные элементы), представляющие собой законченные конструкции. В мелкосерийном производстве в заказ включают такое количество изделий, которое планирует выпустить в текущем месяце. Необходимо подразделять в учете все узлы и детали, используемые для изготовления только конкретного изделия (заказа) или нескольких изделий (заказов). По первому виду деталей и узлов учет затрат организуют позаказным методом; по второму - нормативным методом, так как эти изделия изготавливают в порядке серийного или массового производства. Таким образом, общая стоимость изделия, изготовляемого в индивидуальном порядке, будет слагаться из затрат, учтенных по заказу (в части оригинальных, неповторяемых узлов и деталей), и стоимости общих узлов и деталей, себестоимость которых исчисляется в порядке массового или серийного производства по нормативному методу. Работники экономической службы предприятия должны стремиться к применению, где это возможно, элементов нормативного метода учета затрат на производство в условиях индивидуального производства. Группируют затраты по заказам и исчисляют себестоимость каждого заказа в Карточках учета производства. На основании карточек составляют Отчетную калькуляцию себестоимости единицы продукции. 3) Попередельный метод учета затрат на производство и калькуляции себестоимости продукции применяют на предприятиях с массовым производством продукции, в котором из исходного сырья путем последовательной обработки в ходе технологического процесса вырабатывают готовый продукт. Этот метод применяют на предприятиях, комплексно использующих исходное сырье: в металлургической, химической, нефтеперерабатывающей и других отраслях. Например, на предприятиях текстильной промышленности имеются три передела - прядильный, ткацкий и отделочный; в черной металлургии - доменный, сталеплавильный, прокатный; в кожевенном производстве - зольный, дубильный и отделочный. Затраты на производство при попередельном методе учитывают по отдельным фазам, стадиям, переходам, которые обобщенно называют переделами. В результате после каждого передела вырабатывают полуфабрикат, а в конечном итоге - готовую продукцию. Перечень переделов устанавливают на основе данных о технологических процессах с учетом используемого оборудования, прерывности процессов производства, характера выпускаемых полуфабрикатов, продукции и других специфических условий. При этом учитывают возможности организации планирования и учета затрат по переделам, учета и оценки незавершенного производства, калькуляции себестоимости полуфабрикатов собственного производства и готовой продукции. При применении попередельного метода должны быть использованы основные элементы нормативного метода - систематическое выявление отклонений фактических расходов от текущих норм, а также выявление и учет изменения норм. В документации по расходу ресурсов, трудовых затрат и оперативной отчетности должен отражаться не только фактический расход материальных, энергетических и других затрат, но и расход их по нормам или основанным на них производственным заданиях (рецептурам и смескам). Необходимо обеспечить своевременное выявление экономии или дополнительных эатрат за счет отступлений от установленного технологического процесса, изменений состава израсходованных материальных затрат, ассортимента выпуска продукции, ее сортности. Применяется два варианта попередельного метода учета затрат и калькуляции себестоимости продукции: полуфабрикатный и бесполуфабрикатный. При полуфабрикатном варианте отмеченные калькуляции составляют по каждому переделу (фазе, стадии, агрегату), включая накладные расходы. При бесполуфабрикатном варианте калькулируют только себестоимость готовой продукции, которая образуется из материальных и трудовых и других затрат на первом переделе и затрат на обработку, возникающих на последующих переделах. Учет затрат на производство при попередельном методе ведут в карточках учета затрат на производство или ведомостях, открываемых на каждый передел. В металлургии, лесопильной и других отраслях промышленности, где из одного исходного сырья в одном производственном процессе получают продукцию разных сортов или марок, для определения ее себестоимости применяют коэффициенты. Например, при распиловке леса из одного исходного сырья получают доски обрезные, доски необрезные разных сортов, деловой и дровяной горбыль. В таких случаях первый сорт одного определенного наименования принимают за единицу, а остальные сорта имеют коэффициенты больше или меньше единицы, обычно, исходя из отпускной цены данного сорта к цене того сорта, который принят за единицу. Основной недостаток простого, позаказного и попередельного методов учета затрат состоит в том, что фактическую себестоимость продукции определяют по окончании отчетного периода или же после выполнения заказа, а это лишает возможности руководство предприятия (цеха) следить в течение отчетного периода за соответствием фактических затрат на производство установленным по плану (нормам). Кроме того, при этих методах учета фактическую себестоимость единицы продукции и всего выпуска сравнивают с данными по плану (плановыми калькуляциями), в котором нормы затрат рассчитаны как средние величины на весь планируемый период, в силу чего они не всегда могут точно отражать действительный уровень затрат на производство с учетом мероприятий, проводимых в соответствии с оргтехпланом предприятия. Эти недостатки устраняют путем применения нормативного метода, при котором фактическую себестоимость единицы продукции и всего выпуска сопоставляют с нормативной себестоимостью, которую, в отличие от плановой себестоимости, определяют на основе действующего на данный период технологического процесса производства, а также прогрессивных норм расхода материальных, трудовых и других затрат. В нормативную калькуляцию вносят изменения норм по мере осуществления мероприятий оргтехплана по совершенствованию технологии и организации производства. Учет затрат построен таким образом, что отклонения от норм расхода материальных, трудовых и других расходов выявляют в ходе производства, когда еще есть возможность повлиять на них, а не после отчетного периода или после выполнения заказа, когда такой возможности уже нет. 4) Нормативный метод учета затрат на производство и калькуляции себестоимости продукции, в основном, применяют на предприятиях с массовым производством, хотя он может быть применен в мелкосерийном и индивидуальных производствах машиностроительной, металлообрабатывающей и других отраслей экономики. Организацию работ по нормативному методу начинают с составления технологических и нормативных карт, в которых определяют расход материалов, заработной платы и другие затраты, связанные с извлечением дохода. На основе нормативных карт составляют нормативные калькуляции, в которых указана нормативная себестоимость единицы продукции. При их составлении исходят из действующей технологии производства, норм времени и расценок по оплате труда, норм расхода материалов и покупных полуфабрикатов с указанием черновой массы, чистой массы и отходов, действующих цен на материалы и покупные полуфабрикаты, утвержденных квартальных смет накладных расходов. Необходимо установить порядок оформления изменений норм и смет расходов, а также порядок извещения заинтересованных отделов и цехов предприятия об изменениях технологического процесса, норм и смет. При нормативном методе важно также упорядочить складское и весоизмерительное хозяйства, хранение и отпуск материалов на производство, обеспечить цехи счетчиками и устройствами для определения потребления воды, пара, газа, электроэнергии не только в целом по цеху, но и по отдельным видам продукции (если энергетические и другие расходы относятся на продукцию прямым путем). Материалы на производство продукции выдают строго в пределах установленных лимитов. Лимитирование отпуска материалов осуществляют в целевом порядке на основе действующих прогрессивных норм расхода материалов, объема производственной программы с учетом остатков материалов, не ихрасходованных цехами на начало месяца. Документирование отпуска материалов сверх установленного лимита должно обеспечить оперативный контроль и анализ причин, повлекших необходимость такого отпуска материалов. Получение материалов, необходимых для изготовления продукции взамен забракованной, оформляется требованиями, выписываемыми на основании актов о браке, в которых указывается код изделия, детали и номер заказа, по которомузабракована продукция. Количественный учет остатков и движения сырья и материалов в производстве осуществляет планово-производственный отдел, а стоимостной - бухгалтерия. Учет отклонений от норм организуется в зависимости от технических особенностей оборудования, сырья и материалов, нормирования их расхода и технологического процесса производства. На отклонения от норм влияют такие факторы, как замена материалов, качество их использования (качество раскроя), использование отходов вместо полноценных материалов. Выявление отклонений от норм по расходу материалов производится путем документирования, партионного раскроя материалов, инвентаризации (инвентарным методом). Методом документирования пользуются для определения отклонений, возникших вследствие замены материалов, а также отклонений по сверхнормативному расходу штучных материалов. Отклонения от норм по расходу штучных материалов, а также в связи с заменой материалов оформляются специальными (саигнальными) документами (лимитными картами, накладными). Методом партионного раскроя пользуются при выявлении отклонений от норм по каждой партии дорогостоящих материалов, отпущенных в производство (коже, текстилю). Отклонения от действующих норм определяются путем сопоставления фактического расхода материалов на выпуск продукции по партии с нормативным расходом. Если применение метода партионного раскроя затруднено, используют инвентарный метод. Инвентарным методом определяют отклонения за смену, пятидневку, декаду, месяц путем сопоставления фактического расхода материалов с их расходом по установленным нормам. Для определения фактического расхода материалов на начало смены, пятидневки, декады или первое число месяца, следующего за отчетным, производится инвентаризация неизрасходованных материалов в цехах на рабочих местах. Для выявления и учета отклонений в планово-диспетчерском бюро предприятия ведут карты учета использования материалов. В них проставляются текущие нормы расхода материалов или полуфабрикатов на изделия (детали), а также количество изделий (деталей), изготовленных из этих материалов или полуфабрикатов. Количество изделий (деталей) определяется на основании данных учета выработки рабочих. Периодически по данным учета составляются отчеты цехов об отклонениях расхода материалов от действующих норм. Заработную плату учитывают с подразделением на начисленную по нормам и отклонениям от норм. Бухгалтерия контролирует соответствие сумм начисленной заработной платы рабочим количеству и качеству продукции, принятой от рабочих. Доплаты за отклонения от нормальных условий работы являются непроизводительными расходами и одной из причин перерасхода фонда заработной платы. Для точного учета и анализа отклонений от норм по заработной плате должна быть установлена номенклатура причин и виновников отклонений от норм по заработной плате. Бухгалтерия должна периодически составлять рапорты об отклонениях с указанием причин и лиц, от которых они зависели. Учет и распределение накладных расходов должно обеспечить определение сумм фактических расходов, выявление отклонений от утвержденных смет по каждой статье расходов с теи, чтобы можно было своевременно принять необходимые меры к предупреждению их перерасхода. Для этого организуется оперативный текущий контроль на основе лимитных карт на расход материалов, штатных расписаний и должностных окладов, норм амортизации основных средств, нематериальных активов. На предприятиях обеспечивается полное выявление непроизводительных расходов, вызываемых недостатками в организации производства, учете и хранении ценностей. Непроизводительные расходы, непосредственно связанные с выпуском определенных изделий, включаются в себестоимость этих изделий; не связанные с выпуском определенных изделий - распределяются между отдельными видами продукции и включаются в себестоимость в составе накладных расходов. Контроль со стороны экономической службы предприятия должен обеспечить строгое соблюдение утвержденных норм и лимитов потребления материалов, энергии, инструмента и инвентаря; утвержденных лимитов потребления и стоимости различного рода работ и услуг; утвержденной организационной структуры управления цеха (отдела), а также установленного перечня должностей и ставок (окладов) заработной платы обслуживающего персонала. Расходы на содержание и эксплуатацию машин и оборудования (если эта группа накладных расходов выделяется в учете) распределяются между видами продукции исходя из величины этих затрат на час работы оборудования, используемого при изготовлении изделий, и количества машино-часов, необходимых для их производства. При распределении расходов по эксплуатации и содержанию оборудования следует пользоваться сметными (нормативными) ставками, которые рассчитываются, как правило, по количеству машино-часов работы оборудования (по отдельным его группам), необходимых по технологии для изготовления изделий, коэффициентам затрат, установленным для каждой группы оборудования, и плановой себестоимости одного машино-часа. Менее трудоемким является расчет сметной ставки на изделие (комплект деталей), которая определяется исходя из соотношения расходов, связанных с работой оборудования, и основной заработной платы производственных рабочих раздельно по механизированным (станочным) и немеханизированным (ручным) работам. Фактические расходы по содержанию и эксплуатации машин и оборудования распределяются между готовой продукцией и незавершенным производством пропорционально расходам, определенным по сметным ставкам. Распределение накладных расходов (включая расходы по содержанию и эксплуатации машин и оборудования, если они не выделяются в отдельную группу) между изделиями производится пропорционально сумме основной заработной платы производственных рабочих и другим принятым в Учетной политике предприятия методом. Сводный учет затрат на производство в условиях крупносерийного и массового производства должен вестись по типам машин или группам однородных изделий по калькуляционным статьям затрат. При бесцеховой структуре управления сводный учет осуществляется по предприятию в целом, а при цеховой - по цехам. Учет затрат ведут отдельно по действующим нормам на начало месяца и отклонениям от этих норм, что дает возможность учесть отклонения от действующих норм по причинам и виновникам в момент возникновения их. Для учета отклонений от норм по причинам и виновникам разрабатывают специальные коды. Отклонения фактических затрат от норм учитывают по видам продукции и статьям расходов, а при их обезличенном учете сумму отклонений включают в себестоимость отдельных видов продукции путем распределения пропорционально нормативным затратам по статьям калькуляции. Отклонения от норм, вызванные различными причинами, оформляются сигнальными документами с указанием причин и виновников отклонений. Наряду с отклонениями от норм могут иметь место отклонения о норм в связи с изменениями, которые происходят вследствие замены, снижения или повышения расхода материальных, трудовых, энергетических и других затрат. Все изменения норм обычно приурочивают к первому числу следующего за отчетным месяца, и они должны найти отражение в нормативных калькуляциях, действующих с момента введения норм. В связи с тем, что остаток незавершенного производства на начало месяца, затраты за месяц и списание выпущенной продукции должны быть исчислены по единым нормам действующей в отчетном месяце нормативной калькуляции, при изменении текущих норм возникает необходимость производить пересчет себестоимости незавершенного производства на начало отчетного месяца. Результат пересчета составляет сумму отклонений в связи с изменением норм. Пересчет незавершенного производства при инвентаризации производят прямым счетом, а при невозможности проведения инвентаризации - с помощью индексов (коэффициентов). Изменение норм исчисляют по отдельным статьям нормативной калькуляции в сумме остатка незавершенного производства по этой статье. Нормативы по статьям косвенных расходов подсчитывают путем умножения прямых затрат по новым нормам на новый норматив косвенных расходов и делением на 100. Изменение норм может происходить также в течение отчетного месяца и не найти отражения в нормативных калькуляциях. В этих случаях изменение норм оформляют путем выписки извещений: в производственном отделе - об изменении норм расходов материалов, в отделе труда и заработной платы - об изменении норм выработки и сдельных расценок, в плановом отделе - об изменении норм по статьям накладных расходов. Изменение норм возникает в результате пересчета незавершенного производства при установлении новых нормативов расхода, а отклонения от норм по различным причинам определяются путем раздельного учета затрат на производство по нормам и фактически. Выявленные изменения норм и отклонения от норм относят на себестоимость товарной продукции и на остаток незавершенного производства. В отдельных отраслях промышленности с массовым характером производства и коротким производственным циклом сумму изменений норм и отклонений от норм списывают полностью на себестоимость товарной продукции, а остаток незавершенного производства оценивают по нормативной себестоимости. Сумму изменений норм и отклонений от норм распределяют между выпуском товарной продукции и незавершенным при помощи индексов, указываемых в ведомостях учета производства. Их определяют процентным отношением сумм изменений норм и отклонений от норм к суммам по нормам в разрезе статей калькуляции. Сводный учет затрат на производство ведется в ведомости сводного учета затрат. Поскольку объектами калькуляции могут быть отдельные виды или группы однородных изделий, аналитические счета в ведомости открывают для учета затрат по изготовлению одного или нескольких видов однородной продукции. При учете затрат на производство одного вида изделий расчет по нормам за отчетный месяц (период) нормативной себестоимости выпуска в ведомости учета производства получают путем умножения норматива по каждой статье расхода на количество фактически выпущенной продукции. При групповом учете затрат на производство однородной продукции для определения нормативной стоимости выпущенной продукции, входящей в группу, и итог из этой сводки записывают в ведомость учета производства по статьям калькуляции. Фактическую себестоимость единицы продукции исчисляют в ведомости расчета себестоимости единицы продукции, в которую записывают из нормативной калькуляции нормативы по статьям затрат, а сумму изменений норм и отклонений от норм определяют на основании индексов, указанных в ведомости учета производства. На предприятиях швейной, обувной, трикотажной, резиновой и других отраслей промышленности, в которых плановые нормы близки к действующим, для исчисления себестоимости продукции вместо нормативных могут быть применены плановые калькуляции. При составлении нормативных, плановых и отчетных калькуляций необходимо применять единую номенклатуру статей расходов. Фактическая себестоимость продукции исчисляется путем прибавления к нормативной себестоимости или вычета из нее выявленных в отчетном месяце отклонений от норм и изменений норм. 1.4 Калькуляция себестоимостиЗадача калькулирования - определить издержки, которые приходятся на единицу их носителя, т.е. на единицу продукции (работ, услуг), предназначенной для реализации, а также для внутреннего потребления. В зависимости от целей калькулирования различают плановую, сметную и фактическую калькуляции. Все они отражают расходы на производство и реализацию единицы конкретного вида продукции в разрезе калькуляционных статей. Плановая калькуляция составляется на плановый период на основе действующих на начало этого периода норм и смет. Сметная калькуляция рассчитывается при проектировании новых производств и конструировании вновь осваиваемых изделий при отсутствии норм расхода. Фактическая (отчетная) калькуляция отражает совокупность всех затрат на производство и реализацию продукции. Она используется для контроля за выполнением плановых заданий по снижению себестоимости различных видов продукции, а также для анализа и динамики себестоимости. Калькулирование позволяет изучить себестоимость полученных в процессе производства конкретных продуктов. Роль калькулирования себестоимости продукции в управлении производством. Предпосылкой калькулирования является учет производственных издержек (производственный учет). Он первичен по отношения к калькулированию. Производственный учет предполагает сбор информации об издержках предприятия, документальное оформление хозяйственных операций, так или иначе связанных с производственными затратами. В системе производственного учета такая информация обобщается, группируется по различным признакам и анализируется. Лишь на базе информации, подготовленной определенным образом в системе производственного учета, возможно калькулирование. Другими словами, речь идет о калькуляционном учете, обеспечивающем группировку издержек в таком аналитическом аспекте, который делает возможным процесс калькулирования. Между калькулированием и производственным учетом существует тесная взаимосвязь и взаимозависимость. Так, базой для расчета себестоимости единицы продукции является информация, собранная в системе производственного учета. Калькулирование себестоимости конечного продукта предопределяется системой и организацией производственного учета. С другой стороны, степень детализации производственного учета зависит от задач, стоящих перед предприятием в области калькулирования. Калькулирование себестоимости продукции (работ, услуг) условно можно подразделить на три этапа. На первом этапе исчисляется себестоимость всей выпущенной продукции в целом, на втором - фактическая себестоимость по каждому виду продукции, на третьем - себестоимость единицы продукции, выпущенной работы или оказанной услуги. В действительности процесс калькулирования является более сложным и чередуется с процессом учета затрат. После распределения первичных затрат калькулируется себестоимость продукции вспомогательных производств. На этом этапе калькулирование усложняется, так как необходимо учесть предоставление взаимных услуг. Калькулирование себестоимости продукции является объективно необходимым процессом при управлении производством. Функционировавшие ранее калькуляционные системы преследовали одну цель - оценить запасы готовой продукции и полуфабрикатов собственного производства. Что необходимо для внутрипроизводственных целей и для составления внешней отчетности, а также для определения прибыли. Несмотря на важность этой задачи, прежние системы калькулирования не содержали информации, пригодной для решения многих управленческих задач. Современные системы калькулирования более сбалансированы. Содержащаяся в них информация позволяет не только решать традиционные задачи, но и прогнозировать экономические последствия таких ситуаций, как: 1. целесообразность дальнейшего выпуска продукции; 2. установление оптимальной цены на продукцию; 3. оптимизация ассортимента выпускаемой продукции; 4. целесообразность обновления действующей технологии и станочного парка; 5. оценка качества работы управленческого персонала. Современное калькулирование лежит в основе оценки выполнения принятого предприятием или центром ответственности плана. Оно необходимо для анализа причин отклонений от плановых заданий по себестоимости. Данные фактических калькуляций используются для последующего планирования себестоимости, для обоснования экономической эффективности внедрения новой техники, выбора современных технологических процессов, проведения мероприятий по повышению качества продукции, проверки проектов строительства реконструкции предприятий. По результатам калькулирования можно принять решение о проведении ремонта самостоятельно или с использованием услуг сторонних организаций. Наконец, калькулирование является основой трансфертного ценообразования. Трансфертная (внутренняя) цена применяется при коммерческих операциях между подразделениями одного и того же предприятия. Наибольшую актуальность вопросы формирования трансфертных цен имеют при наличии права у подразделения предприятия самостоятельно выходить на внешних покупателей. В этом случае от правильного формирования трансфертной цены будет зависеть общее финансовое положение организации. Если же продукция подразделения полностью потребляется внутри предприятия, то трансфертная цена является лишь учетной категорией, необходимой для обеспечения хозяйственных связей между внутренними подразделениями предприятия, но при этом она не влияет на конечные результаты организации. Таким образом, производственный учет и калькулирование являются основными элементами системы управления не только себестоимостью продукции, но и производством в целом. Принципы калькулирования и его объект. Калькулирование на любом предприятии, независимо от его вида деятельности, размера и формы собственности, организуется в соответствии с определенными принципами: 1. Научно обоснованная классификация затрат на производство. Для отдельных отраслей промышленности, а также ряда отраслей сферы материального производства с учетом их особенностей разработаны и утверждены специальные отраслевые рекомендации по планированию и учету себестоимости. 2. Установление объектов учета затрат, объектов калькулирования и калькуляционных единиц. Во многих случаях объекты учета затрат и объекты учета калькулирования не совпадают. Объектами учета затрат являются места их возникновения, виды или группы однородных продуктов. Местом возникновения затрат в управленческом учете называют структурные единицы и подразделения предприятия, в которых происходит первоначальное потребление производственных ресурсов (рабочие места, бригады, цехи и т.п.). Под объектом калькулирования (носителем затрат) понимают виды продукции (работ, услуг) предприятия, предназначенные для реализации на рынке. В добывающих отраслях промышленности при отсутствии незавершенного производства (например, в энергетической, газовой, нефтяной и т.д.) объект учета затрат совпадает с объектом калькулирования (носителем затрат). То же наблюдается на предприятиях с индивидуальным характером производства (например, предприятия тяжелого машиностроения), а также в организациях, работающих по системе заказов (предприятия бытового обслуживания, ремонтные мастерские, аудиторские фирмы и т.д.). В тех производствах, где технологический процесс делится на ряд стадий (переделов), такого соответствия не наблюдается. Например, в текстильной отрасли объектами учета затрат становятся отдельные переделы - прядение, ткачество, отделка, а объектом калькулирования - готовая продукция, т.е. ткань. Другими словами, выбор объекта учета затрат зависит от технологических особенностей производства, специфики производимой продукции. Выбор калькуляционной единицы зависит от особенностей производства и выпускаемой продукции (оказываемых услуг, выполняемых работ). Могут использоваться натуральные единицы (штуки, тонны, метры и т.д.); условно-натуральные единицы (например, в обувной промышленности - 100 пар обуви определенного типа, в литейном производстве - тонна литья определенного вида, в консервной промышленности - условные банки); единицы времени (часы, машино-часы, человеко-дни); единицы работы - одна тонна перевезенного груза. Из этого множества калькуляционных единиц для калькулирования используется один измеритель, который рассматривается как основной. Условно-натуральные единицы могут применяться при калькулировании промежуточных продуктов. 3. Выбор метода распределения косвенных расходов чрезвычайно важен для правильного расчета себестоимости единицы продукции (работ, услуг). Он производится предприятием самостоятельно, записывается в учетной политике и является неизменным в течение всего финансового года. 4. Разграничение затрат по периодам. При этом необходимо руководствоваться принципом начисления. Его сущность состоит в том, что операции отражаются в бухгалтерском учете в момент их совершения и не увязываются с денежными потоками. Доходы и расходы, полученные (понесенные) в отчетном периоде, считаются доходами и расходами этого периода независимо от фактического времени поступления (или выплаты) денежных средств. Доходы и расходы, не относящиеся к отчетному периоду, не относящиеся к отчетному периоду, не признаются доходами (расходами) поступили или перечислены в данном периоде. 5. Раздельный учет по текущим затратам на производство и по капитальным вложениям. 6. Выбор метода учета затрат и калькулирования. 1.5 Примеры расчетаВ первом квартале предприятие приобрело материалы (одного наименования) по разным ценам от разных поставщиков:
В январе 330 штук материалов ушло на производство, 200 штук - в феврале. Определить средневзвешенную себестоимость за январь, февраль. Решение: 1. Находим средневзвешенную себестоимость за январь
2. Находим стоимость материалов, ушедших на затраты производства по средневзвешенной себестоимости
3. Остаток на 1.02 по средневзвешенной себестоимости
4. Находим средневзвешенную себестоимость за февраль
5. Стоимость материалов, ушедших на затраты производства в феврале, по средневзвешенной себестоимости
Оценка запасов по методу ФИФО базируется на предположении, что запасы используются в той последовательности, в какой они поступали на предприятие (отражены в бухгалтерском учете), то есть запасы, которые первыми отпускаются в производство (продажу и другое выбытие), оцениваются по себестоимости первых по времени поступления запасов. При этом стоимость остатка запасов на конец отчетного месяца определяется по себестоимости последних по времени поступления запасов, т.е. первое пришло - первое ушло. Используя числовые данные предыдущего примера, определим себестоимость материалов, ушедших на затраты производства. 1. Себестоимость материалов в январе
2. Остаток материалов на 1.02
3. Себестоимость материалов в феврале
4. Остаток материалов на 1.03
Этот метод хорошо применять в тех случаях, когда цены на реализацию изготовленной продукции растут пропорционально росту цены приобретения запасов. Оценка запасов по методу ЛИФО базируется на предложении, что запасы используются в последовательности, являющейся противоположной их поступлению на предприятие (зачислению в бухгалтерском учете), то есть запасы, которые первыми отпускаются в производство (продажу и другое выбытие), оцениваются по себестоимости последних по времени поступления запасов. При этом стоимость остатка запасов на конец отчетного месяца определяется по себестоимости первых по времени получения запасов, т.е., последнее пришло - первое ушло. При оценке выбытия по методу ЛИФО последовательность следующая (данные первого примера) 1. Себестоимость материалов в январе
2. Остаток материалов на 1.02
3. Себестоимость материалов в феврале
4. Остаток материалов на 1.03
Необходимо знать, что использование метода ЛИФО, предусматривает в конце года при составлении финансовой отчетности в Примечаниях к ней давать следующую информацию: методы оценки запасов. Оценка по нормативным расходам заключается в применении норм расходов на единицу продукции (работ, услуг), установленных предприятием с учетом нормальных уровней использования запасов, труда, производственных мощностей и действующих цен. Для обеспечения максимального приближения нормативных расходов к фактическим нормы расходов и цены должны регулярно в нормативной базе проверяться и пересматриваться. При выборе этого метода возникает немало вопросов, на которые стандарт П (с) БУ 9 не дает ответы. В частности, нормы расходования определяется по стоимости или по физическому объему? Если буквально исходить из определения этого метода, то по физическому объему. А если это так, то стоимостное отражение этой нормы расходования будет очевидно определятся по любому из методов оценки запасов, принятому на предприятии. В любом случае не мешало бы это отразить более подробно в стандарте. Оценка по ценам продажи основана на применении предприятиями только розничной торговли среднего процента торговой наценки товаров. Он определяется:
Сумма торговой наценки на реализованные товары находится как произведение продажной стоимости реализованных товаров и среднего процента торговой наценки. Себестоимость реализованных товаров равна разности между продажной стоимостью товаров и суммой торговой наценки на данные товары. Предложенные методы определения себестоимости выбывших (израсходованных) запасов можно использовать и в сфере производства, и в торговле (за исключением нормативного метода, который можно применить только в промышленности, и метода цены продаж, применяемого только в розничной торговле). Метод оценки выбытия запасов необходимо отразить в примечаниях к финансовой отчетности как учетную политику, выбранную предприятием. На основании всего вышеизложенного можно сделать вывод: Правильная оценка запасов при оприходовании и выбор метода оценки при выбытии имеют большое значение, так как влияют не только на результаты деятельности по данным бухучета, но и на объемы налогооблагаемой прибыли. Согласно Закону Украины "О налогообложении прибыли предприятий" (п.5.9) корректировка валовых затрат, то есть увеличение и уменьшение, осуществляется по данным бухгалтерского учета об остатках запасов на складах, в незавершенном производстве и готовой продукции. Следовательно, данные эти будут тщательно проверяться в процессе проверок сотрудниками налоговой службы. Следует обратить внимание на то, что согласно П (с) БУ 9 первоначальная стоимость запасов не изменяется кроме случаев: снизилась цена; испорчены; устарели; утратили первоначальную ожидаемую экономическую выгоду. В этом случае запасы на дату баланса отражаются в бухгалтерском учете по наименьшей из двух оценок: по первоначальной стоимости или по чистой стоимости реализации. Определение термина "дата баланса" дано в П (с) БУ 6 - это дата, на которую составлен баланс предприятия. Обычно датой баланса является конец последнего дня отчетного периода. ВыводСвоевременное получение полной информации о себестоимости выпускаемой продукции является необходимым условием эффективного управления предприятием. Понимая то, насколько важна эта информация для принятия экономически обоснованных управленческих решений, руководители компаний неминуемо сталкиваются с поиском надежного и простого инструмента, обеспечивающего ее получение. Одна из серьезных проблем руководителей предприятия сегодня - невозможность принятия управленческих решений на основании бухгалтерской информации, так как предложенные Минфином РФ методы классификации учета затрат, в рамках которых формируется информационная база для менеджеров российских фирм, не позволяют правильно и полноценно ее использовать для анализа и прогнозирования. Поэтому для финансово-экономического управления предприятием необходима разработка системы методов и рекомендаций по формированию более точной информации в российских условиях. Финансовый результат деятельности предприятия в свою очередь во многом зависит от правильно выбранной стратегии управления себестоимостью. Модели, основанные на изучении взаимоотношения затрат, объема производства и прибыли, дают возможность руководителям предприятия планировать и прогнозировать деятельность фирмы. При рассмотрении экономического аспекта себестоимости следует руководствоваться содержанием актов, входящих в систему нормативного регулирования бухгалтерского учета. Учитывая комплексный характер данного понятия, оно явно или косвенно присутствует почти во всех документах. В последние годы вследствие усиления конкуренции, усложнения производственных процессов, необходимости приспосабливаться к постоянно меняющимся реалиям рынка все более актуальным для предприятий становится получение информации для эффективного управления ими. Так как финансовый учет практически не затрагивает внутрипроизводственные процессы, возрастает потребность в управленческой информации, основу которой составляют данные, получаемые в процессе учета, оценки и контроля затрат и выручки, связанных с процессом производства и реализации продукции. В этой связи большое значение приобретает выбор того или иного метода учета затрат и калькулирования себестоимости продукции. Каждое предприятие в зависимости от специфики ее деятельности выбирает свой метод калькулирования себестоимости продукции. Правильно исчисленная себестоимость продукции является основой для правильного принятия управленческого решения. Себестоимость - это показатель, характеризующий качественную сторону всей производственной и хозяйственной деятельности предприятия. Литература1. Положение по бухгалтерскому учету Расходы организации ПБУ 10/99. Приказ Министерства Финансов РФ №33н от 06.05.99. - [Электронный ресурс - Гaрант CD-rom]. 2. Агапова, Т.А. Макроэкономика: Учебник/ Т.А. Агапова; Под ред. А.В. Сидоровича. - 2-е изд. - М.: МГУ им. М.В. Ломоносова, Дело и сервис, 2009. - 416 с. 3. Адамов, В.Е., Экономика и статистика фирм / В.Е. Адамов, С.Д. Ильенкова. - М.: Финансы и статистика, 2007. - 184 с. 4. Анализ хозяйственной деятельности в промышленности: Учебник / Л.А. Богдановская, Г.Г. Виногоров, О.Ф. Мигун и др.; Под общ. ред.В.И. Стражева. - Минск: Выс. шк., 2009. - 363 с. 5. Баканов, М.И. Теория экономического анализа: Учебник / М.И. Баканов, А.Д. Шеремет; - 4-е изд., доп. и перераб. - М.: Финансы и статистика, 2010. - 416с.: ил. 6. Богатко, А.Н. Основы экономического анализа хозяйствующего субъекта / А.Н. Богатко. - М.: Финансы и статистика, 2010. - 208 с.: ил. 7. Булатов, А.С. Экономика: Учебник / Под ред.А.С. Булатова. - 2-е изд., перераб. и доп. - М.: Издательство БЕК, 2009. - 816 с. 8. Рафикова, Н., Влияние цен на себестоимость продукции/ Н. Рафикова. // Экономист. - 2010г. - №8. - с.90-94. 9. Савицкая, Г.В. Анализ хозяйственной деятельности предприятий: Учебное пособие/ Г.В. Савицкая. - 2-е изд., перераб., доп. - М.: Минск: ИП "Экоперспектива", 2010. - 498 с.: ил. 10. Сенчагов, В.К. Финансы, денежное обращение и кредит / Под ред.В.К. Сенчагова, А.И. Архипова. - М.: Проспект, 2010. - 496 с. 11. Шеремет, А.Д., Сайфулин Р.С. Методика финансового анализа/ А.Д. Шеремет, Р.С. Сайфулин. - М.: Инфра-М, 2010 - 232с. 12. Широбоков, В.Г. Формирование себестоимости и доходов в системе управленческого учета/ В.Г. Шробоков. // Экономика перерабатывающих предприятий. 2010. - №7 - с.25-27. |



