Курсовая работа: Двоичный циклический код Хэмминга
|
Название: Двоичный циклический код Хэмминга Раздел: Рефераты по коммуникации и связи Тип: курсовая работа | |||||||||||||||||||
Российский Государственный Социальный Университет Факультет Социальных информационных технологий Кафедра Информационной безопасности Курсовая работа по дисциплине Системы и сети связи Москва – 2006 Задание 1Для системы связи (СС) с переспросом с ожиданием ответа одностороннего действия (рис. 1) при заданных исходных данных: 1. Найти двоичный циклический (n,k)-код Хэмминга, который обеспечивает передачу сообщений в СС с вероятностью выдачи ложного сообщения Рлс( n , k ) < Pдоп при следующих условиях: ¾ прямой дискретный канал в СС является двоичным симметричным каналом (ДСК) с постоянными параметрами; ¾ обратный непрерывный канал – без помех; ¾ код используется только для обнаружения ошибок; ¾ найденный значения n и k должны обеспечивать минимум разности Pдоп -Рлс( n , k ) для возможных значений n и k. 2. Отложить в координатных осях вычисленные значения Рлс( n , k ) для всех исследованных пар (n,k). В этих же осях прямой линией изобразить заданное значение Pдоп . Исходные данные для курсовой работы (вариант №22):
Рисунок 1. Структурная схема СС с переспросом с ожиданием ответа одностороннего действия Описание работы СС с переспросом с ожиданием ответа одностороннего действия (рис. 1):Информационная последовательность отдельными комбинациями не корректирующего кода через первое положение ключа направляется в кодер и в ЗУ передатчика. На выходе кодера образуется комбинация корректирующего кода, которая поступает в модулятор прямого канала. В прямом канале возможно искажение сигнала. На приемной стороне решение о принятом символе принимается демодулятором с так называемой зоной ненадежности. Принцип его работы можно понять из рисунка.
Пусть символ «1» передается по каналу связи импульсом положительной полярности с амплитудой U, а «0» импульсом отрицательной полярности с той же амплитудой. В демодуляторе выделена некоторая зона +V –V, если принимаемый импульс попадает в эту зону (зона ненадежности), то демодулятор считает, что он не может принять надежного решения, о том, какой символ передавался. В этом случае, демодулятор выдает символ ненадежности Z. С выхода демодулятора комбинации поступают на вход декодера. После поступления всей комбинации с выхода декодера в обратный канал направляется одна из двух команд: ¾ «переспрос», если содержатся ошибки в принятой комбинации, и одновременно кодовое слово с символами Z стирается; ¾ «продолжение», если не обнаружено ошибок, и комбинация не корректирующего кода направляется к получателю. Если различитель команд получает команду «продолжения», то из ЗУ передатчика в прямой канал направляется следующая порция* информации. Если различитель команд получает команду «переспрос», то он переключает ключ в положение 2 и из ЗУ передатчика в прямой канал повторно направляется комбинация, которая была стерта. После выдачи в прямой канал из ЗУ передатчика очередной порции информации, следующая порция не передаётся до тех пор, пока не будет получен ответ по этой порции. Порядок расчета Рлс и пример расчета Рлс для циклического ( n , k )–кода Хэмминга, обеспечивающего минимум разности Рдоп – Рлс( n , k ) :Произведем расчет для (18,13)-кода с d=3. Для этого введем обозначения: · Pбо – вероятность появления на выходе ДСК комбинации (n,k)-кода без ошибок при однократной передаче; · Роо – вероятность появления на выходе ДСК комбинации (n,k)-кода с обнаруживаемыми ошибками при однократной передаче; · Рно – вероятность появления на выходе ДСК комбинации (n,k)-кода с необнаруживаемыми ошибками при однократной передаче; · Рi £ v о – вероятность появления на выходе ДСК комбинации с ошибками кратности i£v0 ; · Рi > v о – вероятность появления на выходе ДСК комбинации с ошибками кратности i>v0 , которые расположены так, что обнаруживаются кодом; · Рлс – вероятность появления на выходе СС с неограниченным числом переспросов ложного сообщения. Найдем: хэмминг код цикличный программа Pбо = qn , где q=1-p; Рi
£
v
о
= Роо = Рi £ v о + Рi > v о ; Рно £ 1- Pбо - Рi £ v о ; Рлс = Рно /(1- Роо ). Пример: Pбо = qn =0,999418 =0,98925490, где q=1-p=0,9994; Рi
£
v
о
= 18*0,0006*0,98984881+153*0,00000036*0,99044307=0,01074492, где v0 =d-1=2; Роо = Рi £ v о + Рi > v о = 0,01074492; Рно £ 1- Pбо - Рi £ v о =1-0,98925490-0,01074492=0,00000018; Рлс = Рно /(1- Роо )=0,00000018/(1-0,01074492)=0,00000018. Структурная схема алгоритма расчета кода, ее описание
Описание алгоритма: 1) Начало; 2) Объявляем P = 0.0006, Pdop=0.0000002, i=0, k, Pbo, Poo, Pno, Pls, lgPls, h=0, M[61], H[], d=3; 3) Вручную меняем в (по умолчанию d=3); 4) Если d=2, то i=11, иначе переходим к шагу 7; 5) Если i<=31, тоPbo=(1-P)^i, Poo=0, Poo=(C )*(P^1)*(1-P)^(i-1), Pno=1-Pbo-Poo, Pls=Pno/(1-Poo), lgPls=log10(Pls), M[i-11]=(Pdop-Pls), i=i+1, переходим к шагу 5, иначе переходим к шагу 35; 6) Выводим Pbo, Poo, Pno, Pls, lgPls, переходим к шагу 5; 7) Если d=3, то i=11, иначе переходим к шагу 21; 8) Если i<=15, то Pbo=(1-P)^i, Poo=0, k=1, иначе переходим к шагу 14; 9) Выводим Pbo; 10) Если k<=2, то Poo= 11) k=k+1, переходим к шагу 10; 12) Pno=1-Pbo-Poo, Pls=Pno/(1-Poo), lgPls=log10(Pls), M[i+10]=(Pdop-Pls), i=i+1; 13) Выводим Poo, Pno, Pls, lgPls, переходим к шагу 8; 14) i=17; 15) Если i<=31, то Pbo=(1-P)^i, Poo=0, k=1, иначе переходим к шагу 35; 16) Выводим Pbo; 17) Если k<=2, то Poo= 18) k=k+1, переходим к шагу 17; 19) Pno=1-Pbo-Poo, Pls=Pno/(1-Poo), lgPls=log10(Pls), M[i+10]=(Pdop-Pls), i=i+1; 20) Выводим Poo, Pno, Pls, lgPls, переходим к шагу 15; 21) Если d=4, то i=11, иначе переходим к шагу 35; 22) Если i<=15, то Pbo=(1-P)^i, Poo=0, k=1, иначе переходим к шагу 28; 23) Выводим Pbo; 24) Если k<=3, то Poo= 25) k=k+1, переходим к шагу 24; 26) Pno=1-Pbo-Poo, Pls=Pno/(1-Poo), lgPls=log10(Pls), M[i+10]=(Pdop-Pls), i=i+1; 27) Выводим Poo, Pno, Pls, lgPls, переходим к шагу 22; 28) i=17; 29) Если i<=31, то Pbo=(1-P)^i, Poo=0, k=1, иначе переходим к шагу 35; 30) Выводим Pbo; 31) Если k<=3, то Poo= 32) k=k+1, переходим к шагу 31; 33) Pno=1-Pbo-Poo, Pls=Pno/(1-Poo), lgPls=log10(Pls), M[i+10]=(Pdop-Pls), i=i+1; 34) Выводим Poo, Pno, Pls, lgPls, переходим к шагу 29; 35) h=0, i=0; 36) Если i<=60, то переходим к шагу 37, иначе переходим к шагу 38; 37) Если M[i]>0, то h=h+1, i=i+1, иначе i=i+1 и переходим к шагу 36; 38) Выделяем память под массив Н из h элементов. 39) Если i<=60, то переходим к шагу 40, иначе переходим к шагу 41; 40) Если M[i]>0, то H[k]=M[i], k=k+1, i=i+1, иначе i=i+1 и переходим к шагу 39; 41) i=0; 42) Ищем минимальный элемент в массиве Н; 43) Если i<=60, то переходим к шагу 44, иначе переходим к шагу 50; 44) Если M[i]=минимальному элементу, то и переходим к шагу 45, иначе i=i+1 и переходим к шагу 43; 45) Если i>=0 и i<=20, то выводим (i+11,i+10)-код, иначе переходим к шагу 46; 46) Если i>=21 и i<=25, то выводим (i-10,i-14)-код, иначе переходим к шагу 47; 47) Если i>=26 и i<=40, то выводим (i-9,i-14)-код, иначе переходим к шагу 48; 48) Если i>=41 и i<=45, то выводим (i-30,i-35)-код, иначе переходим к шагу 49; 49) Если i>=46 и i<=60, то выводим (i-29,i-35)-код, иначе i=i+1 и переходим к шагу 39; 50) Выводим минимальный элемент из массива Н, как минимум разницы Рдоп -Рлс ; 51) Конец. Распечатка программыПрограмма написана на языке С++. #include <vcl.h> #include <math.h> #include <stdio.h> #include <vector> #include <algorithm> #pragma hdrstop #include "Unit1.h" //--------------------------------------------------------------------------- #pragma package(smart_init) #pragma resource "*.dfm" float P = 0.0006; float Pdop = 0.0000002; using namespace std; float M[61]; vector<float>H; char B[128]; TForm1 *Form1; //--------------------------------------------------------------------------- __fastcall TForm1::TForm1(TComponent* Owner) : TForm(Owner) { } //--------------------------------------------------------------------------- float C(int n,int m) {float c=1.0; for(int i=n;i>=n-m+1;i--)c*=i; for(int i=1;i<=m;i++)c/=i; return (int)c; } void __fastcall TForm1::ComboBox1Select(TObject *Sender) {int i=0, k; double Pbo,Poo,Pno,Pls,lgPls; AnsiString s; ListBox1->Clear(); ListBox2->Clear(); ListBox3->Clear(); ListBox4->Clear(); ListBox5->Clear(); ListBox6->Clear(); ListBox7->Clear(); //d=2 if(ComboBox1->ItemIndex==0) for(i=11;i<=31;i++) {s="("+IntToStr(i)+","+IntToStr(i-1)+")"; ListBox1->Items->Add(s); Pbo=pow(1-P,i); sprintf(B,"%.8f",Pbo); ListBox2->Items->Add(B); Poo=0; Poo=C(i,1)*pow(P,1)*pow(1-P,i-1); sprintf(B,"%.8f",Poo); ListBox3->Items->Add(B); Pno=1-Pbo-Poo; sprintf(B,"%.8f",Pno); ListBox4->Items->Add(B); Pls=Pno/(1-Poo); sprintf(B,"%.8f",Pls); ListBox5->Items->Add(B); lgPls=log10(Pls); sprintf(B,"%.2f",lgPls); ListBox6->Items->Add(B); Series1->AddXY(i,lgPls,s,clRed); M[i-11]=(Pdop-Pls); } //d=3 if(ComboBox1->ItemIndex==1) {for(i=11;i<=15;i++) {s="("+IntToStr(i)+","+IntToStr(i-4)+")"; ListBox1->Items->Add(s); Pbo=pow(1-P,i); sprintf(B,"%.8f",Pbo); ListBox2->Items->Add(B); Poo=0; for(k=1;k<=2;k++) Poo+=C(i,k)*pow(P,k)*pow(1-P,i-k); sprintf(B,"%.8f",Poo); ListBox3->Items->Add(B); Pno=1-Pbo-Poo; sprintf(B,"%.8f",Pno); ListBox4->Items->Add(B); Pls=Pno/(1-Poo); sprintf(B,"%.8f",Pls); ListBox5->Items->Add(B); lgPls=log10(Pls); sprintf(B,"%.2f",lgPls); ListBox6->Items->Add(B); Series2->AddXY(i,lgPls,s,clLime); M[i+10]=(Pdop-Pls); } for(i=17;i<=31;i++) {s="("+IntToStr(i)+","+IntToStr(i-5)+")"; ListBox1->Items->Add(s); Pbo=pow(1-P,i); sprintf(B,"%.8f",Pbo); ListBox2->Items->Add(B); Poo=0; for(k=1;k<=2;k++) Poo+=C(i,k)*pow(P,k)*pow(1-P,i-k); sprintf(B,"%.8f",Poo); ListBox3->Items->Add(B); Pno=1-Pbo-Poo; sprintf(B,"%.8f",Pno); ListBox4->Items->Add(B); Pls=Pno/(1-Poo); sprintf(B,"%.8f",Pls); ListBox5->Items->Add(B); lgPls=log10(Pls); sprintf(B,"%.2f",lgPls); ListBox6->Items->Add(B); Series2->AddXY(i,lgPls,s,clLime); M[i+9]=(Pdop-Pls); } } //d=4 if(ComboBox1->ItemIndex==2) {for(i=11;i<=15;i++) {s="("+IntToStr(i)+","+IntToStr(i-5)+")"; ListBox1->Items->Add(s); Pbo=pow(1-P,i); sprintf(B,"%.8f",Pbo); ListBox2->Items->Add(B); Poo=0; for(k=1;k<=3;k++) Poo+=C(i,k)*pow(P,k)*pow(1-P,i-k); sprintf(B,"%.8f",Poo); ListBox3->Items->Add(B); Pno=1-Pbo-Poo; sprintf(B,"%.8f",Pno); ListBox4->Items->Add(B); Pls=Pno/(1-Poo); sprintf(B,"%.8f",Pls); ListBox5->Items->Add(B); lgPls=log10(Pls); sprintf(B,"%.2f",lgPls); ListBox6->Items->Add(B); Series3->AddXY(i,lgPls,s,clYellow); M[i+30]=(Pdop-Pls); } for(i=17;i<=31;i++) {s="("+IntToStr(i)+","+IntToStr(i-6)+")"; ListBox1->Items->Add(s); Pbo=pow(1-P,i); sprintf(B,"%.8f",Pbo); ListBox2->Items->Add(B); Poo=0; for(k=1;k<=3;k++) Poo+=C(i,k)*pow(P,k)*pow(1-P,i-k); sprintf(B,"%.8f",Poo); ListBox3->Items->Add(B); Pno=1-Pbo-Poo; sprintf(B,"%.8f",Pno); ListBox4->Items->Add(B); Pls=Pno/(1-Poo); sprintf(B,"%.8f",Pls); ListBox5->Items->Add(B); lgPls=log10(Pls); sprintf(B,"%.2f",lgPls); ListBox6->Items->Add(B); Series3->AddXY(i,lgPls,s,clYellow); M[i+29]=(Pdop-Pls); } } int h=0; for (i=0;i<=60;i++) if (M[i]>0) h++; H.resize(h); k=0; for (i=0; i<=60;i++) if (M[i]>0) {H[k]=M[i]; k++;} for (i=0;i<=60;i++) if (M[i]==*min_element(H.begin(),H.end())) {if (i>=0&&i<=20) {s="("+IntToStr(i+11)+","+IntToStr(i+10)+")-кодс d=2"; ListBox7->Items->Add(s);} if (i>=21&&i<=25) {s="("+IntToStr(i-10)+","+IntToStr(i-14)+")-кодс d=3"; ListBox7->Items->Add(s);} if (i>=26&&i<=40) {s="("+IntToStr(i-9)+","+IntToStr(i-14)+")-кодс d=3"; ListBox7->Items->Add(s);} if (i>=41&&i<=45) {s="("+IntToStr(i-30)+","+IntToStr(i-35)+")-кодс d=4"; ListBox7->Items->Add(s);} if (i>=46&&i<=60) {s="("+IntToStr(i-29)+","+IntToStr(i-35)+")-кодс d=4"; ListBox7->Items->Add(s);} } ListBox7->Items->Add(""); ListBox7->Items->Add("Минимальная разность"); sprintf(B,"%.12f",*min_element(H.begin(),H.end())); ListBox7->Items->Add("Рдоп-Рлс"); ListBox7->Items->Add(B); } //--------------------------------------------------------------------------- void __fastcall TForm1::FormCreate(TObject *Sender) {ComboBox1->ItemIndex=1; Series4->AddXY(0,log10(Pdop),"lg Pдоп",clBlack); Series4->AddXY(31.3,log10(Pdop),"lg Pдоп",clBlack); } //--------------------------------------------------------------------------- График найденных значений lg Pлс
Задание 2Построить функциональные схемы кодера и декодера для найденного (n,k)-кода и заданного для него порождающего многочлена g3 (X). При изображении схем кодера и декодера использовать условные изображения элементов:
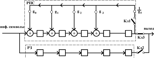
Исходные данные: g3 (x)=x5 +x3 +x2 +x+1; r=5. Функциональная схема кодера для (18,13)-кода
Описание работы схемы: Кодер 1 с последовательным вводом информационных символов (a12 , a11 , …, a1 , a0 ) состоит из регистра проверочных символов (РПС), регистра задержки (РЗ) с 5 элементами памяти и трех ключей. В исходном состоянии в элементах памяти регистров – нули, ключи Кл1 и Кл2 разомкнуты, Кл3 замкнут. При подаче первых 5 импульсов сдвига (ИС) 5 информационных символов, начиная со старшего, вводятся в оба регистра. С окончанием 5-го ИС ключи Кл1 и Кл2 замыкаются, а Кл3 размыкается. В течение последующих k ИС информационные символы выводятся из РЗ, а в РПС образуются 5 проверочных символов. После этого ключи Кл1 и Кл2 размыкаются, а Кл3 замыкается. За последующие 5 импульсов сдвига проверочные символы выдаются на выход кодера, после чего схема возвращается в исходное состояние. Таким образом, первый символ комбинации УЦК появляется на выходе кодера с задержкой на 5 ИС. Функциональная схема декодера для (18,13)-кода
Список использованной литературы1. Хохлов Г.И., Пособие к выполнению лабораторной работы №3 по дисциплине «Системы и сети связи». – М.: 2005. – 18 с. 2. Хохлов Г.И., Пособие по выполнению курсовой работы по дисциплине «Системы и сети связи». – М.: 2005. – 15 с. |


, где v0
=d-1;
=

, иначе переходим к шагу 12;
, иначе переходим к шагу 26;

