Дипломная работа: Повышение эффективности использования заемного капитала (на материалах ТОО "Сельпром")
|
Название: Повышение эффективности использования заемного капитала (на материалах ТОО "Сельпром") Раздел: Рефераты по финансовым наукам Тип: дипломная работа | ||||||||||||||||||||||||||||||||||||||||||||||||||||||||||||||||||||||||||||||||||||||||||||||||||||||||||||||||||||||||||||||||||||||||||||||||||||||||||||||||||||||||||||||||||||||||||||||||||||||||||||||||||||||||||||||||||||||||||||||||||||||||||||||||||||||||||||||||||||||||||||||||||||||||||||||||||||||||||||||||||||||||||||||||||||||||||||||||||||||||||||||||||||||||||||||||||||||||||||||||||||||||||||||||||||||||||||||||||||||||||||||||||||||||||||||||||||||||||||||||||||||||||||||||||||||||||||||||||||||||||||||||||||||||||||||||||||||||||||||||||||||||||||||||||||||||||||||||||||||||||||||||||||||||||||||||||||||||||||||||||||||||||||||||||||||||||||||||||||||||||||||||||||||||||||||||||||||||||||||
Министерство образования и науки Республики Казахстан Карагандинский Университет Бизнеса, Управления и Права Кафедра "Финансы и маркетинг" Дипломная работа "Повышение эффективности использования заемного капитала"(на материалах ТОО "Сельпром") Специальность 120000 "Финансы" Студент гр. Ф-03 Леонова О.Б. Научный руководитель Кочкина Г.А. Караганда 2007 г. СодержаниеВведение 1. Заемный капитал, его необходимость и роль в развитии предприятия 1.1 Экономическая сущность, функции и роль заемного капитала в деятельности предприятия 1.2 Классификация и источники финансирования заемного капитала 1.3 Использование заемного капитала в инвестиционной деятельности предприятия 1.4 Система показателей и методика анализа эффективности использования заемного капитала 2.Анализ эффективности использования заемного капитала ТОО "Сельпром" 2.1 Характеристика финансового состояния предприятия ТОО "Сельпром" 2.2 Анализ состояния и движения заемного капитала 2.3 Анализ эффективности использования заемного капитала ТОО "Сельпром" 3.Разработка рекомендаций по повышению эффективности использования заемного капитала 3.1 Расчет взаимосвязи рычагов операционного и финансового левериджа 3.2 Разработка кредитной политики и ее влияние на эффективность использования заемных средств Заключение Список использованной литературы Приложение 1 – Бухгалтерский баланс за 2004-2006 г.г. Приложение 2 – Отчет о доходах и расходах за 2004-2006г.г. ВведениеРазвитие мировой экономики обусловило имеющееся разнообразие источников, форм и условий привлечения заемного капитала. Предприятие привлекает заемный капитал через государственные структуры и частные финансовые институты, которыми в настоящее время выступают кредитные организации, пенсионные и инвестиционные фонды, страховые компании. Заемный капитал может быть получен у предприятий-партнеров. В последнее время появляются новые инструменты привлечения заемного капитала на финансовом рынке. В условиях современной России, например, активно развивается рынок корпоративных облигаций. Появление новых инструментов привлечения заемного капитала сопровождается формированием соответствующей законодательной базы.В сложившихся условиях предприятия должны с особой тщательностью выбирать инструменты привлечения заемного капитала и их параметры, то есть научиться управлять заемным капиталом для решения поставленных задач. Эффективное управление заемным капиталом в структуре капитала предприятия способно обеспечить дополнительные поступления в его деловой оборот, увеличить рентабельность самого процесса производства, повысить рыночную стоимость предприятия. Эффективное управление заемным капиталом также стимулирует инвестиционную деятельность и выполнение социальных обязательств. Этим и обуславливается актуальность темы дипломной работы.Прежде всего, заемные средства необходимы для финансирования растущих предприятий, когда темпы роста собственных источников отстают от темпов роста предприятия, для модернизации производства, освоения новых видов продукции, расширения своей доли на рынке, приобретения другого бизнеса и т.д. Инфляция и недостаток собственных оборотных средств вынуждают большинство предприятий привлекать заемные средства для финансирования оборотного капитала. Преимуществом финансирования за счет долговых источников является нежелание владельцев увеличивать число акционеров, пайщиков, а также относительно более низкая себестоимость кредита по сравнению со стоимостью акционерного капитала, которая выражается в эффекте финансового рычага.Заемный капитал – это совокупность заемных средств, приносящих предприятию прибыль. Одним из источников формирования заемного капитала является банковский кредит, проблемы привлечения и использования которого будут рассмотрены в данной работе.Заемный капитал характеризует привлекаемые для финансирования развития предприятий на возвратной основе денежные средства или другие имущественные ценности. Все формы заемного капитала, используемого предприятием, представляют собой его финансовые обязательства, подлежащие погашению в предусмотренные сроки.Цель дипломной работы – на основе методики экономического анализа изучить пути повышения эффективности использования заемного капитала. В соответствии с поставленной целью были сформулированы следующие задачи дипломной работы: - изучить понятие и сущность заемного капитала, его необходимость и роль в развитии предприятия; - рассмотреть систему показателей эффективности использования заемного капитала; - выбрать методику и провести анализ эффективности использования заемного капитала предприятия на примере ТОО "Сельпром"; - разработать рекомендации по повышению эффективности использования заемного капитала ТОО "Сельпром". Объектом исследования выбрано предприятие ТОО "Сельпром", осуществляющее свою деятельность в сфере производства, переработки и реализации сельскохозяйственной продукции, хлебобулочных, кондитерских, макаронных изделий. Теоретической и методологической основой послужили научные труды отечественных и зарубежных ученых экономистов и финансистов. 1 .Заемный капитал, его необходимость и роль в развитии предприятия1.1 Экономическая сущность, функции и роль заемного капитала в деятельности предприятияФормирование финансовых ресурсов предприятия осуществляется за счет собственных и заемных средств. К собственным источникам финансовых ресурсов на действующих предприятиях относится прибыль (от основной и других видов деятельности), амортизационные отчисления, выручка от реализации выбывшего имущества. Наряду с ними источниками финансовых ресурсов выступают устойчивые пассивы, которые приравниваются к собственным источникам, так как постоянно находятся в обороте предприятия, используются для финансирования его хозяйственной деятельности, но ему не принадлежат. К ним относится: минимальная переходящая задолженность по заработной плате и отчислениям на социальное страхование, в пенсионный фонд, медицинское страхование, фонд занятости; минимальная задолженность по резервам на покрытие предстоящих расходов и платежей; задолженность заказчикам по авансам и частичной оплате продукции; задолженность бюджету по некоторым видам налогов и др. По мере функционирования предприятия (роста производственной программы, износа основных производственных фондов и т.д.) потребность в денежных средствах возрастает, что требует соответствующего финансирования прироста капитала, поэтому при недостатке собственных средств предприятие может привлекать средства других организаций, которые получили название заемный капитал. Заемный капитал – это часть капитала, используемая хозяйствующим субъектом, которая не принадлежит ему, но привлекается на основе банковского, коммерческого кредита или эмиссионного займа на основе возвратности. Необходимость привлечения заемного капитала должна обосновываться предварительно сделанным расчетом потребности в оборотных средствах. В состав заемных средств входят финансовый кредит, полученный от банковских и небанковских финансово-кредитных учреждений, коммерческий кредит от поставщиков, кредиторская задолженность предприятия, задолженность по эмиссии долговых ценных бумаг и др. В бухгалтерском учете заемные средства и кредиторская задолженность отражаются отдельно. Поэтому в широком смысле возможно выделение заемных средств и в узком смысле – собственно финансового кредита. Разница между заемными средствами в широком и узком смысле представляет собой привлеченные средства. С одной стороны, привлечение заемных средств – это фактор успешного функционирования предприятия, который способствует быстрому преодолению дефицита финансовых ресурсов, свидетельствует о доверии кредиторов и обеспечивает повышение рентабельности собственных средств. С другой стороны, предприятие обременяется финансовыми обязательствами. Одна из главных оценочных характеристик эффективности управленческих финансовых решений – величина и эффективность использования заемных средств. Заемный капитал может использоваться как для формирования долгосрочных финансовых средств в виде основных фондов (капитала), так и для формирования краткосрочных (текущих) финансовых средств для каждого производственного цикла. Заемный капитал - капитал, которым предприятие владеет лишь определенное время, по окончании которого капитал должен быть возвращен его собственнику с оплатой за временное владение. В состав заемного капитала кроме взятых у банка кредитов входят также капитал, привлеченный выпуском ценных бумаг (кроме акций), и арендованные предприятием машины, оборудование, здания. Заемный капитал фирмы представлен следующими основными формами: 1. Долгосрочные финансовые обязательства. К ним относятся все формы привлеченного заемного капитала со сроком его использования более одного года. Основными формами этих обязательств являются долгосрочные кредиты банков и долгосрочные заемные средства (задолженность по налоговому кредиту, задолженность по финансовой помощи, предоставленной на возвратной основе и т.п.), срок погашения которых еще не наступил или не погашенные в предусмотренный срок. 2. Краткосрочные финансовые обязательства. К ним относятся все формы привлеченного заемного капитала со сроком его использования до одного года. Основными формами этих обязательств являются краткосрочные кредиты банков и краткосрочные заемные средства (как предусмотренные к погашению в предстоящем периоде, так и не погашенные в предусмотренный срок), различные формы кредиторской задолженности торгового предприятия (по товарам, работам и услугам; по выданным векселям; по полученным авансам; по расчетам с бюджетом и внебюджетными фондами; по оплате труда; с дочерними предприятиями; с другими кредиторами) и другие краткосрочные финансовые обязательства. Заемный капитал характеризуется следующими положительными особенностями: 1. Достаточно широкими возможностями привлечения, особенно при высоком кредитном рейтинге фирмы, наличии залога или гарантии поручителя. 2. Обеспечением роста финансового потенциала предприятия при необходимости существенного расширения его активов и возрастания темпов роста объема его хозяйственной деятельности. 3. Более низкой стоимостью в сравнении с собственным капиталом за счет обеспечения эффекта "налогового щита" (изъятия затрат по его обслуживанию из налогооблагаемой базы при уплате налога на прибыль). 4. Способностью генерировать прирост финансовой рентабельности (коэффициента рентабельности собственного капитала). В то же время использование заемного капитала имеет следующие недостатки: 1. Использование этого капитала генерирует наиболее опасные финансовые риски в хозяйственной деятельности предприятия - риск снижения финансовой устойчивости и потери платежеспособности. Уровень этих рисков возрастает пропорционально росту удельного веса использования заемного капитала. 2. Активы, сформированные за счет заемного капитала, генерируют меньшую (при прочих равных условиях) норму прибыли, которая снижается на сумму выплачиваемого ссудного процента во всех его формах (процента за банковский кредит; лизинговой ставки; купонного процента по облигациям; вексельного процента за товарный кредит и т.п.). 3. Высокая зависимость стоимости заемного капитала от колебаний конъюнктуры финансового рынка. В ряде случаев при снижении средней ставки ссудного процента на рынке использование ранее полученных кредитов (особенно на долгосрочной основе) становится предприятию невыгодным в связи с наличием более дешевых альтернативных источников кредитных ресурсов. 4. Сложность процедуры привлечения (особенно в больших размерах), так как предоставление кредитных средств зависит от решения других хозяйствующих субъектов (кредиторов), требует в ряде случаев соответствующих сторонних гарантий или залога (при этом гарантии страховых компаний, банков или других хозяйствующих субъектов предоставляются на платной основе). Таким образом, предприятие, использующее заемный капитал, имеет более высокий финансовый потенциал своего развития (за счет формирования дополнительного объема активов) и возможности прироста финансовой рентабельности деятельности. Однако в большей мере генерирует финансовый риск и угрозу банкротства (возрастающие по мере увеличения удельного веса заемных средств в общей сумме используемого капитала). 1.2 Классификация и источники финансирования заемного капиталаЗаёмный капитал – временно находящийся у предприятия и должен быть возвращён заёмщику. К этому капиталу относят: - долги перед учреждениями банков; - долги перед бюджетом; - доги перед персоналом предприятия. Заёмный капитал делят на две группы: - кредиты и займы; - кредиторская задолженность. "Кредит в широком смысле – это система экономических отношений, возникающая при передаче имущества в денежной или натуральной форме от одних организаций или лиц другим на условиях последующего возврата денежных средств или оплаты стоимости переданного имущества и, как правило, с уплатой процентов за временное пользование переданным имуществом"./4/ Кредиты и займы представляют собой заёмный капитал, образующийся перед кредитными учреждениями по полученным ссудам, а также перед другими организациями при выпуске облигационных займов, получении коммерческого кредита, получении кредита в денежной форме. В зависимости от срока различают долгосрочные (свыше одного года) и краткосрочные (до одного года). Кредиторская задолженность представляет собой заёмный капитал, полученный предприятием в виде: - задолженности за товары, услуги перед поставщиками; - задолженности перед бюджетом по начисленным, но неоплаченным налогам; - задолженности перед персоналом предприятия; - задолженности перед внебюджетными социальными фондами (по социальному страхованию и обеспечению); - задолженности по полученным авансам; - задолженности по начисленным учредителям доходам. Заемный капитал, используемый предприятием, характеризует в совокупности объем его финансовых обязательств (общую сумму долга). Эти финансовые обязательства в современной хозяйственной практике дифференцируются следующим образом (рисунок 1)
Рисунок 1. - Формы финансовых обязательств предприятия, отражаемых в его балансе Долгосрочные финансовые обязательства. К ним относятся все формы функционирующего на предприятии заемного капитала со сроком использования более одного года. Основными формами этих обязательств являются долгосрочные кредиты банков и долгосрочные заемные средства, срок погашения которых еще не наступил или не погашенные в предусмотренный срок. Краткосрочные финансовые обязательства. К ним относятся все формы привлеченного заемного капитала со сроком его использования до одного года. В процессе развития предприятия по мере погашения его финансовых обязательств возникает потребность в привлечении новых заемных средств. Источники и формы привлечения заемных средств предприятием весьма разнообразны. Классификация привлекаемых предприятием заемных средств по основным признакам приведена в таблице 1. Таблица 1. - Классификация привлекаемых заемных средств
Как видно из таблицы 1 заемные средства классифицируются по пяти признакам: по целям привлечения, по источникам привлечения, по периоду привлечения и по форме обеспечения. По каждому признаку определяют источники и формы привлечения заемных средств. 1.3 Использование заемного капитала в инвестиционной деятельности предприятияВажным источником финансирования инвестиционной деятельности предприятий является заемный капитал. Среди заемных источников финансирования инвестиционной деятельности главную роль играют кредиты банков. Привлечение кредитов банка зачастую рассматривается как лучший метод внешнего финансирования инвестиций, если предприятие не может удовлетворить свои потребности за счет собственных средств и эмиссии ценных бумаг /13, 85/. Экономический интерес в использовании кредита связан с эффектом финансового рычага. Известно, что предприятия, использующие только собственные средства, ограничивают их рентабельность величиной, равной примерно двум третям экономической рентабельности. Предприятие, использующее заемные средства, может увеличить рентабельность собственных средств в зависимости от соотношения собственных и заемных средств в пассиве баланса и стоимости заемных средств. Инвестиционный кредит выступает как разновидность банковского кредита (как правило, долгосрочного), направленного на инвестиционные цели. Кредит выдается при соблюдении основных принципов кредитования: возвратности, срочности, платности, обеспеченности, целевого использования. Получение долгосрочной банковской ссуды имеет ряд преимуществ перед выпуском облигаций, к ним, в частности, можно отнести: - более гибкую схему финансирования, так как условия предоставления кредита при получении банковской ссуды могут динамично изменяться в соответствии с потребностями заемщика; - возможность выигрыша на разнице процентных ставок; - отсутствие затрат, связанных с регистрацией и размещением ценных бумаг. Кредитный метод инвестирования предполагает наличие взаимосвязи между фактической окупаемостью вложений и возвратом кредита в сроки, определенные договором. Кредит позволяет сразу начать осуществление инвестиционного проекта, так как, по существу, означает перенос оплаты основной суммы долга на определенный срок. Источником возврата инвестиционных кредитов и уплаты процентов по ним должна выступать дополнительная прибыль от кредитуемого мероприятия. Основой кредитных отношений банка с заемщиками при выдаче банковских ссуд является кредитный договор, который регламентирует конкретные условия и порядок предоставления кредита. Как правило, оформление инвестиционных кредитов сопровождается предоставлением технико-экономического обоснования или бизнес-плана. Для получения долгосрочного кредита заемщик должен указать целевое назначение кредита, привести расчеты предполагаемых затрат (смету расходов), ожидаемых доходов клиента от реализации кредитуемого мероприятия, эффективности ссуды и реальных сроков ее окупаемости, предоставить гарантии возврата кредита. В пакете документов должны быть ссылки на договоры, контракты с поставщиками с указанием объемов, стоимости, сроков поставок, а также договоры с покупателями или заявки от покупателей с указанием объемов стоимости и сроков поставок. На основе изучения представленных документов, а также собственной информации о заемщике банк осуществляет анализ его кредитоспособности и платежеспособности, форм обеспечения возвратности кредита и при получении положительных результатов заключает с заемщиком кредитное соглашение (договор). В кредитном договоре отражаются: цель получения ссуды, вид кредита, его срок и размер, величина процентной ставки, вид обеспечения кредита, порядок предоставления и погашения кредита, права, обязанности и ответственность банка и заемщика, дополнительные условия по соглашению кредитора и заемщика. Количественные границы кредита определяются, с одной стороны, заинтересованностью заемщика в использовании кредита, а с другой — наличием возможности у заемщика погасить ссуду и проценты по ней в обусловленные сроки. Процентные ставки по долгосрочным кредитам могут быть фиксированными и плавающими. Фиксированная ставка остается неизменной в течение всего периода ссуды, а плавающая периодически пересматривается в зависимости от условии рынка, изменения официального индекса инфляции и других обстоятельств. Как правило, по мелким ссудам процентная ставка устанавливается на весь срок договора, по крупным ссудам применяется плавающая ставка процента. При определении процентной ставки по долгосрочным кредитам учитывается целый ряд факторов: средневзвешенная стоимость привлечения ресурсов, степень риска, срок погашения ссуды, расходы по оформлению ссуды и контролю за ее погашением (анализ кредитоспособности, периодическая проверка залога и др.), средний уровень процентных ставок на рынке кредитных ресурсов, характер отношений между банком и заемщиком, норма прибыли, которая может быть получена при инвестировании в альтернативные активы. Формы предоставления инвестиционного кредита могут быть различными. Наиболее часто используются: срочные ссуды и возобновляемые ссуды, конвертируемые в срочные, кредитные линии. Важным условием выдачи кредита является его обеспечение. Основными видами обеспечения, применяемыми в банковской практике, выступают: залог, поручительство, гарантия, страхование кредитного риска. Особое место среди залоговых форм финансирования занимают долгосрочные ссуды, выдаваемые под залог недвижимости — ипотечный кредит /15, 402/. Характерными чертами ипотечного кредита являются использование в качестве залога недвижимого имущества и длительный срок ссуды. Ипотечный кредит предоставляется, как правило, банками, специализирующимися на выдаче долгосрочных ссуд под залог недвижимости. К таким банкам относятся ипотечные и земельные банки. В составе их ресурсов важное место занимают средства, формируемые путем выпуска ипотечных облигаций. Система ипотечного кредитования предусматривает механизм накоплений и долгосрочного кредитования под невысокий процент с рассрочкой его выплаты на длительные периоды. Важной составляющей ипотечного кредитования является оценка имущества, предлагаемого в качестве обеспечения. В случае неплатежеспособности заемщика погашение задолженности будет происходить за счет стоимости залога, поэтому точность оценки залога при ипотечном кредитовании имеет особое значение. Оценка недвижимости определяется рядом факторов, основными из которых являются: спрос и предложение на недвижимость, полезность объекта, его территориальное расположение, доход от использования объекта. Инвестиционная деятельность предприятия - важная неотъемлемая часть его общей хозяйственной деятельности. Чтобы предприятие могло успешно функционировать, повышать качество продукции, снижать издержки, расширять производственные мощности, укреплять свои позиции на рынке, оно должно вкладывать капитал и вкладывать выгодно. Капитальные вложения осуществляются за счет различных источников финансирования, которые не исключают друг друга и могут использоваться одновременно. Значительная роль как источника финансирования принадлежит заемным средствам, особенно банковским кредитам. Капитальные вложения состоят из следующих основных элементов: - затрат на строительно-монтажные работы (СМР) – возведение зданий, сооружений, работ по освоению, подготовке и планировке территории застройки, монтаж технологического, операционного оборудования: - затрат на приобретение различных видов машин, механизмов, инструментов и инвентаря. - затрат на НИОКР (научно-исследовательские изобретения и конструкторские разработки): - затрат на проектно-изыскательские работы. Реконструкция и расширение действующих предприятий позволят в более короткие сроки и с меньшими капитальными затратами, чем при новом строительстве, наращивать производственные мощности, сокращать сроки освоения вновь введенных в действие проектных мощностей. Капитальные вложения – это единовременные затраты на новое строительство, реконструкцию, расширение и техническое перевооружение. В качестве заемных источников финансирования инвестиционной деятельности выступают банковский кредит, бюджетный кредит и другие средства. Кредитование представляет собой одну из форм финансового обеспечения предпринимательской деятельности. Оно осуществляется на основе установления финансовых взаимоотношений между фирмой и кредитной организацией путем заключения между ними соответствующих договоров. Основным договором является кредитный договор, который создает юридические предпосылки обеспеченности ссуд, их своевременного возврата и уплаты процентов /10, с.123/. Успешное выполнение плана инвестиций в инновационные и другие проекты во многом зависит от наличия у предприятия источников финансирования. Одновременно с изучением динамики и выполнения плана капитальных вложений нужно проанализировать и выполнение плана по формированию источников их финансирования. Финансирование инновационной и инвестиционной деятельности осуществляется как за счет собственных средств предприятия (прибыли предприятия, амортизационных отчислений, выручки от реализации основных средств, резервного фонда предприятия), так и за счет заемных средств (долгосрочных кредитов банка, займов, лизинга). В связи с переходом к рыночной экономике доля собственных источников финансирования капитальных вложений и доля кредитов банка возрастают. Доля заемных источников финансирования капитальных вложений зависит от следующих факторов: - достаточности собственных средств для обновления и расширения материально-технической базы предприятия; - уровня реальных процентных ставок по долгосрочным кредита банка с учетом инфляционных ожиданий и эффекта финансового рычага; - уровня кредитоемкости предприятия и доступности для него получения долгосрочного кредита; - достигнутого уровня финансового левериджа (соотношения собственного и заемного капитала), определяющего финансовую устойчивость предприятия. Привлечение того или иного источника финансирования инвестиционных проектов связано для предприятия с определенными расходами: выпуск новых акций требует выплаты дивидендов акционерам; выпуск облигаций — выплаты процентов; получение кредита — выплаты процентов по ним; использование лизинга — выплаты вознаграждения лизингодателю и т.д. Лизинг представляет собой один из способов ускоренного обновления основных средств. Он позволяет предприятию получить в свое распоряжение средства производства, не покупая их и не становясь их собственником. Эффективность лизинговых операций изучается у лизингополучателя и лизингодателя. Недостатком лизинга по сравнению с кредитами банка является его более высокая стоимость, так как лизинговые платежи, которые платит предприятие-лизингополучатель лизинговому учреждению, должны покрывать амортизацию имущества, стоимость вложенных денег и вознаграждение за обслуживание покупателя. Преимущества лизинга для арендатора. 1) предприятие-пользователь освобождается от необходимости инвестирования единовременной крупной суммы, а временно высвобожденные суммы денежных средств могут использоваться на пополнение собственного оборотного капитала, что повышает его финансовую устойчивость; 2) деньги, заплаченные за аренду, учитываются как текущие расходы, включаемые в себестоимость продукции, в результате чего на данную сумму уменьшается налогооблагаемая прибыль; 3) предприятие-арендатор вместо обычного гарантийного срока получает гарантийное обслуживание оборудования на весь срок аренды; 4) появляется возможность быстрого наращивания производственной мощности, внедрения достижений научно-технического прогресса, что способствует повышению конкурентоспособности предприятия. Кроме того, лизинг дает предприятию-арендатору определенные нефинансовые преимущества. Для предприятия, использующего быстро устаревающее оборудование, например вычислительную технику, лизинг позволяет застраховаться от его обесценения. Лизинг в качестве альтернативного финансового приема заменяет источники долгосрочного и краткосрочного финансирования. Поэтому преимущества и недостатки лизинговых операций сравнивают в первую очередь с преимуществами и недостатками традиционных источников финансирования инвестиций (долгосрочных и среднесрочных кредитов). 1.4 Система показателей и методика анализа эффективности использования заемного капиталаДля целей оценки управления деятельностью предприятия наука и практика выработали специальные инструменты, называемые финансовыми показателями. Финансовые показатели - это микромодели финансовых и экономических явлений. Отражая динамику и противоречия происходящих процессов, они подвержены изменениям и колебаниям и могут приближаться или отдаляться от своего главного предназначения - измерения и оценки сущности финансового состояния. Поэтому оценка финансового состояния начинается с показателей, отражающих сущность устойчивости финансового состояния. В условиях рыночных отношений деятельность предприятия и его развитие осуществляются преимущественно за счет самофинансирования, т.е., собственного капитала. Лишь при недостаточности собственных финансовых ресурсов привлекаются заемные средства. В этих условиях особое значение приобретает финансовая независимость от внешних заемных источников, хотя обойтись без них практически невозможно. Возникающая в отдельные периоды дополнительная потребность в текущих активах сверх минимальной потребности покрывается краткосрочными кредитами банка и коммерческим кредитом, т.е. за счет заемных средств. Важно установить не только фактический размер собственного капитала, но и определить удельный вес его в общей сумме капитала. Этот показатель в специальной литературе носит различные названия (коэффициент собственности, коэффициент независимости, коэффициент автономии), но суть его одна: по нему судят, насколько предприятие независимо от заемных средств и способно маневрировать собственными средствами. Коэффициент независимости определяется отношением собственного капитала ко всему авансированному капиталу по следующей формуле:
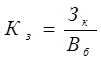
где: Кн - коэффициент независимости /7,117/; Ск — собственный капитал; Вб — авансированный капитал (итог, валюта баланса, т.е. общая сумма финансирования). Рост его свидетельствует об увеличении финансовой независимости предприятия, снижении риска финансовых затруднений в будущих периодах. Достаточно высоким уровнем коэффициента независимости считается отношение собственного капитала к валюте баланса, равное 0,5 — 0,6. В этом случае риск кредиторов сведен к минимуму: продав половину имущества, сформированную за счет собственных средств, предприятие сможет погасить свои долговые обязательства, даже если вторая половина, в которую вложены заемные средства, будет по каким-то причинам обесценена /7,118/. Коэффициент зависимости характеризует долю обязательств предприятия в общей сумме капитала предприятия и рассчитывается по формуле:
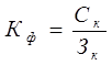
где: Кз - коэффициент зависимости /7,118/; Зк — привлеченный капитал; Вб — авансированный капитал (итог, валюта баланса). Чем выше эта доля, тем больше зависимость предприятия от внешних источников финансирования. Следующим показателем, характеризующим финансовую устойчивость предприятия, является коэффициент финансирования, представляющий собой отношение собственного капитала к привлеченному капиталу, который рассчитывается по формуле/7, 119/:
где: Кф — коэффициент финансирования; Ск — собственный капитал; Зк — заемный (привлеченный) капитал. Чем выше уровень этого коэффициента, тем для банков и инвесторов надежнее финансирование. Коэффициент показывает, какая часть деятельности предприятия финансируется за счет собственных средств, а какая — за счет заемных. Ситуация, при которой величина коэффициента финансирования < 1 (большая часть имущества предприятия сформирована за счет заемных средств), может свидетельствовать об опасности неплатежеспособности и нередко затрудняет получение кредита. На западных предприятиях шире, чем коэффициент финансирования, применяется его обратный показатель — коэффициент соотношения заемных и собственных средств, который определяется отношением привлеченного капитала к собственному капиталу. Данный коэффициент, находится по формуле 4, обратной к формуле 3 /8,с.211/:
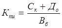
Этот коэффициент указывает, сколько заемных средств привлекло предприятие на один тенге вложенных в активы собственных средств. Одним из важных показателей, характеризующих степень независимости (автономности) предприятия, является коэффициент финансовой устойчивости, или, как его еще называют, коэффициент покрытия инвестиций. Он характеризует долю собственных и долгосрочных заемных средств в общем (авансированном) капитале, т.е. определяется по формуле /8,с.212/:
где: Кпи - коэффициент финансовой устойчивости; До — долгосрочные обязательства (долгосрочные кредиты и займы); Вб – валюта баланса. Это более мягкий показатель по сравнению с коэффициентом автономии. В западной практике принято считать, что нормальное значение коэффициента равно около 0,9, критическим считается его снижение до 0,75. Финансовое состояние предприятия, его устойчивость во многом зависит от оптимальности структуры источников капитала (соотношения собственных и заемных средств) и от оптимальности структуры активов предприятия и, в первую очередь, от соотношения основного и оборотного капитала. /3,609/ Оборотный капитал образуется как за счет собственного капитала, так и за счет краткосрочных заемных средств. Желательно, чтобы он был наполовину сформирован за счет собственного, а наполовину — за счет заемного капитала. Тогда обеспечивается гарантия погашения внешнего долга. Собственный капитал в балансе отражается общей суммой в III разделе баланса. Чтобы определить, сколько, собственного капитала используется в обороте, необходимо от общей суммы долгосрочных и краткосрочных обязательств вычесть сумму долгосрочных активов предприятия. Сумму собственного оборотного капитала можно рассчитать и таким образом: из общей суммы текущих активов вычесть сумму краткосрочных обязательств (IV раздел баланса). Разность покажет, какая сумма текущих активов сформирована за счет собственного капитала, или что останется в обороте предприятия, если погасить одновременно всю краткосрочную задолженность кредиторам. Рассчитывается также структура распределения собственного капитала, а именно доля собственного оборотного капитала и доля собственного основного капитала в общей его сумме. При этом используется коэффициент маневренности капитала, который рассчитывается по следующей формуле:
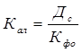
где: Кмк – коэффициент маневренности капитала/3,609/; Сок – собственный оборотный капитал; Ск – совокупный собственный капитал. Коэффициент маневренности капитала показывает, какая часть собственного капитала находится в обороте, т.е. в той форме, которая позволяет свободно маневрировать этими средствами. Коэффициент должен быть достаточно высоким, чтобы обеспечить гибкость в использовании собственных средств предприятия. Сигнальным показателем, в котором проявляется финансовое состояние, выступает платежеспособность предприятия, под которой подразумевают его способность вовремя удовлетворять платежные требования поставщиков техники и материалов в соответствии с хозяйственными договорами, возвращать кредиты, производить оплату труда персонала, вносить платежи в бюджет. Оценка платежеспособности по балансу осуществляется на основе характеристики ликвидности оборотных активов, которая определяется временем, необходимым для превращения их в денежные средства. Чем меньше требуется времени для инкассации данного актива, тем выше его ликвидность. Ликвидность баланса — возможность субъекта хозяйствования обратить активы в наличность и погасить свои платежные обязательства, а точнее — это степень покрытия долговых обязательств предприятия его активами, срок превращения которых в денежную наличность соответствует сроку погашения денежных обязательств. Ликвидность предприятия — это более общее понятие, чем ликвидность баланса. Ликвидность баланса предполагает взыскание платежных средств только за счет внутренних источников (реализация активов). Но предприятие может привлечь заемные средства со стороны, если у него имеется соответствующий имидж в деловом мире и достаточно высокий уровень инвестиционной привлекательности. Для оценки ликвидности и платежеспособности используют относительные показатели (коэффициенты ликвидности). Коэффициенты ликвидности (коэффициент абсолютной ликвидности, коэффициент текущей ликвидности, коэффициент быстрой ликвидности) - показатели относительные и на протяжении некоторого времени не изменяются, если пропорционально возрастают числитель и знаменатель дроби. Само же финансовое положение за это время может существенно измениться, например, уменьшится чистый доход, уровень рентабельности, коэффициент оборачиваемости и др. Коэффициент абсолютной ликвидности показывает, какая часть краткосрочных обязательств может быть погашена за счет имеющейся денежной наличности. Чем выше эта величина, тем больше гарантия погашения долгов /10, c.6/. Коэффициент абсолютной ликвидности определяется по следующей формуле:
где: Кал – коэффициент абсолютной ликвидности; Дс – денежные средства; Кфв – краткосрочные финансовые обязательства. Коэффициент быстрой ликвидности определяется по следующей формуле:
где: Кбл – коэффициент быстрой ликвидности; Дс – денежные средства; Кдз – краткосрочная дебиторская задолженность; Кфв – краткосрочные финансовые вложения; Кфо – краткосрочные финансовые обязательства. Удовлетворительным обычно считается значение данного показателя 0,7-1. Коэффициент текущей ликвидности (общий коэффициент покрытия) показывает степень покрытия текущими активами краткосрочных обязательств. Удовлетворительным считается коэффициент со значением больше 2,0 /10, c.6/.
где: Ктл – коэффициент текущей ликвидности; Та – текущие активы; Ко – краткосрочные обязательства. В качестве конкретных цифровых показателей деловой активности предприятия принято рассматривать различные финансовые коэффициенты оборачиваемости оборотных средств, позволяющие определить, насколько эффективно предприятие использует свои ресурсы. Под оборачиваемостью оборотных средств понимается длительность одного полного кругооборота средств с момента превращения оборотных средств в денежной форме в производственные запасы и до выхода готовой продукции и ее реализации. Кругооборот средств завершается зачислением дохода на счет предприятия. Оборачиваемость оборотных средств неодинакова на предприятиях как одной, так и различных отраслей экономики, что зависит от организации производства и сбыта продукции, размещения оборотных средств и других факторов. Коэффициенты оборачиваемости рассчитываются как отношение дохода от реализации продукции (работ, услуг) к среднегодовой сумме отдельных элементов капитала или активов, скорость оборота которых изучается. Скорость оборота активов предприятия принято рассчитывать с помощью формулы:
где: Ко а – коэффициент оборачиваемости активов предприятия) /4,с.195/; ВРП – доход от реализации продукции (работ, услуг); СВА – средняя величина активов предприятия. Соответственно, оборачиваемость текущих активов будет определяться как:
где: Ко Та – коэффициент оборачиваемости текущих активов предприятия; ВРП – доход от реализации продукции (работ, услуг); СВТА – средняя величина текущих активов предприятия. Средняя величина активов по данным баланса определяется по формуле:
где: Он, Ок – величина активов на начало и на конец периода /4,с.196/. Продолжительность одного оборота в днях определяется по формуле:
где: До – продолжительность одного оборота в днях; Ко Та – коэффициент оборачиваемости текущих активов предприятия; Коэффициент привлечения (высвобождения) оборотного капитала в связи с замедлением (ускорением) оборачиваемости текущих активов рассчитывается по формуле:
где: КО п(в) – коэффициент привлечения высвобождения оборотных средств; ВРП – доход от реализации продукции (работ, услуг) /4,с.196/. Анализ показателей эффективности использования оборотных средств и источников формирования оборотного капитала должен помочь выявить дополнительные резервы и способствовать улучшению основных экономических показателей работы предприятия. Эффективность деятельности любого предприятия может оцениваться с помощью соотношения прибыли и вложенного капитала (собственного, инвестированного, заемного и т.д.). Экономический смысл значений показателей рентабельности состоит в том, что они характеризуют прибыль, получаемую с каждого тенге средств (собственных и заемных), вложенных в предприятие. Существует и используется система показателей эффективности деятельности, среди них коэффициент рентабельности активов имущества:
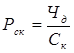
где: Ра – рентабельность активов (имущества) предприятия /11, c.256/; Чд – чистый доход Сва – средняя величина активов предприятия. Этот показатель отражает, какую прибыль (доход) получает предприятие с каждого тенге, вложенного в активы. В аналитических целях определяется как рентабельность всей совокупности активов, так и рентабельность текущих активов.
где: Ра – рентабельность текущих активов (имущества) предприятия; Чд – чистый доход; Свта – средняя величина текущих активов предприятия. Показателем, отражающим эффективность использования средств, инвестированных в предприятие, является рентабельность инвестиций, которая определяется по формуле:
где: Ри – рентабельность инвестиций; Ддн – доход до уплаты налогов; Ко – краткосрочные обязательства предприятия /11, c.257/. Инвесторы капитала (акционеры) вкладывают в предприятие свои средства с целью получения прибыли от этих инвестиций, поэтому, с точки зрения акционеров, наилучшей оценкой результатов хозяйственной деятельности является наличие прибыли на вложенный капитал. Показатель прибыли на вложенный капитал, называемый также рентабельностью собственного капитала, определяется по формуле:
где: Рск – рентабельность собственного капитала; Чд – чистый доход; Ск – собственный капитал предприятия. Другой важный коэффициент рентабельности реализованной продукции, рассчитывается по формуле:
где: Ррп – рентабельность реализованной продукции; Чд – чистый доход; Врп – выручка от реализации продукции. Значение этого коэффициента показывает, какую прибыль имеет предприятие с каждого тенге реализованной продукции. Тенденция к его снижению может быть и "красным флажком" в оценке конкурентоспособности предприятия, поскольку позволяет предположить сокращение спроса на его продукцию /11, c.257/. Иными словами, прибыль предприятия, полученная с каждого тенге средств, вложенных в активы, зависит от скорости оборачиваемости средств и от того, какова доля чистого дохода (прибыли) в выручке от реализации. В общем случае, оборачиваемость активов зависит от объема реализации и средней величины активов. При неудовлетворительной структуре баланса для проверки реальной возможности у предприятия восстановить свою платежеспособность рассчитывается коэффициент восстановления платежеспособности сроком на 6 месяцев /12, c.201/.
где: Кк тл - фактическое значение коэффициента текущей ликвидности на конец отчетного периода; Кн тл – фактическое значение коэффициента текущей ликвидности на начало отчетного периода; Пу – установленный период восстановления платежеспособности в месяцах (6 месяцев); По – отчетный период; Кнорм тл = 2,0. При удовлетворительной структуре баланса для проверки устойчивости финансового состояния рассчитывается коэффициент утраты платежеспособности на срок 3 месяца следующим образом:
где: Пу – установленный период восстановления платежеспособности в месяцах (3 месяца). Значение коэффициента утраты платежеспособности больше 1 означает наличие у предприятия реальной возможности не утратить платежеспособность в течение ближайших трех месяцев. Если коэффициент утраты платежеспособности менее 1, то это свидетельствует о том, что у предприятия в ближайшие 3 месяца имеется возможность утратить платежеспособность, т.е. оно не сможет выполнить обязательства перед кредиторами. После изучения всех показателей финансового состояния предприятия принимается решение о проведении реорганизации, восстановления предприятия или его ликвидации. Степень обеспеченности заемщика собственным капиталом характеризуется показателями финансового левериджа. Варианты расчета коэффициентов могут быть различные, но экономический смысл их один: оценить размер собственного капитала и степень зависимости клиента от привлеченных ресурсов. При расчете коэффициентов финансового левериджа учитываются все долговые обязательства клиента банка независимо от их сроков. Чем выше доля привлеченных средств (краткосрочных и долгосрочных) и меньше доля собственного капитала, тем ниже класс кредитоспособности клиента. Финансовый леверидж характеризует использование предприятием заемных средств, которое влияет на изменение коэффициента рентабельности собственного капитала. Иными словами, финансовый леверидж представляет собой объективный фактор, возникающий с появлением заемных средств в объеме используемого предприятием капитала, позволяющий ему получить дополнительную прибыль на собственный капитал /9, c.129/. Показатель, отражающий уровень дополнительно генерируемой прибыли на собственный капитал при различной доле использования заемных средств, называется эффектом финансового левериджа. Он рассчитывается по следующей формуле: ЭФЛ = (1-СНП )*(КВРА -ПК)*ЗК/СК, (22) где: ЭФЛ — эффект финансового левериджа, заключающийся в приросте коэффициента рентабельности собственного капитала, %; СНП — ставка налога на прибыль, выраженная десятичной дробью; КВРА — коэффициент валовой рентабельности активов (отношение валовой прибыли к средней стоимости активов), %; ПК — средний размер процентов за кредит, уплачиваемых предприятием за использование заемного капитала, %; ЗК — средняя сумма используемого предприятием заемного капитала; СК — средняя сумма собственного капитала предприятия. В данной формуле можно выделить три основные составляющие: 1) Налоговый корректор финансового левериджа (1 — Снп)> который показывает в какой степени проявляется эффект финансового левериджа в связи с различным уровнем налогообложения прибыли. 2) Дифференциал финансового левериджа (КВРа - ПК), который характеризует разницу между коэффициентом валовой рентабельности активов и средним размером процента за кредит. 3) Коэффициент финансового левериджа (ЗК/СК), который характеризует сумму заемного капитала, используемого предприятием, в расчете на единицу собственного капитала. Выделение этих составляющих позволяет целенаправленно управлять эффектом финансового левериджа в процессе финансовой деятельности предприятия. Налоговый корректор финансового левериджа практически не зависит от деятельности предприятия, так как ставка налога на прибыль устанавливается законодательно. Вместе с тем, в процессе управления финансовым левериджем дифференцированный налоговый корректор может быть использован в следующих случаях: а) если по различным видам деятельности предприятия установлены дифференцированные ставки налогообложения прибыли; б) если по отдельным видам деятельности предприятие использует налоговые льготы по прибыли; в) если отдельные дочерние фирмы предприятия осуществляют свою деятельность в свободных экономических зонах своей страны, где действует льготный режим налогообложения прибыли; г) если отдельные дочерние фирмы предприятия осуществляют свою деятельность в государствах с более низким уровнем налогообложения прибыли. В этих случаях, воздействуя на отраслевую или региональную структуру производства (а соответственно и на состав прибыли по уровню ее налогообложения), можно снизив среднюю ставку налогообложения прибыли повысить воздействие налогового корректора финансового левериджа на его эффект (при прочих равных условиях). Дифференциал финансового левериджа является главным условием, формирующим положительный эффект финансового левериджа. Этот эффект проявляется только в том случае, если уровень валовой прибыли, генерируемой активами предприятия, превышает средний размер процента за используемый кредит (включающий не только его прямую ставку, но и другие удельные расходы по его привлечению, страхованию и обслуживанию), т.е. если дифференциал финансового левериджа является положительной величиной. Чем выше положительное значение дифференциала финансового левериджа, тем выше при прочих равных условиях будет его эффект /3, c.185-186/. В связи с высокой динамичностью этого показателя он требует постоянного мониторинга в процесс управления эффектом финансового левериджа. Этот динамизм обусловлен действием ряда факторов. Прежде всего, в период ухудшения конъюнктуры финансового рынка (в первую очередь, сокращения объема предложения на нем свободного капитала) стоимость заемных средств может резко возрасти, превысив уровень валовой прибыли, генерируемой активами предприятия. Кроме того, снижение финансовой устойчивости предприятия в процессе повышения доли используемого заемного капитала приводит к увеличению риска его банкротства, что вынуждает кредиторов увеличивать уровень ставки процента за кредит с учетом включения в нее премии за дополнительный финансовый риск. При определенном уровне этого риска (а соответственно и уровне общей ставки процента за кредит) дифференциал финансового левериджа может быть сведен к нулю (при котором использование заемного капитала не даст прироста рентабельности собственного капитала) и даже иметь отрицательную величину (при которой рентабельность собственного капитала снизится, так как часть чистой прибыли, генерируемой собственным капиталом, будет уходить на обслуживание используемого заемного капитала по высоким ставкам процента). Наконец, в период ухудшения конъюнктуры товарного рынка сокращается объем реализации продукции, а соответственно и размер валовой прибыли предприятия от операционной деятельности. В этих условиях отрицательная величина дифференциала финансового левериджа может формироваться даже при неизменных ставках процента за кредит за счет снижения коэффициента валовой рентабельности активов /6, c.22-26/. Формирование отрицательного значения дифференциала финансового левериджа по любой из вышеперечисленных причин всегда приводит к снижению коэффициента рентабельности собственного капитала. В этом случае использование предприятием заемного капитала дает отрицательный эффект. Коэффициент финансового левериджа является тем рычагом, который мультиплицирует (пропорционально мультипликатору или коэффициенту изменяет) положительный или отрицательный эффект, получаемый за счет соответствующего значения его дифференциала. При положительном значении дифференциала любой прирост коэффициента финансового левериджа будет вызывать еще больший прирост коэффициента рентабельности собственного капитала, а при отрицательном значении дифференциала прирост коэффициента финансового левериджа будет приводить к еще большему темпу снижения коэффициента рентабельности собственного капитала. Иными словами, прирост коэффициента финансового левериджа мультиплицирует еще больший прирост его эффекта (положительного или отрицательного в зависимости от положительной или отрицательной величины дифференциала финансового левериджа). Аналогично снижение коэффициента финансового левериджа будет приводить к обратному результату, снижая в еще большей степени его положительный или отрицательный эффект. Таким образом, при неизменном дифференциале коэффициент финансового левериджа является главным генератором как возрастания суммы и уровня прибыли на собственный капитал, так и финансового риска потери этой прибыли. Аналогичным образом, при неизменном коэффициенте финансового левериджа положительная или отрицательная динамика его дифференциала генерирует как возрастание суммы и уровня прибыли на собственный капитал, так и финансовый риск ее потери /3, c 187-188/. Знание механизма воздействия финансового левериджа на уровень прибыльности собственного капитала и уровень финансового риска позволяет целенаправленно управлять как стоимостью, так и структурой капитала предприятия. Большое влияние на финансовое состояние предприятия оказывают состав и структура заемных средств, т.е. соотношение долгосрочных, среднесрочных и краткосрочных финансовых обязательств. Привлечение заемных средств в оборот предприятия — явление нормальное, содействующее временному улучшению финансового состояния, при условии, что эти средства не замораживаются на продолжительное время в обороте и своевременно возвращаются. В противном случае может возникнуть просроченная кредиторская задолженность, что в конечном итоге приводит к выплате штрафов и ухудшению финансового положения. Поэтому в процессе анализа необходимо изучить состав, давность появления кредиторской задолженности, наличие, частоту причины образования просроченной задолженности поставщиками ресурсов, персоналу предприятия по оплате труда, бюджету, определить сумму выплаченных пеней за просрочку платежей. Одним из показателей, используемых для оценки состояния кредиторской задолженности, является средняя продолжительность периода ее погашения (Пкз), которая рассчитывается следующим образом:
Качество кредиторской задолженности может быть оценено также определением удельного веса в ней расчетов по векселям. Доля кредиторской задолженности, обеспеченная выданными векселями, в общей ее сумме показывает ту часть долговых обязательств несвоевременное погашение которых приведет к протесту векселей, выданных предприятием, а следовательно, к дополнительным расходам и утрате деловой репутации. При анализе долгосрочного заемного капитала, если он имеется на предприятии, интерес представляют сроки востребования долгосрочных кредитов, так как от этого зависит стабильность финансового состояния предприятия. Если они частично погашаются в отчетном году, то эта сумма показывается в составе краткосрочных обязательств. Анализируя кредиторскую задолженность, необходимо учитывать, что она является одновременно источником покрытия дебиторской задолженности. Поэтому надо сравнить сумму дебиторской и кредиторской задолженности. Если дебиторская задолженность превышает кредиторскую, то это свидетельствует об иммобилизации собственного капитала в дебиторскую задолженность. Таким образом, анализ структуры собственных и заемных средств необходим для оценки рациональности формирования источников финансирования деятельности предприятия и его рыночной устойчивости. Это очень важно при определении перспективного варианта организации финансов и выработке финансовой стратегии. Эффективность использования капитала характеризуется его доходностью (рентабельностью) - отношением суммы прибыли к среднегодовой сумме основного и оборотного капитала. Для характеристики интенсивности использования капитала рассчитывается коэффициент его оборачиваемости (отношение выручки от реализации продукции, работ и услуг к среднегодовой стоимости капитала). Обратным показателем коэффициенту оборачиваемости капитала является капиталоемкость (отношение среднегодовой суммы капитала к сумме выручки). Взаимосвязь между показателями рентабельности совокупного капитала и его оборачиваемости выражается следующим образом:
Иными словами, рентабельность активов (ROA) равна произведению рентабельности продаж (Rpn ) и коэффициента оборачиваемости капитала (Коб ): ROA= Коб х Rpn . (25) Эти показатели в зарубежных странах применяются в качестве основных при оценке финансового состояния и деловой активности предприятия. Рентабельность капитала, характеризующая соотношение прибыли и капитала, использованного для получения этой прибыли, является одним из наиболее ценных и наиболее широко используемых показателей эффективности деятельности субъекта хозяйствования. Этот показатель позволяет аналитику сравнить его значение с тем, которое было бы при альтернативном использовании капитала. Он используется для оценки качества и эффективности управления предприятием; оценки способности предприятия получать достаточную прибыль на инвестиции; прогнозирования величины прибыли. Основная концепция расчета рентабельности довольно проста, однако существуют различные точки зрения относительно инвестиционной базы данного показателя. Прибыль на общую сумму активов, по мнению Л.А.Бернстайна, наилучший показатель, отражающий эффективность деятельности предприятия. Он характеризует доходность всех активов, вверенных руководству, независимо от источника их формирования. В ряде случаев при расчете ROA из общей суммы активов исключают непроизводственные активы (избыточные основные средства и запасы, нематериальные активы, расходы будущих периодов и др.). Это исключение делают для того, чтобы не возлагать на руководство ответственность за получение прибыли на активы, которые явно этому не способствуют. Данный подход, как считает Л.А.Бернстайн, полезен при использовании ROA в качестве инструмента внутреннего управления и контроля и не годится для оценки эффективности предприятия в целом. Акционеры и кредиторы вверяют свои средства руководству предприятия не для того, чтобы оно вкладывало их в активы, которые не приносят прибыли. Если же есть причины, чтобы вложить капитал в такие активы, то нет повода исключать их из инвестиционной базы при расчете ROA. Существуют разные мнения и о том, следует ли амортизируемое имущество (основные средства, нематериальные активы, малоценные предметы) включать в инвестиционную базу при расчете ROA по первоначальной или остаточной стоимости? Несомненно, если оценивается эффективность только основного капитала, то среднегодовая сумма амортизируемого имущества должна определяться по первоначальной стоимости. Если же оценивается эффективность всего совокупного капитала, то стоимость амортизируемых активов в расчет надо принимать по остаточной стоимости, так как сумма начисленной амортизации находит отражение по другим статьям баланса (остатки свободной денежной наличности, незавершенного производства, готовой продукции, расчеты с дебиторами по неоплаченной продукции). В качестве инвестиционной базы при расчете рентабельности капитала используют также "Собственный капитал" + "Долгосрочные заемные средства". Она отличается от базы "Общая сумма активов" тем, что из нее исключаются оборотные активы, сформированные за счет краткосрочных заемных средств. Этот показатель характеризует эффективность не всего капитала, а только собственного (акционерного) и долгосрочного заемного капитала. Называют его обычно рентабельностью инвестированного капитала (ROI).При расчете рентабельности капитала в качестве инвестиционной базы может быть использована среднегодовая стоимость собственного (акционерного) капитала. Но в данном случае в расчет берут прибыль за вычетом налогов и процентов по обслуживанию долга, а также дивидендов по привилегированным акциям. Называется этот показатель "Рентабельность собственного капитала'9 (ROE). Сравнение величины данного показателя с величиной рентабельности всего капитала (ROA) показывает влияние заемного капитала на прибыль собственника.Если определяем рентабельность всех активов, то в расчет принимается вся балансовая прибыль, которая включает в себя прибыль от реализации продукции, имущества и внереализационные результаты (доходы от долгосрочных и краткосрочных финансовых вложений, от участия в совместных предприятиях и прочих финансовых операций).Соответственно и выручка при определении оборачиваемости всех активов должна включать в себя не только ее сумму от реализации продукции, но и выручку от реализации имущества, ценных бумаг и т.д.Для расчета рентабельности функционирующего капитала в основной деятельности берется прибыль только от реализации продукции, работ и услуг, а в качестве инвестиционной базы - сумма активов за вычетом долгосрочных и краткосрочных финансовых вложений, неустановленного оборудования, остатков незаконченного капитального строительства и т.д.Рентабельность производственного капитала рассчитывается отношением прибыли от реализации продукции к среднегодовой сумме амортизируемого имущества и материальных текущих активов. При определении уровня рентабельности собственного капитала учитывается чистая прибыль без финансовых расходов по обслуживанию заемного капитала. Рентабельность лизинга — это отношение суммы полученной прибыли к сумме затрат по лизингу. Срок окупаемости лизинга для предприятия-лизингополучателя определяется отношением суммы лизинговых платежей к среднегодовой сумме дополнительной прибыли от применения арендуемых средств. Прирост прибыли за счет использования лизингового оборудования можно определить одним из следующих способов: а) умножением фактической суммы прибыли на удельный вес выпущенной продукции на лизинговом оборудовании; б) умножением затрат по лизингу на фактический уровень рентабельности издержек предприятия; в) умножением снижения себестоимости единицы продукции, произведенной на лизинговом оборудовании, на фактический объем продаж этой продукции. Эффект может быть не только экономический, но и социальный, выражающийся в облегчении и улучшении условий труда работников предприятия.Таким образом, анализ всех рассмотренных выше показателей позволяет выявить, насколько эффективно предприятие использует свои средства. Умение правильно их исчислять, анализировать и определять влияние различных факторов на изменение их уровня позволит полнее выявить резервы повышения эффективности производства, разработать рекомендации по устранению выявленных недостатков, оздоровлению и укреплению его финансового положения. 2 .Анализ эффективности использования заемного капитала ТОО "Сельпром"2.1 Характеристика финансового состояния предприятия ТОО "Сельпром"Основными видами деятельности ТОО "Сельпром": производство и сбыт продовольственных товаров, производство, закуп, переработка и сбыт сельскохозяйственной продукции, коммерческая и посредническая деятельность, снабженческо-сбытовая деятельность. Предварительная оценка финансового положения предприятия осуществляется на основании данных финансовой отчетности. На данной стадии анализа формируется первоначальное представление о деятельности предприятия, выявляются изменения в составе имущества предприятия и их источниках, устанавливаются взаимосвязи между показателями. С этой целью определяем соотношение отдельных статей актива и пассива баланса, их удельный вес в общем итоге или валюте баланса, рассчитываем суммы отклонений в структуре основных статей баланса по сравнению с предшествующим периодом. При этом общая сумма изменения валюты баланса расчленяется на составные части, что позволяет сделать предварительные выводы о характере имевших сдвигов в составе активов, источниках их формирования и их взаимной обусловленности. Так, в процессе предварительного анализа изменения в объеме недвижимого имущества и текущих или оборотных средств рассматриваются в связи с изменениями в обязательствах предприятия. Для удобства проведения такого исследования используем так называемый уплотненный аналитический баланс - нетто, формируемый путем агрегирования однородных по своему составу элементов балансовых статей в необходимых аналитических разрезах такие, как недвижимое имущество, текущие активы и так далее /14, с.68/. На основании этих данных определяется аналитический коэффициент ликвидности и платежеспособности предприятия, характеризующий его финансовое состояние. Термин "ликвидность" означает легкость реализации, продажи и превращения материальных ценностей в денежные средства. Баланс - нетто ТОО "Сельпром" представлен в таблице 2. Таблица 2. – Вертикальный анализ агрегированного баланса ТОО "Сельпром" за период 2004 – 2006г. (тыс.тенге)
За 2004-2006 г. по данным таблицы 2 активы увеличились на 53527 тысяч тенге. Это следствие некоторого увеличения объема текущих активов на 52319 тысяч тенге и увеличения долгосрочных активов на 1200 тыс. тенге. Следует отметить, однако, что в целом структура совокупных активов характеризуется некоторым превышением в их составе доли текущих активов, которая составила на конец 2004 года 82,4 %, а в конце 2006 года – 87,6%. В составе текущих активов при общем увеличении их доли на 5,2% обращает на себя внимание тенденция увеличения дебиторской задолженности, а также уменьшения доли денежных средств на 5,7% и материалов на 5,2%. Также следует отметить, что товары составляют в структуре оборотных средств наибольшую долю, удельный вес которой за 2004 г. составил 59,8%, а за 2006 г. 53,7%. Пассивы отражают источники средств предприятия, состоят из собственного капитала, обязательств. Собственный капитал увеличился с 2004 года по 2006 год на 73291 тыс. тг.. Таким образом, доля собственного капитала в 2006 году увеличилась на 44,3% по отношению к валюте баланса. Структура заемных средств в течение 3 лет претерпела для предприятия некоторые изменения. Так доля текущих обязательств изменилась незначительно с 10% в 2004 г. до 11,3% в 2006 году, то есть на 1,3%. За этот период предприятие уменьшило долю долгосрочных обязательств, а именно займов банков. В 2004 году займы банков составили 84,8%, которые уменьшились на 27265 тыс. тг. и составили 39,2% в 2006 году, изменение составило 45,6%. Таким образом, наблюдается увеличение собственного капитала обязательств одновременно с уменьшением долгосрочных активов. Одним из основных критериев финансового положения предприятия является оценка его платежеспособности, под которой принято понимать способность предприятия рассчитываться по своим долгосрочным обязательствам. Следовательно, платежеспособным является то предприятие, у которого активы больше, чем внешние обязательства. Способность предприятия рассчитывать по своим краткосрочным обязательствам называется ликвидностью. Иначе говоря, предприятие считается ликвидным, если оно в состоянии выполнить свои краткосрочные обязательства, реализуя текущие активы. Одним из способов оценки ликвидности является сопоставление определенных элементов активов и пассивов между собой. С этой целью обязательства предприятия группируются по степени их срочности, а его активы - по степени ликвидности, то есть реализуемости. Проведем анализ изменений в составе имущества и источников его формирования ТОО "Сельпром". Данные поместим в таблице 3. Таблица 3. - Горизонтальный анализ агрегированного баланса ТОО "Сельпром" и источники его формирования за период 2003 - 2005 года (тыс.тенге)
По данным таблицы 3 можно сделать вывод, что значительный объем долгосрочных обязательств ТОО "Сельпром" оказались покрытыми активами с относительно невысокой оборачиваемостью, такие как дебиторская задолженность покупателей, товарно-материальными запасами. Другим показателем, характеризующим ликвидность предприятия, является оборотный капитал, который определяется как разность текущих активов и краткосрочных обязательств. Иными словами, предприятие имеет оборотный капитал до тех пор, пока текущие активы превышают краткосрочные обязательства или пока оно ликвидно. Оборотный капитал определяется разностью между текущими активами и краткосрочными обязательствами. По данным таблицы 3 видно, что оборотный капитал анализируемого предприятия составил: на конец 2004 года: оборотный капитал = 87192-10520=76672, , на конец 2005 года: ОК = 146211 - 11227 = 134984 тыс. тенге, на конец 2006 года 139511- 18021 = 121490 тыс. тенге. За анализируемый период наблюдается рост оборотного капитала. Далее определим, какая часть собственных источников средств вложена в наиболее мобильные активы, то есть которыми можно относительно маневрировать. Для этого рассчитываем коэффициент маневренности, который определяется как отношение оборотного капитала к собственному капиталу по формуле 6. Коэффициент маневренности капитала ТОО "Сельпром" на конец 2004 года составляет 76672/5206 = 14,7, на конец 2005 года 134984/47401= 2,8, на конец 2006 года 121490/78797 = 1,5. Это говорит о достаточности собственных средств предприятия находящихся в мобильной форме. В практике аналитической работы используют систему показателей ликвидности, рассмотренных в первой главе, рассчитываемых по формуле 7,8,9. Данные показатели позволяют определить способность предприятия оплатить свои краткосрочные обязательства в течение отчетного периода. Рассчитаем показатели ликвидности для ТОО "Сельпром". Для расчета используем данные таблицы 2. Рассчитанные показатели ликвидности ТОО "Сельпром" отобразим в таблице 4. Таблица 4. - Показатели ликвидности ТОО "Сельпром" за период 2004-2006 года
На основе таблицы 4, можно увидеть, что по данным ТОО "Сельпром" коэффициент абсолютной ликвидности составляет 0,85 на начало 2005 года, 0,19 на начало 2006 года, а на конец 2006 года 0,25. Так нормативное значение данного показателя составляет 0,2, то предприятие можно считать ликвидным по составлению как на начало 2005 года, так и на конец 2006 года. Коэффициент быстрой ликвидности характеризует, какая часть текущих обязательств может быть погашена не только за счет наличности, но и за счет ожидаемых поступлений за отгруженную продукцию. Нормативное значение данного показателя больше или равно 0,7. Значение показателя у предприятия в 2004-2006 годах выше указанного теоретического значения, что свидетельствует о ликвидности предприятия. Коэффициент текущей ликвидности позволяет установить, в какой степени кратности текущие активы покрывают краткосрочные обязательства. В общем случае нормативными считаются значения этого показателя, находящиеся в пределах от двух до трех. Как видно, данный коэффициент в 2004-2006 также выше рекомендуемых значений, что является результатом высокой доли текущих активов по отношению к валюте баланса как на конец 2004 года, так и на конец 2006 года. К числу основных показателей финансовой устойчивости предприятия относятся: -коэффициент независимости; -коэффициент зависимости; -коэффициент финансовой устойчивости; -коэффициент финансирования. Определим значения всех коэффициентов для ТОО "Сельпром" по состоянию за 2004-2006 г.г.. Рассчитанные коэффициенты отобразим в таблице 5. Таблица 5. - Коэффициенты финансовой устойчивости ТОО "Сельпром" за 2004-2006 г.
По данным таблицы 5 можно сделать следующие выводы: Коэффициент независимости характеризует долю средств, вложенных собственниками в общую стоимость имущества предприятия. Значение данного коэффициента по предприятию повысилось на конец 2006 года. Отклонение составило 0,44%, что положительно характеризует финансовую устойчивость предприятия. Коэффициент независимости составляет лишь 5% валюты баланса. Коэффициент финансовой устойчивости или стабильности, показывает удельный вес тех источников финансирования, которые предприятие может использовать в своей деятельности длительное время. На конец 2006 года коэффициент финансовой устойчивости уменьшается на 2%. Коэффициент финансовой устойчивости свидетельствуют о достаточно высоком значении этого показателя на конец года. Большая часть имущества предприятия на конец года формируется за счет собственных источников. Коэффициент финансирования показывает, какая часть деятельности предприятия финансируется за счет собственных средств, а какая за счет заемных. На конец 2006 года коэффициент финансирования увеличивается на 93%. Значение данного показателя позволяет говорить о достаточно высокой финансовой устойчивости предприятия. Целесообразно рассчитать коэффициент утраты платежеспособности по формуле 21, который анализируют при удовлетворительной структуре баланса для проверки реальной возможности у предприятия утратить свою платежеспособность. Значение коэффициента утраты платежеспособности больше 1 означает наличие у предприятия реальной возможности не утратить платежеспособность в течение трех месяцев. Для ТОО "Сельпром" по данным на 01.01.2006 года коэффициент утраты платежеспособности равен: Куп = (7,7 + 3/12 (7,7 – 13)) / 2 = 3,2 Таким образом, ТОО "Сельпром" в течение 3 месяцев сможет сохранить платежеспособность при сохранении текущих тенденций финансовой деятельности. Финансовое положение предприятия находится в непосредственной зависимости от того, насколько быстро средства, вложенные в активы, превращаются в реальные деньги. Динамику изменения рассчитанных показателей оборачиваемости текущих активов отчетного 2006 года по сравнению с 2004 годом отобразим в таблице 6. Таблица 6. - Динамика показателей оборачиваемости текущих активов ТОО "Сельпром"за 2004-2006 г.
Как видно из таблицы 6, продолжительность оборота текущих активов увеличилась на 10 дней, то есть средства, вложенные в анализируемом периоде в текущие активы, проходят полный цикл и снова принимают денежную форму на 10 дней больше, чем в предыдущем периоде. Исследуем систему показателей эффективности деятельности предприятия. Наиболее интересными показателями являются рентабельность активов, рентабельность текущих активов, рентабельность инвестиций, рентабельность собственного капитала, рентабельность реализованной продукции. Данные показатели рассчитываются по формулам 15-19, описанным в первой главе дипломной работы. Рассчитаем данные показатели для ТОО "Сельпром" за период 2004-2006 года и результаты расчета отобразим в таблице 7. Таблица 7. - Показатели эффективности деятельности ТОО "Сельпром" за 2004-2006 г.
Данные таблицы 7 позволяют составить аналитическое заключение о финансовом состоянии предприятия. В целом, по предприятию "Сельпром" наблюдается некоторое ухудшение в использовании его имущества на конец 2006 года по сравнению с 2004 годом. С каждого тенге средств, вложенных в совокупные активы, предприятие в 2006 году получило прибыли на 0,28. Эффективность использования текущих активов предприятия составила 0,31. В 2006 году рентабельность собственного капитала составила 0,57. Интерес для анализа представляет также показатель рентабельности реализованной продукции. На каждый тенге реализованной продукции предприятие в отчетном году получило 0,02 прибыли. Анализируемое предприятие "Сельпром" для получения чистого дохода в 2006 г. в размере 44813 тысяч тенге при величине выручки от реализации 2046927 тысяч тенге предприятие задействовало в отчетном году текущие активы в размере 142861 тысяч тенге (в среднем). В заключение, по результатам оценки финансового состояния составляется итоговая таблица основных соотношений экономических показателей, характеризующих финансовое положение ТОО "Сельпром" за 2004-2006 гг. Таблица 8. - Сводная оценка финансового состояния ТОО "Сельпром" за 2004-2006 г.
По данным таблицы 8 можно сделать следующие выводы. В структуре источников имущества предприятия собственный капитал в конце 2004 года составлял лишь 5,2 %, но к концу 2006 года его доля выросла и составила 49,5%. Соответственно этому доля заемных средств снизилась с 94,8 % в конце 2004 года до 50,5 % в конце 2006 года. Ликвидность предприятия "Сельпром" характеризуется следующими соотношениями: величина коэффициента текущей ликвидности уменьшается к концу года на 50%; коэффициент срочности понижается на 60%. При этом коэффициенты ликвидности оказались выше рекомендуемых значений. Деловая активность предприятия, т.е. оборачиваемость активов на предприятии характеризуется понижением в сравнении с предыдущим годом: - на 10 дней увеличился период оборота текущих активов, на 10 дней увеличился период оборота совокупных активов. Динамика показателей эффективности деятельности предприятия характеризуется следующим. В 2006 году из-за наличия прибыли (дохода) рентабельность реализованной продукции составила 0,02; собственного капитала 0,57; текущих активов – 0,31; совокупных активов – 0,28. Таким образом, полученные результаты финансового анализа устойчивости, деловой активности и эффективности деятельности предприятия позволяют сделать вывод, что данное предприятие финансово устойчивое. 2.2 Анализ состояния и движения заемного капиталаПроведем анализ состава и структуры привлеченного капитала и данные анализа поместим в таблице 9. Таблица 9. - Состав и структура привлеченного капитала ТОО "Сельпром" за 2006 г.
Из таблицы 9 видно, что привлеченный капитал на начало года составляет 118098 тыс.тенге, на конец года – 80498 тыс.тенге. Привлеченный капитал состоит из долгосрочных займов и кредиторской задолженности, при этом наблюдается уменьшение объема привлеченного капитала на предприятии на конец 2006 года на 37600 тыс.тенге. По данным таблицы 9 в 2006 году происходит уменьшение доли долгосрочных займов в общем объеме привлеченного капитала, изменение составило 12,9%. При этом доля кредиторской задолженности увеличивается на 6794 тыс.тенге, что составляет 12,9%. Проанализируем состояние и движение заемного капитала ТОО "Сельпром", для этого составим таблицу 10. Таблица 10. - Анализ движения заемного капитала ТОО "Сельпром" за 2006 г.(тыс.тенге)
В ТОО "Сельпром" за 2006 год в составе заемного капитала наибольшими темпами увеличилась кредиторская задолженность (60,5%), уменьшились займы и кредиты, но уже наименьшими темпами (41,5%). Коэффициент поступления кредиторской задолженности несколько меньше, чем коэффициент выбытия, это говорит о том, что организация не в состоянии расплачиваться по своим краткосрочным обязательствам во время, что негативно может сказаться на дальнейшем ее развитии. 2.3 Анализ эффективности использования заемного капитала ТОО "Сельпром"Данные для расчета эффекта финансового рычага ТОО "Сельпром" за 2005-2006 года представим в таблице 11. Таблица 11. – Расчет эффекта финансового рычага ТОО "Сельпром"
Рассчитаем эффект финансового рычага с учетом выплаты процентов по кредиту:
где: ROA – экономическая рентабельность совокупного капитала до уплаты налогов (отношение суммы прибыли к среднегодовой сумме всего капитала); Кн – коэффициент налогообложения; СП – ставка ссудного процента, предусмотренного контрактом; ЗК – заемный капитал; СК – собственный капитал.
Из полученных данных видно, что эффект финансового рычага в 2006 году понижается. Рассчитаем эффект финансового рычага с учетом инфляции по формуле:
где: ROA – экономическая рентабельность совокупного капитала до уплаты налогов (отношение суммы прибыли к среднегодовой сумме всего капитала); Кн – коэффициент налогообложения; СП – ставка ссудного процента, предусмотренного контрактом; ЗК – заемный капитал; СК – собственный капитал; И – темп инфляции.
В результате проведенного расчета можно сделать вывод, что в условиях инфляции эффект финансового рычага повышается по отношению к эффекту финансового рычага при учете выплаты процентов по кредиту. Однако в 2006 году также наблюдается понижение рентабельности собственного капитала за счет привлечения заемных средств в оборот предприятия. Состояние между собственными и заемными источниками средств служит одним из ключевых аналитических показателей, который характеризует степень риска инвестирования финансовых ресурсов в предприятие. Показатель покрытия расходов по обслуживанию заемного долгосрочного капитала рассчитывается по формуле:
где: Упз – показатель покрытия расходов по обслуживанию долгосрочного заемного капитала. Рассчитаем данный показатель для ТОО "Сельпром" за 2005-2006 год.
Таким образом, повышение в 2006 году относительно 2005 года показателя покрытия расходов по обслуживанию заемного долгосрочного капитала свидетельствует о понижении финансового риска. В 2005 году значение данного показателя показывает о высокой доле заемного капитала. Оптимизация решений по привлечению капитала – это процесс исследования множества факторов, воздействующих на ожидаемые результаты, в ходе которого на основе ранее установленных критериев оптимизации менеджерами – аналитиками осуществляется осознанный (рациональный) выбор наиболее эффективного варианта привлечения капитала. В качестве критериев оптимизации могут выступать прирост обобщающих показателей рентабельности капитала, а разработанные на их основе факторные модели зависимости рентабельности собственного или заемного капитала от других частных показателей-факторов позволяют выявить степень количественного воздействия каждого из них на изменение (+,-) результативных показателей. Таким образом, эффективность использования капитала характеризуется его доходностью (рентабельностью). Рассмотрим рентабельность заемного капитала. Данный показатель рассчитывается по следующей формуле: R заемного капитала = Rпродаж * К оборачиваемости активов / К финансовой зависимости(29) Rз.к. = чистая прибыль / заемный капитал (30) Rпр. = чистая прибыль / выручка (31) К об.ак. = выручка / активы (32) К фин.зав. = заемный капитал / активы (33) Рассмотрим показатели факторного анализа рентабельности заемного капитала в таблице 12. Таблица 12. - Показатели факторного анализа рентабельности заемного капитала ТОО "Сельпром" за 2006 г.(тыс.тенге)
Рассчитаем зависимость Rз.к. от частных факторов с помощью метода цепных подстановок: За счет Rпродаж = 0,022*10,67/0,71=0,33(0,33-0,27= 0,06) Следовательно, за счет увеличения рентабельности продаж рентабельность заемного капитала увеличилась на 0,06. За счет К оборачиваемости активов = 0,022*12,85/0,71=0,3 (0,3-0,2=0,1) т.е. за счет увеличения коэффициента оборачиваемости произошло увеличение рентабельности заемного капитала на 0,1. За счет К финансовой зависимости = 0,022*12,85/0,51=0,5. (0,5-0,2 = 0,2). Баланс отклонений = 0,06+0,12+0,2=0,36 Данные таблицы 12 свидетельствуют о том, что рентабельность заемного капитала в конце 2006 г. по сравнению с началом 2006г. увеличилась на 0,34. Отметим, что рентабельность заемного капитала увеличилась в связи с ростом R продаж на 0,06 и увеличением К финансовой зависимости на 0,2, и К оборачиваемости активов также оказал положительное влияние на 0,1. Повышение этих факторов в производственно-хозяйственной деятельности позволит организации повысить эффективность использования заемного капитала. 3 .Разработка рекомендаций по повышению эффективности использования заемного капитала3.1 Расчет взаимосвязи рычагов операционного и финансового левериджаЭффективность использования заемных средств влияет на общие показатели финансово-хозяйственной деятельности предприятия. Управление заемными средствами – это неотъемлемая часть финансового менеджмента на предприятии, активно применяемая для осуществления финансового планирования и разработки финансовой стратегии предприятия. Финансовое планирование осуществляется постоянно или по мере осуществления финансовых и других мероприятий, т.е. составляются бизнес-планы. И очень важна здесь не только аналитическая и прогнозная работа специалистов, но и глобальное мышление в масштабах всего предприятия. Проводятся факторные анализы взаимозависимостей всех показателей финансово-хозяйственной деятельности предприятия при различных возможных вариантах финансирования, проводятся разработки различных вариантов мероприятий и их комплексов, оптимизируются все центры деятельности, влияющие на финансовое состояние предприятия. Ключевым вопросом финансового прогнозирования становится анализ и прогноз способности компании обеспечить такую прибыль по основной деятельности, которая гарантировала бы своевременное погашение кредита и процентов по нему. Таким показателем финансового прогнозирования является расчет совместного эффекта операционного и финансового левериджа, который позволяет оценить совокупный риск, связанный с предприятием. Необходимость расчета совместного эффекта операционного и финансового левериджа обуславливается следующим. Ситуация, когда компания (равно как и любой индивидуум) не ограничивается собственным капиталом, а привлекает средства внешних инвесторов, вполне объяснима: всегда выгодно жить в долг, если этот долг обоснован и необременителен. Привлекая заемные средства, собственники компании и ее высший управленческий персонал получают возможность контролировать более крупные потоки денежных средств и реализовывать более амбициозные инвестиционные проекты несмотря на то, что доля собственного капитала в общей сумме источников может быть относительно небольшой. Компания становится крупнее; владеть, управлять и работать в такой компании престижнее и выгоднее. Безусловно, при этом подразумевается наличие высокого уровня организации производственной и финансовой деятельности, обеспечивающего эффективность использования привлеченных средств. Считается, что стратегическая цель — повышение благосостояния владельцев компании — достигается, если имеет место устойчивое генерирование прибыли в среднем. Привлекая заемные средства, руководство компании предполагает, что активы, сформированные за счет заемных средств будут в дальнейшем генерировать прибыль. Наращивание прибыли может быть достигнуто как увеличением доходов, так и снижением затрат. Величина доходной части определяется выручкой от реализации продукции, которая и представляет собой основной фактор наращивания прибыли. Увеличивая выручку, тем не менее нельзя добиться равновеликого увеличения прибыли; иными словами, прирост выручки в размере 30% не означает автоматического наращивания прибыли в тех же размерах. Точнее, такое равновеликое наращивание может иметь место, но, во-первых, лишь теоретически и, во-вторых, в том случае, если все затраты — переменные. На практике такого не бывает, поскольку зависимость между выручкой и затратами имеет нелинейный характер, кроме того, с изменением выручки различные виды затрат могут вести себя совершенно по-разному. Исследование величины прибыли в зависимости от величины затрат позволяет сделать маржинальный анализ (анализ безубыточности). Применение методов анализа маржинального дохода соответствует современной системе финансового контроля, учета издержек и формирования прибыли (директ-костинг) и носит весьма продуктивный характер. Рассмотрим подробнее. При анализе финансового состояния предприятия необходимо знать запас его финансовой устойчивости (зону безопасности). С этой целью все затраты предприятия следует предварительно разбить на переменные и постоянные в зависимости от объема производства и реализации продукции. Переменные затраты увеличиваются или уменьшаются пропорционально объему производства продукции. Это расходы сырья, материалов, энергии, топлива, зарплата работников на сдельной форме оплаты труда, отчисления и налоги от зарплаты и выручки и т.д. Постоянные затраты не зависят от объема производства и реализации продукции. К ним относятся амортизация основных средств и нематериальных активов, суммы выплаченных процентов за кредиты банка, арендная плата, расходы на управление и организацию производства, зарплата персонала предприятия на повременной оплате и др. Постоянные затраты вместе с прибылью составляют маржинальный доход предприятия. Деление затрат на постоянные и переменные и использование показателя маржинального дохода позволяет рассчитать порог рентабельности, то есть ту сумму выручки, которая необходима для того, чтобы покрыть все постоянные расходы предприятия. Прибыли при этом не будет, но не будет и убытка. Рентабельность при такой выручке будет равна нулю. Рассчитывается порог рентабельности отношением суммы постоянных затрат в составе себестоимости реализованной продукции к доле маржинального дохода в выручке:
где: Пр – порог рентабельности; Пз – постоянные затраты; Дмд - доля маржинального дохода. Если известен порог, то нетрудно подсчитать запас финансовой устойчивости (ЗФУ):
где: ЗФУ – запас финансовой устойчивости; Врп – выручка от реализации продукции; Пр – порог рентабельности. В таблице 13 рассчитаем порог рентабельности и запас финансовой устойчивости ТОО "Сельпром". Таблица 13. - Расчет порога рентабельности и запаса финансовой устойчивости ТОО "Сельпром" за 2005-2006 г. (тыс.тенге)
Как показывает расчет (таблица 13), выручка в 2006 году составила 2046927 тыс.тенге., что выше порога рентабельности на 20304492,2 тыс.тенге или на 99%. Это говорит о том, что в данный период ТОО "Сельпром", предприятие можно признать прибыльным. Запас финансовой устойчивости можно показать графически (Рисунок 1). На оси абсцисс откладывается объем реализации продукции, на оси ординат – постоянные, переменные затраты и доход. Точка пересечения линии выручки и затрат есть порог рентабельности. В этой точке выручка равна затратам. Выше ее зона прибыли, ниже – зона убытков. Отрезок линии выручки от этой точки до верхней и есть запас финансовой устойчивости.
Рисунок 1. - Запас финансовой устойчивости В результате проведенного анализа порога рентабельности (безубыточности производства) были сделаны следующие выводы: - в 2006 году по сравнению с 2005 у предприятия ТОО "Сельпром" ухудшились показатели, характеризующие запас финансовой прочности (порог рентабельности), если в 2005 году при получении прибыли в размере 15173,7 предприятие полностью покрывало свои затраты, то в 2006 году для покрытия затрат необходимо было обеспечить прибыль в размере 16434,8 тенге; - тем не менее, выручка в 2006 году составила 2046927 тыс.тенге., что выше порога рентабельности на 20304492,2 тыс.тенге или на 99%. Это говорит о том, что в данный период ТОО "Сельпром", предприятие можно признать прибыльным. Таким образом, показатели маржинального дохода ухудшаются, но предприятие находится в зоне финансовой безопасности. Следовательно, предприятие имеет возможность срочно погасить свои задолженности по кредитам, но для этого ему необходимо постоянно обеспечивать себе запас финансовой прочности. Определение совокупного влияния на деятельность компании структуры затрат и структуры капитала и управление этими параметрами является одной из основных задач финансового менеджмента. Леверидж — это показатель, характеризующий в общем случае зависимость между потенциальными условно-постоянными затратами и некоторой прибылью. В зависимости от того, о каких условно-постоянных затратах — материальных или финансовых — идет речь, выделяют соответственно два вида левериджа — операционный (или производственный) и финансовый. Существуют различные их определения; в частности, одно из наиболее доступных в интерпретации определений таково: операционный (финансовый) леверидж — это доля материальных (финансовых) условно-постоянных затрат в общих затратах. Чем выше доля таких затрат (напомним, что они в известном смысле носят обязательный характер, т.е. должны покрываться вне зависимости от интенсивности генерирования текущих доходов), тем в большей степени варьирует соответствующий показатель прибыли или, что равносильно, тем выше риск (соответственно операционный или финансовый), олицетворяемый с данной компанией. Расчет совместного эффекта операционного и финансового левериджа позволяет оценить совокупный риск, связанный с предприятием. Как можно видеть, сочетание высокой силы операционного левериджа (низкий запас финансовой прочности, высокая доля постоянных расходов) с высокой силой финансового левериджа (высокая доля заемных средств, значительный объем процентных платежей) ведет к сильному увеличению совокупного риска, связанного с предприятием. Такой ситуации необходимо избегать всеми доступными средствами, прежде всего, разумной политикой заимствования средств и взвешенным управлением структурой затрат. Совместный эффект операционного и финансового левериджа определяется умножением силы операционного левериджа на силу финансового левериджа. Полученная величина показывает, на сколько процентов изменится чистая прибыль в расчете на одну тенге заемных средств при изменении объема продаж на один процент. Рассчитаем эффект операционного левериджа для предприятия "Сельпром" за 2005 и за 2006 года. Эффект операционного левериджа рассчитывается отношением темпов прироста валового дохода (DД %) (до выплаты процентов и налогов) к темпам прироста объема продаж в стоимостном выражении (DVРП %): Данный коэффициент показывает степень чувствительности валового дохода к изменению объема производства по формуле:
Рассчитаем для ТОО "Сельпром": в 2005 году Кп.л. = 3/2,1 = 1,4 в 2006 году - Таким образом, в 2006 году понижается степень зависимости дохода от изменений объема производства. В предыдущей главе был рассчитан эффект финансового рычага с учетом выплаты процентов по кредиту, который составил:
Из полученных данных видно, что эффект финансового рычага в 2006 году понижается. Далее рассчитаем совместный эффект операционного и финансового левериджа", по формуле: СЭ = Кп.л * ЭФР (37) Для ТОО "Сельпром" данный показатель составил: в 2005 году СЭ = 1,4 * 14,2 = 19,88. в 2006 году СЭ = 0,5 * 9 = 4,5. Следовательно, совместный эффект операционного и финансового левериджа, показывающий на сколько процентов изменится чистая прибыль в расчете на одну тенге заемных средств при изменении объема продаж на один процент для ТОО "Сельпром" уменьшается, что положительно характеризует политику предприятия управления заемными средствами. Такое обстоятельно обусловлено следующим, финансовый риск предприятия, связанный с получением кредита напрямую зависит от вышерассчитанного показателя совместного эффекта: уменьшение силы операционного левериджа (низкий запас финансовой прочности, высокая доля постоянных расходов) совместно со снижением силы финансового левериджа ведет к уменьшению совокупного риска, связанного с привлеченными заемными средствами. Чтобы предприятию не утратить свой нынешние финансово-экономический статус, остаться "на плаву" или достигнуть более высоких результатов деятельности, руководству ТОО "Сельпром" необходимо постоянно изыскивать резервы увеличения прибыли. Резервы роста прибыли – это количественно измеримые возможности ее дополнительного получения. Существуют следующие резервы роста прибыли: увеличение объема и цены выпускаемой продукции, изменение ее ассортимента, снижение затрат выпускаемой продукции, а именно: материальных, трудовых, амортизации, условно-постоянных расходов и структурных сдвигов в товарной продукции. Таким образом, по результатам расчета взаимосвязи финансового и операционного левериджа было выявлено, что предприятие ТОО "Сельпром" оптимально управляет заемными средствами. В процессе оптимизации финансового положения предприятия с целью разработки направлений повышения эффективности использования заемного капитала необходимо предусматривать разработку системной кредитной политики предприятия, которая обеспечит прогнозируемость поступлений. 3.2 Разработка кредитной политики и ее влияние на эффективность использования заемных средствПолитика управления заемным капиталом на предприятии должна отражать общую философию финансового управления предприятием с позиций приемлемого соотношения уровня доходности и риска финансовой деятельности. В практике финансового управления привлеченными заемными средствами существуют правила комбинации производственного и финансового риска для разных видов бизнеса и способов финансирования. Данные комбинации позволяют руководству предприятия выбрать наиболее оптимальную политику эффективного управления заемным капиталом. Рекомендации по повышению эффективности управления заемными средствами для разных типов бизнеса приведены в таблице 14. Таблица 14. - Рекомендации для разных типов бизнеса и способов финансирования
Анализируя таблицу 14 можно заметить, что для фондоемких предприятий со значительным внешним финансированием, как ТОО "Сельпром" в целях повышения эффективности использования заемных средств рекомендуется управлять прибылью (т.е. обеспечивать оптимальный уровень чистых денежных средств) и сформировать кредитную политику. Управление прибыльностью производственно-хозяйственной деятельности ТОО "Сельпром" уже было рассмотрено в предыдущем пункте, где было выявлено, что предприятие находится в зоне финансовой безопасности и совместный эффект операционной прибыли и финансового левериджа для данного предприятия незначителен и имеет тенденция к снижению. Следовательно, важнейшим направлением обеспечения эффективности использования заемных средств является грамотная кредитная политика предприятия У любого предприятия могут появиться проблемы с чистым денежным потоком. Укрупнено их причины можно разделить на две группы: - проблемы реализации, когда выручки нет, так как продукция не находит покупателя; - проблемы кредитной политики, когда мы не можем получить оплату за отгруженный товар или оказанную услугу. Современный этап экономического развития страны характеризуется значительным замедлением платежного оборота, вызывающим рост дебиторской задолженности на предприятиях. Поэтому важной задачей финансового менеджмента является эффективное управление дебиторской задолженностью, направленное на оптимизацию общего ее размера и обеспечение своевременной инкассации долга. Поэтому управление дебиторской задолженностью на предприятии связанно в первую очередь с оптимизацией размера и обеспечения инкассации задолженности покупателей по расчетам за реализованную продукцию. В целях эффективного управления этой дебиторской задолженностью на предприятиях должна разрабатываться и осуществляться особая финансовая политика по управлению дебиторской задолженностью (или его кредитная политика по отношению к покупателям продукции). Политика управления дебиторской задолженностью представляет собой часть общей политики управления оборотными активами и маркетинговой политики предприятия, направленной на расширение объема реализации продукции и заключающейся в оптимизации общего размера этой задолженности и обеспечении своевременной ее инкассации. Инкассирование долгов - очень важная, но неприятная работа, поэтому руководители компаний зачастую непроизвольно игнорируют ее. В большинстве случаев, когда возникают проблемы с денежным потоком, менеджеры направляют свои усилия на рост реализации продукции или услуг. И достигается прямо противоположный результат: чем больше продажи в условиях слабого инкассирования, тем хуже чистый денежный поток. Кредиторы, однако, требуют свое - бизнес прогорает… Руководители казахстанских предприятий уже поняли, что дебиторская задолженность не относится к числу проблем, с которыми надо жить, - ее надо непрерывно решать. Но решить ее раз и навсегда невозможно, поскольку дебиторы появляются снова и снова. Предложим несколько рекомендаций по управлению дебиторской задолженностью (кредитной политикой) предприятия. Основной критерий эффективности кредитной политики - это рост доходности по основной деятельности компании, либо вследствие увеличения объемов продаж (что будет происходить при либерализации кредитования), либо за счет ускорения оборачиваемости дебиторской задолженности (чему способствует ужесточение кредитной политики). Инструменты кредитной политики представляют собой как шаблоны для оценки потенциальных дебиторов, так и регламент или процедуры работы соответствующей службы. Следуя трем основным вопросам кредитной политики, возможно, выделить ряд инструментов, определяющих ответы на них. Ответ на вопрос "кому предоставлять кредит?" в большей степени зависит от риска невозврата кредита или затягивания сроков распоряжения полученными ресурсами. Поэтому распределение покупателей по группам риска является одной из основных задач кредитной политики. Одним из наиболее распространенных инструментов для решения этой задачи является метод оценки кредитной истории (credit scoring). Он основан на ранжировании покупателей по ряду выбранных показателей и введению критериев принятия решения по предоставлению кредита. Использование данного метода помогает оценить насколько рискованно предоставление отсрочки платежа тому или иному покупателю. Вследствие широкого распространения, метод оценки кредитной истории получил различные интерпретации, поэтому интересно рассмотреть его использование на конкретном предприятии. Расчет взвешенных оценок по всем крупным дебиторам позволяет определить приоритеты при рассмотрении вариантов их кредитования. Таким образом, предприятие делает первый шаг в оптимизации структуры дебиторской задолженности. Любая коммерческая структура всегда ограничена в финансовых ресурсах, поэтому задача эффективного их распределения при минимальных рисках наиболее актуальна. Если метод оценки кредитной истории позволяет взвесить риски, связанные с предоставлением кредитов отдельным покупателям, то метод определения оптимального срока кредита (the economic time of credit) дает представление об эффективности коммерческой сделки, отвечая на вопрос об условиях размещения коммерческого кредита. Предприятия выступают кредиторами для своих покупателей вовсе не из доброго отношения к ним. Основной лейтмотив подобных сделок заключается в попытках увеличения объемов продаж. К сожалению, находясь в слабой конкурентной позиции большинство промышленных предприятий в Казахстане чаще рассматривают вопрос сокращения рынков сбыта при отказе акцептовать ужесточающие требования покупателей. В принципе, это лишь оборотная сторона все той же зависимости: обычно увеличение сроков дебиторской задолженности ведет к росту объемов продаж. Расчет оптимальной политики по срокам кредитов сводится к сравнению дополнительных доходов, полученных в результате роста продаж и затрат, связанных с финансированием возросшей дебиторской задолженности. Как уже стало понятным из представленных выше инструментария основными параметрами постановки и реализации кредитной политики являются: - объем продаж по отдельным группам товаров (также может проводится сегментация по видам бизнеса или территориальному признаку); - объем инвестиций в дебиторскую задолженность и стоимость привлекаемого для этих целей капитала (бесплатность задолженности перед персоналом и основными поставщиками является лишь кажущейся, принося неисправимый ущерб предприятию в более длительной перспективе, поэтому, в случае с отечественным бизнесом, также требует оценки альтернативных убытков); - величина невозвратных долгов по дебиторской задолженности. Разрабатывая стандарты предоставления коммерческих кредитов предприятия вовсе не вводит новые нормативы, обязательные к исполнению и однозначные в своем толковании. Стандарты скорее заключаются в минимально допустимых условиях, которые должны выполняться покупателями, чем в нормируемых величинах объемов и сроков кредитования. Поэтому чаще всего задаются стандарты не абсолютными значениями, а некоторыми интервалами. Кредитная политика, обеспечивающая достижение целей по выручке от реализации (валовому доходу валовой прибыли) и максимизирующая прибыль, сопутствующую кредитованию покупателей, называется эффективной кредитной политикой. В связи с этим, критерием эффективности кредитной политики является максимизация эффекта от инвестирования в дебиторскую задолженность. Как правило, у менеджеров (генеральных директоров, владельцев бизнеса) отсутствует четкий подход, ясно описывающий приоритеты между различными факторами, которыми они могут управлять для достижения своих целей. Очевидно, что многое зависит от способности товара удовлетворять определенные потребности покупателей, от уровня цен, от квалификации бизнес персонала, от системы дистрибуции, от рекламной поддержки, от грамотности построения бизнес-процессов. Но, к сожалению, представление о том, чему уделить внимание в первую очередь, почему, и на что при этом можно рассчитывать, у большинства казахстанских руководителей пока отсутствует. На практике же четкие формулы и определения вообще отсутствуют, решение "кредитных вопросов" происходит, в основном, методом "научного тыка". Как правило, в кредитной политике используются два основных показателя: отсрочка платежа и размер кредита. Другими параметрами, определяющими содержание кредитных условий, оперируют крайне редко. Иногда в более-менее продвинутых компаниях говорят о скидках в цене за своевременный расчет, крайне редко ведется речь о кредитных статусах или стандартах оценки покупателя. И даже когда обсуждаются такие параметры как отсрочка платежа и размер кредита, то назначаются они совершенно интуитивно – по традициям, которые сложились в отрасли или на предприятии. Разработка и внедрение эффективной кредитной политики необходимы всем предприятиям, у которых есть дебиторская задолженность (чем больше задолженность, тем острее необходимость во внедрении данной технологии), предприятиям с недостаточно высокой скоростью обращения дебиторской задолженности, а также тем, кто не представляет, как можно относиться к продажам в кредит как к инвестиционному проекту, дающему реальную отдачу на инвестиции. Определить степень необходимости во внедрении эффективной кредитной политики просто - чем больше коэффициент отвлечения активов в дебиторскую задолженность, тем больше показан этот подход. Коэффициент отвлечения активов в дебиторскую задолженность представляет собой отношение дебиторской задолженности к сумме активов (товар, деньги, дебиторская задолженность) и выражается в процентах. Например, если предприятие содержит в дебиторской задолженности от 25% до 50% и более своих активов, эффективная кредитная политика очень показана и принесет высокие экономические результаты. В принципе, если предприятие работает полностью по предоплате, то не возникает потребности в кредитовании, соответственно не возникает необходимости в эффективной кредитной политике. Предприятия с небольшой дебиторской задолженностью – менее 25% также могут испытывать потребность во внедрении технологии. У предприятия ТОО "Сельпром" коэффициент отвлечения активов в дебиторскую задолженность составляет 12%, т.е. всего 12% оборотных активов отвлечено в дебет, более того, наблюдается тенденция к снижению этого коэффициента. В связи с тем, что товар пользуется повышенным спросом у конечного потребителя, имеется возможность сокращать сроки расчета для магазинов. В результате выручка от реализации и приток денежных средств значительно превышают размер дебиторской задолженности. Но при этом у предприятия существует проблема – повысить прибыльность. Проанализируем, от чего зависит выручка от реализации. Если производитель стремится продавать товар по предоплате, то фактически это означает сокращение выручки от реализации, так как не все готовы делать предоплату или рассчитываться в короткие сроки. Поэтому у этого предприятия часть магазинов остаются неохваченными. Таким образом, прибыль можно увеличить за счет увеличения выручки от реализации, а это приведет к увеличению валовой прибыли, далее по цепочке увеличится операционная прибыль и в конечном итоге чистая прибыль. Ну, а чтобы увеличить выручку от реализации необходимо предоставить больший кредит покупателю. Естественно возникает вопрос о просроченной и безнадежной задолженности. Чтобы избежать этих неприятных ньюансов, в качестве защиты в бизнес-процесс встраиваются инструменты, которые будут профилактировать возникновение такой задолженности ". Кредитование практически всегда сопровождается возникновением безнадежных и сомнительных долгов. Безусловно, при несистемном подходе и мягкой кредитной политике сомнительные и безнадежные задолженности возникают слишком часто. Ценность эффективной кредитной политики в том, что с ее помощью этих неприятных неожиданностей вполне можно избежать. Таким образом, целями эффективной кредитной политики являются: - увеличение объемов реализации продукции в краткосрочном и долгосрочном периоде для достижения требуемой прибыльности; - максимизация эффекта (дохода) от инвестирования финансовых средств в дебиторскую задолженность; - достижение требуемой оборачиваемости дебиторской задолженности; - ограничение относительного роста просроченной дебиторской задолженности, в том числе сомнительной и безнадежной задолженности в структуре дебиторской задолженности. Формирование политики управления дебиторской задолженностью предприятия (или его кредитной политики по отношению к покупателям продукции) осуществляется по следующим основным этапам: 1. Анализ дебиторской задолженности предприятия в предшествующем периоде 2. Формирование принципов кредитной политики по отношению к покупателям продукции 3. Определение возможности суммы финансовых средств, инвестируемых в дебиторскую задолженность по товарному (коммерческому) и потребительскому кредиту 4. Формирование системы кредитных условий 5. Формирование стандартов оценки покупателей и дифференциация условия предоставления кредита 6. Формирование процедуры инкассации дебиторской задолженности 7. Обеспечение использования на предприятии современных форм рефинансирования дебиторской задолженности 8. Построение эффективных систем контроля за движением и своевременной инкассацией дебиторской задолженности. Для уменьшения риска дебиторской задолженности необходимо обратить внимание на управление счетами дебиторов. Управлять счетами дебиторов нужно для того, чтобы увеличить размер прибыли и уменьшить риск. В связи с этим управляющие предприятием должны принимать конкретные меры: - определить срок просроченных остатков на счетах дебиторов, сравнивания их с нормами в отрасли и с прошлым; - пересматривать сумму кредита, исходя из оценки финансового положения клиентов; - когда возникают проблемы с получением денег, получать залог на сумму, не меньшую, чем сумма на счете дебитора; - продавать счета дебиторов, если при этом получается экономия; - избегать дебиторов с высоким риском. ЗаключениеВ настоящее время гарантий нормального процесса расширенного воспроизводства является финансирование капитальных вложений путем заимствования средств. Заемный капитал - это часть капитала, используемая хозяйствующим субъектом, которая не принадлежит ему, но привлекается на основе банковского, коммерческого кредита или эмиссионного займа на основе возвратности. Заемный капитал может использоваться как для формирования долгосрочных финансовых средств в виде основных фондов (капитала), так и для формирования краткосрочных (текущих) финансовых средств для каждого производственного цикла. Структура заемного капитала может быть различной в зависимости от принадлежности предприятия, доступности того или иного источника финансирования и т.д. В современных условиях экономики на казахстанских предприятиях, как правило, в структуре заемных средств наибольший удельный вес занимает краткосрочные кредиты банка. Предприятие пользующиеся только собственным капиталом обладают высокой финансовой устойчивостью, но низким потенциалом развития и наоборот. Предприятия использующие заемный капитал имеют более низкую финансовую устойчивость, но высокий потенциал развития. Таким образом оптимизация структуры капитала – важнейшая задача повышения эффективности предприятия. Финансовое состояние предприятия представляет собой отражение финансовой устойчивости предприятия на определенный момент и обеспеченности его финансовыми ресурсами для непрерывного процесса работы и своевременного погашения своих долговых обязательств. Анализ структуры имущества предприятия, источников формирования имущества, анализ показателей ликвидности, платежеспособности позволяет выявить, насколько эффективно предприятие использует свои средства. Умение правильно их исчислять, анализировать и определять влияние различных факторов на изменение их уровня позволит полнее выявить резервы повышения эффективности производства, разработать рекомендации по устранению выявленных недостатков, оздоровлению и укреплению его финансового положения. В соответствии с целью и задачами дипломной работы были рассчитаны финансовые показатели предприятия за 2004-2006 года на материалах ТОО "Сельпром", которое является юридическим лицом в соответствии с законодательством Республики Казахстан, имеет самостоятельный баланс, банковские счета, может от своего имени приобретать и осуществлять имущественные и личные неимущественные права. Основной деятельностью анализируемого предприятия является коммерческая и посредническая деятельность, снабженческо-сбытовая деятельность. В результате проведенного анализа финансового состояния можно сделать следующие выводы: - состояние финансовой устойчивости предприятия можно охарактеризовать, как удовлетворительное, потому, что показатели финансовой устойчивости выше нормативных. Показатели ликвидности и платежеспособности также соответствуют нормам и их значение за 2004-2006 годы удовлетворительное. - значение коэффициента утраты платежеспособности больше 1 означает наличие у предприятия возможности неутратить платежеспособность в течение ближайших трех месяцев. - деловая активность предприятия имеет неудовлетворительные значения показателей: оборачиваемость активов на предприятии характеризуется уменьшением в сравнении с предыдущим годом: - на 10 дней уменьшился период оборота текущих активов, на 10 дней - совокупных активов. По результатам анализа видно, что рассматриваемое предприятие в целом обеспечивает себе финансовую устойчивость. Собственный капитал предприятия имеет тенденцию к повышению. Это свидетельствует о том, что ТОО "Сельпром" активизирует свою финансово-хозяйственную деятельность и в том числе за счет внешних источников финансирования, и при этом еще находится в зоне финансовой безопасности. По результатам проведенного анализа эффективности использованных заемных средств было выявлено, что у предприятия ТОО "Сельпром" понижается рентабельность собственного капитала на 5,2% за счет привлечения заемных средств в оборот предприятия В результате руководством предприятия было принято решение разработать мероприятия по повышению эффективности использования заемных средств. Управление заемными средствами – это неотъемлемая часть финансового менеджмента на предприятии, активно применяемая для осуществления финансового планирования и разработки финансовой стратегии предприятия. Ключевым вопросом финансового прогнозирования становится анализ и прогноз способности компании обеспечить такую прибыль по основной деятельности, которая гарантировала бы своевременное погашение кредита и процентов по нему. Таким показателем финансового прогнозирования является расчет совместного эффекта операционного и финансового левериджа, который позволяет оценить совокупный риск, связанный с предприятием. Совместный эффект операционного и финансового левериджа, показывающий на сколько процентов изменится чистая прибыль в расчете на одну тенге заемных средств при изменении объема продаж на один процент, рассчитанный для ТОО "Сельпром" за период 2005-2006 года, уменьшается, что положительно характеризует политику предприятия управления заемными средствами. Такое обстоятельно обусловлено тем, что уменьшение силы операционного левериджа совместно со снижением силы финансового левериджа ведет к уменьшению совокупного риска, связанного с привлеченными заемными средствами. Таким образом ТОО "Сельпром" оптимально управляет заемными средствами. Чтобы предприятию не утратить свой нынешние финансово-экономический статус, остаться "на плаву" или достигнуть более высоких результатов деятельности, руководству ТОО "Сельпром" необходимо постоянно изыскивать резервы увеличения прибыли. Также для повышения эффективности использования заемного капитала необходимо предусматривать такую деталь, как сформированная кредитная политика предприятия, которая направлена на оптимизацию общего размера дебиторской задолженности и обеспечение своевременной инкассации долга. Таким образом, цель дипломной работы достигнута, а именно исследованы пути повышения эффективности использования заемного капитала. Были решены задачи: изучены понятие и сущность заемного капитала, рассмотрена система показателей эффективности использования заемного капитала, проведен анализ эффективности использования заемного капитала предприятия и даны рекомендации по повышению эффективности заемного капитала. Практическая значимость дипломной работы состоит в проведенном количественном анализе эффективности использования заемного капитала, а также рекомендациях по разработке и содержанию кредитной политики предприятия. Список использованной литературы1. Савицкая Г.В. Анализ хозяйственной деятельности предприятия: 4-е изд., перераб. и доп. – Минск: "Новое знание", 2000 – 688с. 2. Артеменко В.Г., Беллендир М.В. Финансовый анализ: Учебное пособие - М.:ДИС, 1997 – 128с. 3. Шеремет А.Д., Сайфулин Р.С. Методика финансового анализа. - М.: Инфра-М, 1995. 4. Энциклопедический словарь/ Под ред. И. А. Андриевского. - СПб: Издатели Ф. А. Брокгауз, И. Ф. Ефрон, 1990 5. Ефимова О.Е. Финансовый анализ – М.: АО Бизнес школа, 1994 6. Ковалев В.В. Финансовый анализ: управление капиталом. Выбор инвестиций. Анализ отчетности. – М.: Финансы и статистика, 1996 – 432с. 7. Дюсембаев К.Ш. Анализ финансового положения предприятия: Учебное пособие.-Алматы: Экономика, 1998. 8. Патров В.В.,Ковалев В.В. Как читать баланс. М.: Финансы и статистика. 1993. 9. Крейнина М.Н. Анализ финансового состояния предприятия. – М.: Экономика, 1997 – 198с. 10. Григорьев В.В., Федотова М.А. Оценка предприятия: теория и практика. – М.: ИНФРА-М,1997. –320с. 11. Ковалева А.М. Финансовый анализ – М.: Финансы и статистика, 1998 – 302с. 12. Шеремет А.Д., Сайфулин Р.С. Финансы предприятий. - М. : Инфра – М., 1999- 343 с. 13. Дюсембаев К.Ш. Анализ финансового положения предприятия – Алматы "Каржи-Каржат", 1998 – 294с. 14. Бакадаров В.Л., Алексеев П.Д., Финансово – экономическое состояние предприятия. Практическое пособие. – М.: издательство "ПРИОР", 2000 – 205с. 15. Баканов М.И., Шеремет А.Д. Теория анализа хозяйственной деятельности – М.: Финансы и статистика. – 1995 –157с. 16. Жакупова О.М. Финансовый учет КЭУК 2001 г., часть 3. 1. Григорьев В. В. , Федотова М. А. Оценка предприятия: Теория и практика: Учебное пособие. - М.: Инфра-М, 1997. - 318 с. 17. Комекбаева Л.С. Финансы предприятий: Учебное пособие. - Караганда: "Болашак- Баспа", 2000.-108 с. 18. Отчеты о результатах финансово-хозяйственной деятельности ТОО "Сельпром" за 2003, 2004 и 2005 года 19. Любушин Н.П. Анализ финансово-экономической деятельности предприятия. – М.: Финансы и кредит, 2000. 20. Радостовец В.К. Финансовый и управленческий учет на предприятиях. – Алматы: Центриздат, 1997. 21. Самин В.Н., Ситникова О.Ю. Техника финасово-экономических расчетов. – Алматы, 1998. 22. Грязнова А.Г., Федотова М.А. Оценка бизнеса. Учебное пособие, М.: Финансы и статистика, 2002. 23. Родионова В.М., Федотова М.П. Финансовая устойчивость предприятия в условиях инфляции. – М.: Перспектива. – 1995. – 100 с. 24. Коупленд Т., Коллер Т., Муррин Дж. Стоимость компаний: оценка и управление. М.: ЗАО Олимп Бизнес, 2002. 25. Федоренкс Н. Н. , Шаталин С.С. , Петраков Н.Я. Теория и практика оценки эффективности хозяйственных мероприятий // Вопросы экономики. - 1983.- №11 -С 110- 120. 26. Теория и практика антикризисного управления. Под ред. Беляева С.Г. и Кошкина В.И. – М.: Закон и право, ЮНИТИ, 1997 г. 27. Федотова М.А. Как оценить финансовую устойчивость предприятия. // Финансы. – 1995. - №3. - с. 14. 28. Артеменков И. , Гуров А. Оценка бизнеса //Финансовая газета. - 1994.- № 13.-С.6. 29. Моляков Д.С. и др. Актуальные проблемы финансов предприятий // Финансы . - 1996.- № 4.- С.3-7. 30. Справочник финансиста/ Под ред. Э.А. Уткина. - М.: Тандем, ЭКМОС, 1998. - 496 с. Бухгалтерский балансТОО "Сельпром" за 2004-2006 гг.тыс.тенге
Приложение 2Результаты финансово-хозяйственной деятельности 2004 - 2006 гг по ТОО "Сельпромтыс.тг.
|
||||||||||||||||||||||||||||||||||||||||||||||||||||||||||||||||||||||||||||||||||||||||||||||||||||||||||||||||||||||||||||||||||||||||||||||||||||||||||||||||||||||||||||||||||||||||||||||||||||||||||||||||||||||||||||||||||||||||||||||||||||||||||||||||||||||||||||||||||||||||||||||||||||||||||||||||||||||||||||||||||||||||||||||||||||||||||||||||||||||||||||||||||||||||||||||||||||||||||||||||||||||||||||||||||||||||||||||||||||||||||||||||||||||||||||||||||||||||||||||||||||||||||||||||||||||||||||||||||||||||||||||||||||||||||||||||||||||||||||||||||||||||||||||||||||||||||||||||||||||||||||||||||||||||||||||||||||||||||||||||||||||||||||||||||||||||||||||||||||||||||||||||||||||||||||||||||||||||||||||

(2)
(3)
, (4),
(5),
(6)
(7)
(8)
(9)
(10)
(11)
(15)
(16)
(17)
(18)
(19)
(20)
(21)
(24)
(34)
(35)
(36)