Реферат: Механические колебания
|
Название: Механические колебания Раздел: Рефераты по физике Тип: реферат | |||||||||||||||||||||||||||
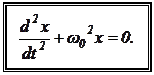
Механические колебания Содержание 1. Механические колебания 1.1 Механические колебания: гармонические, затухающие и вынужденные колебания 1.2 Автоколебания 1.3 Разложение колебаний в гармонический спектр. Применение гармонического анализа для обработки диагностических данных 1.4 Механические волны, их виды и скорость распространения 1.5 Энергетические характеристики волны Список использованных источников 1. Механические колебания 1.1 Механические колебания: гармонические, затухающие и вынужденные колебания Колебаниями называются процессы, отличающиеся той или иной степенью повторяемости (качание маятника часов, колебания струны или ножек камертона, напряжение между обкладками конденсатора в контуре радиоприемника, работа сердца). В зависимости от физической природы повторяющегося процесса различают колебания: механические, электромагнитные, электромеханические и т.д. Мы будем рассматривать механические колебания. Колебания, происходящие при отсутствии трения и внешних сил, называются собственными; их частота зависит только от свойств системы. Простейшими являются гармонические колебания, т.е. такие колебания, при которых колеблющаяся величина (например, отклонение маятника) изменяется со временем по закону синуса или косинуса. Дифференциальное уравнение гармонического колебания Рассмотрим простейшую колебательную систему: шарик массой m подвешен на пружине.
В этом случае упругая сила F1 уравновешивает силу тяжести mg. Если сместить шарик на расстояние х , то на него будет действовать большая упругая сила (F1 + F). Изменение упругой силы по закону Гука пропорционально изменению длины пружины или смещению шарика х: F=-kx,(1) где k — жесткость пружины. Знак "-" отражает то обстоятельство, что смещение и сила имеют противоположные направления.
В нашем примере сила по своей природе упругая. Может случиться, что сила иного происхождения обнаруживает такую же закономерность, то есть оказывается равной - kx. Силы такого вида, неупругие по природе, но аналогичные по свойствам силам, возникающим при малых деформациях упругих тел, называют квазиупругими . Уравнение второго закона Ньютона для шарика имеет вид:
Так как k и m — обе величины положительные, то их отношение можно приравнять квадрату некоторой величины w0, т.е. мы можем ввести обозначение
(2) Таким образом, движение шарика под действием силы вида (1) описывается линейным однородным дифференциальным уравнением второго порядка. Легко убедиться подстановкой, что решение уравнения имеет вид:
(3) где (w0 t + a0 ) = a — фаза колебаний; a0 — начальная фаза при t = 0; w0 — круговая частота колебаний; A — их амплитуда. Итак, смещение x изменяется со временем по закону косинуса.
Следовательно, движение системы, находящейся под действием силы вида f = - kx, представляет собой гармоническое колебание.
Для пружинного маятника получаем:
Круговая частота связана с обычной n соотношением: Энергия при гармоническом колебании Выясним, как изменяется со временем кинетическая Еk и потенциальная Еп энергия гармонического колебания. Кинетическая энергия равна:
где k = m w0 2 . Потенциальную энергию находим из формулы потенциальной энергии для упругой деформации и используя (3): EП
. Складывая (4) и (5), с учетом соотношения E = EK
+ EП
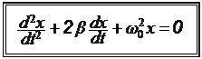
= Таким образом, полная энергия гармонического колебания остается постоянной в отсутствие сил трения, во время колебательного процесса кинетическая энергия переходит в потенциальную и наоборот. Затухающие колебания Колебания, происходящие в системе при отсутствии внешних сил (но при наличии потерь на трение или излучение), называются свободными. Частота свободных колебаний зависит от свойств системы и интенсивности потерь. Наличие трения приводит к затухающим колебаниям. Колебания с убывающей амплитудой называются затухающими. Допустим, что на систему, кроме квазиупругой силы, действуют силы сопротивления среды (трения), тогда второй закон Ньютона имеет вид:
Ограничимся рассмотрением малых колебаний, тогда и скорость системы будет малой, а при небольших скоростях сила сопротивления пропорциональна величине скорости:
где r - коэффициент сопротивления среды. Знак " - " обусловлен тем, что Fтр и V имеют противоположные направления. Подставим (8) в (7). Тогда
Обозначим
где b — коэффициент затухания, w0 — круговая частота собственных колебаний. Тогда
(9) Решение этого уравнения существенно зависит от знака разности: w2 = w0 2 -b2 , где w — круговая частота затухающих колебаний. При условии w0 2 -b2 > 0, w является действительной величиной и решение (3) будет следующим:
(10) График этой функции дан на рисунке.
Рис. 2. Затухающие колебания. Пунктиром изображено изменение амплитуды: A = ±A0 e- b t . Период затухающих колебаний зависит от коэффициента трения и равен:
При незначительном сопротивлении среды (b2 <<w2) период практически равен Из формулы, выражающей закон убывания амплитуды колебаний, можно убедиться, что отношение амплитуд, отделенных друг от друга интервалом в один период (Т), остается постоянным в течение всего процесса затухания. Действительно, амплитуды колебаний, отделенные интервалом в один период, выражаются так:
Отношение этих амплитуд равно:
Это отношение называют декрементом затухания . В качестве меры затухания часто берут величину натурального логарифма этого отношения: Эта величина носит название логарифмического декремента затухания за период. При сильном затухании b 2 > w02 из формулы (11) следует, что период колебания является мнимой величиной. Движение при этом носит апериодический (непериодический) характер - выведенная из положения равновесия система возвращается в положение равновесия, не совершая колебаний. Каким из этих способов приходит система в положение равновесия, зависит от начальных условий. Вынужденные колебания. Резонанс Вынужденными называются такие колебания, которые возникают в колебательной системе под действием внешней периодически изменяющейся силы (вынуждающей силы). Пусть вынуждающая сила изменяется со временем по гармоническому закону: f = F0 cosW t , где F0 - амплитуда, W - круговая частота вынуждающей силы. При составлении уравнения движения нужно учесть, кроме вынуждающей силы, также те силы, которые действуют в системе при свободных колебаниях, то есть квазиупругую силу и силу сопротивления среды. Тогда уравнение движения (второй закон Ньютона) запишется следующим образом:
Разделив это уравнение на m и перенеся члены с dx и d2 x в левую часть получим неоднородное линейное дифференциальное уравнение второго порядка:
где
(13) Явление резкого увеличения амплитуды вынужденных колебаний при приближении частоты вынуждающей силы к собственной частоте колеблющегося тела называется резонансом, происходящие при этом колебания - резонансными, а их частота wрез — резонансной частотой колебаний. Расчет дает значение резонансной частоты: wрез
= Если b очень мало, то wp »w0 . Подставив wрез вместо W в (13), получим максимальную величину амплитуды колебаний при резонансе: Арез
= Чтобы определить резонансную частоту wрез , нужно найти максимум функции (2.13) или, что то же самое, минимум выражения, стоящего под корнем в знаменателе. Продифференцировав это выражение по W и приравняв нулю, мы получим условие, определяющее wрез : -4(w0 2 -W2 )W + 8b2 W = 0. Это уравнение имеет три решения: W = 0 и Решение, равное нулю, соответствует максимуму знаменателя. Из остальных двух решений отрицательное должно быть отброшено, как не имеющее физического смысла (частота не может быть отрицательной). Таким образом, для резонансной частоты получается одно значение: wрез
= Арез
= Зависимость амплитуды вынужденных колебаний от частоты вынуждающей силы (частоты колебаний) показана графически на рисунке: b1 < b2 <b3 Это резонансные кривые.
Рис. 3. Резонансные кривые. 1.2 Автоколебания Системы автоматически регулирующие подачу энергии от внешнего источника, называются автоколебательными, а происходящие в них незатухающие периодические процессы - автоколебаниями. Такими системами являются часы, электрический звонок, ламповый генератор электромагнитных колебаний и т.д. 1.3 Разложение колебаний в гармонический спектр. Применение гармонического анализа для обработки диагностических данных Сложение гармонических колебаний, направленных по одной прямой. Возможны случаи, когда тело участвует одновременно в нескольких колебаниях, происходящих вдоль одного и того же или вдоль различных направлений. Рассмотрим сложение двух гармонических колебаний одинакового направления, одинаковой частоты и с одинаковыми амплитудами, но с разными начальными фазами a01 и a02 . Смещение x колеблющегося тела будет суммой смещений x1 и x2 : x = x1 + x2 = Acos(w0 t + a01 ) + Acos(w0 t + a02 ). Используя известную из тригонометрии формулу для суммы косинусов двух углов,
Aрез
то есть получается гармоническое колебание той же частоты с начальной фазой Как видно, амплитуда Aрез результирующего колебания зависит от разности фаз складываемых колебаний. Рассмотрим два крайних случая: А) Колебания происходят в фазе, то есть a01
= a02
, тогда Если амплитуды не равны, Aрез = A1 + A2 . Б) Колебания происходят в противофазе, то есть a01
= a02
±p, тогда Таким образом, при сложении двух одинаково направленных гармонических колебаний одного периода и с равными амплитудами получается гармоническое колебание того же периода с амплитудой, которая в зависимости от соотношения фаз складываемых колебаний может изменяться от удвоенного значения, если колебания происходят в фазе, до нуля, если они находятся в противофазе. При сложении гармонических колебаний с разными частотами результирующее колебание не будет гармоническим, а будет являться сложным колебанием (Рис.4.).
![]() ![]() Рис. 4. Сложение гармонических колебаний с разными частотами: А) исходные колебания, Б) результирующее колебание. Сложное колебание и его гармонический спектр. Согласно теореме Фурье, любое сложное колебание может быть представлено как сумма простых (гармонических) колебаний (гармоник), периоды или частоты которых кратны основному периоду или частоте сложного колебания. Совокупность простых колебаний, на которые можно разложить данное сложное колебание, называется его гармоническим спектром. В гармоническом спектре сложного колебания указываются частоты и амплитуды всех составляющих его простых колебаний. Обычно спектр изображается в виде графика, на горизонтальной оси которого откладываются частоты; затем для каждой из частот простых колебаний имеющихся в спектре, строится ордината, соответствующая амплитуде этого колебания. Если гармонический спектр сложного колебания содержит только небольшое число простых колебаний и график его состоит из отдельных ординат, то такой спектр называется линейчатым (рис. 5.). Если спектр содержит простые колебания практически всех частот в каких-то пределах, то он называется сплошным и график его строится в виде сплошной огибающей кривой. Установление гармонического спектра является основным приемом при анализе сложного колебания. Этот анализ делается с помощью специальных приборов —гармонических анализаторов. Они применяются и в медицине при исследовании, например, колебаний биопотенциалов головного мозга и др. Многие процессы человеческого организма являются периодическими: сердечные сокращения, дыхание, кровенаполнение сосудов и т. п
Сложение взаимно-перпендикулярных колебаний. В результате сложения двух взаимно-перпендикулярных колебаний различного периода тело движется по сложным фигурам, форма которых зависит от соотношения периодов, амплитуд и начальных фаз складываемых колебаний и которые называются фигурами Лиссажу.
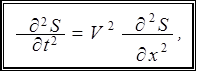
Рис. 6. Фигуры Лиссажу для колебаний различающихся начальными фазами Da. 1.4 Механические волны, их виды и скорость распространения Колебательная система может отдавать энергию во внутреннюю среду. Эта передача энергии становится возможной благодаря тому, что частицы среды сами представляют собой миниатюрные колебательные системы. Молекулы среды связаны друг с другом силами, законы которых в известных границах подобны законам упругих сил. Если одна из частиц окажется выведенной из положения равновесия, то силы, действующие на нее со стороны соседних частиц, заставляют ее вновь вернуться к устойчивому положению. Вместе с тем, по закону равенства действия и противодействия, соседние частицы также подвергнутся влиянию смещающих сил и в свою очередь будут выведены из устойчивого положения. Таким образом, каждое возмущение, однажды возникнув в определенном участке среды, будет постепенно распространяться, захватывая частицы, все дальше и дальше отстоящие от места начального возмущения. Колебательный процесс благодаря взаимодействию частиц будет распространяться в среде с некоторой конечной скоростью. Процесс распространения колебаний в среде называется волновым движением или просто волной. Для нашего случая это будет упругая или механическая волна. Различают продольные и поперечные волны. Вид волн, распространяющихся в среде, существенно зависит от упругих свойств среды. Волна, распространяющаяся в том же направлении, в котором происходят колебания частиц среды, называется продольной волной. Продольные волны образуются в телах, обладающих упругостью объема, т.е. противодействующих деформации объемного сжатия. Это свойственно всем телам, поэтому они образуются в любых средах: твердых, жидких, газообразных. К продольным волнам, в частности, относятся звуковые, инфразвуковые и ультразвуковые. Волна, в которой колебательное движение совершается перпендикулярно к направлению распространения колебаний, называется поперечной . Поперечные упругие волны образуются только в твердых телах, которые обладают упругостью формы, т.е. противодействуют деформации сдвига (например, сейсмические волны в земной коре при землетрясениях; волны, бегущие вдоль натянутой струны; крутильные волны, вызываемые попеременным закручиванием и раскручиванием конца длинного стержня). Продольные и поперечные колебания частиц среды, несущей волну, представляют собой частные случаи волнового процесса. Существуют и другие волны, в которых колебательные движения складываются из одновременных продольных и поперечных смещений. Это волны вздутия, поверхностные. Уравнение волны. Рассмотрим поперечную волну. В поперечной волне частицы среды не смещаются в направлении распространения волны. Но колебания каждой последующей частицы среды запаздывают по фазе относительно предыдущих частиц. Вследствие этого гребни и впадины волны, заметные для глаза, перемещаются в направлении распространения волны. Это и отмечается наблюдателем как движение волны. Под скоростью волны понимается скорость, с которой в среде перемещаются одинаковые фазы колебаний частиц. Эта скорость называется фазовой скоростью волны. Скорость волны зависит от упругих свойств (а также плотности) среды. Расстояние между двумя ближайшими точками среды, колебания которых происходят в одинаковой фазе, называется длиной волны l или расстояние, на которое распространяются колебания в среде за время, равное одному периоду колебания. Она численно равняется произведению скорости V распространения волны на период Т или отношению скорости распространения волны к частоте n колебания: l = VT = Поскольку скорость распространения волны зависит от свойств среды, длина волны при переходе волны из одной среды в другую изменяется, хотя частота колебаний остается неизменной. Кроме l, А, или Т колебаний волна характеризуется формой колебания частиц в волне. Так же как и колебания, волны делятся на простые (гармонические) и сложные . Колебания, возбуждаемые в одной точке, в однородной изотропной среде распространяются от нее равномерно по всем направлениям, такая волна называется сферической. Если источник колебаний имеет значительную плоскую поверхность, то волна от него будет распространяться направленным потоком перпендикулярно поверхности источника; такая волна называется плоской . Составим уравнение плоской гармонической волны, позволяющее определить смещение S точки Б среды, находящейся на любом расстоянии x от начальной точки А, в направлении распространения волны в любой момент времени. Пусть для начальной точки А уравнение колебания: SA = A coswt.
Точка Б совершает колебание с запаздыванием по фазе на угол j0 = wt0, соответствующий промежутку времени t, за который волна проходит расстояние x между точками А и Б. Тогда для точки Б уравнение колебания будет: SБ = A cos(w t - j0) = A cos(w t - w t0) = A cosw (t - t0) Подставляя значение t0 = SБ = Заменив в уравнении V = nl и w = 2 pn , тогда: SБ = Таким образом, смещение S точек среды в упругой волне является функцией двух переменных: времени t и расстояния x точки от центра возбуждения колебаний, то есть S = f1(x,t). Если выбрать определенный момент времени (t1 = const), то уравнение дает зависимость смещения от расстояния x: St = f2(x) , то есть величину смещений точек среды вдоль направления x в заданный момент времени t1. График этой зависимости (как бы моментальный снимок волны) называют графиком волны . Для простой (гармонической) волны график имеет форму синусоиды или косинусоиды. Зависимость между смещением S точки, ее координатой x и временем t, выраженная в дифференциальной форме называется волновым уравнением.
![]() Для составления уравнения плоской волны находим частные производные второго порядка от смещения S по времени t и координате x :
![]()
Таким образом, вторая производная смещения по времени пропорциональна второй производной смещения по координате. Коэффициент пропорциональности равен квадрату скорости распространения волны V. Это и есть дифференциальное уравнение плоской волны, распространяющейся в направлении оси xсо скоростью V(см. формулу 17). Оно в наиболее общем виде описывает распространение волнового процесса. Основные характеристики (амплитуда, период или частота, длина волны и форма колебаний) продольной волны, её уравнение и графику аналогичны поперечной.
Рис. 7. График плоской волны 1.5 Энергетические характеристики волны механическое колебание гармонический спектр При волновом движении происходит перенос энергии, которая состоит из кинетической и потенциальной энергий колеблющихся частиц среды. Причем потенциальная энергия обусловлена деформацией вещества при взаимном смещении частиц. В отличие от колебаний свободного тела в волне не происходит взаимного перехода кинетической и потенциальной энергии частиц. Мгновенные значения той и другой энергии изменяются одновременно (в фазе) соответственно изменению смещения частиц. Для мгновенного значения энергии (потенциальной и кинетической) одной частицы можно записать:
где S- смещение частицы, w- частота колебания частицы, A- амплитуда колебания частицы, V- скорость волнового процесса, в котором участвует частица, m – масса одной частицы. Из формулы 18 следует, что мгновенные значения энергии каждой частицы среды изменяются во времени с удвоенной частотой колебания, причем в каждый момент времени эти значения для различных частиц отличаются. Однако среднее значение энергии за период колебания для всех частиц одинаково и составляет: eср = Рассчитаем энергию волны для некоторого объема DV среды, в которой она распространяется.
Если в единице объема среды содержится N частиц, то r = Nm —плотность среды и среднее значение энергии волны в объеме DV будет: Еср
= где Величина, численно равная средней энергии Еср , переносимой волной в единицу времени t через заданную поверхность S, перпендикулярную направлению распространения волны, называется потоком энергии через эту поверхность: Ф = и измеряется в единицах мощности - Вт. Поток энергии, приходящийся на единицу поверхности, называется плотностью потока энергии:
и измеряется в Вт/м2. Плотность потока энергии называют также интенсивностью волны. В векторной форме:
Плотность потока энергии, переносимого волной, можно рассматривать как вектор, совпадающий по направлению с вектором скорости волны. Вектор
Вектор Умова для упругой волны зависит от плотности среды, квадрата амплитуды колебания частиц, квадрата частоты колебаний и скорости распространения волны. Николай Алексеевич Умов (1846-1915) является исследователем потока энергии. Идеи о движении энергии были изложены в его диссертации "Уравнения движения энергии в телах", защищенной им в 1874 году на физико-математическом факультете Московского университета. И только через десять лет к таким же выводам о движении энергии пришел английский физик Пойнтинг. Имя Умова вошло в историю физики. Список использованных источников 1. Биофизика: Учебник / Тарусов Б. Н., Антонов В. Ф., Бурлакова Е. В. и др. – М.: Высшая школа, 1968. – 464 с. 2. Аккерман Ю. Биофизика: Учебник. – М.: Мир, 1964. – 684 с. 3. Ремизов А. Н. Медицинская и биологическая физика: Учеб. для мед. спец. Вузов. – М.: Высшая школа, 1999. – 616 с. 4. Лекционные демонстрации по физике./ Грабовский М. А., Молодзеевский А. Б., Телеснин Р. В. и др. – М.: Наука, 1972. – 639 с. 5. Ливенцев Н. М. Курс физики: Учеб. для вузов. В 2-х т. – М.: Высшая школа, 1978. – т. 1. - 336 с., т. 2. - 333 с. 6. Волькенштейн М. В. Общая биофизика: Монография - М.: Наука, 1978. – 599 с. |
|||||||||||||||||||||||||||





.
.
. (6)


(11)
. (12)











