Реферат: Опыт применения критерия Сильвестра в некоторых задачах устойчивости консервативных систем
|
Название: Опыт применения критерия Сильвестра в некоторых задачах устойчивости консервативных систем Раздел: Рефераты по математике Тип: реферат |
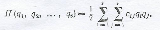
Реферат на тему Опыт применения критерия Сильвестра в некоторых задачах устойчивости консервативных систем Санкт-Петербург2010г. Биография Джеймс Джозеф Сильвестр (3 сентября 1814, Лондон — 15 марта, 1897, Оксфорд) — известный английский математик еврейского происхождения. Сильвестр начал изучать математику в Сент-Джон-колледже Кембриджского университета в 1831 году. Его учёба прерывалась длительными болезнями, но в итоге он занял второе место на выпускном экзамене по математике в 1837 году. Однако он не получил степени бакалавра, так как для этого требовалось подтвердить своё согласие с догматами англиканского вероисповедания, что Сильвестр отказался сделать. В 1841 году он получил степень бакалавра и магистра в Тринити-колледже в Дублине. Здесь евреям, как и католикам, разрешалось получать образование. В том же году он переехал в США чтобы стать профессором в Университете Вирджинии, но вскоре вернулся в Англию. В 1877 году Сильвестр снова переехал в Америку чтобы стать первым профессором математики в новом Университете Джона Хопкинса в Балтиморе. Его жалование составило 5000 долларов (довольно щедрое по тем временам), и он потребовал, чтобы его выплачивали золотом.В 1878 году он основал «Американский математический журнал» — второй в то время в США.В 1880 году Сильвестр был награжден Медалью Копли. В 1883 году он вернулся в Англию, чтобы стать главой кафедры геометрии в Оксфордском университете. Он руководил кафедрой до самой смерти, хотя в 1892 году университет назначил ему заместителя. Именем Сильвестра названа бронзовая медаль (см. Медаль Сильвестра), вручаемая с 1901 года Королевским обществом за выдающиеся заслуги в математике. Устойчивость равновесия консервативной системы с конечным числом степеней свободы Установленное теоремой Лагранжа-Дирихле условие устойчивого равновесия системы с конечным числом степеней свободы заключается в том, что устойчивому равновесному положению соответствует минимум потенциальной энергии. Для системы с конечным числом степеней свободы минимум потенциальной энергии определяется рядом условий. Эти условия обеспечивают соотношения между параметрами системы, при которых любому приращению обобщенных координат, отсчитываемых от положения равновесия, соответствует положительное приращение потенциальной энергии. Потенциальная энергия консервативной системы с s степенями свободы определяется выражением:
На основании теоремы Лагранжа — Дирихле потенциальная энергия системы представляет собой положительную знакоопределенную форму. Функцию называют знакоопределенной, если при любых значениях аргументов она сохраняет один и тот же знак, т. е. является или положительной или отрицательной. Чтобы определить условия, при которых рассматриваемая квадратичная форма является определенно положительной, воспользуемся критерием Сильвестра о знакоопределенности квадратичной формы: для того чтобы квадратичная форма была определенно положительной, необходимо и достаточно, чтобы все главные миноры ее дискриминанта были положительны, т. е. выполнялись следующие условия:
Для потенциальной энергии системы:
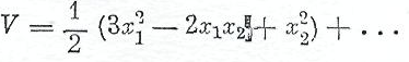
С увеличением числа степеней свободы исследование устойчивости равновесия систем значительно усложняется. Теорема Лагранжа — Дирихле дает критерий, позволяющий утверждать, что равновесное положение консервативной системы устойчиво, если ее потенциальная энергия имеет минимум. Однако по этой теореме нельзя определить, каково равновесие системы, если ее потенциальная энергия в равновесном положении не имеет минимума. В этих случаях применяют следующие теоремы Ляпунова о неустойчивости равновесия. Теорема 1. Равновесное положение системы является положением неустойчивого равновесия, если потенциальная энергия системы в этом положении не имеет минимума; при этом отсутствие минимума определяется членами второго порядка малости, действительно входящими в разложение уравнения потенциальной энергии в ряд Маклорена по степеням малых приращений координат. Теорема 2. Равновесное положение системы является положением неустойчивого равновесия, если потенциальная энергия системы в этом положении имеет максимум; при этом наличие максимума устанавливается членами наименее высокого порядка малости, действительно входящими в разложение уравнения потенциальной энергии в ряд Маклорена. Теорему 2 применяют тогда, корда невозможно определить наличие или отсутствие минимума потенциальной энергии по членам второго порядка, например в случае, когда члены второго порядка малости в разложении потенциальной энергии отсутствуют. Теорема Лагранжа — Дирихле и теоремы Ляпунова относятся к случаю равновесия консервативной системы. Пример 1 Определить условия устойчивости равновесного положения системы с тремя степенями свободы, если потенциальная энергия этой системы определяется следующим выражением:
Где Решение. Для того чтобы потенциальная энергия системы была определенно положительной, ее дискриминант должен иметь все главные диагональные миноры положительными.
Так как
то на основании критерия Сильвестра получим следующие условия устойчивости равновесия системы:
Последний определитель третьего порядка вычисляем по правилу Саррюса
А поэтому
Следовательно, условия устойчивости равновесия этой системы определяются неравенствами
Функции Ляпунова. Критерий Сильвестра Одним из наиболее эффективных методов исследования устойчивости движения является прямой метод Ляпунова, рассмотрим прямой метод для автономных систем. Рассмотрим некоторые вещественные функции
Где Предполагается что в области (1) эти функции однозначны, непрерывны и обращаются в нуль, когда все х1 , . . . , хn равны нулю, т.е. V(0)=0 (2) Если в области (1) функция Vкроме нуля может принимать значения только одного знака, то она называется знакопостоянной (соответственно положительной или отрицательной). Если же знакопостоянная функция обращается в нуль только в том случае, когда все хг , . . . . . ., хп равны нулю, то функция Vназывается знакоопре-деленной (соответственно определенно-положительной или определенно-отрицательной). Функции, принимающие как положительные, так и отрицательные значения, называются знакопеременными функциями. Введенные таким образом функции V, используемые для исследования устойчивости движения, называются функциями Ляпунова.
Пусть знакоопределенная функция V— У (х) непрерывна вместе со своими производными. Тогда при х} = . . . = хп — 0 она. будет иметь изолированный экстремум и, следовательно, все частные производные первого порядка, вычисленные в этой точке, будут равны нулю (необходимые условия существования экстремума)
Разложим функцию Vв ряд Маклорена по степеням х1 , . . . , хn
где точками обозначены члены высшего порядка. Учитывая соотношения (2) и (3), получим
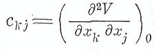
Здесь постоянные числа ckj =cjk определены равенствами
Из формулы (4) видно, что разложение ш-ткоопре-делЕенной функции V в ряд по степеням хъ . . ., хп не содержит членов первой степени. Предположим ,что квадратичная форма
принимает положительные значения и в нуль обращается только при х1 =. . . =хт = 0. Тогда вне зависимости от членов высшего порядка при достаточно малых по модулю Xfфункция У будет принимать также положительные значения и в нуль она булет обращаться только при хг = . . . = хп = 0. Таким образом, если квадратичная форма (6) определённо-положительна, то и функция V будет определённо-положительной. Рассмотрим матрицу коэффициентов квадратичной формы (6):
и составим из нее п главных диагональных миноров (в матрице (7) они окантованы пунктиром)
В линейной алгебре доказывается следующий критерий Сильвестра :для того чтобы квадратичная форма с вещественными коэффициентами была определенно-положительной, необходимо и достаточно, чтобы все главные диагональные миноры А 1г Д2 , . . ., Ап матрицы ее коэффициентов были положительны, т. е.
Из сказанного следует, что критерий Сильвестра (9) для квадратичной части функции Vявляется достаточным (но не необходимым) условием определенной положительности самой функции V. Если функция Vопределенно-отрицательна, то функция — Vбудет определенно-положительной. Поэтому достаточным условием определенной отрицательности функции Vбудет критерий Сильвестра (9) для матрицы —С. Этот критерий имеет вид
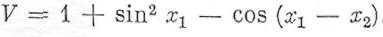
Т.е. определители В качестве примера рассмотрим функцию
Разложим эту функцию в ряд по степеням хх и х2 . Имеем
где точками обозначения члены, содержащие х1 и х2 в степени выше второй. Внося эти выражения для sin3 xt и cos(xL — х2 ) в функцию V, получим
Или, упрощая
Составим матрицу коэффициентов квадратичной части функции V(по главной диагонали стоят коэффициенты при квадратах переменных, элементы с12 и C 2i равны половине коэффициента при дроизведениж хх х2 ):
Вычислим теперь главные диагональные миноры:
Отсюда следует, что условие Сильвестра выполнено (все |









( 3)
(4)
(5)
(6)
(7)
(8)


