Курсовая работа: Обработка результатов измерений
|
Название: Обработка результатов измерений Раздел: Рефераты по математике Тип: курсовая работа |
Введение В практической жизни человек всюду имеет дело с измерениями. На каждом шагу встречаются измерения таких величин, как длина, объем, вес, время и др. Измерения являются одним из важнейших путей познания природы человеком. Они дают количественную характеристику окружающего мира, раскрывая человеку действующие в природе закономерности. Все отрасли техники не могли бы существовать без развернутой системы измерений, определяющих как все технологические процессы, контроль и управление ими, так и свойства и качество выпускаемой продукций. Велико значение измерений в современном обществе. Они служат не только основой научно-технических знаний, но имеют первостепенное значение для учета материальных ресурсов и планирования, для внутренней и внешней торговли, для обеспечения качества продукции, взаимозаменяемости узлов и деталей и совершенствования технологии, для обеспечения безопасности труда и других видов человеческой деятельности. Особенно возросла роль измерений в век широкого внедрения новой техники, развития электроники, автоматизации, атомной энергетики, космических полетов. Высокая точность управления полетами космических аппаратов достигнута благодаря современным совершенным средствам измерений, устанавливаемым как на самих космических аппаратах, так и в измерительно-управляющих центрах. Большое разнообразие явлений, с которыми приходится сталкиваться, определяет широкий круг величин, подлежащих измерению. Во всех случаях проведения измерений, независимо от измеряемой величины, метода и средства измерений, есть общее, что составляет основу измерений – это сравнение опытным путем данной величины с другой подобной ей, принятой за единицу. При всяком измерении мы с помощью эксперимента оцениваем физическую величину в виде некоторого числа принятых для нее единиц, т.е. находим ее значение. В настоящее время установлено следующее определение измерения: измерение есть нахождение значения физической величины опытным путем с помощью специальных технических средств. Отраслью науки, изучающей измерения, является метрология. Слово «метрология» образовано из двух греческих слов: метрон – мера и логос – учение. Дословный перевод слова «метрология» – учение о мерах. Долгое время метрология оставалась в основном описательной наукой о различных мерах и соотношениях между ними. С конца прошлого века благодаря прогрессу физических наук метрология получила существенное развитие. Большую роль в становлении современной метрологии как одной из наук физического цикла сыграл Д.И. Менделеев, руководивший отечественной метрологией в период 1892–1907 гг. Метрология в ее современном понимании – наука об измерениях, методах, средствах обеспечения их единства и способах достижения требуемой точности. Единство измерений – такое состояние измерений, при котором их результаты выражены в узаконенных единицах и погрешности измерений известны с заданной вероятностью. Единство измерений необходимо для того, чтобы можно было сопоставить результаты измерений, выполненных в разных местах, в разное время, с использованием разных методов и средств измерений. Измерение является важнейшим понятием в метрологии. Это организованное действие человека, выполняемое для количественного познания свойств физического объекта с помощью определения опытным путем значения какой-либо физической величины [20]. Существует несколько видов измерений. При их классификации обычно исходят из характера зависимости измеряемой величины от времени, вида уравнения измерений, условий, определяющих точность результата измерений и способов выражения этих результатов. По характеру зависимости измеряемой величины от времени измерения разделяются на статические, при которых измеряемая величина остается постоянной во времени; динамические, в процессе которых измеряемая величина изменяется и является непостоянной во времени. Статическими измерениями являются, например, измерения размеров тела, постоянного давления, динамическими – измерения пульсирующих давлений, вибраций. По способу получения результатов измерений их разделяют на прямые; косвенные; совокупные; совместные. Прямые – это измерения, при которых искомое значение физической величины находят непосредственно из опытных данных. Прямые измерения можно выразить формулой При прямых измерениях экспериментальным операциям подвергают измеряемую величину, которую сравнивают с мерой непосредственно или же с помощью измерительных приборов, градуированных в требуемых единицах. Примерами прямых служат измерения длины тела линейкой, массы при помощи весов и др. Прямые измерения широко применяются в машиностроении, а также при контроле технологических процессов (измерение давления, температуры и др.). Косвенные – это измерения, при которых искомую величину определяют на основании известной зависимости между этой величиной и величинами, подвергаемыми прямым измерениям, т.е. измеряют не собственно определяемую величину, а другие, функционально с ней связанные. Значение измеряемой величины находят путем вычисления по формуле
F– функциональная зависимость, которая заранее известна, Примеры косвенных измерений: определение объема тела по прямым измерениям его геометрических размеров, нахождение удельного электрического сопротивления проводника по его сопротивлению, длине и площади поперечного сечения. Косвенные измерения широко распространены в тех случаях, когда искомую величину невозможно или слишком сложно измерить непосредственно или когда прямое измерение дает менее точный результат. Роль их особенно велика при измерении величин, недоступных непосредственному экспериментальному сравнению, например размеров астрономического или внутриатомного порядка. Совокупные – это производимые одновременно измерения нескольких одноименных величин, при которых искомую определяют решением системы уравнений, получаемых при прямых измерениях различных сочетаний этих величин. Примером совокупных измерений является определение массы отдельных гирь набора (калибровка по известной массе одной из них и по результатам прямых сравнений масс различных сочетаний гирь). Пример. Необходимо произвести калибровку разновеса, состоящего из гирь массой 1, 2, 2*, 5, 10 и 20 кг (звездочкой отмечена гиря, имеющая то же самое номинальное значение, но другое истинное). Калибровка состоит в определении массы каждой гири по одной образцовой гире, например по гире массой 1 кг. Для этого про-ведем измерения, меняя каждый раз комбинацию гирь (цифры показывают массу отдельных гирь,
Буквы Совместные – это производимые одновременно измерения двух или нескольких неодноименных величин для нахождения зависимостей между ними. В качестве примера можно назвать измерение электрического сопротивления при 200С и температурных коэффициентов измерительного резистора по данным прямых измерений его сопротивления при различных температурах. По условиям, определяющим точность результата, измерения делятся на три класса: 1. Измерения максимально возможной точности, достижимой при существующем уровне техники. К ним относятся в первую очередь эталонные измерения, связанные с максимально возможной точностью воспроизведения установленных единиц физических величин, и, кроме того, измерения физических констант, прежде всего универсальных (например абсолютного значения ускорения свободного падения, гиромагнитного отношения протона и др.). К этому же классу относятся и некоторые специальные измерения, требующие высокой точности. 2. Контрольно-поверочные измерения, погрешность которых с определенной вероятностью не должна превышать некоторого заданного значения. К ним относятся измерения, выполняемые лабораториями государственного надзора за внедрением и соблюдением стандартов и состоянием измерительной техники и заводскими измерительными лабораториями, которые гарантируют погрешность результата с определенной вероятностью, не превышающей некоторого, заранее заданного значения. 3. Технические измерения, в которых погрешность результата определяется характеристиками средств измерений. Примерами технических измерений являются измерения, выполняемые в процессе производства на машиностроительных предприятиях, на щитах распределительных устройств электрических станций и др. По способу выражения результатов измерений различают абсолютные и относительные измерения. Абсолютными называются измерения, которые основаны на прямых измерениях одной или нескольких основных величин или на использовании значений физических констант. Примером абсолютных измерений может служить определение длины в метрах, силы электрического тока в амперах, ускорения свободного падения в метрах на секунду в квадрате. Относительными называются измерения отношения величины к одноименной величине, играющей роль единицы, или измерения величины по отношению к одноименной величине, принимаемой за исходную. В качестве примера относительных измерений можно привести измерение относительной влажности воздуха, определяемой как отношение количества водяных паров в 1 м3 воздуха к количеству водяных паров, которое насыщает 1 м3 воздуха при данной температуре. Основными характеристиками измерений являются: принцип измерений, метод измерений, погрешность, точность, правильность и достоверность. Принцип измерений – физическое явление или совокупность физических явлений, положенных в основу измерений. Например, измерение массы тела при помощи взвешивания с использованием силы тяжести, пропорциональной массе, измерение температуры с использованием термоэлектрического эффекта. Метод измерений – совокупность приемов использования принципов и средств измерений. Средствами измерений являются используемые технические средства, имеющие нормированные метрологические свойства. Погрешность измерений – разность между полученным при измерении X' и истинным Q значениями измеряемой величины:
Погрешность вызывается несовершенством методов и средств измерений, непостоянством условий наблюдения, а также недостаточным опытом наблюдателя или особенностями его органов чувств. Точность измерений – это характеристика измерений, отражающая близость их результатов к истинному значению измеряемой величины. Количественно точность можно выразить величиной, обратной модулю относительной погрешности:
Например, если погрешность измерений равна Правильность измерения определяется как качество измерения, отражающее близость к нулю систематических погрешностей результатов (т.е. таких погрешностей, которые остаются постоянными или закономерно изменяются при повторных измерениях одной и той же величины). Правильность измерений зависит, в частности, от того, насколько действительный размер единицы, в которой выполнено измерение, отличается от ее истинного размера (по определению), т.е. от того, в какой степени были правильны (верны) средства измерений, использованные для данного вида измерений. Важнейшей характеристикой качества измерений является их достоверность; она характеризует доверие к результатам измерений и делит их на две категории: достоверные и недостоверные, в зависимости от того, известны или неизвестны вероятностные характеристики их отклонений от истинных значений соответствующих величин. Результаты измерений, достоверность которых неизвестна, не представляют ценности и в ряде случаев могут служить источником дезинформации. Наличие погрешности ограничивает достоверность измерений, т.е. вносит ограничение в число достоверных значащих цифр числового значения измеряемой величины и определяет точность измерений. Обработка результатов косвенных измерений Пусть при косвенных измерениях величина Z рассчитывается по экспериментальным данным, полученным по m измерениям величин aj:
Запишем полный дифференциал функции:
В случае слабой зависимости функции от аргументов её приращение может быть выражено в виде линейной комбинации
Каждое слагаемое в (2.3.13) представляет собой частную погрешность результата косвенных измерений. Производные Формула (2.3.13) является приближённой, т. к. учитывает только линейную часть приращений функции. В большинстве практических случаев такое приближение оправдано. Если известны систематические погрешности Если частные производные в (2.3.13) имеют разные знаки, то происходит частичная компенсация систематических погрешностей. Если формула (2.3.13) используется для вычисления предельной погрешности, то она принимает вид:
Рассмотрим, как, используя формулу (2.3.13), можно оценить случайную погрешность косвенных измерений. Пусть погрешность прямых измерений Использую (2.3.13) запишем выражения для математического ожидания и дисперсии погрешности косвенных измерений
Для вычисления дисперсии воспользуемся правилом сложения погрешностей:
Где Если погрешности
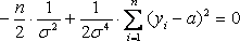
Обработка результатов прямых измерений Пусть результаты прямых измерений равны n прямых измерений равны y 1, y 2,…, yn. Предположим, что истинное значение измеряемой величины равно a, тогда Относительно погрешности предполагаются следующие допущения: 1) 2) Математическое ожидание 3) Погрешность 4) Измерения независимы. При этих допущениях плотность распределения результата измерения
В данном случае истинное значение измеряемой величины a входит в формулу (2.3.1) как параметр. Вследствие независимости отдельных измерений плотность распределения системы величин y 1, y 2,…, yn. выражается формулой:
С учетом (2.3.1) и независимости y 1, y 2,…, yn. их многомерная плотность распределения (2.3.2) представляет собой функцию правдоподобия:
Используя функцию правдоподобия (2.3.3) необходимо найти оценку ao для измеряемой величины a таким образом, чтобы в (2.3.3) a = aoвыполнялось условие:
Для выполнения (2.3.4) необходимо, чтобы
По сути условие (2.3.5) является формулировкой критерия наименьших квадратов, т.е. для нормального распределения оценки по методу наименьших квадратов и методу максимального правдоподобия совпадают. Из (2.3.4) и (2.3.5) можно получить также наилучшую оценку
Важно понимать, что полученная оценка является случайной величиной с нормальным распределением. При этом
Таким образом, получая Для оценки неопределенности величины
После дифференцирования получим
а далее, из (2.3.9) – оценку дисперсии
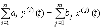
Таким образом мы доказали, что для нормально распределенных данных СКО является лучшей оценкой дисперсии. Обработка результатов совместных измерений При совместных измерениях полученные значения используются для построения зависимостей между измеряемыми величинами. Рассмотрим многофакторный эксперимент, по результатом которого должна быть построена зависимость Предположим далее, что зависимость В этом случае искомые величины определяются в результате решения системы линейных уравнений:
Где В предположении, что система уравнений (2.3.18) является точной, но значения
где
Для решения задачи мы вынуждены использовать значения Поэтому уравнения системы (2.3.18) иногда называют условными. Оценим случайную погрешность совместных измерений. Пусть погрешность
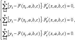
Для нахождения экстремума функции правдоподобия (2.3.21) воспользуемся уже известной процедурой. Прологарифмируем (2.3.21) и найдём значения, при которых функция достигает экстремума. Условие максимума функции (2.3.21) является:
Таким образом ((2.3.22)) отвечает требованиям метода наименьших квадратов. Следовательно, при нормальном распределении случайной погрешности оценки по методу максимального правдоподобия и по методу наименьших квадратов совпадает. Для нахождения оценки Для каждого значения
Система уравнений (2.3.23) является линейной относительно Система (2.3.23) решается методом определителей
Где D
– определитель матрицы Для нахождения оценки дисперсии результатов
Построение функциональной зависимости при однофакторном эксперименте Пусть при однофакторном эксперименте имеется выборка, описывающая изменения входных параметров, и набор выходных величин (рис. 3.1). Необходимо построить зависимость
Рис. 3.1 Для анализа экспериментальных данных существует очень много способов задания этой зависимости аналитическими и численными методами. Мы отметим лишь самые распространенные из них: 1. Дальнейшая обработка может проводиться при непосредственном численном использовании массива значений 2. 2. В случае, когда количество измерений i
не слишком велико и разброс значений Пусть Интерполирующая функция Многочлен Требуя выполнения условия (3.1.1), получим систему из
где каждому Вместо решения системы уравнений (3.1.2) на практике используются более удобные и менее трудоемкие способы, в частности: · интерполирование многочленом Лагранжа; · интерполирование многочленом Ньютона. Интерполяционные формулы Ньютона особенно удобны в случае равноотстоящих узлов ( 3. При слишком высокой степени полинома проблемы можно избежать, разбив отрезок интерполяции на несколько частей с построением для каждой из них своего интерполяционного многочлена. Такое интерполирование имеет серьезный недостаток: в точках стыка интерполяционных многочленов оказывается разрывной первая производная. На рисунке 3.2 показан простейший способ такой интерполяции экспериментальной зависимости – соединение соседних точек прямыми (многочлен степени 4. Если необходимо, чтобы зависимость имела непрерывные производные, пользуются сплайнами. Сплайн (от англ. spline– рейка) – функция, являющаяся алгебраическим многочленом на каждом отрезке
Рис. 3.2. 5. При однофакторном эксперименте, когда имеются результаты многократных измерений со случайной погрешностью (см. параграф 2.2 настоящего пособия), проведение зависимости через все экспериментальные точки бессмысленно. Чаще всего в этом случае для построения функциональной зависимости пользуются методом наименьших квадратов (МНК). Построение функциональной зависимости при помощи метода наименьших квадратов. Данный метод используется тогда, когда число точек i (узлов) велико и построение плавной зависимости
проходящей через все точки
Задача сводится к отысканию минимума
(3.1.5) Решив систему (3.1.5) относительно параметров a, b, c находим конкретный вид искомой функции. Приближающая (приближенная) функция может иметь любой вид: линейная зависимость, парабола, синусоида и т.д. Чаще всего используются алгебраические многочлены не выше третьего порядка. В большинстве случаев анализируется линейная регрессия, когда
Главная особенность регрессионного анализа состоит в том, что регрессия y на x не соответствует регрессии x на y (см. рис. 3.3).
Рис. 3.3. Поясним это свойство регрессионных зависимостей. Пусть формула регрессии имеет вид (3.1.6), приведем ее обратную функцию:
Обратим внимание, что в (3.1.7) свободный член
Рис. 3.4 Графически это поясняется на рис. 3.4, где по трем экспериментальным точкам построены регрессии y(x) и x(y), которые не совпадают. Для минимизации СКО трех экспериментальных точек от прямой, зависимость должна проходить через одну из них и в середине между двумя другими точками. Как видно из рис. 3.4, линейные регрессии, построенные из этих соображений пресекаются в центре области экспериментальных значений и имеют разный наклон. Быстрые методы построения функциональных зависимостей Задача выбора вида функциональной зависимости – задача неформализуемая, так как одна и та же экспериментальная зависимость может быть описана разными аналитическими выражениями приблизительно с одинаковой точностью. Например, U– образная кривая может быть описана как параболой, так и куском синусоиды. Основное требование к математической модели – компактность и удобство использования, потому чаще всего пользуются алгебраическими многочленами, экспоненциальными и тригонометрическими функциями. Другое требование – интерпретируемость. Например, если экспериментальная зависимость описывает изменение амплитуды затухающих колебаний, то функциональная зависимость может быть построена в виде Погрешность в выборе функциональной зависимости называется погрешностью адекватности модели. Для ее устранения надо рассматривать теоретическую модель описываемого явления или процесса. Быстрые методы установления графического вида однофакторных зависимостей. Простейший экспресс-метод статистической обработки – метод контура (рис. 3.5, а, б). Его суть – обведение экспериментальных точек плавными границами. Требование плавности подразумевает, что некоторые точки могут оказаться вне контура (рис. 3.5, а). Метод контура можно использовать тогда, когда разброс экспериментальных точек не слишком велик (рис. 3.5, б).
а б в Рис. 3.5 На рисунке 3.5, в показано построение экспериментальной зависимости более строгим экспресс-методом, – методом медианных центров. Для этого область экспериментальных данных разбивается вертикальными линиями на несколько областей (в данном случае – три области), в каждой из которых находится равное количество экспериментальных точек. Медианными центрами каждой из этих областей по координате x являются точки, справа и слева от которых находится равное количество экспериментальных отсчетов. Найдя таким образом координаты Связь коэффициента линейной регрессии, коэффициента корреляции и относительной погрешности. Пусть по результатам однофакторного эксперимента строится линейная регрессия
С другой стороны коэффициент корреляции, характеризующий связь между
Сопоставляя (3.2.1) и (3.2.2), найдем связь между коэффициентом регрессии a и коэффициентом корреляции R:
где
Рис. 3.6 тогда возможное отклонение по оси y от среднего значения
где Поскольку в практических случаях
Где Быстрая оценка коэффициента корреляции исходных данных. Быструю оценку коэффициента корреляции и погрешности исходных данных можно провести также методом медианных центров (рис. 3.7). Разобьем поле экспериментальных точек вертикальной чертой на две равные по числу точек области (
Рис. 3.7 По различию прямых a и bможно с учетом (3.2.3) оценить коэффициент корреляции:
где
Таким образом, быстрая оценка коэффициента корреляции и значения относительной погрешности основывается на том, что прямые a и b обязательно проходят через точку пересечения границ О. При этом, чем выше разброс экспериментальных данных (невытянутая область), тем больше будет угол между прямыми a и b. При построении регрессионных зависимостей методом медианных центров, необходимо помнить, что полученные линии регрессии в общем случае отличаются от соответствующих зависимостей, полученных при помощи МНК. Их различия будут уменьшаться при увеличении количества экспериментальных точек, если разброс экспериментальных данных подчиняется нормальному закону распределения. Классификация погрешностей измерений Погрешность средств измерения и результатов измерения. В первую очередь погрешность измерений следует разделить на погрешность средств измерений и погрешность результатов измерений. Погрешности средств измерений – отклонения метрологических свойств или параметров средств измерений от номинальных, влияющие на погрешности результатов измерений (создающие так называемые инструментальные ошибки измерений). Погрешность результата измерения – отклонение результата измерения х изм. от действительного (истинного) значения измеряемой величины В свою очередь погрешности средств измерений можно разделить на инструментальную и методическую погрешности. Инструментальные и методические погрешности. Методическая погрешность обусловлена несовершенством метода измерений или упрощениями, допущенными при измерениях. Так, она возникает из-за использования приближенных формул при расчете результата или неправильной методики измерений. Выбор ошибочной методики возможен из-за несоответствия (неадекватности) измеряемой физической величины и ее модели. Причиной методической погрешности может быть не учитываемое взаимное влияние объекта измерений и измерительных приборов или недостаточная точность такого учета. Например, методическая погрешность возникает при измерениях падения напряжения на участке цепи с помощью вольтметра, так как из-за шунтирующего действия вольтметра измеряемое напряжение уменьшается. Механизм взаимного влияния может быть изучен, а погрешности рассчитаны и учтены. Инструментальная погрешность обусловлена несовершенством применяемых средств измерений. Причинами ее возникновения являются неточности, допущенные при изготовлении и регулировке приборов, изменение параметров элементов конструкции и схемы вследствие старения. В высокочувствительных приборах могут сильно проявляться их внутренние шумы. Статическая и динамическая погрешности. Статическая погрешность измерений – погрешность результата измерений, свойственная условиям статического измерения, то есть при измерении постоянных величин после завершения переходных процессов в элементах приборов и преобразователей. Динамическая погрешность измерений – погрешность результата измерений, свойственная условиям динамического измерения. Динамическая погрешность появляется при измерении переменных величин и обусловлена инерционными свойствами средств измерений. Статические и динамические погрешности относятся к погрешностям результата измерений. В большей части приборов статическая и динамическая погрешности оказываются связаны между собой, поскольку соотношение между этими видами погрешностей зависит от характеристик прибора и характерного времени изменения величины. Более подробно соотношение между этими погрешностями рассмотрено в главе 4, где описаны виды регистрирующей аппаратуры. Систематические и случайные погрешности. Систематическая погрешность измерения – составляющая погрешности измерения, остающаяся постоянной или закономерно изменяющаяся при повторных измерениях одной и той же физической величины. Систематические погрешности являются в общем случае функцией измеряемой величины, влияющих величин (температуры, влажности, напряжения питания и пр.) и времени. В функции измеряемой величины систематические погрешности входят при поверке и аттестации образцовых приборов. Случайными называют составляющие погрешности измерений, изменяющиеся случайным образом при повторных измерениях одной и той же величины. Случайные погрешности определяются совместным действием ряда причин: внутренними шумами элементов электронных схем, наводками на входные цепи средств измерений, пульсацией постоянного питающего напряжения, дискретностью счета. Случайные погрешности будут более подробно рассмотрены в следующем параграфе данной главы. Погрешности адекватности и градуировки. Погрешность градуировки средства измерений – погрешность действительного значения величины, приписанного той или иной отметке шкалы средства измерений в результате градуировки. Погрешностью адекватности модели называют погрешность при выборе функциональной зависимости. Характерным примером может служить построение линейной зависимости по данным, которые лучше описываются степенным рядом с малыми нелинейными членами. Погрешность адекватности относится к измерениям для проверки модели. Если зависимость параметра состояния от уровней входного фактора задана при моделировании объекта достаточно точно, то погрешность адекватности оказывается минимальной. Эта погрешность может зависеть от динамического диапазона измерений, например, если однофакторная зависимость В целом в теории планирования эксперимента погрешность адекватности может иметь большое значение, поскольку в многофакторных экспериментах чаще всего рассматривается линейная зависимость параметров состояния от факторов. Абсолютная, относительная и приведенная погрешности. Под абсолютной погрешностью понимается алгебраическая разность между номинальным и действительным значениями измеряемой величины.
Если диапазон измерения прибора охватывает и нулевое значение измеряемой величины, то относительная погрешность обращается в бесконечность в соответствующей ему точке шкалы. В этом случае пользуются понятием приведенной погрешности, равной отношению абсолютной погрешности измерительного прибора к некоторому нормирующему значению. В качестве нормирующего значения принимается значение, характерное для данного вида измерительного прибора. Это может быть, например, диапазон измерений, верхний предел измерений, длина шкалы и т.д.
Рис. 2.1 Класс точности прибора – предел (нижний) приведенной погрешности. Аддитивные и мультипликативные погрешности. Аддитивной погрешностью называется погрешность, постоянная в каждой точке шкалы. Мультипликативной погрешностью называется погрешность, линейно возрастающая или убывающая с ростом измеряемой величины. Различать аддитивные и мультипликативные погрешности легче всего по полосе погрешностей (рис. 2.2). Если абсолютная погрешность не зависит от значения измеряемой величины, то полоса определяется аддитивной погрешностью (рис. 2.2, а). Иногда аддитивную погрешность называют погрешностью нуля.
а б Рис. 2.2 Если постоянной величиной является относительная погрешность, то полоса погрешностей меняется в пределах диапазона измерений и погрешность называется мультипликативной (рис. 2.2, б). Ярким примером аддитивной погрешности является погрешность квантования (оцифровки). Класс точности измерений зависит от вида погрешностей. Рассмотрим класс точности измерений - для аддитивной погрешности:
Где X – верхний предел шкалы, – для мультипликативной погрешности
Абсолютная величина погрешности для обоих типов погрешностей может быть выражена одной формулой:
Где Относительная погрешность с учетом (2.1.1) выражается формулой
Нормирование погрешности средств измерений. Кроме нормирования погрешностей в виде класса точности возникает необходимость нормировать их некоторыми особыми способами. Например, нормирование погрешности цифрового частотомера или моста для измерения сопротивлений. Особенность этих приборов состоит в том, что кроме нижнего порога чувствительности мосты для измерения сопротивлений имеют верхний порог, а для цифрового частотомера погрешность зависит не только от измеряемой величины, но и от времени измерений. Вопрос об измерении частот и временных интервалов будет рассмотрен ниже. Нормировка при измерении сопротивлений имеет вид:
Где Округление погрешностей обычно осуществляется до десятичного знака, соответствующего погрешности. Метрологические характеристики средств измерений Все средства измерений, независимо от их конкретного исполнения, обладают рядом общих свойств, необходимых для выполнения ими их функционального назначения. Технические характеристики, описывающие эти свойства и оказывающие влияние на результаты и на погрешности измерений, называются метрологическими характеристиками [9,10]. Перечень важнейших из них регламентируется ГОСТ «Нормируемые метрологические характеристики средств измерений». Комплекс нормируемых метрологических характеристик устанавливается таким образом, чтобы с их помощью можно было оценить погрешность измерений, осуществляемых в известных рабочих условиях эксплуатации посредством отдельных средств измерений или совокупности средств измерений, например автоматических измерительных систем. Одной из основных метрологических характеристик измерительных преобразователей является статическая характеристика преобразования (иначе называемая функцией преобразования или градуировочной характеристикой). Она устанавливает зависимость Статическая характеристика нормируется путем задания в форме уравнения, графика или таблицы. Понятие статической характеристики применимо и к измерительным приборам, если под независимой переменной х понимать значение измеряемой величины или информативного параметра входного сигнала, а под зависимой величиной – показание прибора. Если статическая характеристика преобразования линейна, т.е. Важной характеристикой шкальных измерительных приборов является цена деления, т.е. то изменение измеряемой величины, которому соответствует перемещение указателя на одно деление шкалы. Если чувствительность постоянна в каждой точке диапазона измерения, то шкала называется равномерной. При неравномерной шкале нормируется наименьшая цена деления шкалы измерительных приборов. У цифровых приборов шкалы в явном виде нет, и на них вместо цены деления указывается цена единицы младшего разряда числа в показании прибора. Важнейшей метрологической характеристикой средств измерений является погрешность. Под абсолютной погрешностью меры понимается алгебраическая разность между ее номинальным
Под абсолютной погрешностью измерительного прибора – разность между его показанием
Абсолютная погрешность измерительного преобразователя может быть выражена в единицах входной или выходной величины. В единицах входной величины абсолютная погрешность преобразователя определяется как разность между значением входной величины X, найденной по действительному значению выходной величины и номинальной статической характеристике преобразователя, и действительным значением
Однако в большей степени точность средства измерений характеризует относительная погрешность, т.е. выраженное в процентах отношение абсолютной погрешности к действительному значению измеряемой или воспроизводимой данным средством измерений величины:
Обычно Если диапазон измерения прибора охватывает и нулевое значение измеряемой величины, то относительная погрешность обращается в бесконечность в соответствующей ему точке шкалы. В этом случае пользуются понятием приведенной погрешности, равной отношению абсолютной погрешности измерительного прибора к некоторому нормирующему значению
В качестве нормирующего значения принимается значение, характерное для данного вида измерительного прибора. Это может быть, например, диапазон измерений, верхний предел измерений, длина шкалы и т.д. Погрешности измерительных средств принято подразделять на статические, имеющие место при измерении постоянных величин после завершения переходных процессов в элементах приборов и преобразователей, и динамические, появляющиеся при измерении переменных величин и обусловленные инерционными свойствами средств измерений. Согласно общей классификации, статические погрешности измерительных средств делятся на систематические и случайные. Систематические погрешности являются в общем случае функцией измеряемой величины, влияющих величин (температуры, влажности, напряжения питания и пр.) и времени. В функции измеряемой величины систематические погрешности находят при поверке и аттестации образцовых приборов, например, измерением наперед заданных значений измеряемой величины в нескольких точках шкалы. В результате строится кривая или создается таблица погрешностей, которая используется для определения поправок. Поправка в каждой точке шкалы численно равна систематической погрешности и обратна ей по знаку, поэтому при определении действительного значения измеряемой величины поправку следует прибавить к показанию прибора. Так, если поправка к показанию динамометра 120 Н равна +0.6 Н, то действительное значение измеряемой силы составляет 120+0.6=120.6 Н. Удобнее пользоваться поправкой, чем систематической погрешностью, поэтому приборы чаще снабжают кривыми или таблицами поправок. Систематическую погрешность в функции измеряемой величины можно представить в виде суммы погрешности схемы, определяемой самой структурной схемой средства измерений, и технологических погрешностей, обусловленных погрешностями изготовления его элементов. Как те, так и другие виды погрешностей можно рассматривать в качестве систематических лишь при измерении постоянной величины с помощью одного экземпляра измерительного прибора. В массе же измерений различных значений физической величины, осуществляемых одним или многими приборами того же типоразмера, эти систематические погрешности приходится относить к классу случайных. Между погрешностями схемы и технологическими погрешностями средств измерений существует принципиальная разница. Если первые накладывают свой отпечаток на характер изменения по шкале суммарной погрешности всех средств измерений данного типоразмера, то технологические погрешности индивидуальны для каждого экземпляра, т.е. их значения в одних и тех же точках шкалы различны для различных экземпляров приборов. На рис. 15, а показано взаимное положение статических характеристик реального Результатом их проявления является: а) поступательное смещение статической характеристики относительно характеристики идеального прибора и возникновение погрешности, постоянной в каждой точке шкалы; эта погрешность называется аддитивной (рис. 15, б); б) поворот статической характеристики и появление погрешности, линейно возрастающей или убывающей с ростом измеряемой величины и называемой мультипликативной погрешностью (рис. 15, в); в) нелинейные искажения статической характеристики (рис. 15, г); г) появление погрешности обратного хода, выражающейся в несовпадении статических характеристик прибора при увеличении и уменьшении измеряемой величины (рис. 15, д).
Динамические погрешности обусловливаются инерционными свойствами средств измерений и появляются при измерении переменных во времени величин. Типичным случаем является измерение с регистрацией сигнала, изменяющегося со временем. Если
Для средств измерений, являющихся линейными динамическими системами с постоянными во времени параметрами, наиболее общая характеристика динамических свойств – это дифференциальное уравнение. В этом случае уравнение линейное с постоянными коэффициентами:
где Для нормирования динамических свойств средств измерения часто указывают на дифференциальное уравнение, а другие, производные от него динамические характеристики, находятся экспериментальным путем. Сюда относятся передаточная функция, амплитудная и фазовая частотные характеристики, переходная и импульсная переходная функции. К числу метрологических характеристик средств измерения относятся и неинформативные параметры выходного сигнала измерительного преобразователя, поскольку они могут оказывать существенное влияние на погрешность средства измерений. Например, непостоянство амплитуды колебаний баланса наручных часов (неинформативный параметр) приводит к изменению частоты его колебаний (информативный параметр). При восприятии измеряемой величины или измерительного сигнала средство измерений оказывает некоторое воздействие на объект измерения или на источник сигнала. Результатом этого воздействия может быть некоторое изменение измеряемой величины относительно того значения, которое имело место при отсутствии средства измерений. Такое обратное воздействие средства измерений на объект измерений особенно четко просматривается при измерении электрических величин. Так, ЭДС нормального элемента определяется как напряжение на его зажимах в режиме холостого хода. При измерении этого напряжения вольтметром с некоторым конечным входным сопротивлением результат измерения будет зависеть от соотношения между внутренним сопротивлением нормального элемента (его выходное сопротивление) и входным сопротивлением вольтметра. Для оценки возникающей при этом погрешности необходимо знать значения этих сопротивлений, поэтому их следует рассматривать как метрологические характеристики. Влияние внешних воздействий и неинформативных параметров сигналов (влияющих величин) описывается с помощью метрологических характеристик, называемых функциями влияния. Функция влияния Нормирование метрологических характеристик средств измерений Под нормированием понимается установление границ на допустимые отклонения реальных метрологических характеристик средств измерений от их номинальных значений. Только посредством нормирования метрологических характеристик можно добиться их взаимозаменяемости и обеспечить единство измерений в государстве. Реальные значения метрологических характеристик определяют при изготовлении средств измерений и затем проверяют периодически во время эксплуатации. Если при этом хотя бы одна из метрологических характеристик выходит за установленные границы, то такое средство измерений либо подвергают регулировке, либо изымают из обращения [11]. Нормы на значения метрологических характеристик устанавливаются стандартами на отдельные виды средств измерения. При этом делается различие между нормальными и рабочими условиями применения средств измерения. Нормальными считаются такие условия применения средств измерений, при которых влияющие на процесс измерения величины (температура, влажность, частота, напряжение питания, внешние магнитные поля и т.д.), а также неинформативные параметры входных и выходных сигналов находятся в нормальной для данных средств измерений области значений, т.е. в такой области, где их влиянием на метрологические характеристики можно пренебречь. Нормальные области значений влияющих величин указываются в стандартах или технических условиях на средства измерений данного вида в форме номиналов с нормированными отклонениями, например, температура должна составлять 20±2 °С, напряжение питания – 220 В±10% или в форме интервалов значений (влажность 30 – 80%). Рабочая область значений влияющих величин шире нормальной области значений. В ее пределах метрологические характеристики существенно зависят от влияющих величин, однако их изменения нормируются стандартами на средства измерений в форме функций влияния или наибольших допустимых изменений. За пределами рабочей области метрологические характеристики принимают неопределенные значения. Для нормальных условий эксплуатации средств измерений должны нормироваться характеристики суммарной погрешности и ее систематической и случайной составляющих. Суммарная погрешность Перечисленные выше метрологические характеристики следует нормировать не только для нормальной, но и для всей рабочей области эксплуатации средств измерений, если их колебания, вызванные изменениями внешних влияющих величин и неинформативных параметров входного сигнала в пределах рабочей области, существенно меньше номинальных значений. В противном случае эти характеристики нормируются только для нормальной области, а в рабочей области нормируются дополнительные погрешности путем задания функций влияния Для используемых по отдельности средств измерений, точность которых заведомо превышает требуемую точность измерений, нормируются только пределы Динамические характеристики нормируются путем задания номинального дифференциального уравнения или передаточной, переходной, импульсной весовой функции. Одновременно нормируются наибольшие допустимые отклонения динамических характеристик от номинальных. Класс точности – это обобщенная характеристика средств измерений, определяемая пределами допускаемых основных и дополнительных погрешностей, а также рядом других свойств, влияющих на точность осуществляемых с их помощью измерений. Классы точности регламентируются стандартами на отдельные виды средств измерения с использованием метрологических характеристик и способов их нормирования, изложенных в предыдущих главах. Стандарт не распространяется на средства измерений, для которых предусматриваются раздельные нормы на систематическую и случайные составляющие, а также на средства измеререний, для которых нормированы номинальные функции влияния, а измерения проводятся без введения поправок на влияющие величины. Классы точности не устанавливаются и на средства измерений, для которых существенное значение имеет динамическая погрешность. Для остальных средств измерений обозначение классов точности вводится в зависимости от способов задания пределов допускаемой основной погрешности. Пределы допускаемой абсолютной основной погрешности могут задаваться либо в виде одночленной формулы
либо в виде двухчленной формулы
где Более предпочтительным является задание пределов допускаемых погрешностей в форме приведенной или относительной погрешности. Пределы допускаемой приведенной основной погрешности нормируются в виде одночленной формулы
где число Пределы допускаемой относительной основной погрешности могут нормироваться либо одночленной формулой
либо двухчленной формулой
где В обоснованных случаях пределы допускаемой абсолютной или относительной погрешности можно нормировать по более сложным формулам или даже в форме графиков или таблиц. Средствам измерений, пределы допускаемой основной погрешности которых задаются относительной погрешностью по одночленной формуле, присваивают классы точности, выбираемые из ряда чисел р и равные соответствующим пределам в процентах. Так для средства измерений с Если пределы допускаемой основной относительной погрешности выражаются двухчленной формулой (94), то класс точности обозначается как c/d, где числа с и в выбираются из того же ряда, что и р, но записываются в процентах. Так, измерительный прибор класса точности
Классы точности средств измерений, для которых пределы допускаемой основной приведенной погрешности нормируются по формуле (92), обозначаются одной цифрой, выбираемой из ряда для чисел р и выраженной в процентах. Если, например, Классы точности обозначаются римскими цифрами или буквами латинского алфавита для средств измерений, пределы допускаемой погрешности которых задаются в форме графиков, таблиц или сложных функций входной, измеряемой или воспроизводимой величины. К буквам при этом допускается присоединять индексы в виде арабской цифры. Чем меньше пределы допускаемой погрешности, тем ближе к началу алфавита должна быть буква и тем меньше цифра. Недостатком такого обозначения класса точности является его чисто условный характер. В заключение следует отметить, что никакое нормирование погрешностей средств измерений само по себе не может обеспечить единства измерений. Для достижения единства измерений необходима регламентация самих методик проведения измерений. Список литературы 1. Новицкий П.В., Зограф Э.Н. Оценка погрешностей измерений. – Л.: Энергия, 1983, 380 с. 2. Электрические измерения неэлектрических величин // Под ред. П.В. Новицкого. 5-е изд., перераб. и доп.-Л.: Энергия, Ленингр. отделение, 1975, 576 с. 3. Планирование эксперимента в исследовании технологических процессов // К. Хартман, Э. Лецкий, В. Шефер и др.-М.: Мир, 1977, 552 с. 4. Адлер Ю.П., Маркова Е.В., Грановский Ю.В. Планирование эксперимента при поиске оптимальных условий. - М.: Наука, 1976, 279 с. 5. Ахманов С.А., Дьяков Ю.Е., Чиркин А.С. Введение в статистическую радиофизику и оптику. – М.: Наука, 1981. 6. Стрелков С.П. Введение в теорию колебаний. – М.: Наука, 1964. 7. Гудмен Дж. Введение в Фурье-оптику / Пер. с англ. под ред. Г.И. Косоурова. – М.: Мир, 1970. 8. Оптическая обработка информации / Под ред. Д. Кейсесента; Пер с англ. под ред. С.Б. Гуревича. – М.: Мир, 1980. 9. Бурсиан Э.В. Физические приборы. – М.: Просвещение, 1984, 270 с. 10. Куликовский К.Р., Купер В.Я. Методы и средства измерений. – М.: Энергоатомиздат, 1986. 11. Аналоговые электроизмерительные приборы // Под ред. А.А. Преображенского. – М.: Высшая школа, 1979, 351 с. |

(2.3.16)
(2.3.17)
(2.3.1)
(2.3.3)
(2.3.21)

А именно 




(3.2.1)
(3.2.2)
(3.2.4)
(3.2.5)
относительные погрешности.







