Курсовая работа: Статистические методы анализа динамики объема производства продукции и услуг
|
Название: Статистические методы анализа динамики объема производства продукции и услуг Раздел: Рефераты по экономике Тип: курсовая работа | |||||||||||||||||||||||||||||||||||||||||||||||||||||||||||||||||||||||||||
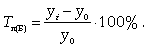
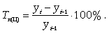
Статистика производства Введение В XX в. статистическая методология развивается на базе новых информационных технологий, сплошного статистического наблюдения, расширения сферы применения выборочных, анкетных, монографических обследований. Заметное влияние оказала и идеология марксизма. Теоретическими основами статистики в нашей стране, ряде стран Европы, Азии, Америки стали марксистская политическая экономия, диалектический и исторический материализм. С развитием статистической науки, расширением сферы практической статистической работы изменялось и содержание понятия статистика. В настоящее время данный термин употребляется в трех значениях: 1) под статистикой понимают отрасль практической деятельности, направленной на получение, обработку и анализ массовых данных о самых различных явлениях общественной жизни; 2) статистикой называют цифровой материал, служащий для характеристики какой-либо области общественных явлений или территориального распределения какого-то показателя; 3) статистика это отрасль знания, особая научная дисциплина и соответственно учебная дисциплина в высших и средних специальных учебных заведениях. Как и всякая наука, статистика имеет свой предмет. Она изучает количественную сторону массовых общественных явлений в неразрывной связи с их качественной стороной или их содержанием, а также количественное выражение закономерностей общественного развития в конкретных условиях места и времени. Целью написания данной курсовой работы является комплексное исследование статистики производства продукции. В ходе выполнения курсовой работы поставлены и решены следующие задачи: - изучены теоретические и методические основы статистики производства продукции; - проведен статистический анализ производства продукции; - приведены решения задач. Для написания работы использовались материалы, официально опубликованные Госкомстатом России и Минэкономразвития России. В работе были использованы труды российских и зарубежных ученых по проблемам статистики. Курсовая работа состоит из введения, двух глав, заключения и списка использованной литературы. 1. Статистические методы анализа динамики объема производства продукции и услуг1.1 Понятие динамики в статистической методологииВыявление закономерности развития и предвидение изменения будущей социально-экономической реальности является целью изучения любого общественного явления. Влияние на будущие процессы невозможно без учета истории их развития, т.е. их прошлого.Исследование, учитывающее временной вектор, можно разбить на три этапа:- анализ фактических ретроспективных данных (данных за прошедший период времени);- прогнозирование дальнейшего развития явления;- сравнение прогнозируемых данных с фактически полученными и коррекция аналитических выводов о закономерностях развития явления.Включение вектора времени в систему аналитических векторов, описывающих изучаемую систему, называется в статистике динамикой. Другими словами, статистическая наука под динамикой понимает изменение явления во времени.Изменение явления отображается с помощью нескольких хронологически упорядоченных значений признака, характеризующих это явление в различные временные промежутки. Такое отображение в статистике принято называть рядом динамики, а отдельные значения признака - уровнями ряда динамики. Уровни динамического ряда обычно обозначаются как «у» для того, чтобы подчеркнуть наличие вектора времени в исследовании.Значение понятия «временной ряд» несколько отличается от понятия динамического ряда: временной ряд характеризует изменение случайной величины с учетом вектора времени. Однако, в некоторых литературных источниках встречается понимание указанных терминов как тождественных.Изменчивость социально-экономического процесса является результатом воздействия на него целого ряда взаимосвязанных и взаимозависимых факторов. Однако, распределить степень влияния на изучаемый процесс между факторами достаточно сложно, а в количественной степени - почти невозможно, ввиду множественности факторов и неопределенности процессов. Поэтому, в статистике выделяют четыре параметра динамического ряда, которые еще называют «ненаблюдаемые компоненты ряда»:1. Вековой уровень, или тренд. В английском языке термин «trend» употребляется в значении «тенденция, общее направление». В статистической науке под трендом понимают тенденцию, характеризующую основную закономерность изменения изучаемого явления во времени. Ключевым словом в данном определении является «основная закономерность», т.е. закономерность, не отражающая (или почти не отражающая) действие случайных факторов. Иначе говоря, тренд характеризует такое изменение явления, которое вызвано только ходом времени.Устранение воздействия случайных факторов в тенденции можно объяснить как некоторое усреднение значений признака для временных промежутков, - средняя величина гасит влияние случайных признаков в ряду распределения.2. Циклическая составляющая. Одной из причин динамики явления может быть его циклический характер. Существует целая теория экономических циклов, которая определяет виды циклов и степень цикличности различных социально-экономических явлений. Иногда понятие «волны» употребляется как тождественное понятию «цикл». Такой «физический» подход к анализу общественных явлений позволяет анализировать сразу несколько циклов, «волновой спектр», в рамках которых развивается явление.Продолжительность циклов (или длину волны) для каждого процесса необходимо определять отдельно, что требует от исследователя глубоких экономических и социологических знаний.3. Сезонная составляющая - это ряд факторов, которые в течение календарного года определенным образом изменяются, и такое изменение повторяется из года в год. В качестве примера влияния этой составляющей на изучаемый признак можно привести изменение показателя «Уровень цен на отдельные продукты питания» в различные периоды года.4. Случайные колебания. Случайными факторами, влияющими на динамику явления, называются такие факторы, появление которых невозможно предвидеть, а степень воздействия сложно измерить ввиду его кратковременности.В литературе можно встретить и другую градацию параметров, влияющих на ряды динамики, т.к. единой их классификации не существует.Ряды динамики имеют две основных характеристики, по которым они классифицируются: тип данных и период времени.В зависимости от типа данных, характеризующих явление, уровня ряда могут быть представлены абсолютными, относительными и средними величинами. В качестве примера можно привести показатели, образующие динамические ряды, соответственно, абсолютных, относительных и средних величин: «Израсходовано на природоохранные мероприятия за год, всего, тыс. руб.», «Удельный вес кредиторской задолженности по заработной плате работникам бюджетной сферы в общем объеме кредиторской задолженности, на 1 января, %» и «Средний размер дотации, получаемый одним муниципальным образованием (МО) за год, в сопоставимых ценах, тыс. руб. на одно МО».Моментный ряд динамики образован моментными признаками, т.е. уровни ряда представлены на определенный момент времени. В интервальном ряду динамики уровни ряда представлены за период времени.1.2 Статистические методы анализа динамики объема производства продукции и услуг В статистическом изучении динамики объема производства продукции и услуг на предприятии можно использовать различные методы. Статистическое исследование динамического ряда объема производства продукции и услуг на предприятии (фирме) осуществляется в несколько этапов: - определение степени изменчивости отдельных уровней объема производства продукции и их сопоставление с уровнями, отстоящими на один промежуток времени; - расчет средних значений показателей объема производства продукции и услуг; - определение перечня факторов, под воздействием которых происходит изменение объема производства продукции и услуг; - отображение основной закономерности развития (тенденции) изучаемого явления; - выявление вероятных путей и результатов развития явления. Для каждого этапа анализа разработаны специальные показатели. Ниже будет рассмотрена система аналитических показателей рядов динамики, соответствующая приведенной классификации этапов исследования. Определение степени изменчивости отдельных уровней объемов производства продукции и услуг. Показатели, позволяющие сравнивать уровни ряда, можно разделить на абсолютные и относительные: первые отображают разницу, а вторые - отношение между уровнями ряда динамики. Кроме того, такие показатели рассчитываются с постоянной и переменной базой сравнения. 2. Абсолютное ускорение (Yi ) отображает разницу между значениями абсолютных приростов для смежных периодов времени и рассчитанных цепным способом.
3. Темп роста - это отношение уровней ряда динамики между собой, когда в качестве базы сравнения принимается уровень для предшествующего периода, выражаемое в коэффициентах или процентах. Относительные показатели динамики, также как и абсолютные, могут рассчитываться с постоянной и переменной базой сравнения, т.е. базисным и цепным способами. Единицы измерения, принимаемые для относительных показателей динамики, выбираются в зависимости от цели анализа. На практике динамика, как правило, нагляднее всего представляется в процентном выражении.
4. Темп прироста (относительный прирост) - это показатель динамики, отражающий относительное изменение абсолютного прироста к уровню динамики.
Целью расчета данного показателя является сопоставление темпа прироста с абсолютным приростом. Расчет средних значений показателей объема производства продукции и услуг. Расчет среднего уровня ряда имеет несколько условный характер, т.к. отражает реальный объем среднего значения производства продукции и услуг только для краткого интервала времени. Большинство общественных явлений изменяются достаточно быстро, поэтому, чем больше период времени, тем в меньшей степени средний уровень соответствует действительности, и тем больше вероятность несопоставимости анализируемых данных. Поэтому, определение среднего уровня динамического ряда корректно, как правило, для 1 года или нескольких лет. Средний абсолютный рост (средний прирост) выпуска или реализации продукции определяется в соответствии с сущностью средней величины, т.е. путем распределения суммарного объема изменения признака поровну между всеми промежутками времени.
Средний относительный рост (средний темп роста) - наиболее часто используемый в анализе показатель динамики. Рассчитывается как: - геометрическая средняя для цепных темпов роста; - базисный темп роста, рассчитанный для последнего периода, вынесенный из-под корня степени, равной количеству цепных темпов роста, или количеству уровней ряда минус единица (n-1). 4. Средний относительный прирост рассчитывается как разность между средним темпом роста и единицей или 100 процентами, в зависимости от единиц измерения, в которых производится анализ.
Определение основной закономерности развития объемов производства продукции и услуг. Включение времени в качестве фактора анализа предполагает возможность отображения через него влияния всех других факторов. Однако, воздействие прочих факторов в каждый период времени неравномерно, что выражается в колебаниях значений уровней ряда. Устранение случайного, кратковременного влияния, выявление основной закономерности развития процесса является важнейшим этапом анализа динамических рядов. Первым шагом анализа закономерности является проверка гипотезы о наличии тенденции. Существуют специальные методы проверки любой статистической гипотезы. В качестве примера можно рассмотреть анализ разности средних уровней. Формулы для применения данного метода проверки гипотезы опускаются, приводится лишь его суть. Анализируемый ряд разбивается на две приблизительно одинаковые части, каждая из которых рассматривается как выборочная совокупность. Для каждой части рассчитывается средний уровень ряда, затем разность между средней для первой половины ряда и средней для второй половины ряда соотносится со средним квадратическим отклонением разности средних. Полученное расчетное значение t-статистики сравнивается с табличным значением, на основе чего делается вывод о наличии тенденции в ряду динамики объема производства продукции и услуг. Данный метод проверки гипотезы о существовании тенденции, как правило, применяется для рядов с монотонной тенденцией. Другие методы проверки гипотез, например, метод Фостера-Стюарта, имеют сложный математический аппарат, поэтому здесь не приводятся. Исключение случайных колебаний значений уровней ряда осуществляется с помощью нахождения «усредненных» значений. Способы устранения случайных факторов делятся на две больше группы: 1. Способы «механического» сглаживания колебаний путем усреднения значений ряда относительно других, расположенных рядом, уровней ряда. 2. Способы «аналитического» выравнивания, т.е. определения сначала функционального выражения тенденции ряда, а затем новых, расчетных значений ряда. Таким образом, проведенный анализ показывает, что в статистическом исследовании динамики производства продукции и услуг могут применяться все возможные методы анализа рядов динамики. статистический индексный затрата себестоимость 2. Статистический анализ 2.1 C татистический анализ влияния факторов (плана, себестоимости) на производство Общественные явления, изучаемые статистикой, постоянно изменяются и развиваются. Например, в хозяйствах из года в год изменяется объем валовой продукции растениеводства и животноводства, поголовье скота, уровень производительности труда и т.д. При изучении этих процессов статистика применяет ряды динамики. Рядами динамики называются ряды чисел, характеризующих изменение явлений во времени. Каждый ряд динамики состоит из двух элементов: 1) уровней, характеризующих величину изучаемого признака; 2) периодов (моментов), к которым относятся эти уровни. В зависимости от характера уровней ряда различают два вида динамических рядов: моментные и интервальные (периодические). Моментным называется ряд динамики, уровни которого характеризуют состояние явления на определенные моменты времени. Важное экономическое значение имеет определение разности уровней моментного ряда динамики, которая характеризует развитие (увеличение или уменьшение) изучаемого явления во времени. Интервальным (периодическим) называется такой динамический ряд, уровни которого характеризуют размер явления за тот или иной период времени. Уровни интервального ряда в отличие от уровней моментного ряда не содержатся в предыдущих или последующих показателях. Поэтому важное экономическое значение имеет суммирование этих уровней. Сумма уровней периодического ряда динамики характеризует уровень данного явления за более длительный отрезок времени. Часто ряды динамики приводят в виде абсолютных величин. Путем их обработки получают ряды динамики относительных и средних величин. Рядом динамики относительных величин называется такой ряд, уровни которого характеризуют изменение относительных размеров изучаемых явлений во времени. Рядом динамики средних величин называется такой ряд, уровни которого характеризуют изменение средних размеров изучаемых явлений во времени. Для анализа динамики общественных явлений исчисляют следующие показатели: 1) абсолютный прирост; 2) темп роста; 3) темп прироста; 4) значение одного процента прироста. Абсолютный прирост (А) показывает, на сколько данный уровень больше или меньше базисного. Абсолютный прирост исчисляется как разница между сравниваемым и базисным уровнем: А = Уn – У о, где А – абсолютный прирост; Уn – уровень, который сравнивается; Уо – уровень, с которым производится сравнение. Темп роста показывает, во сколько раз (процентов) сравниваемый уровень больше или меньше базисного, и рассчитывается как отношение сравниваемого уровня и уровня, принятого за базу сравнения: Тр = Уn / Уо . Темп прироста показывает, на сколько процентов сравниваемый уровень больше или меньше уровня, принятого за базу сравнения, и вычисляется как отношение абсолютного прироста к абсолютному уровню, принятому за базу сравнения. Тпр=А/Уо . Значение одного процента прироста исчисляется как отношение абсолютного прироста к темпу прироста. Значение этого показателя можно вычислить также путем деления первоначального уровня на 100. Значение 1% прироста =Уо/100 . В зависимости от уровня, принятого за базу сравнения, показатели ряда динамики делятся на цепные и базисные. Базисными называются показатели, которые исчисляются по отношению к одному и тому же уровню, принятому за постоянную базу сравнения. Цепными называются показатели, которые исчисляются по отношению к предыдущему уровню. Для общей характеристики развития явления за весь период, охватываемый рядом динамики, исчисляют средний уровень ряда. Средние, исчисленные из абсолютных уровней динамики, называются средними хронологическими. Различают средние хронологические для интервальных и моментных рядов динамики. Средняя хронологическая для интервального ряда рассчитывается по формуле средней арифметической простой, т.е. путем деления суммы всех уровней ряда на их число по формуле: `у = Sу / n , где у – средний уровень; у – уровни ряда; n – число уровней. Для моментного ряда динамики выглядит следующим образом: ухронол=(у1/2+у2+ј+уn-1+yn/2)/(n-1), где n –число уровней. Средние темпы роста исчисляют для обобщения характеристики темпов роста изучаемого явления за ряд лет. Расчет среднего темпа роста производится по формуле средней геометрической: `угеом=nЦу1·у2јуn, где угеом - средний темп роста; у1 јуn – цепные индивидуальные темпы роста; n –число цепных темпов роста. Для исчисления среднего темпа роста пользуются также формулой у геом = n-1√ yn / y1, где уn- конечный уровень динамического ряда; у1 – начальный уровень динамического ряда. Средние темпы прироста представляют собой разность между средним темпом роста и единицей (`у – 1) или 100, когда темп роста выражен в процентах. `у пр = `у геом – 100 . Аналитическое выравнивание представляет собой наиболее точный способ выявления общей закономерности развития явлений. При этом способе средняя линия развития, характеризующая общую закономерность, определяется путем построения соответствующих аналитических уравнений: прямой, параболы, гиперболы и т.д. Прямая линия выражается при помощи следующего уравнения: `уt = а + bt, где уt – выровненные значения ряда; t – время, т.е. порядковые номера периодов или моментов времени; а и b – параметры искомой прямой , т.е. начальный уровень и ежегодный прирост (b – коэффициент регрессии, который показывает, насколько единиц изменится результативный признак при изменении факторного на 1 единицу). Для того, чтобы найти неизвестные параметры уравнения (а и b), необходимо по способу наименьших квадратов решить систему нормальных уравнений: еy = na + bеt ; еyt = aеt + bеt2 , где у – фактические уровни ряда динамики; n – число лет. Для упрощения расчетов в рядах динамики величинам t придают значения, которые при суммировании равны нулю, т.е. еt = 0. В этом случае система нормальных уравнений примет вид: еy = na; еyt = bеt2 . Из системы уравнений 20 следует: а = еу / n b = еyt /еt2. Порядок выравнивания изменения прибыли от реализации продукции растениеводства в расчете на 1 чел.час представлен в таблице 7 и построенном на ее основании графике, отражающем динамику и тенденции изменения прибыли от реализации в расчете на один чел.- час. 2.2 Индексный метод анализа динамики денежных затрат на производство продукции и их факторов На общие затраты на производство продукции влияет ряд факторов, выступающих в роли сомножителей: изменение средней себестоимости единицы продукции, изменение в структуре выпускаемой продукции, отпускных цен. Сопоставляя показатели средних затрат на 1 рубль товарной продукции в разные периоды, исчисляют индекс затрат на 1 рубль товарной продукции переменного состава:
Данный индекс отражает изменение затрат на 1 рубль товарной продукции (себестоимости) под влиянием изменения себестоимости, структуры и цен. Влияние на уровень затрат на 1 рубль товарной продукции изменения объема и состава всей продукции определяется факторным индексом:
Влияние изменения себестоимости единицы продукции на динамику затрат на 1 рубль продукции характеризуется факторным индексом:
Влияние изменения отпускной цены на исследуемый показатель определяется факторным индексом:
Влияние всех рассматриваемых факторов:
Разность между числителем и знаменателем в каждой из записанных выше индексов характеризует в абсолютном выражении снижение (-) или повышении (+) затрат на 1 рубль продукции за счет влияния соответствующих анализируемых факторов. 2.3 Анализ динамики материальных затрат при статистическом изучении себестоимости продукции В себестоимость продукции входят материальные затраты (т.е. затраты на сырье, топливо, энергию и т.д.). Динамика материальных затрат зависит от двух факторов: удельного расхода материалов и уровня цен, по которым предприятие оплачивает эти материалы. Эти факторы неравноценны: изменение первого непосредственно зависит от работы предприятия, а изменение второго – практически не зависит. Большое значение приобретает выявления каждого из этих факторов на размеры материальных затрат. Для этого применяется следующая система взаимосвязанных индексов:
Практическая часть Вариант 6 Задача 1 Используя метод цепных подстановок проанализируйте влияние трудовых факторов на изменение объема произведенной продукции в отчетном периоде по сравнению с планом. По результатам сделайте вывод.
План продаж перевыполнен на 6436,8 тыс. руб. (21340,8-14904). Для того, чтобы определить каким образом влияли на функцию (V) различные факторы, сделаем следующие расчеты. Первый расчет Все показатели плановые. 2000 · 230 · 8,1 · 4 = 14904 тыс. руб. Объем производства в плановом показателе составляет 14904 тыс. руб. Второй расчет Среднесписочное число рабочих фактическое, а остальные показатели плановые: 1950 ·230·8,1·4 = 14531,4 тыс. руб. Третий расчет Число рабочих и число отработанных ими дней фактические, а остальные показатели плановые: 1950·238·8,1·4 = 15036,8 тыс. руб. Четвертый расчет Число рабочих, число отработанных дней и часов фактические, а выработка плановая: 1950·238·8,0·5 = 14851,2 тыс. руб. Пятый расчет Все показатели фактические: 1950·238·8,1·6 = 22555,2 тыс. руб. Далее сделаем анализ влияния факторов на объем продаж. Отклонение фактического объема продаж от планового произошло за счет влияния следующих факторов: 1) Увеличение количества рабочих определяется путем вычитания из второго расчета первого: 14531,4 – 14904 = -372,6 тыс. руб. Произошло увеличение количества рабочих на 372,6 тыс. 2) Уменьшение числа отработанных дней – из третьего вычитается второй результат: 15036,8 – 14531,4 = 505,4 тыс. руб. 3) Уменьшение средней продолжительности рабочего дня – из четвертого вычитается третий: 14851,2 – 14531,4 = 319,8 тыс. руб. 4) Повышение среднечасовой выработки: 14531,8 – 14851,2 = -319,8 тыс. руб. Общее отклонение: 22555,2 – 14904 = 7651,2 тыс.руб. или 372,6 + 505,4 +319,8 -319,8 = 132,8 тыс. руб. Следовательно, два фактора действовали на объем продаж положительно и два фактора отрицательно. Расчет показывает, что на предприятии были целодневные и внутрисменные простои. Если бы предприятие не допустило рост неявок и внутрисменных простоев, то объем продаж увеличился бы на 825,2 тыс. руб. (505,4 + 319,8). Задача 2 На основе отчета предприятия определите влияние трудовых факторов на рост объема производства. По результатам расчетов сделайте выводы.
Анализ влияния использования рабочего времени на объем производства продукции осуществляется по следующей формуле: В = Чр ( Др ( [pic]( Пчас р, где Чр – численность рабочих, чел.; Др – число рабочих дней, отработанных одним рабочим за период; [pic]– средняя продолжительность смены, час.; Пчас р – часовая выработка одного рабочего, т/час. 1) -6(272(6,8(24,29)=269560,7 2) 696 ((-2)(6,8(24,29)=-229914,14 3) 696(270(-0,1(24,29)=-456457,68 4) 696((1,38)(6,8(270)=1 763 441,28 Влияние факторов на изменение объема производства определяется по следующим формулам: (В = (Чр [pic]Пчас р б, [pic]= Чр ф [pic]Пчас р б, [pic]= Чр ф [pic]Пчас р б, (В = Чр ф [pic](Пчас р, Балансовая проверка: [pic], где i – факторы, влияющие изменение объема производства. Видно, что на изменение объема производства отрицательное влияние оказали как экстенсивные факторы: - численность рабочих – 269560,7 шт.; - количество рабочих дней, отработанных одним рабочим – -229914,14 шт; - средняя продолжительность смены – -456457,68 шт.; Итого за счет экстенсивных факторов – 496104,24 шт. Задача 3 На основе формулы товарного баланса и приведенных в таблице данных по предприятию исчислите влияние на размер реализации товаров различных факторов
∆Рон = ∆Он 270 -100= +170 ∆Рп = ∆П 5250 – 5750 = -500 ∆Рв = - ∆В180-200 = -20 ∆Рок = -∆Ок 220-750 = -530 Совокупное влияние 170-500-20-530=-880 руб. Поступление товара за отчетный период снизилось на 500 тыс.руб., по сравнению с планом, чем предполагалось, что в результате привело снижение плана на 330 тыс. руб. (-500+170). Однако план реализации перевыполнен только на 220 тыс. руб., т.к. предприятие на конец года превысило план по остаткам товаров на 170 тыс. руб., к тому же был документированный расход товаров в размере 20 тыс. руб. В данном случае последнее обстоятельство может рассматриваться как резерв дальнейшего роста реализации. Задача 4 Определить, какой реальной доходностью обладает финансовая операция, если при уровне инфляции 24% в год капитал вкладывается на 1 год под номинальную ставку ссудных процентов 30% годовых при ежемесячном начислении. iф = i + ф + iф = 0,24 + 0,3 + 0,24 • 0,3 = 0,612. Таким образом, номинальная ставка составляет 61,2% при реальной ставке 24%. Задача 5 Определить современную и наращенную аннуитета (финансовой ренты) со сроком 5 лет, если платежи в размере 50000 руб. вносятся ежеквартально и на них начисляться процент по сложной ставке 24% годовых. Расчет наращенной суммы: FV= PV(1 + r)n , где: r — процентная ставка; PV – сумма текущих инвестиций; FV – наращенная сумма, которую инвестор получает в конце инвестиционного периода.n – число периодов инвестиций. FV= 5000*(1+0.24)5 = 14658руб. Заключение Режим экономии предприятия предполагает снижение потерь товаров в процессе их доставки, хранения и реализации, рациональное использование транспортных средств, ликвидацию потерь рабочего времени и потерь по таре, соблюдение расчетно-финансовой дисциплины, ускорение оборачиваемости оборотного капитала и так далее. Все это невозможно без учета основных факторов, снижающих уровень издержек обращения: постоянный рост товарооборота, повышение производительности труда работников, изменение территориального размещения товарооборота, сокращение среднего расстояния перевозимых грузов, рационализация товародвижения, применение прогрессивных методов распространения товара, механизация трудоемких процессов, ускорение товарооборачиваемости. Кроме того, для выживания в современных экономических условиях и благоприятных перспектив развития в будущем, каждое предприятие должно отвечать требованиям «завтрашнего дня»: оперативно владеть ситуацией на рынке сбыта, умением просчитывать результаты своей деятельности и их регулировать. Эти требования можно выполнить путем совершенствования учета издержек производства и обращения с целью их дальнейшей минимизации при помощи комплексного программирования. Компьютерная программа ведения учета издержек должна решать следующие задачи: - возможность получения промежуточных итоговых данных по статьям издержек обращения; - внедрение программы количественно-суммарного учета движения товарных запасов; - внедрение программ по начислению заработной платы, обработки путевых листов, списания горючего и т.д. Объем производства, ассортимент и качество продукции, рациональное использование сырья, топлива и других материалов, использование оборудования и рабочей силы, повышение производительности труда и т.д. Все эти элементы производственного процесса в той или иной мере влияют на уровень себестоимости. Важнейшей задачей статистики является систематический контроль над выполнением плана снижения себестоимости. Для этого статистика должна изучать как общий фактический абсолютный уровень себестоимости, так и уровень составляющих элементов, иначе говоря, изучать структуру себестоимости. Эти данные позволяют определять относительный уровень себестоимости в сравнении с тем или иным базисным уровнем. Статистика в вопросе о себестоимости, как и во всех других вопросах, должна вскрывать внутренние ресурсы и неиспользуемые резервы. Другими словами, статистика должна вскрывать причины, анализировать факты, обусловившие данный уровень, себестоимости. К сожалению, до настоящего времени в практической работе нередки случаи, когда организация бухучета, в том числе производственного учета, ориентируется, главным образом, на необходимость представления бухгалтерской отчетности в налоговые органы и соблюдения требований налогового законодательства в части признания тех или иных расходов для исчисления налогооблагаемой прибыли. Однако формирование полной и достоверной информации, необходимой для пользования налоговыми органами, к первоочередным задачам бухгалтерского учета (и составления бухгалтерской отчетности) не относится. Список используемой литературы. 1. Бурцева С.А. Статистика финансов: Учебник: Рек. УМО вузов / С.А. Бурцева. - М.: Финансы и статистика, 2007.-288с.2. Голуб Л.А. Социально-экономическая статистика: Учеб. пособие для студ. вузов: Рек. Мин. обр. РФ / Л.А. Голуб.- М.: Владос, 2008.-271с. 3. Гусаров В.М. Статистика: Учеб. Пособие для вузов. - М.: ЮНИТИ-ДАНА, 2007. - 463 с. 4. Елисеева И.И., Юзбашев М.М. Общая теория статистики: Учебник. - М.: ИНФРА-М, 2007. - 387 с. 5. Ефимова М.Р., Петрова Е.В., румянцев В.Н. Общая теория статистики: Учебник. - М.: ИНФРА-М, 2008. - 346 с. 6. Ефимова М.Р. Практикум по общей теории статистики: Учеб. пособие / М.Р. Ефимова, О.И. Ганченко, Е.В. Петрова.-2-е изд., перераб. и доп..- М.: Финансы и статистика, 2008.-336с. 7. Общая теория статистики: Статистическая методология в изучении коммерческой деятельности /Под ред. О.Э. Башиной, А.А Спирина. - М.: Финансы и статистика, 2008. - 298 с. 8. Практикум по теории статистики: Учеб. Пособие / Под ред. Р.А. Шмойловой. - М.: Финансы и статистика, 2007. - 416 с. 9. Статистика: Учеб. пособие / А.В. Багат, М.М. Конкина, В.М. Симчера и др.; Под ред. В.М. Симчеры.- М.: Финансы и статистика, 2007.-368с 10. Статистика: Курс лекций / Харченко Л.П.; Под ред. к.э.н. В.Г. Ионина. – Новосибирск: Изд-во НГАЭиУ, М.: ИНФРА-М, 2008. – 310с. 11. Теория статистики: Учебник / Под ред. проф. Р.А. Шмойловой. - М.: Финансы и статистика, 2007. - 560 с. 12. Толстик Н.В., Матегорина Н.М. Статистика: - Ростов-на-Дону: Феникс, 2009.- с. |
