Курсовая работа: Статистика финансов предприятий
|
Название: Статистика финансов предприятий Раздел: Рефераты по финансовым наукам Тип: курсовая работа | |||||||||||||||||||||||||||||||||||||||||||||||||||||||||||||||||||||||||||||||||||||||||||||||||||||||||||||||||||||||||||||||||||||||||||||||||||||||||||||||||||||||||||||||||||||||||||||||||||||||||||||||||||||||||||||||||||||||||||||||||||||||||||||||||||||||||||||||||||||||||||||||||||||||||||||||||||||||||||||||||||||||||||||||||||||||||||||||||||||||||||||||||||||||||||||||||||||||||||||||||||||||||||||||||||||||||||||||||||||||||||||||||||||||||||||||||||||||||||||||||||||||||||||||||||||||||||||||||||||||||||||||||||||||||||||||||||||||||||||||||||||||||||||||||||||||||||||||||||||||||||||||||||||||||||||||||||||||||||||||||||||||||||||||||||||||||||||||||||||||||||||||||||||||||||||||||||||||||||||||||||||||||||||||||||||||||||||||||||||||||||||||||||||||||||||||||||||||||||||||||||||||||||||||||||||||||||||||||||||||||||||||||||||||||||||||||||||||||||||||||||||||||||||||||||||||||||||||||||||||||||||||||||||||||||||||||||||||||||||||||||||||||||||||||||||||||||||||||||||||
Содержание Введение 1. Понятие, значение и задачи анализа финансового состояния предприятия 2. Основные задачи статистики финансов предприятий 3. Статистическое изучение источников формирования и направлений использования финансовых ресурсов 4. Относительные показатели оценки эффективности финансовой деятельности предприятий 5. Основные подходы к анализу финансового состояния предприятия 6. Движение финансовых ресурсов 7. Проблемы формирования и использования финансовых ресурсов 8. Расчетная часть Заключение Список использованных источников статистика финансовый прогнозирование Введение В условиях перехода к рыночной экономике все более существенное значение приобретает управление финансовыми ресурсами. Ключевое место здесь занимают проблемы достаточности оборотных средств, механизмов их планирования и пополнения, разумного использования, а также проблемы капитальных вложений Отметим, что одним из принципов организации анализа на предприятии является обеспечение экономичности, оперативности и эффективности самого аналитического процесса, т.е. выполнение наиболее полного и всестороннего исследования при минимуме затрат на его проведение. Цель данной работы заключается в изучении основных задач и показателей статистики финансов предприятий, а так же апробации известных статистических методов анализа и прогнозирования на примере финансовых показателей деятельности предприятий. 1. Понятие, значение и задачи анализа финансового состояния предприятия Финансы предприятия - это система денежных отношений, складывающихся в процессе формирования, размещения и использования финансовых ресурсов. Финансовое состояния предприятия выражается в образования, размещении и использовании финансовых ресурсов: денежных средств, поступающих за реализованную продукцию (товары, работы, услуги), кредитов банка и займов, временно привлеченных средств, задолженности поставщикам и другим кредиторам, временно свободных средств специальных фондов. С переходом предприятий на рыночные условия работы остро встал вопрос об устойчивости его финансового состояния и изыскании путей его оздоровления. Актуальность этих вопросов предопределяется необходимостью создания нормальных условий работы, как отдельных предприятий, так и отрасли в целом. [1] Чтобы выжить в условиях рыночной экономики и не допустить банкротства предприятия, нужно хорошо знать, как управлять финансами, какой должна быть структура капитала по составу и источникам образования, какую долю должны занимать собственные средства, а какую - заемные. Следует знать и такие понятия рыночной экономики, как деловая активность, ликвидность, платежеспособность, кредитоспособность предприятия, порог рентабельности, запас финансовой устойчивости (зона безопасности), степень риска, эффект финансового рычага и другие, а также методику их анализа. Следует различать понятия «финансовый анализ» и «анализ финансового состояния». Финансовый анализ - более широкое понятие, так как он включает наряду с анализом финансового состояния еще и анализ формирования и распределения прибыли, себестоимости продукции, реализации и другие вопросы. Методика финансового анализа включает три взаимосвязанных блока: 1) анализ финансовых результатов деятельности предприятия; 2) анализ финансового состояния предприятия; 3) анализ эффективности финансово-хозяйственной деятельности предприятия. Основной целью финансового анализа является получение небольшого числа ключевых (наиболее информативных) параметров, дающих объективную и точную картину финансового состояния предприятия, его прибылей и убытков, изменений в структуре активов и пассивов, в расчетах с дебиторами и кредиторами. Анализ финансового состояния - это часть финансового анализа. Финансовое состояние предприятия характеризуется обеспеченностью финансовыми ресурсами, необходимыми для нормальной производственной, коммерческой и других видов деятельности предприятия, целесообразностью и эффективностью их размещения и использования, финансовыми взаимоотношениями с другими субъектами хозяйствования, платежеспособностью и финансовой устойчивостью. Способность предприятия своевременно производить платежи свидетельствует о его хорошем финансовом состоянии.[2] Финансовое состояния предприятия зависит от результатов его производственной, коммерческой и финансовой деятельности. Бесперебойный выпуск и реализация высококачественной продукции положительно влияет на финансовое состояние предприятия. Сбои в производственном процессе, ухудшение качества продукции, затруднения с ее реализацией ведут к уменьшению поступления средств на счета предприятия, в результате чего ухудшается его платежеспособность. Имеется и обратная связь, так как отсутствие денежных средств может привести к перебоям в обеспеченности материальными ресурсами, а, следовательно, и в производственном процессе. В практике работы предприятий нередки случаи, когда и хорошо работающие предприятия испытывают финансовые затруднения, связанные с недостаточно рациональным размещением и использованием имеющихся финансовых ресурсов. Поэтому финансовая деятельность должна быть направление на обеспечение систематического поступления и эффективного использования финансовых ресурсов, соблюдение расчетной и кредитной дисциплины, достижение рационального соотношения собственных и заемных средств, финансовой устойчивости с целью эффективного функционирования предприятия. Следовательно, финансовое состояние предприятия является результатом взаимодействия не только совокупности производственно-экономических факторов, но и всех элементов его финансовых отношений. Существенная роль в достижении стабильного финансового состояния принадлежит анализу. Субъектами анализа выступают как непосредственно, так и опосредованно заинтересованные в деятельности предприятий пользователи информации. К первой группе пользователей относятся собственники средств предприятия, заимодавцы (банки), поставщики, клиенты (покупатели), налоговые органы, персонал предприятия и руководство. Каждый субъект анализа изучает информацию, исходя из своих интересов. Так, собственникам необходимо определить увеличение или уменьшение доли собственного капитала и оценить эффективность использования ресурсов администрацией предприятия; кредиторам и поставщикам - целесообразность продления кредита; потенциальным собственникам и кредиторам - выгодность помещения в предприятие своих капиталов. Вторая группа пользователей - это субъекты анализа, которые хотя непосредственно и не заинтересованы в деятельности предприятия, но должны по договору защитить интересы первой группы пользователей. Это - аудиторские фирмы, консультанты, биржи, юристы, пресса, профсоюзы. Основным источником информации о финансовой деятельности предприятия является бухгалтерская отчетность. Отчетность предприятия в рыночной экономике базируется на обобщении данных финансового учета и является информационным звеном, связывающим предприятие с обществом и деловыми партнерами - пользователями информации о деятельности предприятия. В определенных случаях для реализации целей финансового анализа бывает недостаточно использовать лишь финансовую отчетность. Отдельные группы пользователей, например, руководство и аудиторы, имеют возможность привлекать дополнительные источники (данные производственного и финансового учета). Тем не менее, чаще всего годовая и квартальная отчетность является единственным источником анализа финансового состояния предприятия. [3] Различают внутренний и внешний анализ финансового состояния. Внутренний анализ осуществляется для нужд управления предприятием. Его результаты используются также для планирования, контроля и прогноза финансового состояния. Внешний анализ производится всеми субъектами анализа, использующими публикуемую информацию. Содержание этого анализа определяется интересами собственников финансовых ресурсов и контролирующих органов. Основными задачами как внутреннего, так и внешнего анализа являются: · общая оценка финансового состояния и факторов его изменения; · изучение соответствия между средствами и источниками, рациональности их размещения и эффективности использования; · Соблюдение финансовой, расчетной и кредитной дисциплины; · определение ликвидности и финансовой устойчивости предприятия; · долгосрочное и краткосрочное прогнозирование устойчивости финансового состояния. Для решения этих задач изучаются: - наличие, состав и структура средств предприятия; причины и последствия их изменений; - наличие, состав и структура источников средств предприятия причины и последствия их изменения; - состояние, структура и изменение долгосрочных активов; - наличие, структура текущих активов в сфере производства и обращения, причины и последствия их изменения; - ликвидность и качество дебиторской задолженности; - наличие, состав и структура источников средств, причины и последствия их изменений; - платежеспособность и финансовая гибкость; - эффективность использования активов и окупаемость инвестиций. Кроме того, решаются и другие задачи. Например, важнейшей задачей внутреннего анализа является оценка ситуации, определяющей возможность получения внешнего финансирования. Для этого изучается общая потребность предприятия в финансовых ресурсах, в том числе заемных, степень делового риска, результаты переговоров с собственниками капитала. При внешнем анализе изучается реальная стоимость имущества предприятия прогноз будущих финансовых поступлений, структуры капитала, уровня и тенденций изменения дивидендов. Анализ финансового состояния предприятия является прерогативой высшего звена управленческих структур предприятия, способных влиять на формирование финансовых ресурсов и потоки денежных средств. Эффективность или неэффективность частных управленческих решений, связанных с определением цены продукта, размера партии закупок сырья или поставок продукции, замены оборудования или технологии и другие решения должны пройти оценку с точки зрения общего успеха фирмы, характера ее экономического роста и роста общей финансовой эффективности. Финансовый анализ как метод познания экономических процессов и явлений занимает важное место в системе управления предприятием. Основными функциями анализа уровня финансового состояния являются: · объективная оценка финансового состояния объекта анализа; · выявление факторов и причин достигнутого состояния; · подготовка и обоснование принимаемых управленческих решений в области финансов; · выявление и мобилизация резервов улучшения финансового состояния и повышения эффективности всей хозяйственной деятельности. Результаты анализа способствуют росту информативности администрации предприятия и других пользователей экономической информации объекта анализа о состоянии интересующих объектов. 2. Основные задачи статистики финансов предприятий Задачи статистики финансов предприятия: 1) изучение состояния и развития финансовой деятельности предприятий; 2) анализ объема и структуры источников формирования финансовых ресурсов; 3) определение направлений использования денежных средств и других видов финансовых ресурсов; 4) анализ финансовых результатов и эффективности финансовой деятельности предприятий (уровня и динамики прибыли, рентабельности и оборачиваемости активов); 5) оценка финансового состояния, платежеспособности и финансовой устойчивости предприятий. Для расчета показателей, характеризующих финансовую деятельность предприятий, основными источниками информации являются различные формы бухгалтерской и статистической отчетности: - «Баланс предприятия» (форма № 1); - «Отчет о финансовых результатах и их использовании» (форма № 2); - «Отчет о движении денежных средств» (форма № 4); - «Отчет об основных показателях финансовой деятельности предприятия (организации) (форма № 10-ф годовая); - «Состояние расчетов на предприятиях (организациях)» (форма № 1-ф); - «Отчет об исполнении бюджетных ассигнований организаций, предприятий» (форма № 2-г) (только для предприятий и организаций, получающих финансирование из бюджета).[5] 3. Статистическое изучение источников формирования и направлений использования финансовых ресурсов Финансовые ресурсы – это денежные средства (собственные и привлеченные), находящиеся в распоряжении хозяйствующих субъектов (предприятий) и предназначенные для выполнения финансовых обязательств и покрытия затрат на производство продукции (товаров и услуг). На вновь создаваемых предприятиях источником финансовых ресурсов является уставный капитал предприятия, т.е. сумма вкладов учредителей в виде основного и оборотного капитала. На действующих предприятиях важнейшими источниками финансовых ресурсов являются: прибыль от реализованной продукции, оказанных услуг и выполненных работ, амортизационные отчисления, поступления, мобилизуемые на финансовом рынке (продажа акций, облигаций, других ценных бумаг), дивиденды и проценты по ценным бумагам других эмитентов, краткосрочные и долгосрочные кредиты, займы, доходы от продажи имущества, бюджетные ассигнования, страховые возмещения убытков, венчурный капитал (рисковые инвестиции, производимые в новых сферах деятельности, в расчете на быструю окупаемость) и др. Немаловажным источником финансовых ресурсов является привлечение на акционерной основе или на долевых началах денежных ресурсов других предприятий или организаций. При изучении направлений использования финансовых ресурсов основное внимание уделяется распределению прибыли предприятий. В статистике финансов предприятий рассчитывают следующие абсолютные показатели оценки финансовых результатов: Валовая прибыль - это выручка от реализации продукции, работ и услуг минус полная себестоимость всех произведенных товаров, выполненных работ и оказанных услуг. Прибыль - основной источник финансовых ресурсов предприятия, связанный с получением валового дохода Прибыль от продаж или от реализации продукции, работ и услуг - определяется как разница между выручкой от реализации в действующих ценах без НДС и акцизов и затратами на производство и реализацию продукции. Балансовая прибыль или прибыль до налогообложения - это сумма прибыли (убытка) от реализации продукции (работ, услуг), основных фондов (включая земельные участки), иного имущества организаций и доходов от внереализационных операций (доходы, получаемые от долевого участия в деятельности других организаций, от сдачи имущества в аренду, доходы (дивиденды, проценты) по акциям, облигациям и другим ценным бумагам, принадлежащим организации), уменьшенных на сумму расходов по этим операциям. Прибыль или убыток, выявленные в отчетном году, но относящиеся к операциям прошлых лет, включаются в балансовую прибыль отчетного года. Балансовая прибыль - это прибыль организации до вычетов и отчислений. Чистая прибыль – это разница между общей суммой доходов и издержек. Различные виды прибыли определяется по формулам: Валовая прибыль ПВ = В – Сc , где В - выручка от реализации; Сc - полная себестоимость реализованной продукции. Прибыль от продаж (реализации продукции, работ и услуг) ПР= ПВ - Ру – Рк , где ПВ - валовая прибыль; Ру - управленческие расходы; Рк- коммерческие расходы. Балансовая прибыль (прибыль до налогообложения) ПБ = ПР + Дво – Уво , где ПР- прибыль от реализации; Дво - доходы от внереализационных операций; Уво - убытки от внереализационных операций. Внереализационным доходам относят: - дивиденды и доходы по акциям и другим ценным бумагам, принадлежащим предприятию; - поступления от сдачи имущества в аренду; - доходы от долевого участия в деятельности других предприятий, находящихся на территории России или за ее пределами; - доходы по операциям в иностранной валюте и положительные разницы курсов по валютным счетам; - прибыль, выявленная в отчетном году, от операций прошлых лет; - пени, штрафы, неустойки и другие виды санкций за нарушение финансовых обязательств, присужденные или признанные должником. К внереализационным расходам (убыткам) относят: - убытки от содержания законсервированных объектов и мощностей; - стоимостной ущерб от уценки готовой продукции и производственных запасов; - некомпенсируемые затраты, связанные с ликвидацией стихийных бедствий или их предотвращением; - арбитражные и судебные издержки; - экономические санкции, включая санкции за невыполнение обязательств по поставкам; - отрицательные курсовые разницы по операциям с иностранной валютой. При распределении прибыли в первую очередь производятся платежи в бюджет и внебюджетные фонды в виде различных налогов и сборов. Кроме того, могут производиться отчисления от прибыли предприятий в фонды и резервы различных вышестоящих организаций (консорциумов, холдингов). Чистая прибыль(ПЧ) – это прибыль, оставшаяся в распоряжении предприятия после уплаты налогов и других платежей в бюджет, внебюджетные фонды, централизованные фонды и резервы вышестоящей организации. Направления использования чистой прибыли предприятие определяет самостоятельно. На крупных и средних предприятиях, как правило, формируются фонды развития производства, фонд накопления, фонд развития производства, фонд накопления, фонд социального развития и фонд материального поощрения. Иногда создают резервный фонд для страхования от всевозможных рисков, который (как показала практика) должен быть не менее 15% от объема уставного фонда. Из образованных на предприятии фондов выделяют средства на стимулирование работников предприятия, выплаты дивидендов по акциям предприятия, приобретение акций, облигаций и других ценных бумаг сторонних предприятий, благотворительные нужды, текущие расходы по содержанию объектов социально-культурного и жилищно-коммунального хозяйства. 4. Относительные показатели оценки эффективности финансовой деятельности предприятий Наряду с абсолютными показателями оценки результатов финансовой деятельности предприятий в статистике финансов широко используется относительные показатели – прежде всего различные показатели рентабельности. [7] Показатели рентабельности и деловой активностиЧаще всего рассчитывают следующие показатели рентабельности: 1) Рентабельность реализованной продукции:
ПР – прибыль от реализации продукции (прибыль от продаж); Сс – полная себестоимость реализованной продукции. 2) Общая рентабельность (или рентабельность основной деятельности):
ПБ – балансовая прибыль (прибыль до налогообложения); ОФ– среднегодовая стоимость основных фондов. 3) Рентабельность капитала (или активов предприятия);
ПБ – балансовая прибыль (прибыль до налогообложения); ВБ – валюта (итог) баланса (среднегодовая). 4) Иногда вместо показателей рентабельности используют также показатель оборачиваемости капитала, который считают основным показателем оценки деловой активности предприятия:
В – выручка от реализации продукции, работ и услуг; К – капитал предприятия (или сумма активов). Показатели платежеспособности (ликвидности) и финансовой устойчивости: В условиях рыночной экономики важное значение имеет статистический анализ финансового состояния, платежеспособности и финансовой устойчивости предприятия, то есть его способности своевременно, из собственных средств возмещать затраты, вложенные в основной и оборотный капитал, и расплачиваться по своим обязательствам.Поэтому в статистике финансов предприятий регулярно, начиная с 1993 г., рассчитывается ряд показателей, характеризующих финансовое состояние предприятий, и производится группировка предприятий по уровню их текущей ликвидности. Понятие «ликвидность» применяется по отношению к активам предприятия или ко всему предприятию в целом. Ликвидность отдельных видов активов – это скорость их превращения в денежные средства.По уровню ликвидности все активы обычно разделяются на несколько групп: наиболее ликвидные активы (денежные средства в кассе и на счетах, атакжекраткосрочные финансовые вложения); быстро реализуемые активы (дебиторская задолженность), медленно реализуемые активы (запасы) и трудно реализуемые активы (внеоборотные активы). Соотношение различных групп активов в имуществе предприятия обычно характеризует ликвидность всего предприятия.Сопоставление стоимости отдельных групп активов с величиной отдельных групп обязательств, сгруппированных по степени срочности их погашения, характеризует ликвидность баланса предприятия.[8] В статистике финансов предприятий, начиная с 1994 г, ведется статистических учет следующих финансовых коэффициентов, характеризующих финансовое состояние предприятий. 1) Коэффициент текущей ликвидности(или общий коэффициент покрытия долгов)Ктл показывает, в какой степени оборотные активы предприятия превышают его текущие (краткосрочные) обязательства Коэффициент текущей ликвидностинаходится как отношение фактической величины оборотных средств в распоряжении предприятия к сумме наиболее срочных обязательств. Если Ктл < 1, то предприятие не платежеспособно. Фактическая величина оборотных средств – это итог II раздела актива баланса. Наиболее срочные обязательства – это полученные организацией краткосрочные кредиты банков (займы и кредиты на срок менее 12 мес.), кредиторская задолженность и прочие краткосрочные обязательства, иначе говоря, итог V раздела баланса «краткосрочные обязательства» за вычетом доходов будущих периодов (стр. 640) и резервов предстоящих расходов и платежей (стр.650). Коэффициент текущей ликвидности рассчитывается по формуле: Ктл = ОА/КО, где ОА – оборотные активы, т.е.итог раздела II баланса (стр. 290); КО – наиболее срочные краткосрочные обязательства. Таблица 1.
Группировка российских предприятий по уровню
2) Коэффициент абсолютной или быстрой (срочной) ликвидности Коэффициент абсолютной ликвидности находят как отношение наиболее ликвидных активов (НЛА) к наиболее срочным обязательствам. В состав наиболее ликвидных активов входят денежные средства и краткосрочные ценные бумаги (т.е. краткосрочные финансовые вложения), Кал = НЛА/КО При расчете коэффициента быстрой ликвидности в состав наиболее ликвидных активов дополнительно включают так называемую чистую дебиторскую задолженность (за вычетом сомнительных долгов). 3) Показатель чистых активов Находится как разность между суммой активов и суммой обязательств. Эта величина не должна быть меньше суммы уставного капитала. (Иначе в соответствии с п. 5 ст. 35 Федерального закона «Об акционерных обществах» № 208-ФЗ АО должно принять решение о своей ликвидации.) Некоторые авторы рекомендуют рассчитывать величину чистых активов как разность между суммой активов и наиболее срочными обязательствами, то есть не учитывать в составе суммы обязательств доходы будущих периодов и резервы предстоящих расходов и платежей. 4)Коэффициент обеспеченности собственными оборотными средствами Находится как отношение собственных оборотных средств к фактической величине оборотных средств. В соответствии с Положением № 1 Постановления Правительства РФ «О некоторых мерах по реализации законодательства о несостоятельности (банкротстве) предприятий» от 20 мая 1994 г. № 498 этот коэффициент не должен быть меньше 0,1. Величина собственных оборотных средств (СОС) рассчитывается обычно как разность между величиной собственного капитала (итогом III раздела баланса) и стоимостью внеоборотных активов (итогом I раздела баланса), т.е. СОС = СК - ВА = итог III раздела – итог I раздела баланса Коэффициент обеспеченности собственными оборотными средствами рассчитывается по формуле: Косос = СОС/ОА , где ОА –стоимость оборотных активов (итог II раздела баланса) 5) Коэффициент автономии (финансовой независимости) Находится как отношение собственных средств (собственного капитала предприятия) к сумме всех источников средств (итогу пассива баланса), или Ка(фн) = СК/ВБ, где СК – собственный капитал (итог III раздела) ВБ – валюта баланса (итог баланса) Рост коэффициента автономии свидетельствует об уменьшении затруднений в будущем и увеличении собственных резервов для погашения финансовых обязательств предприятия (организации). По мнению практиков, если Ка > 0,6, то хозяйствующий субъект в состоянии произвести все платежи за счет прежде всего собственных средств. 6) Коэффициент финансового левериджа (или коэффициент финансовой устойчивости) Находится как отношение заемного и собственного капитала. Иначе говоря этот коэффициент находится по формуле: Кфл = (ДО+КО)/СК, где ДО - долгосрочные обязательства (итог IV раздела); КО - краткосрочные обязательства (итог V раздела); СК – собственный капитал (итог III раздела) Если этот коэффициент меньше 1, то собственный капитал больше заемного. Этот показатель важно рассматривать в динамике. Его рост свидетельствует о финансовом неблагополучии. Его наилучшее значение 0,3–0,6. Он не должен быть выше 1. 5. Основные подходы к анализу финансового состояния предприятия Финансово-устойчивым считается такое предприятия, которое за счет собственных средств покрывает средства, вложенные в активы (основные фонды, нематериальные активы, оборотные средства), не допускает неоправданной дебиторской и кредиторской задолженности, и расплачивается в срок по своим обязательствам. Главным в финансовой деятельности, считает И.Т.Балабанов, являются правильная организация и использование оборотных средств [4]. Поэтому в процессе анализа финансового состояния вопросам рационального использования оборотных средств уделяется особое внимание. Характер финансовой устойчивости включает в себя анализ: · состава и размещения активов хозяйствующего субъекта; · динамики и структуры источников финансовых ресурсов; · наличия собственных оборотных средств; · кредиторской задолженности; · дебиторской задолженности; · платежеспособности. Под кредитоспособностью хозяйствующего субъекта понимается наличие у него предпосылок для получения кредита и способность возвратить его в срок. Кредитоспособность заемщика характеризуется его аккуратностью при расчетах по ранее полученным кредитам, его текущим финансовым состоянием и перспективами изменения, способностью при необходимости мобилизовать денежные средства из различных источников. При анализе кредитоспособности используется целый ряд показателей, наиболее важными из них являются: · норма прибыли на вложенный капитал; · ликвидность Норма прибыли на вложенный капитал определяется соотношением суммы прибыли к общей сумме пассива по балансу. Ликвидность хозяйствующего субъекта – это способность его быстро погашать свою задолженность. Она определяется соотношением величины задолженности и ликвидных средств. Вложение капитала должно быть эффективным. Под эффективностью использования капитала понимается величина прибыли, приходящаяся на рубль вложенного капитала. Эффективность капитала комплексное понятие, включающее в себя использование оборотных средств, основных средств и нематериальных активов. Самофинансирование означает финансирование за счет собственных источников: амортизационных отчислений и прибыли. Эффективность самофинансирования и его уровень зависят от удельного веса собственных источников. Однако хозяйствующий субъект не всегда может полностью обеспечить себя собственными финансовыми ресурсами и поэтому широко использует заемные и привлеченные денежные средства, как элемент, дополняющий самофинансирование. Методика анализа финансового состояния, включает: - общая оценка финансового состояния и его изменения за отчетный период; - анализ финансовой устойчивости предприятия; - анализ ликвидности баланса, анализ деловой активности и платежеспособности предприятия. Оценка финансового состояния и его изменения за отчетный период по сравнительному аналитическому балансу, а также показателей финансовой устойчивости составляют исходный пункт, из которого должен логически развиваться заключительный блок анализа финансового состояния. Анализ ликвидности баланса должен оценивать текущую платежеспособность и давать заключение о возможности сохранения финансового равновесия и платежеспособности в будущем. Сравнительный аналитический баланс и показатели финансовой устойчивости отражают сущность финансового состояния. Ликвидность баланса характеризует внешние проявления финансового состояния, которые обусловлены его сущностью. Углубление анализа на основе данных учета приводит к задачам, относящимся преимущественно к внутреннему анализу. Так, исследование факторов финансовой устойчивости вызывает необходимость внутреннего анализа запасов и затрат, а уточнение оценки ликвидности баланса производится с помощью внутреннего анализа состояния дебиторской и кредиторской задолженности. 6. Движение финансовых ресурсов Использование финансовых ресурсов предприятия осуществляется по следующим направлениям: - текущие затраты на производство и реализацию продукции (работ, услуг); - инвестирование средств в капитальные вложения, связанные с расширением производства и его техническим обновлением, использованием нематериальных активов, инвестирование финансовых ресурсов в ценные бумаги; - платежи финансовой, банковской системам, взносы во внебюджетные фонды; - образование различных денежных фондов и резервов (на развитие, а также поощрительного и социального характера); - благотворительные цели, спонсорство. Движение финансовых ресурсов предприятия можно представить следующим образом. Собственные и привлеченные на финансовом рынке ресурсы используются для закупки машин, оборудования, сырья, комплектующих изделий, технологий и факторов производства, необходимых для ведения производственной деятельности. Результатом производства является товар (предметное благо или услуга), реализация, (продажа или предоставление) которого приносит предприятию выручку определенную сумму денежных средств. При благоприятном течении предпринимательской деятельности выручки достаточно, чтобы обеспечить возмещение затрат на производство (издержек производства). Выручка от реализации за вычетом затрат на производство составляет доход от производственной деятельности предприятия. Помимо производственной деятельности предприятие получать доходы от иной предпринимательской и финансовой деятельности, предусмотренной его уставом (от участия в имуществе других предприятий, предоставления собственного оборудования в аренду). Принцип расчета дохода такой же, как и для дохода от производственной деятельности, - из полученной выручки вычитаются расходы, связанные с осуществлением данного вида деятельности. Сумма доходов от производственной и иной деятельности предприятия образует его валовой доход. Валовой доход используется для выплаты процентов по кредитам, оплаты налогов. После вычета обязательных платежей в распоряжении предприятия остается чистая прибыль. Чистая прибыль делится на распределяемую и не распределяемую часть. Распределяемая часть прибыли, как следует из ее названия, подлежит распределению между собственниками предприятия, не распределяемая часть прибыли остается в распоряжении предприятия и используется для обеспечения расширения его производственной деятельности. Часть прибыли, остающейся в распоряжении предприятия, может быть направлена на денежные рынки для осуществления финансовых инвестиций. Управление финансовыми ресурсами предприятия обеспечивает увязку внутренних проблем предприятия (производственная деятельность, технологические возможности, издержки производства, прибыльность или рентабельность деятельности) с внешней финансовой средой, обеспечивающей источники финансирования деятельности предприятия. Взаимосвязь (логику) внутренних и внешних денежных потоков предприятия отражает схема, представленная на рисунке один. Рисунок 1. Взаимосвязь внутренних и внешних денежных потоков предприятия
1 денежные средства, полученные на финансовых рынках; 2 денежные средства, вложенные в предприятие; 3 денежные средства, полученные в результате деятельности предприятия (прибыль); 4 упалта предусмотренных законом налогов; 5 денежные средства, возвращающиеся к инвесторам и кредиторам; 6 денежные средства (часть прибыли), реинвестируемые в предприятие; 7 денежные срества, направляемые на финансовые рынки для финансовых инвестиций. Управление финансовыми ресурсами предприятия должно строиться таким образом, чтобы предприятие было в состоянии осуществлять производственную деятельность, получать прибыль, достаточную для выполнения своих обязательств перед бюджетом, кредиторами, партнерами и поставщиками, дл я возобновления и расширения своей деятельности. Иными словами, управление финансовыми ресурсами должно обеспечить устойчивое финансовое положение предприятия, его ликвидность и рентабельность. 7. Проблемы формирования и использования финансовых ресурсов Экономический кризис наиболее остро отразился на реальном векторе экономики, характеризующемся деградацией его структуры, беспрецедентным падением объемов производства, параличом инвестиционной деятельности предприятий, ослаблением научно-технического потенциала промышленности, расстройством финансовой системы общественного воспроизводства. Основными причинами этого являются углубление диспропорций в развитии реального сектора и сферы обращения (отток финансовых ресурсов из материального производства в процессе «ваучерной» приватизации, изъятие свободных этапов через рынок ГКО), не разработанность правовых норм регулирования некоторых видов экономической деятельности. В настоящее время для большинства предприятий первоочередными стали задачи поддержания устойчивого производства стабилизации текущей финансовой деятельности. Вопросы же стратегического развития, инвестиций в основное производство в некоторой мере отошли на второй план. Ключевой проблемой, обусловившей снижение текущей финансовой устойчивости предприятий, является дефицит денежных оборотных средств, необходимых для обеспечения текущего производства. Основными порами, сдерживающими развитие предприятий, стали, с одной стороны, неплатежи покупателей, с другой стороны - большая доля денежной составляющей в расчетах за поставленную продукцию. За последние годы произошли изменения в структуре источников финансовых ресурсов. Восполнение потерь от снижения доходов по основной хозяйственной деятельности в большинстве отраслей стало долечиваться главным образом за счет поступлений от операций по о сновной деятельности, что было обусловлено их усиливающейся, ориентацией на зарубежные рынки сбыта и операции с валютой, активным выходом на финансовые спекулятивные рынки, расширением практики «натурообменных » сделок и взаимозачетов, переводом части счетов через дочерние структуры. За короткое время этот источник стал вторым по значению при формировании совокупных финансовых ресурсов большинства отраслей экономики, а для строительства и отдельных промышленных отраслей – доминирующим. Резкий рост прочих поступлений - в целом негативное явление. Оно свидетельствует об усилении непредсказуемости при формировании финансовых ресурсов, снижении точности расчета вероятных объемов, повышений риска «недополучения» финансовых средств. Хронический недостаток финансовых ресурсов привел к переходу производственных предприятий на взаимное кредитование посредством выписываемых векселей, которые во многих случаях обходятся дешевле, чем кредиты коммерческих банков, и росту взаимных неплатежей. Ухудшилось соотношение между кредиторской и дебиторской задолженностью. Просроченная кредиторская задолженность в целом по промышленности составляет половину задолженности этого типа. Такой высокий рост просроченной задолженности в экономическом плане означает столь же быстрое и значительное сокращение финансовых источников восстановления промышленности, ее отраслевой структуры, нормального воспроизводства. Основной причиной отрицательной динамики показателей соотношения дебиторской и кредиторской задолженности, а также устойчивой тенденции к росту просроченной задолженности в ее общей сумме, является физическое сокращение и разрушение основных производственных фондов, прекращение в большинстве случаев на только их расширенного воспроизводства, но и простого. В результате -резкое падение объемов производства, которое сопровождается сокращением собственных источников финансирования производства [6]. В результате осуществления воспроизводства в сокращающихся масштабах (в основном за счет заемных средств) увеличиваются затраты по обслуживанию долга, образующегося при банковском кредитовании. Все это свидетельствует о существенном расстройстве финансовой системы, обслуживающей процесс воспроизводства в промышленном комплексе. Существует тенденция замещения задолженностью поставщикам и другим кредиторам части собственных оборотных средств предприятия и недостающих краткосрочных кредитов банка. Предприятия заинтересованы в замещении названных источников кредиторской задолженностью, пользование которой дешевле, чем банковскими кредитами. 8. Расчетная часть Пусть x- количество крупных и средних организаций за год , y - сумма прибыли крупных и средних организаций за год, z - сумма убытка крупных и средних организаций за год. Занесем данные в таблицу 1. Таблица 1. Исходные данные
Графический анализ исходных данных График 1. Динамические ряды исходных данных
Графический анализ: На основе графического анализа можно сделать вывод о том, что сумма прибыли крупных и средних организаций резко растут вплоть до 2010 года, а убытки крупных и средних организаций и число крупных и средних организаций постепенно падают, который на прямую зависит от прибыли и убытков организации. Таблица 2. Исходные данные
Графический анализ исходных данных График 2. Динамические ряды исходных данных
Вывод: На графике видно, что прибыль организаций до конца 2007 растет равномерно. Затем наблюдается резкий рост прибыли организаций вплоть до конца 2010. Одновременно число крупных и средних организаций до конца 2005 года растут, а потом начинает снижаться и постепенно стабилизируется. Убытки крупных и средних организаций медленно растут до 2004 года, а потом резко снижаются и постепенно стабилизируется только к концу периода. Представляется, что имеется тесная обратная связь между прибылью и убытками организаций. Для проверки необходимо рассчитать линейные коэффициенты корреляции между числом организации , прибылью и убытками. Расчет линейных коэффициентов корреляции Рассмотрим расчеты с различными аналитическими показателями динамики. Для этого нужно построить вспомогательные таблицы и произвести расчеты. Таблица 3. Показатели динамики х
Таблица 4. Показатели динамики - у
Таблица 5. Показатели динамики - z
Таблица 6. Средние показатели динамики
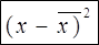
Вывод: Наиболее высокими темпами растет показатель у ( прибыль оранизаций), а наиболее низкими темпами – показатель z – убытки организаций. В абсолютном выражении среднегодовые приросты доходов и расходов незначительно отличаются. Расчет линейных коэффициентов корреляции Вначале рассчитаем коэффициент корреляции между показателем xи показателем y. Построим вспомогательную таблицу 7 для расчета. Таблица 7. Вспомогательная таблица для расчета коэффициента корреляции между показателем x и показателем y
Средние значения:
Линейный коэффициент корреляции рассчитывается по формуле:
Таким образом Вывод: Коэффициент корреляции равен 0,25. Значит, связь между двумя показателями не тесная. Теперь рассчитаем коэффициент корреляции между показателями у и z. Построим вспомогательную таблицу для расчета коэффициента корреляции между показателем y и показателем z. Таблица 8 . Вспомогательная таблица для расчета коэффициента корреляции между показателем у и показателем z
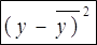
Средние значения:
r (y,z) = Таким образом Вывод: Коэффициент корреляции равен 0,23. Значит связь между двумя показателями не тесная. В данном примере получилось, что связь y более тесная с показателем x, так как коэффициент корреляции 0,25 больше, чем 0,23. Расчет параметров линейного и квадратического тренда для показателей x и y Для расчета параметров уравнений линейного и квадратического тренда построим вспомогательную таблицу. Таблица 9. Вспомогательная таблица для расчета параметров линейного и квадратического тренда
Формулы для расчета параметров линейного тренда:
Формулы для расчета параметров квадратичного тренда:
Подставляя в эти формулы все суммы, рассчитанные в последней (итоговой) строке вспомогательной таблицы 4 (Σy =7200320 , Σt2 = 28 Σt4 =196, Σyt = 10549215, Σyt2 = 35198473 ) , получаем следующие результаты:
Аналогичным образом рассчитаем параметры уравнений линейного и квадратического тренда для показателя x. Таблица 10. Вспомогательная таблица для расчета параметров линейного и квадратического тренда
Чтобы выбрать, какое из уравнений тренда (линейное или квадратическое) лучше описывает исходный ряд данных, строится вспомогательная таблица для расчета так называемой ошибки аппроксимации, которая находится по формуле:
В этой формуле:
Таблица 11. Вспомогательная таблица для расчета ошибок аппроксимации
Таблица 12. Расчет прогнозных значений по тренду
Вывод: Из двух прогнозных значений более достоверным является y** = 6565569,5 так как ошибка аппроксимации для него меньше. Таблица 16. Вспомогательная таблица для расчета ошибок аппроксимации
Вывод: Из двух прогнозных значений более достоверным является x ** = 1,9213572218 так как ошибка аппроксимации для него меньше. Расчет параметров парной линейной регрессии Для расчета параметров уравнения парной линейной регрессии y = a0 +a1 xсоставляется система нормальных уравнений: na0 + a1 Σx = Σy; a0 Σx + a1 Σx2 = Σxy. Решают с помощью метода определителей. В результате получаются следующие формулы для расчета параметров уравнения парной линейной регрессии:
Построим вспомогательную таблицу. Обозначать их параметры разными буквами. Поэтому заменим a0 на k0 и a1 на k1 . Рассчитаем соответствующие суммы и подставим Σx, Σy, Σx2 , Σxy в формулы для расчета параметров парной линейной регрессии:
В результате расчетов получаем следующие значения параметров регрессии:
R2 = 7638683,7 /7761508,3 = 0,98 Вывод: Ошибка аппроксимации равна 0,98т.е. менее 10 % среднего значения y, равного 16438,71. Допустимо, если ошибка аппроксимации не превышает 10-15% от среднего значения результативного показателя. Индекс детерминации равен 0,98, то есть очень близок к 1. Значит, построенное уравнение регрессии является значимым, то есть описывает существенную зависимость между показателями. Таблица 17. Вспомогательная таблица для расчета параметров уравнения парной линейной регрессии ( y = k0 + k1 * x )
Расчет прогноза результирующего показателя y по регрессии Рассчитанные параметры уравнений тренда для определения прогнозного значения показателя x. Были получены следующие результаты.
Вывод: Что более достоверным для показателя x является прогнозное значение по квадратическому тренду x**= 1,9213572218, так как для него ошибка аппроксимации меньше. Именно его и подставляем его в уравнение регрессии. Подставляем это число вместо xв уравнение: y = 14004771,9+ 63335,6x, получаем y***= 14125107. Вывод (заключительный): Были рассчитаны тремя способами три разных прогнозных значения показателя y. По линейному тренду: y* =8776528,6; по квадратическому тренду y** = 6565569,5 и по уравнению регрессии y***=14125107. Наиболее достоверным представляется прогнозное значение 6565569,5, рассчитанное по уравнению квадратического тренда, так как для данного уравнения ошибка аппроксимации наименьшая. В целом следует сделать вывод о том, что от способа расчета зависит результат прогноза и что для получения более достоверного результата необходимо рассматривать различные варианты возможных видов математических функций, используемых для построения уравнений тренда. Заключение Финансы предприятий различных форм собственности, являясь основой единой финансовой системы страны, обслуживают процесс создания и распределения общественного продукта и национального дохода. От состояния финансов предприятий зависит обеспеченность централизованных денежных фондов финансовыми ресурсами. При этом активное использование финансов предприятий в процессе производства и реализации продукции не исключает участия в этом процессе бюджета, банковского кредита, страхования. В условиях рыночной экономики на основе хозяйственной и финансовой независимости предприятия осуществляют свою деятельность на началах коммерческого расчета, целью которого является обязательное получение прибыли. Они самостоятельно распределяют выручку от реализации продукции, формируют и используют фонды производственного и социального назначения, изыскивают необходимые им средства для расширения производства продукции, используя кредитные ресурсы и возможности финансового рынка. Развитие предпринимательской деятельности способствует расширению самостоятельности предприятий, освобождению их от мелочной опеки со стороны государства и вместе с тем повышению ответственности за фактические результаты работы. Список использованных источников 1 Елисеева И.И., Юзбашев М.М. Общая теория статистики. М.: Финансы и статистика, 2006. 2 Ефимова М.Р., Петрова Е.В., Румянцев В.Н. Общая теория статистики. М.: Финансы и статистика, 2009. 3 Салин В.Н., Шпаковская Е.П.Социально-экономическая статистика. М.: Финансы и статистика, 2005 4 Статистика/ Под ред. И.И. Елисеевой. М.: Финансы и статистика, 2010. 5 Статистика / Под ред. В.Г.Ионина. М.: Инфра-М, 2007. 6 Статистика финансов / Под ред. В.Н. Салина. М.: Финансы и статистика, 2010. 7 Теория статистики / Под ред. Р.А. Шмойловой. М.: Финансы и статистика, 2009. 8 Экономическая статистика / Под ред. Ю.Н. Иванова. М.: Инфра-М, 2006. |
|||||||||||||||||||||||||||||||||||||||||||||||||||||||||||||||||||||||||||||||||||||||||||||||||||||||||||||||||||||||||||||||||||||||||||||||||||||||||||||||||||||||||||||||||||||||||||||||||||||||||||||||||||||||||||||||||||||||||||||||||||||||||||||||||||||||||||||||||||||||||||||||||||||||||||||||||||||||||||||||||||||||||||||||||||||||||||||||||||||||||||||||||||||||||||||||||||||||||||||||||||||||||||||||||||||||||||||||||||||||||||||||||||||||||||||||||||||||||||||||||||||||||||||||||||||||||||||||||||||||||||||||||||||||||||||||||||||||||||||||||||||||||||||||||||||||||||||||||||||||||||||||||||||||||||||||||||||||||||||||||||||||||||||||||||||||||||||||||||||||||||||||||||||||||||||||||||||||||||||||||||||||||||||||||||||||||||||||||||||||||||||||||||||||||||||||||||||||||||||||||||||||||||||||||||||||||||||||||||||||||||||||||||||||||||||||||||||||||||||||||||||||||||||||||||||||||||||||||||||||||||||||||||||||||||||||||||||||||||||||||||||||||||||||||||||||||||||||||||||||



;







