Курсовая работа: Радиолокационные системы и средства помехозащиты
|
Название: Радиолокационные системы и средства помехозащиты Раздел: Рефераты по коммуникации и связи Тип: курсовая работа | |||||||||||||||
Введение Термин «радиолокация» составлен из двух слов: radiar — излучать и 1оси s — место. Отсюда «радиолокация» буквально означает определение места объекта посредством радиоизлучения. Более полное определение радиолокации обычно дается в следующем виде. Радиолокацией называется область радиотехники, использующая явления отражения и излучения электромагнитных волн различными объектами для их обнаружения, определения местоположения и параметров движения в пространстве. Процесс обнаружения объектов, определения их координат и параметров движения радиотехническими методами называется радиолокационным наблюдением. Специальные радиотехнические устройства, выполняющие эти задачи, называются радиолокационными станциями (РЛС) или радиолокаторами. Объекты радиолокационного наблюдения носят название радиолокационных целей. Такими целями могут быть, например, самолеты, ракеты и их боевые головки, искусственные спутники земли в полете, грозовые облака, корабли и другие надводные объекты, а также любые наземные объекты. Основные узлы РЛС — передающее и приёмное устройства, расположенные в одном пункте (т. н. совмещенная РЛС); или в пунктах, удалённых друг от друга на некоторое (обычно значительное) расстояние (двух- и многопозиционные РЛС). В РЛС, применяемых для пассивной радиолокации, передатчик отсутствует. Антенна может быть общей для передатчика и приёмника (у совмещенной РЛС) или могут применяться раздельные антенны (у многопозиционных РЛС). Важная составная часть приёмного устройства РЛС (после собственно приёмника) — световой индикатор на электроннолучевой трубке (ЭЛТ). А в современных РЛС (середины 70-х гг.) наряду с индикатором — ЦВМ, автоматизирующая многие операции по обработке принятых сигналов. Первые РЛС были станциями обнаружения самолётов. 5 стационарных импульсных РЛС было установлено на юго-западном побережье Великобритании в 1936 г. Они работали на сравнительно длинных (метровых) волнах, были весьма громоздки и не могли обнаруживать самолёты, летевшие на малой высоте. В СССР первые опыты по радиообнаружению самолётов были проведены в 1934 г. Промышленный выпуск первых РЛС, принятых на вооружение, был начат в 1939. Эти станции (РУС-1) с непрерывным излучением, модулированным звуковой частотой, располагались цепочкой вдоль некоторой линии и позволяли обнаруживать самолёт, пересекающий эту линию. Они были применены на Карельском перешейке во время советско-финляндской войны 1939—40 гг. и на Кавказе во время Великой Отечественной войны 1941—45 гг. Начиная с 60ых годов того столетия, получила развитие новая область науки — радиоастрономия и ее молодая отрасль — планетная радиолокация. В этой области РЛС используются для наблюдения за метеорами и планетами, изучения особенностей их движения, структуры поверхности, измерения точного расстояния до них и т п. Советские ученые в эту область науки вносили огромный вклад. Их научные работы постоянно опережали по времени и превышали по качеству аналогичные работы в США, Англии и других развитых странах. Достаточно отметить выдающиеся работы группы советских ученых под руководством академика В. А. Котельникова (А. Шаховская, О. Ржига, В. Дубровин), которая осуществила успешную, радиолокацию Венеры (1961 г.), Меркурия (1962 г.), Марса и Юпитера (1963 г.). При этом использовалась уникальная радиолокационная аппаратура, обеспечившая сверхмощное излучение и сверхчувствительный прием чрезвычайно слабых отраженных сигналов (например, во время локации Юпитера расстояние до него составляло 1 млрд. 200 млн. км). Проведенные научные эксперименты позволили уточнить основную астрономическую единицу — расстояние от земли до солнца (149 599 300 км), сделать выводы о скорости и направлении вращения планет и характере их поверхности, что имеет огромное значение для будущих космических полетов с посадкой на планеты. За выдающиеся работы группа В. А. Котельникова удостоена Ленинской премии в 1964 г. Радиолокационная техника непрерывно совершенствуется и находит все новые области применения. Анализ задачи и её формализация Предметом радиолокации как науки является разработка радиолокационных методов обнаружения целей, методов определения их координат, методов конструирования и эксплуатации радиолокационных устройств с учетом их тактического назначения и технических данных, а также изучение физических процессов, происходящих в этих устройствах. РЛС дальнего обнаружения предназначена для обнаружения целей на возможно большем удалении. От этих РЛС не требуется высокой точности определения координат, но они должны обладать возможно большей дальностью обнаружения. С появлением радиолокационных станций (РЛС) сначала в наземных системах ПВО, а впоследствии и на самолётах (бортовых РЛС-БРЛС) встала задача уменьшить возможность обнаружения самолета с помощью РЛС. Самолет 2, летящий на большой высоте по траектории 3 к цели 8, будет обнаружен в точке 4 лучом 5 антенны РЛС 9 системы ПВО на достаточно большом удалении от объекта 8. Более раннему обнаружению самолета препятствуют неровности рельефа местности (возвышенности, горы) 10, которые луч РЛС не может обогнуть. Мощность (дальность) РЛС самолета 2 не позволяет ему в точке 4 обнаружить цель 8, однако бортовые системы самолета, зафиксировав его облучение РЛС системы ПВО, могут расчетными методами обнаружить положение РЛС системы ПВО.
Для нападения на объекты с сильной ПВО начали применять тактику уничтожения РЛС системы ПВО специальными ракетами, запуск которых с борта самолета 2 возможен в точке траектории 4, если достаточна дальность действия ракеты. Начали применять тактику полета самолета 14 к цели на малой высоте по траектории 12 по огибающей рельефа местности. В этом случае самолет 14 будет обнаружен в точке 11 траектории, т.е. на значительно меньшем удалении от цели, что резко повышает вероятность ее поражения. Стремление обнаружить самолет противника на большом удалении от цели привело к созданию специальных самолетов дальнего радиолокационного обнаружения (ДРЛО). Самолет дальнего радиолокационного обнаружения 7, патрулирующий на большой высоте в зоне охраняемого объекта, лучом 6 мощной бортовой РЛС может обнаружить самолет противника 2 в точке 1, а низколетящий самолет 14 – в точке 13 , что резко повышает вероятность поражения самолета. В задачах ПВО после обнаружения и опознавания цели стоит задача об определении параметров цели. Существуют несколько принятых в радиолокации систем координат. В зависимости от выбора системы координат, будут ставиться задачи об определении тех или иных параметров цели. Например, в земной сферической системе координат параметрами движения являются азимут, угол места, и дальность цели. Здесь дальность цели – это расстояние от РЛС до самой цели. Основными характеристиками РЛС являются: - точность измерений, - разрешающая способность, - предельные значения ряда параметров (максимальная и минимальная дальность действия, сектор и время обзора и др.), - помехоустойчивость. К основным характеристикам относят также мобильность РЛС, её массу, габариты, мощность электропитания, срок службы, количество обслуживающего персонала и многие др. эксплуатационные параметры. Задача выбора конкретных средств радиоэлектронного подавления (РЭП) может быть решена на основе имеющейся информации о тактико-технических характеристиках РЛС противоположной стороны. С другой стороны, при выборе характеристик систем помехозащиты необходимы некоторые априорные сведения о типах помех, которые вероятно будут применяться, и их энергетических параметрах. Таким образом, для проектирования систем, участвующих в радиоэлектронном конфликте, важно наличие достоверной информации о технических средствах противника. По ТЗ определяем: · Дальность обнаружения цели R=260 км; · Максимальную скорость цели V=940м/с; · ЭПР цели Е=6м2 ; Расчёт параметров РЛС будем производить, используя программу «Стрела 2.0». Для чего в диалоговых окнах зададим необходимые для расчета параметры. Так как РЛС дальнего обнаружения работает в метровом диапазоне волн, то задаем длину волны равной 1,8м. Однозначно измеряемая дальность – это наибольшее расстояние, при котором радиосигнал, излученный станцией, еще доходит до цели и после отражения от нее регистрируется приемником РЛС. Однозначно измеряемая дальность зависит от характера распространения радиоволн используемого диапазона, условий распространения, технических параметров станции и отражающих свойств цели. Однозначно измеряемая дальность зададим равной 260км. Ширину спектра флуктуации помехи находим исходя из условия, что
Разрешение по дальности – это то минимальное расстояние между двумя соседними объектами в пространстве, когда РЛС может различить эти два объекта отдельно. Зададим разрешение по дальности равным 160м. Пусть РЛС работает в режиме спирального обзора пространства (рис.ниже). Такой обзор получается путем вращения антенны с частотой
Спиральный обзор применяется для поиска и наблюдения целей в пределах некоторого телесного угла, ограниченного как по азимуту от 00 до 240 , так и по углу места от 00 до 200 . Результаты вычислений показывают, что при выбранных значения цель обнаруживается с запасом в 1,299дБ. Зависимости характеристик обнаружения от параметров РЛС приведены на рис. 7.
Расчет параметров помехопостановщика 1. Расчет активной помехи. Активные помехи работе РЛС создаются путем излучения электромагнитной энергии. Основным средством создания организованных активных помех являются специальные передатчики помех. Ввиду того, что одним передатчиком помех невозможно перекрыть весь диапазон частот, применяемый в радиолокации, в состав станций помех обычно входит несколько передатчиков, каждый из которых перекрывает часть общего диапазона. Чтобы число передатчиков было наименьшим, каждый из них должен создавать помехи в возможно более широком диапазоне частот. Вследствие этого и антенны передатчиков помех должны быть широкополосными. Поскольку подавляемые РЛС принимают прямые сигналы передатчика помех, средняя мощность последнего может быть сравнительно небольшой, порядка десятков — сотен ватт. При этом достигается достаточное превышение помехи над отраженным сигналом на входе приемника РЛС, необходимое для нарушения нормальной работы или полного ее подавления. Применение направленной антенны в передатчике помех позволяет увеличить эффективность активной помехи без увеличения мощности передатчика. Однако в этом случае эффективность помех зависит еще и от точности ориентирования направленной антенны, что вызывает необходимость определения направления на РЛС и ориентации антенны передатчика помех. При ненаправленной антенне эта необходимость отпадает, но возникает опасность создания помех своим станциям. Поэтому антенна выбирается из условий тактического использования передатчика помех и места его установки. Передатчики помех могут устанавливаться на самолетах, воздушных шарах, ракетах, кораблях, на земле, а также могут выбрасываться на поплавках в море или на парашютах на территорию противника с густой сетью радиолокационных средств. Способ использования передатчиков помех выбирается исходя из конкретной обстановки, но в качестве постоянно действующего считается способ установки и использования передатчиков помех на самолетах, а также в районе защищаемых объектов. Самолеты, оборудованные передатчиками помех и разведывательной аппаратурой, могут включаться в состав боевых порядков для прикрытия их помехами от наблюдения РЛС противника. Наилучшие результаты дает применение комбинированных помех, т. е. одновременная постановка пассивных и активных помех. В зависимости от частоты настройки передатчика помех различают прицельные и заградительные активные помехи. Прицельная помеха может быть узкополосной, так как она создается путем настройки передатчика помех на рабочую частоту подавляемой РЛС с ошибкой, не превышающей половины полосы пропускания приемника РЛС. Заградительная помеха создается либо путем одновременного излучения передатчиком помех электромагнитных колебаний в широкой полосе частот, либо путем автоматической и периодической перестройки узкополосного передатчика помех в широком диапазоне частот. Все активные помехи характеризуются плотностью мощности или числом ватт мощности, приходящимся на мегагерц полосы частот помехи. Плотность помехи определяет ее уровень на входе приемника РЛС. Узкополосная прицельная помеха имеет большую плотность при малой мощности передатчика и поэтому экономична. Однако создание прицельной помехи требует применения сложной аппаратуры управления для быстрой и точной настройки передатчика помех. Трудности создания прицельных помех возрастают с увеличением числа объектов подавления и применением быстрой перестройки в самих РЛС. Заградительная помеха, наоборот, не требует точной настройки передатчика помех на частоту подавляемой РЛС, так как она создается в широкой полосе частот и обеспечивает одновременное подавление всех РЛС (или каналов одной РЛС), работающих в этом диапазоне частот. При организации заградительных помех требуется знание меньшего количества разведданных о системе радиолокационного обеспечения противника. Однако для создания такой же плотности мощности, как у прицельной помехи, передатчик заградительной помехи должен иметь, значительно, большую полную мощность, габариты и вес. Таким образом, важнейшими показателями активных помех являются полоса частот и плотность мощности. Чем больше спектр частот и плотность мощности помехи, тем труднее от нее отстроиться и тем эффективнее она поражает приемные каналы РЛС. По ТЗ заданно рассмотреть активную шумовую помеху. Шумовая помеха представляет собой непрерывные колебания несущей частоты, модулированные по амплитуде напряжением шумов. Напряжение шумов для модуляции передатчика помех получают от специального источника шумов, которым может быть шумовой диод, фотоэлектронный умножитель, тиратрон, помещенный в магнитное поле и др. С анодной нагрузки тиратрона, например, можно получить напряжение шумов до 0,5 в/МГц (другие источники шумов имеют в тысячи раз меньший выходной эффект). Такое напряжение достаточно усилить широкополосным видеоусилителем в сотни раз, чтобы затем использовать его в качестве модулирующего. Амплитуда, частота и фаза шумовых флюктуаций изменяются хаотически во времени, ввиду чего шумовая помеха обладает очень широким спектром частот и поэтому является наиболее опасной. Для защиты РЛС от шумовой помехи трудно найти эффективные средства защиты. Изображение шумовой помехи на экране индикатора с амплитудной отметкой имеет вид сплошной шумовой дорожки, на фоне которой затрудняется или совсем исключается наблюдение отметок целей (рис. 8). Вариант структурной схемы передатчика активных помех приведен на рис. 9. В качестве передающей/приемной антенн используем ФАР,которая позволяет сконцентрировать энергию в узком луче и направит ее на подавляемые радиосредства и за счет фазирования можно довести Организация и создание пассивных помех в работе РЛС противника имеют своим назначением обеспечить радиолокационную маскировку объектов в воздухе и на земле. Методы пассивного радиопротиводействия основаны на использовании или на подавлении отражения радиоволн — явления, которое лежит в основе работы большинства самих РЛС. В связи с этим радиолокационная маскировка объектов осуществляется либо путем применения различного рода искусственных пассивных отражателей, интенсивно отражающих радиосигналы РЛС, либо путем нанесения на объект противорадиолокационных покрытий, эффективно ослабляющих отражение. В первом случае наблюдение отметки цели на экране индикатора РЛС затруднено на фоне интенсивных отметок пассивных отражателей, а во втором случае обнаружение цели затрудняется из-за весьма слабого отражения, ею радиоволн. По ТЗ заданна помеха от земной поверхности. Рассмотрим создание ложных целей и ложного радиолокационного рельефа местности.В интересах маскировки важных наземных и надводных объектов и дезориентации противника при наблюдении им подобных объектов с воздуха при помощи панорамных РЛС прибегают к созданию ложных целей или ложного радиолокационного рельефа местности. В таких случаях применяют как дипольные отражатели, так и пассивные отражатели специальной формы: уголковые, конические, вибраторные решетки, линзы Люнеберга, диэлектрические отражатели с полным внутренним отражением и др. Наиболее широкое применение получили уголковые отражатели, которые выполняются в виде жесткой конструкции из взаимно перпендикулярных проводящих поверхностей. Размеры, которых превышают длину отражаемой радиоволны (рис. 10). радиообнаружение помехозащита аппаратный радиолокационный
Важнейшей особенностью уголкового отражателя является то, что он интенсивно отражает обратно к источнику излучения (после двух-трехкратного внутреннего отражения) энергию радиоволн, падающих на грани А,Б и В с любого направления в пределах телесного угла. Соединение четырех трехгранных уголков вместе позволяет получить интенсивное отражение обратно к РЛС энергии радиоволны, падающей на уголок с любого направления в пределах полусферы. Используются и более сложные конструкции уголковых отражателей. Устанавливать их можно как на земле, так и на воде (на поплавках), имитируя интенсивно отражающие цели и маскируя боевую технику и другие объекты от воздушного радиолокационного наблюдения. При массовом применении уголковых и дипольных отражателей на поверхности земли и воды можно существенно изменить радиолокационный рельеф местности. Таким способом можно создавать ложные площадные цели, дублирующие изображение маскируемых объектов: аэродромов и стоянок самолетов, портов и стоянок кораблей или их боевого порядка в море, мостов, заводов и даже городов. Аналогичным образом можно изменить береговую черту, изображение одного озера можно разбить на части, на реках «поставить» дополнительные мосты и т. п. Создание ложного радиолокационного рельефа местности может сильно затруднить ориентировку противника по экрану самолетной панорамной РЛС и прицельное бомбометание, а также заставить противника наводить ракеты на ложные цели. В мирное время уголковые и другие отражатели используются для создания точечных целей, которые служат указателями при радиолокационном ориентировании кораблей, входящих в гавань, самолетов, приближающихся к аэродрому, или расчетов РЛС при их тренировке и проверке работы радиолокационной аппаратуры. Ложные цели создаются и в воздухе, например путем буксирования отражающих конусов. В последнее время для нарушения работы станций управления ракетами, зенитной артиллерией и истребителями-перехватчиками разрабатываются управляемые отвлекающие ракеты-ловушки и ракеты радиопротиводействия с аппаратурой помех, запускаемые с тяжелых бомбардировщиков в полете. После выполнения задачи по созданию помех и отвлечению на себя средств противника такие ракеты уничтожаются по радиокоманде с бомбардировщика. Расчет зон прикрытия помехами По ТЗ необходимо рассчитать параметры постановщика активной шумовой помехи. Как говорилось ранее, для создания активной шумовой помехи необходимо воздействие мощного источника помехи, тогда на дальность действия РЛС действуют как внутренние шумы приемника, так и мощность помехи. Максимальная дальность действия РЛС в условиях радиопротиводействия может быть записана в виде:
РРЛС – мощность передатчика РЛС, Т – время обзора сектора сканирования, σ – ЭПР цели, R2 П – дальность до источника помехи,
E/N0 – отношение энергии сигнала к мощности шума на единицу полосы, необходимое для надежного обнаружения, PП – мощность помехи, GП – коэффициент усиления антенны по помехе. Проведем расчет коэффициента усиления антенны РЛС по помехе. Коэффициент усиления антенны РЛС при приеме полезного сигнала равен 600; помеха принимается в основном боковыми лепестками, примем уровень первого бокового лепестка антенны РЛС= -25дБ по мощности, тогда коэффициент усиления антенны РЛС по помехе будет равен:
Рассмотрим следующие зависимости: а) дальность действия РЛС от мощности передатчика (рис. 11).
Рисунок 11. График зависимости дальность действия РЛС от мощности передатчика. Мощность передатчика РЛС, необходимая для обнаружения РРЛС =200кВт, из графика видно, что при такой мощности обеспечивается дальность действия РЛС – 200км. По ТЗ необходимо обеспечить 260км, для этого нужно увеличить РРЛС в 2,5 раза. б) зоны прикрытия АП от мощности РЛС в условиях АП, при мощности АП равной 10кВт и расстоянием между РЛС – ПАП равным 260км (рис. 12).
Рисунок 12. График зависимости зоны прикрытия АП от мощности РЛС в условиях АП. Из графиков видно, что применение АШП значительно снижает дальность действия РЛС. При мощности передатчика РЛС 200кВт, дальность действия РЛС равна 2,7км. Отношение мощности АП к мощности сигнала, отраженного от цели, на входе РЛС можно записать в виде:
- При дальности от РЛС до Ц 200 км, при расстоянии от РЛС до ПАП 260 км, GАП =100, GРЛС =600, G=1.897, РперРЛС =200 кВт для формирования на входе РЛС отношения РАП /Рс =3, получаем: в) зависимость дальности действия РЛС, от отношения мощностей P=РРЛС /РПАП (рис. 13).
Рисунок 13. График зависимости дальность действия РЛС от отношения мощностей P=РРЛС /РПАП . Из графика следует, что даже при небольшом изменении РПАП , дальность действия РЛС значительно снижается. При Р=20, дпльность действия РЛС равна 2,7км. г) дальности действия РЛС от расстояния РЛС-ПАП.
Рисунок 14. График зависимости дальность действия РЛС от расстояния РЛС-ПАП. Пусть ПАП находится на удалении 260-500км, тогда, как видно из графика, дальность действия РЛС изменяется несущественно: в пределах 5км. д) дальности действия РЛС от Кпер
=
Рисунок 15. График зависимости дальность действия РЛС от Кпер . Из графика следует вывод, что с увеличение Кпер дальность действия РЛС уменьшается. Коэффициент перекрытия по частоте показывает на сколько спектр сигнала согласован со спектром помехи. Когда Кпер =1, то дальность действия РЛС всего 15 км. Расчет параметров средств помехозащиты 1. Средства защиты от пассивных помех. В основу борьбы с пассивными помехами положено использование операции режектирования ( операция обеления). Отношение ш/п на входе РЛС составляет -39,33дБ. Подавление в режекторном фильтре должно осуществляться до уровня шумов, - коэффициент подавления должен составлять около 39дБ. Отношение с/(ш+п) на входе РЛС составляет -22,22дБ. Для расчёта коэффициентов режекторного фильтра воспользуемся программой «Стрела 2.0» (рис. 16 – 18.): Выбираем оптимальный СС-фильтр, т.к. получим уточненные коэффициенты фильтра. Порядок фильтра выбираем так, чтобы необходимое число импульсов в пачке было на единицу больше порядка фильтра. Посредством остальных 15-7=8 отсчетов можно произвести когерентное накопление. Эти накопленные импульсы могут пойти на улучшение отношения с/ш. Можно добиться увеличения отношения с/ш в N раз, где N=8. Относительная фаза сигнала рассчитывается исходя из доплеровской частоты сигнала. F
D
=
Относительная фаза помехи равна нулю, так как помеха создается отражением от земной поверхности. Коэффициент подавления помехи получается равным 39дБ, что вполне удовлетворяет для дальнейшего накопления. Коэффициенты цифрового режекторного фильтра:
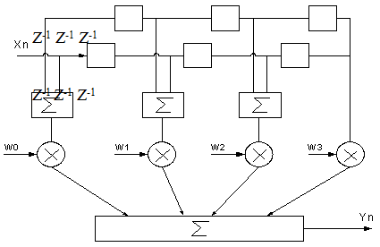
Так как коэффициенты цифрового режекторного фильтра симметричные, то структурную схему цифрового РжФ можно свернуть. Структурная схема примет следующий вид (рис. 19):
Рисунок 19. Структурную схему цифрового РжФ. 2. Средства защиты от активных помех. Методы защиты РЛС от активных помех основываются на использовании различий в структуре полезных сигналов и помех: различия по несущей частоте, спектру, фазе, амплитуде, длительности, частоте повторения или комбинации импульсных посылок и др. По ТЗ необходимо обеспечить защиту от активной шумовой помехи. Несмотря на общую высокую эффективность применения активной шумовой помехи, существует недостаток при их использовании. Недостаток заключается в том, что такие помехи легко обнаружить. А это ставит в уязвимое положение ПАП, а также позволяет применять различные меры борьбы с помехами. Например: ·Работа РЛС в короткие промежутки времени; ·Смена несущих частот, применение многочастотных РЛС; ·Использование сложных сигналов. При их использование значительно снижается импульсная мощность передатчика РЛС, т.е. Рс /Рш снижается. ·Использование длительного когерентного накопления сигнала. Перестройка РЛС по диапазону является одним из самых радикальных методов защиты от активных помех любого вида и повышения помехоустойчивости РЛС. После изменения рабочей волны РЛС противник должен заново обнаружить ее работу, определить ее новую волну и перестроить передатчик помех. На это уходит определенное время, в течение которого РЛС может нормально работать. Однако перестройка РЛС может быть эффективным способом защиты от помех лишь тогда, когда время перехода с одной волны на другую мало, а диапазон перестройки широк. Медленная перестройка и в узком диапазоне не обеспечивает надежной защиты, особенно когда противник располагает широкодиапазонными и быстро перестраиваемыми передатчиками помех. Следует заметить, что перестройка РЛС является одним из основных средств защиты от наиболее эффективной шумовой помехи; и то лишь в том случае, если диапазон перестройки РЛС намного превосходит ширину спектра шумовой помехи. В современных РЛС обеспечивается быстрая автоматическая перестройка в достаточно широком диапазоне частот. Особенно хорошие результаты при защите от прицельных и шумовых помех дает непрерывное изменение несущей частоты РЛС от импульса к импульсу. В перестраиваемых РЛС применяются широкополосные антенно-фидерные тракты и антенные переключатели, а передатчик и приемник содержатавтоматику механической или электрической перестройки в широком диапазоне и систему точной автоматической подстройки частоты (АПЧ). Для борьбы с АП можно использовать компенсационный метод (применяют специальную компенсационную антенну и компенсационный канал, направленный на АП). (рис. 20.)
Суть метода заключается в следующем: когда ПАП действует по боковым лепесткам ДН антенны РЛС, то тогда направления на источники сигнала и активной помехи не совпадают. Для того чтобы скомпенсировать помеху, применяют устройство с основной и дополнительной антеннами. Пусть А1 является основной антенной, принимающей сигнал и помеху U0 =Ut +UАП , а дополнительная компенсационная антенна А2 – только помеху UАП = Uk с некоторым сдвигом по фазе от U0 . Кк – коэффициент комбинированного канала (для выравнивания мощности). Если разложить на ортогональные составляющие Uk и подобрать для них оптимальные весовые коэффициенты W и W1 , то можно скомпенсировать помеху, принимаемую антенной А1. Этот метод основан на корреляционно обратной связи. Корреляция осуществляется между компенсационным каналом и сигналом на выходе. Такая связь осуществляется с помощью блока Мас (операция суммирования с накоплением). Корреляция будет возможной только при работе обоих каналов. Структурная схема алгоритма, реализующего такой квадратурный компенсатор с корреляционными обратными связями, приведена на рис. 22. Минимум среднего квадрата напряжения (мощности) помехи на выходе будет при Кк >1: W= -r×s0 /s1 , W1 = -r0 ×s0 /s1 0 , где s0 и s1 – СКО помех, принимаемых антеннами А1 и А2, r – коэффициент корреляции помехи в первом квадратурном канале, r0 - коэффициент корреляции помехи во втором квадратурном канале. Тогда коэффициент подавления активной шумовой помехи: КП =(1-ôr/ ô2 )-1 . При некоррелированной помехеôr/
ô2
=r2
+(r0
)2
-0, Кп
-1, и подавление помехи нет. Присильно коррелированной помехе ôr/
ô2
-1, Кп
-
Рисунок 22. Структурная схема квадратурного компенсатора. Анализ эффективности применения комплекса помех и средств помехозащиты Следует, заметить, что никакое устройство для подавления помех не является универсальным. Каждое устройство защиты позволяет эффективно бороться только с каким-то одним видом помех и является менее эффективным или вовсе непригодным для борьбы с другими видами помех. Поэтому оператор РЛС должен уметь определять вид помехи по ее изображению на экране индикатора, а также четко знать и умело использовать имеющиеся в станции средства подавления помех. В данном курсовом проекте для подавления пассивной помех использовался режекторный фильтр, а активной шумовой – гребенчаты фильтр или копенсационное устройство. Необходимо помнить, что включение той или иной схемы защиты, как правило, вызывает ослабление полезного сигнала и уменьшение дальности обнаружения, а потому является вредным в отсутствии помех или при воздействии помехи, на подавление которой схема не рассчитана. Однако для создания эффективных помех, как правило, необходимо разведать основные технические параметры подавляемой РЛС. Такая разведка может быть осуществлена обычными общевойсковыми методами или при помощи радиотехнических средств. Техническая радиолокационная разведка связана с меньшими потерями и вполне осуществима, благодаря тому, что любая активная РЛС, излучая электромагнитную энергию, демаскирует себя. В настоящее время успешная борьба с радиолокацией противника немыслима без хорошо организованной радиолокационной разведки. Вместе с тем, организация радиолокационной разведки и создание эффективных помех в работе РЛС представляют нелегкую задачу, которая постоянно усложняется вследствие непрерывного совершенствования РЛС. В данном курсовом проекте для создания пассивной помехи использовались уголковые отражатели, а для активной шумовой – схема генератора прицельных помех. Уже после первых опытов применения помех стало ясно, что РЛС, не имеющие средств защиты от помех, не могут быть надежным видом вооружения. Поэтому развитие радиолокации постоянно сопровождается развитием средств радиопротиводействия, а это в свою очередь вынуждает непрерывно совершенствовать радиолокационную технику, усложнять аппаратуру РЛС средствами защиты от помех, а иногда даже переходить к новым принципам работы и построения РЛС. Из сказанного ясно, что проблему радиопротиводействия логически составляют следующие основные вопросы: — принципы радиолокационной разведки и построения разведаппаратуры; — способы и средства создания организованных помех; — способы и средства защиты РЛС от помех. Оценка требований к аппаратно-программным ресурсам средств конфликтующих сторон Произведенный расчет параметров, выбор структурных схем и алгоритмов работы постановщиков помех показывает, что необходимо задействовать мощные передающие устройства. Аппаратура ПАП должна обладать высокой надежностью работы элементов схемы. Так как средства постановки активных помех является достаточно мощным устройством. Но в тоже время, аппаратура ПАП должна иметь минимальное энергопотребление, хорошую электромагнитную совместимость, небольшие габариты и массу, и сохранять работоспособность при различных климатических условиях. Аналогичные требования можно предъявить и к средствам защиты от помех. В процессе разработки данной РЛС было установлено, что с использованием РжФ можно добиться коэффициента подавления помехи на выходе равным 39дБ, т.е. сигнал помехи от земной поверхности фильтр подавляет до уровня шумов, а коэффициент улучшения с/(п+ш) составляет порядка 20дБ. А это говорит об эффективности работы фильтра. Основными требованиями к программным ресурсам конфликтующих сторон можно считать высокую производительность, быстродействие и надежность. Выбор и технико-экономическое обоснование технологической базы для реализации проекта Обработка сигнала в современных РЛС осуществляется в цифровой форме, поэтому важным является выбор технологической базы для цифровой обработки сигналов. В настоящее время широко используются методы обработки радиотехнических сигналов с помощью ПЛИС (программируемых логических интегральных схем). Например, семейство FLEX 10 K фирмы А ltera . Применение ПЛИС в радиотехнических системах существенно улучшает их массогабаритные, технические и экономические показатели, открывает широкие возможности реализации сложных алгоритмов цифровой обработки сигналов. Цифровые фильтры имеют ряд преимуществ. Основные из них : надежность в работе и стабильность характеристик. Они обладают высоким быстродействием, малым энергопотреблением, массой и габаритами, возможностью перепрограммирования. Защита ПЛИС от источников электромагнитного излучения может быть решена путем экранирования. Но данные ПЛИС имеют относительно высокую стоимость по сравнению с другими цифровыми сигнальными процессорами, однако это не является преградой, т.к. в радиолокации важным является такие показатели как быстродействие, надежность и достоверность принятой информации. Составление структурной схемы устройства и описание ее работы 1.Описание структурной схема устройства помехозащиты Устройства защиты от пассивных и активных помех включаются оператором РЛС. На экране индикатора появляется информация о воздушном пространстве, задача оператора стоит в безошибочном определении вида помехи. После того как оператор принял решение, например, об отсутствии помеховой обстановки, то устройство активных помех (квадратурный компенсатор) отключается ключами 1 и 2 или устройство пассивных помех (режекторный фильтр) отключается ключами 3 и4. 2.Описание структурной схемы устройства помехопостановщика Работа такой структурной схемы осуществляется в устройстве выбора типа помехи. После происходит измерение требуемых параметров подавляемой РЛС. Затем полученная информация о параметрах РЛС передается на устройство активных помех (генератор на ЛОВ), либо на устройство пассивных помех (отражатели). Заключение В области радиолокационных систем (РЛС), как и в любой другой области техники, происходит непрерывный процесс обновления, замены устаревших средств новыми модификациями. Расширяются и усложняются решаемые ими задачи, растут их показатели эффективности и качества, совершенствуются прежние и создаются новые конструкции, расширяются связи РЭС с другими системами. В развитии радиоэлектронных систем можно указать определенные этапы или поколения. Например, в истории развития радиоэлектронных систем значительный период занимал этап конструирования РЭС с использованием электронных ламп. Он сменился этапом развития радиоэлектронных систем с применением полупроводниковых элементов, за которым последовал новый этап построения РЭС на основе интегральной схемотехники (интегральных микросхем и микропроцессоров). Развитие микроэлектроники и вычислительной техники дало широкие возможности для применения в радиоэлектронике цифровых методов обработки и преобразования информации. Применение идей и методов цифровой обработки сигналов открывает принципиально новые возможности в различных областях радиоэлектроники и прежде всего в таких, как радиосвязь, радиолокация, радиоуправление. Особенно широко используются в радиоэлектронике достижения таких разделов физики, как физика твердого тела, оптика. Успехи в области когерентной оптики, голографии и в других областях физики способствовали созданию и развитию оптических методов обработки и преобразования информации. Они нашли свое применение, например, в радиолокации (РЛА), в микроволновой технике и других областях. В данной работе был выполнен расчет основных параметров РЛС, необходимых для обнаружения цели с заданными характеристиками. Был рассмотрен вопрос о двух конфликтующих сторонах, их средствах постановки помех и помехозащиты. Проведенные расчеты показывают, что при наличии достаточно полной информации о средствах противоположной стороны возможно как эффективное применение помех, так и их эффективное подавление. Список использованных источников 1. Логинов М.А., Роговой И.И., Чечельницкий М.И. Основы импульсной радиотехники и Радиолокации / Под ред. И.Г. Хорбенко. – М.: ВИМО СССР, 1968. 552 с. 2. Бакулев П.А. Радиолокационные системы. Учебник для вузов. – М.: Радиотехника, 2004. 320 с. 3. Радиоэлектронное оборудование / Под ред. Сидорина В.М. – М.: ВИ, 1990. 288 с. |




.

-
(м)



