Реферат: Макроэкономические модели, их виды и показатели
|
Название: Макроэкономические модели, их виды и показатели Раздел: Рефераты по экономике Тип: реферат |
Схема кругооборота представляет собой пример макроэкономической модели. Моделирование и абстрагирование являются основным методом макроэкономического анализа. Все макроэкономические процессы изучаются на основе построения моделей. Макроэкономические модели представляют собой формализованное (графическое или алгебраическое) описание экономических процессов и явлений с целью выявления основных взаимосвязей между ними. Для построения модели необходимо выделить существенные, наиболее важные характеристики для каждого исследуемого явления и отвлечься (абстрагироваться) от несущественных явлений и факторов. Таким образом, модель представляет собой некоторое упрощенное отражение действительности, позволяющее выявить основные закономерности развития экономических процессов и разработать варианты решения сложных макроэкономических проблем, таких как экономический рост, инфляция, безработица и др. Макроэкономические модели могут выступать в виде: функций, графиков, схем и таблиц, что позволяет понять взаимозависимости между макроэкономическими величинами, причинно-следственные связи между экономическими явлениями. В макроэкономике выделяют различные виды функций: а) поведенческие, характеризующие поведение экономических агентов (например, функция потребления: С = Со + mpсYd, где Со – автономное потребление, не зависящее от уровня дохода; Yd – располагаемый доход; mpс – поведенческий коэффициент, который называется предельной склонностью к потреблению и показывает, как изменится величина потребления при изменении величины располагаемого дохода на единицу); б) технологические, описывающие технологию производства (например, производственная функция: Y = F (K, L), где Y – величина совокупного выпуска, которая определяется запасом капитала (К) и запасом труда (L), т.е. количеством основных экономических ресурсов; в) институциональные, показывающие воздействие институциональных факторов (параметров государственного управления) на макроэкономические величины (например, функция налогов: T = T + tY, где T – величина налоговых поступлений, Т - автономные (аккордные) налоги, не зависящие от уровня дохода, t – ставка налога, Y – уровень совокупного дохода (выпуска); г) дефиниционные, отражающие определение той или иной макроэкономической величины (например, функция совокупного спроса, который по определению представляет собой сумму спросов всех макроэкономических агентов имеет вид: AD = C + I + G + Xn, где C – спрос домохозяйств (потребительские расходы), I – спрос фирм (инвестиционные расходы), G – спрос государства (государственные закупки товаров и услуг) и Xn – спрос иностранного сектора (чистый экспорт) Все эти функции можно представить в виде графиков и таблиц. Модели включают два вида показателей: экзогенные и эндогенные. Экзогенные величины – это показатели, задающиеся извне, формирующиеся вне модели. Экзогенные величины являются автономными (независимыми). Эндогенные величины – это показатели, формирующиеся внутри модели.
Модель позволяет показать, как изменение экзогенных величин (внешний импульс) влияет на изменение эндогенных (рис 1). Например, если функция потребления имеет вид: С = С (Yd, W), где С – величина совокупных потребительских расходов, Yd - располагаемый доход и W – богатство, Yd и W являются экзогенными величинами, а С – эндогенной. Эта модель позволяет исследовать, как изменение располагаемого дохода и/или богатства меняет величину потребительских расходов. Потребление, таким образом, выступает как зависимая величина (функция), а располагаемый доход и величина богатства – как независимые величины (аргумент функции). В разных моделях одна и та же величина может быть и экзогенной, и эндогенной. Так, в модели потребления потребительские расходы (С) выступают в качестве эндогенной (зависимой) величины, а в модели совокупного спроса: AD = C + I + G + Xn потребительские расходы (С) являются экзогенной (независимой) величиной, т.е. переменной, определяющей величину совокупного выпуска и совокупного дохода. Исключение составляют переменные государственного управления, которые, как правило, являются экзогенными, такие как государственные закупки товаров и услуг, аккордные налоги, налоговые ставки, величина трансфертов, учетная ставка процента, норма обязательных резервов, денежная база. Кроме переменных, модели включают в себя параметры и константы. К ним относятся все поведенческие коэффициенты, такие как предельная склонность к потреблению, предельная склонность к сбережению, норма депонирования, норма избыточных резервов, а также показатели эластичности (чувствительности), такие как чувствительность инвестиций к изменению ставки процента, чувствительность спроса на деньги к изменению дохода, степень мобильности капитала и др. Важная особенность макроэкономических переменных состоит в том, что они делятся на две группы: показатели потоков и показатели запасов. Поток (flow) – это количество за определенный период времени. В макроэкономике, как правило, единицей времени является год. К показателям потоков относятся: совокупный выпуск, совокупный доход, потребление, инвестиции, дефицит (профицит) государственного бюджета, количество безработных, экспорт, импорт и др., поскольку все они рассчитываются каждый год, т.е. в расчете на один год. Все показатели, отображенные в схеме кругооборота, являются потоками. (Не случайно эта схема называется моделью круговых потоков – model of circular flows). Запас (stock) – это количество на определенный момент времени, т.е. на определенную дату (например, 1 января 2000 года). К показателям запасов относятся национальное богатство, личное богатство, запас капитала, количество безработных, производственный потенциал, государственный долг и др. Макроэкономические показатели могут быть разделены также на: абсолютные и относительные. Абсолютные показатели измеряются в денежном (стоимостном) выражении (исключение составляют показатели численности занятых и численности безработных, которые измеряются в количестве человек), а относительные – в процентах или относительных величинах. К относительным показателям относятся такие, как уровень безработицы, дефлятор (общий уровень цен), темп инфляции, темп экономического роста, ставка процента, ставка налога и т.п.
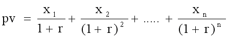
Устойчивое равновесие Неустойчивое равновесие Нейтральное Важное значение в макроэкономике имеет изучение равновесных состояний. При этом различают три вида равновесия: устойчивое, неустойчивое и нейтральное (рис 2). Равновесие в системе считается устойчивым, если, будучи выведенной из равновесного состояния, система самостоятельно в него возвращается; неустойчивым, если не возвращается, и нейтральным, если невозможно определенно сказать, вернется ли система в исходное состояние или нет. В макроэкономических моделях большое значение имеет фактор времени. В зависимости от того, как этот фактор учитывается в анализе, различают три вида макроэкономических моделей: статические, сравнительной статики и динамические (при этом исследования могут проводиться как в дискретном, так и в непрерывном времени). Статические модели описывают экономическую ситуацию на определенный момент времени. Модели сравнительной статики показывают результат перехода экономической системы из одного равновесного состояния в другое, но не исследуют, как происходит этот переход. Механизм этого процесса перехода изучается в динамических моделях. В динамических моделях важную роль играет принцип дисконтирования, т.е. приведения стоимости будущих доходов к настоящему периоду (present value - PV). Метод дисконтирования используется при определении эффективности вложений средств в финансирование инвестиционных проектов (финансирование инвестиционного проекта имеет смысл, если сумма будущих доходов, приведенных к настоящему периоду, будет не меньше величины затрат на его финансирование), при покупке ценных бумаг (что целесообразно лишь в том случае, если приведенный суммарный доход от этой ценной бумаги будет не меньше суммы, затраченной на ее покупку), при межвременном выборе потребления (при принятии решения о предпочтении будущего потребления настоящему). Дисконтированная стоимость рассчитывается по формуле:
где x1, x2, … xn – доходы, которые экономический агент предполагает получить в каждом из будущих периодов (от первого до n-ого), r – норма дисконта, которая в макроэкономических моделях, как правило, полагается равной ставке процента. Макроэкономический смысл ставки процента состоит в том, что она представляет собой альтернативные издержки использования денег иным образом. Список литературы По материалам книги Матвеевой Т.Ю. "Макроэкономика: Курс лекций для экономистов", 2001 год |


