Курсовая работа: Незалежні випробування
|
Название: Незалежні випробування Раздел: Рефераты по математике Тип: курсовая работа | ||||||||||||||||||||||||||||||||||||||||||||||||||||||||||||||||||||||||||||||||||||||||||||||||||||||||||||||||||||||||||||||||||||||||||||||||||||||||||||||||||||||||||||||||||||||||||||||||||||||||||||||||||||||||||||||||||||||||||||||||||||||||||||||||||||||||||||||||||||||||||||||||||||||||||||||||||||||||||||||||||||||||||||||||||||||||||||||||||||||||||||||||||||||||||||||||||||||||||||||||||||||||||||||||||||||||||||||||||||||||||||||||||||||||||||||||||||||||||||||||||||||||||||||||||||||||||||||||||||||||||||||||||||||||||||||||||||||||||||||||||||||||||||||||||||||||||||||||||||||||||||||||||||||||||||||||||||||||||||||||||||||||||||||||||||||||||||||||||||||||||||||||||||||||||||||||||||||||||||||||||||||||||||||||||||||||||||||||||||||||||||||||||||||||||||||||||||||||||||||||||||||
Курсова робота з дисциплини: Теорема ймовірності на тему: Незалежні випробування Введення При практичному застосуванні теорії ймовірностей часто доводиться зустрічатися із задачами, у яких те саме випробування повторюється неодноразово. У результаті кожного випробування може з'явитися або не з'явитися деяка подія А, причому нас не цікавить результат кожного окремого випробування, а загальне число появ події А в результаті серії досвідів. Наприклад, якщо виробляється група пострілів по однієї й тій же меті, нас, як правило, не цікавить результат кожного пострілу, а загальне число влучень. У подібних задачах потрібно вміти визначати ймовірність будь-якого заданого числа появ події в результаті серії досвідів. Такі задачі й будуть розглянуті. Вони вирішуються досить просто у випадку, коли випробування є незалежними. Визначення. Випробування називаються незалежними, якщо ймовірність того або іншого результату кожного з випробувань не залежить від того, які результати мали інші випробування. Наприклад, кілька кидань монети являють собою незалежні випробування. 1 . Формула Бернуллі Нехай зроблено два випробування(n=2). У результаті можливе настання одного з наступних подій: Відповідні ймовірності даних подій такі:
Нехай тепер n=3. Тоді можливе настання одного з наступних варіантів подій:
Відповідні ймовірності рівні Очевидно, що отримані результати при n=2 і n=3 є елементами
Тепер допустимо, зроблено n випробувань. Подія А може наступити n раз, 0 разів, n-1 раз і т.д. Напишемо подію, що складається в настанні події А m раз
Необхідно знайти число випробувань, у яких подія А наступить m раз. Для цього треба знайти число комбінацій з n елементів, у яких А повторюється m раз, а
Остання формула називається формулою Бернуллі і являє собою загальний член розкладання
З формули (1) видно, що її зручно використовувати, коли число випробувань не занадто велике. Приклади №1. Кидається монета 7 разів. Знайти ймовірність настання орла три рази. Рішення. n=7, m=3
№2. Щодня акції корпорації АВС піднімаються в ціні або падають у ціні на один пункт із ймовірностями відповідно 0,75 і 0,25. Знайти ймовірність того, що акції після шести днів повернуться до своєї первісної ціни. Прийняти умову, що зміни ціни акції нагору й долілиць - незалежні події. Рішення. Для того, щоб акції повернулися за 6 днів до своєї первісної ціни, потрібно, щоб за цей час вони 3 рази піднялися в ціні й три рази опустилися в ціні. Шукана ймовірність розраховується по формулі Бернуллі
№3. Мотори багатомоторного літака виходять із ладу під час польоту незалежно один від іншого з імовірністю р. Багатомоторний літак продовжує летіти, якщо працює не менш половини його моторів. При яких значеннях р двомоторний літак надійніше чотиримоторного літака? Рішення. Двомоторний літак терпить аварію, якщо відмовляють обоє його мотора. Це відбувається з імовірністю р2. Чотиримоторний літак терпить аварію, якщо виходять із ладу всі 4 мотори а це відбувається з імовірністю р4, або виходять із ладу три мотори з 4-х. Імовірність останньої події обчислюється по формулі Бернуллі: р2<р4+4p3(1–p) Ця нерівність зводиться до нерівності (3 р-р-1)( р-р-1)<0. Другий співмножник у лівій частині цієї нерівності завжди негативний (за умовою задачі). Отже, величина 3 р-р-1 повинна бути позитивної, звідки треба, що повинне виконуватися умову р>1/3. Слід зазначити, що якби ймовірність виходу з ладу мотора літака перевищувала одну третину, сама ідея використання авіації для пасажирських перевезень була б дуже сумнівною. №4. Бригада з десяти чоловік іде обідати. Є дві однакові їдальні, і кожний член бригади незалежно один від іншого йде обідати в кожну із цих їдалень. Якщо в одну з їдалень випадково прийде більше відвідувачів, чим у ній є місць, то виникає черга. Яке найменше число місць повинне бути в кожній з їдалень, щоб імовірність виникнення черги була менше 0,15? Рішення. Рішення задачі прийде шукати перебором можливих варіантів. Спочатку помітимо, що якщо в кожній їдальні по 10 місць, то виникнення черги неможливо. Якщо в кожній їдальні по 9 місць, то черга виникне тільки у випадку, якщо всі 10 відвідувачів потраплять в одну їдальню. З умови задачі треба, що кожний член бригади вибирає дану їдальню з імовірністю 1/2. Виходить, усі зберуться в одній їдальні з імовірністю 2(1/2)10=1/512. Це число багато менше, ніж 0,15, і варто провести розрахунок для їдалень. Якщо в кожній їдальні по 8 місць, то черга виникне, якщо всі члени бригади прийдуть в одну їдальню, імовірність цієї події вже обчислена, або 9 чоловік підуть в одну їдальню, а 1 чоловік вибере іншу їдальню. Імовірність цієї події розраховується за допомогою формули Бернуллі Виходить, у цьому випадку черга виникає з імовірністю 56/512=0,109375<0,15. Діючи аналогічним образом, обчислюємо, що якщо в кожній їдальні 6 місць, то черга виникає з імовірністю 56/512+120/512=176/512=0,34375. Звідси одержуємо, що найменше число місць у кожній їдальні повинне рівнятися семи. №5.В урні 20 білих і 10 чорних куль. Вийняли 4 кулі, причому кожну вийняту кулю повертають в урну перед добуванням наступні й кулі в урні перемішують. Знайти ймовірність того, що із чотирьох вийнятих куль виявиться 2 білих. Рішення.ПодіяА– дістали білу кулю. Тоді ймовірності
По формулі Бернуллі необхідна ймовірність дорівнює
№6.Визначити ймовірність того, що в родині, що має 5 дітей, буде не більше трьох дівчинок. Імовірності народження хлопчика й дівчинки передбачаються однаковими. Рішення.Імовірність народження дівчинки
Знайдемо ймовірності того, що в родині немає дівчинок, народилася одна, дві або три дівчинки: бернуллі формула лаплас ймовірність
Отже, шукана ймовірність
№7.Серед деталей, оброблюваних робітником, буває в середньому 4% нестандартні. Знайти ймовірність того, що серед узятих на випробування 30 деталей дві будуть нестандартними. Рішення.Тут досвід полягає в перевірці кожної з 30 деталей на якість. Подія А - "поява нестандартної деталі", його ймовірність
№8.При кожному окремому пострілі зі знаряддя ймовірність поразки мети дорівнює 0,9. Знайти ймовірність того, що з 20 пострілів число вдалих буде не менш 16 і не більше 19. Рішення.Обчислюємо по формулі Бернуллі:
№9.Незалежні випробування тривають доти, поки подіяАне відбудетьсяkраз. Знайти ймовірність того, що буде потрібноnвипробувань (n і k), якщо в кожному з них Рішення.ПодіяВ– рівноnвипробувань до k-го появи подіїА– є добуток двох наступних подій: D – в n-ом випробуванніАвідбулося; С – у перші(n–1)-ом випробуванняхАз'явилося(до-1)раз. Теорема множення й формула Бернуллі дають необхідну ймовірність:
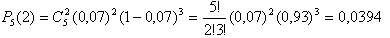
№10.З n акумуляторів за рік зберігання k виходить із ладу. Вибирають m акумуляторів. Визначити ймовірність того, що серед них l справних n = 100, k = 7, m = 5, l = 3. Рішення:Маємо схему Бернуллі з параметрами p=7/100=0,07 (імовірність того, що акумулятор вийде з ладу), n = 5 (число випробувань), k = 5-3 =2 (число "успіхів", несправних акумуляторів). Будемо використовувати формулу Бернуллі (імовірність того, що в n випробуваннях подія відбудеться k раз).
Одержуємо
№11.Пристрій, що складається з п'яти незалежно працюючих елементів, включається за час Т. Імовірність відмови кожного з них за цей час дорівнює 0,2. Знайти ймовірність того, що відмовлять: а) три елементи; б) не менш чотирьох елементів; в) хоча б один елемент. Рішення:Маємо схему Бернуллі з параметрами p = 0,2 (імовірність того, що елемент відмовить), n = 5 (число випробувань, тобто число елементів), k (число "успіхів", що відмовили елементів). Будемо використовувати формулу Бернуллі (імовірність того, що для n елементів відмова відбудеться в k елементах): №12.Скільки варто зіграти партій у шахи з імовірністю перемоги в одній партії, рівної 1/3, щоб число перемог було дорівнює 5? Рішення: Число перемог k визначається з формули
Одержуємо, що n = 15, 16 або 17. 2 . Локальна формула Муавра-Лапласа Легко бачити, що користуватися формулою Бернуллі при більших значеннях n досить важко, тому що формула вимагає виконання дій над величезними числами. Природно, виникає питання: чи не можна обчислити ймовірність, що цікавить нас,, не прибігаючи до формули Бернуллі. В 1730 р. інший метод рішення при p=1/2 знайшов Муавр; в 1783 р. Лаплас узагальнив формулу Муавра для довільного p, відмінного від 0 і 1. Ця формула застосовується при необмеженому зростанні числа випробувань, коли ймовірність настання події не занадто близька до нуля або одиниці. Тому теорему, про яку мова йде, називають теоремою Муавра-Лапласа. Теорема Муавра-Лапласа. Якщо ймовірність p появи події А в кожному випробуванні постійне й відмінна від нуля й одиниці, то ймовірність
При Є таблиці, у яких поміщені значення функції
відповідним позитивним значенням аргументу x(див. додаток 1). Для негативних значень аргументу користуються тими ж таблицями, тому що функція Отже, імовірність того, що подія A з'явиться в n незалежних випробуваннях рівно k раз, приблизно дорівнює
де №13. Знайти ймовірність того, що подія А наступить рівно 80 разів в 400 випробуваннях, якщо ймовірність появи цієї події в кожному випробуванні дорівнює 0,2. Рішення. За умовою n=400; k=80; p=0,2; q=0,8. Скористаємося формулою Лапласа:
Обчислимо обумовлене даними задачі значення x:
По таблиці додатка 1 знаходимо Шукана ймовірність
№14. Імовірність поразки мішені стрільцем при одному пострілі p=0,75. Знайти ймовірність того, що при 10 пострілах стрілок уразить мішень 8 разів. Рішення. За умовою n=10; k=8; p=0,75; q=0,25. Скористаємося формулою Лапласа:
Обчислимо обумовлене даними задачі значення x:
По таблиці додатка 1 знаходимо
Шукана ймовірність
№15. Знайти ймовірність того, що подія А наступить рівно 70 разів в 243 випробуваннях, якщо ймовірність появи цієї події в кожному випробуванні дорівнює 0,25. Рішення. За умовою n=243; k=70; p=0,25; q=0,75. Скористаємося формулою Лапласа:
Знайдемо значення x:
По таблиці додатка 1 знаходимо
Шукана ймовірність
№16. Знайти ймовірність того, що подія А наступить 1400 разів в 2400 випробуваннях, якщо ймовірність появи цієї події в кожному випробуванні дорівнює 0,6. Рішення. За умовою n=2400; k=1400; p=0,6; q=0,4. Як і в попередньому прикладі, скористаємося формулою Лапласа:
Обчислимо x:
По таблиці додатка 1 знаходимо
Шукана ймовірність
3 . Формула Пуассона Ця формула застосовується при необмеженому зростанні числа випробувань, коли ймовірність настання події досить близька до 0 або 1.
Доказ.
У такий спосіб одержали формулу:
Приклади №17. Імовірність виготовлення негідної деталі дорівнює 0,0002. Знайти ймовірність того, що серед 10000 деталей тільки 2 деталі будуть негідними. Рішення. n=10000; k=2; p=0,0002.
№18. Імовірність виготовлення бракованої деталі дорівнює 0,0004. Знайти ймовірність того, що серед 1000 деталей тільки 5 деталі будуть бракованими. Рішення. n=1000; k=5; p=0,0004.
Шукана ймовірність
№19. Імовірність виграшу лотереї дорівнює 0,0001. Знайти ймовірність того, що з 5000 спроб виграти вдасться 3 рази. Рішення. n=5000; k=3; p=0,0001.
Шукана ймовірність
4 . Теорема Бернуллі про частоту ймовірності Теорема. Імовірність того, що в n незалежних випробуваннях, у кожному з яких імовірність появи події дорівнює p, абсолютна величина відхилення відносної частоти появи події від імовірності появи події не перевищить позитивного числа
Доказ. Будемо вважати, що виробляється n незалежних випробувань, у кожному з яких імовірність появи події А постійна й дорівнює p. Поставимо перед собою задачу знайти ймовірність того, що відхилення відносної частоти
Замінимо нерівність (*) йому рівносильними:
Множачи ці нерівності на позитивний множник
Тоді ймовірність знайдемо в такий спосіб:
Значення функції Приклади №20. Імовірність того, що деталь не стандартна, p=0,1. Знайти ймовірність того, що серед випадково відібраних 400 деталей відносна частота появи нестандартних деталей відхилиться від імовірності p=0,1 по абсолютній величині не більш, ніж на 0,03. Рішення. n=400; p=0,1; q=0,9;
маємо
По таблиці додатка 2 знаходимо №21. Імовірність того, що деталь не стандартна, p=0,1. Знайти, скільки деталей треба відібрати, щоб з імовірністю, рівної 0,9544, можна було затверджувати, що відносна частота появи нестандартних деталей(серед відібраних) відхилиться від постійної ймовірності p по абсолютній величині не більше ніж на 0,03. Рішення. За умовою, p=0,1; q=0,9;
У силу умови
Отже,
По таблиці додатка 2 знаходимо №22. Імовірність появи події в кожному з незалежних випробувань дорівнює 0,2. Знайти, яке відхилення відносної частоти появи події від його ймовірності можна чекати з імовірністю 0,9128 при 5000 випробуваннях. Рішення. Скористаємося тією же формулою, з якої треба:
Література 1. Гмурман Е.В. Теорія ймовірностей і математична статистика. – К., 2003 2. Гмурман Е.В. Керівництво до рішення задач по теорії ймовірностей і математичній статистиці. – К., 2004. 3. Гнеденко Б.В. Курс теорії ймовірностей. – К., 2007. 4. Колемаєв В.А., Калініна В.Н., Соловйов В.И., Малихин В.І., Курочкин О.П. Теорія ймовірностей у прикладах і задачах. – К., 2004. 5. Вентцель Е.С. Теорія ймовірностей. – К., 2004 Додат ки Додаток 1 Таблиця значень функції
Додаток 2 Таблиця значень функції
|





,
,
.
.
.
,
.
.