Контрольная работа: Классический метод наименьших квадратов
|
Название: Классический метод наименьших квадратов Раздел: Рефераты по экономико-математическому моделированию Тип: контрольная работа |
Алтайский институт труда и права (филиал)Академии труда и социальных отношенийФинансово-экономический факультетКОНТРОЛЬНАЯ РАБОТАпо дисциплине Эконометрика на тему Классический метод наименьших квадратов Студента 3 курса 681 группы Бахтеевой Татьяны Михайловны 2010 Метод наименьших квадратов (МНК) – один из наиболее широко используемых методов при решении многих задач восстановления регрессионных зависимостей[1] . Впервые МНК был использован Лежандром в 1806 г. для решения задач небесной механики на основе экспериментальных данных астрономических наблюдений. В 1809 г. Гаусс изложил статистическую интерпретацию МНК и тем самым дал начало широкого применения статистических методов при решении задач восстановления регрессионных зависимостей. Строгое математическое обоснование и установление границ содержательной применимости метода наименьших квадратов даны А.А. Марковым и А.Н. Колмогоровым. Ныне способ представляет собой один из важнейших разделов математической статистики и широко используется для статистических выводов в различных областях науки и техники. Приведу краткое описание данного метода. Метод наименьших квадратов — один из методов регрессионного анализа для оценки неизвестных величин по результатам измерений, содержащих случайные ошибки. Применяется также для приближённого представления заданной функции другими (более простыми) функциями и часто оказывается полезным при обработке наблюдений. В настоящее время широко применяется при обработке количественных результатов естественнонаучных опытов, технических данных, астрономических и геодезических наблюдений и измерений. Можно выделить следующие достоинства метода: а) расчеты сводятся к механической процедуре нахождения коэффициентов; б) доступность полученных математических выводов. Основным недостатком МНК является чувствительность оценок к резким выбросам, которые встречаются в исходных данных. Рассмотрю применение классического метода наименьших квадратов для нахождения неизвестных параметров уравнения регрессии на примере модели линейной парной регрессии. Пусть подобрана эмпирическая линия, по виду которой можно судить о том, что связь между независимой переменной и зависимой переменной линейна и описывается равенством:
Необходимо найти такие значения параметров
При минимизации функции (1) неизвестными являются значения коэффициентов регрессии Для того чтобы найти минимум функции двух переменных, нужно вычислить частные производные этой функции по каждой из оцениваемых параметров и приравнять их к нулю. В результате получаем стационарную систему уравнений для функции (2):
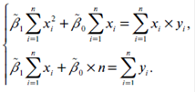
регрессивный оценка обработка результат Если разделить обе части каждого уравнения системы на (-2), раскрыть скобки и привести подобные члены, то получим систему:
Эта система нормальных уравнений относительно коэффициентов
Решением системы нормальных уравнений являются оценки неизвестных параметров уравнения регрессии
Где
Рассмотрим применение МНК на конкретном примере. Имеются данные о цене на нефть
Зависимой переменной Для нахождения коэффициентов Таблица 1. Таблица для нахождения коэффициентов
Запишем систему нормальных уравнений исходя из данных таблицы:
Решением данной системы будут следующие числа:
Таким образом, уровень регрессии, описывающее зависимость между ценой на нефть и индексом акций нефтяной компании, можно записать как:
На основании полученного уравнения регрессии можно сделать вывод о том, что с изменением цены на нефть на 1 денежную единицу за баррель индекс акций нефтяной компании изменяется примерно на 15, 317 процентных пункта. Метод наименьших квадратов является наиболее распространенным методом оценивания параметров уровня регрессии, и применим только для линейных относительно параметров моделей или приводимых к линейным с помощью преобразования и замены переменных[2] . Список использованной литературы: 1. Крянев А.В. Применение современных методов математической статистики при восстановлении регрессионных зависимостей на ЭВМ. Учебное пособие. М.: 1988. С. 4. 2. Мамаева З.М. Математические методы и модели в экономике. ч 2. Учебное пособие. Н. Новгород.: 2010. С 17 3. Эконометрика. Конспект лекций. Яковлева А.В. М.: Эксмо, 2008.С. 126. [1] Крянев А.В. Применение современных методов математической статистики при восстановлении регрессионных зависимостей на ЭВМ. Учебное пособие. М.: 1988. 4 с. [2] Мамаева З.М. Математические методы и модели в экономике. ч 2. Учебное пособие. Н.Новгород.: 2010. С 17 |
(2)



