Курсовая работа: Проектирование антенны Кассегрена
|
Название: Проектирование антенны Кассегрена Раздел: Рефераты по коммуникации и связи Тип: курсовая работа |
Исходные данныеЧастота Коэффициент усиления Уровень первого бокового лепестка Вид поляризации – линейная, горизонтальная. Расчет геометрических характеристик антенныВ области космической и радиорелейной связи, астрономии, а также других областях широкое распространение получили двухзеркальные антенны. Основными достоинствами осесимметричных двухзеркальных антенн по сравнению с однозеркальными являются: 1. Улучшение электрических характеристик, в частности повышение КИП раскрыва антенны, так как наличие второго зеркала облегчает оптимизацию распределения амплитуд по поверхности основного зеркала. 2. Конструктивные удобства, в частности упрощение подводки системы фидерного питания к облучателю. 3. Уменьшение длины волноводных трактов между приемопередающим устройством и облучателем, например, путем размещения приемного устройства вблизи вершины основного зеркала. Принцип действия двухзеркальных антенн заключается в преобразовании сферического волнового фронта электромагнитной волн, излучаемой источником, в плоский волновой фронт в раскрыве антенны в результате последовательного переотражения от двух зеркал: вспомогательного и основного с соответствующими профилями. В курсовом проекте стоит задача спроектировать антенну Кассегрена удовлетворяющую параметрам указанным в задании. Схема Кассегрена предложена в 1672 году для построения оптических телескопов. Основное зеркало в этой схеме параболоид вращения, вспомогательное зеркало гиперболоид вращения. В схеме Кассегрена выбор угла раствора параболической образующей В приближении геометрической оптики двухзеркальная антенна может быть сведена к эквивалентной ей по распределению поля в раскрыве однозеркальной антенне того же диаметра – эквивалентному параболоиду. Расчет производился методом эквивалентного параболоида. Для расчета размеров в качестве независимых переменных выберем параметры:
Рассчитаем соотношения необходимые для расчета параметров получившейся антенны.
Выбор и расчет параметров облучателяОблучатель антенны существенно влияет на характеристики антенной системы в целом. Выбор и проектирование облучателей зеркальных антенн в общем случае определяется следующими соображениями: 1. ДН облучателя должна обеспечивать соответствующее распределение поля по апертуре с необходимым уменьшением поля на краю зеркала и иметь небольшой уровень боковых лепестков. 2. Облучатель должен создавать минимальное затенение апертуры, так как затенение апертуры увеличивает уровень боковых лепестков и уменьшает КНД. 3. Облучатель должен иметь фазовый центр. 4. Облучатель должен иметь требуемую диапазонность. 5. Облучатель должен обеспечивать работу при заданной величине мощности. 6. Облучатель позволяет одной антенной одновременно осуществлять две функции: передачу и прием, двойную передачу, прием и передачу сигналов ортогональных поляризаций. 7. Облучатель должен иметь минимальный вес, достаточную механическую прочность, обеспечивать необходимую надежность работы при ожидаемых метеоусловиях, возможность герметизации волноводного тракта. В качестве двухзеркальных антенн в подавляющем большинстве случаев используются рупоры и их модификации. Широкое распространение рупорных облучателей объясняется простотой их конструкции, хорошими характеристиками по входному сопротивлению, поляризации и допустимой мощности, осесимметричная диаграмма направленности. Ему присущи и недостатки: отсутствие фазового центра, большое затенение раскрыва. В качестве облучателя возьмем пирамидальный рупор. Задавшись размерами раскрыва,
Соотношения необходимые для расчета параметров рупора Установлено, что конструкция получается оптимальной с точки зрения затенения (минимальное затенение), если равны размеры теней, отбрасываемых раскрывом облучателя и вспомогательным зеркалом. Условие минимального затенения записывается в виде
Зная геометрические размеры облучателя рассчитаем его электрические характеристики. Рассчитаем КНД.
Зная КНД можно рассчитать КИП.
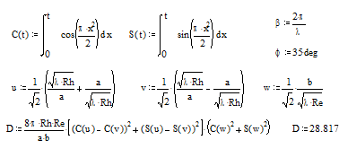
Рассчитаем диаграмму направленности рупора. При этом необходимо чтобы главный лепесток ДН рупора точно влез в угол
В результате интегрирования получаем для плоскости Е следующие формулы.
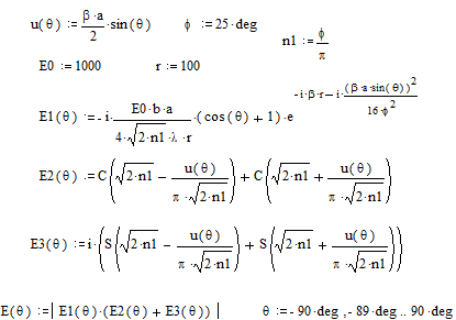
Рисунок 1.Диаграмма направленности рупора в плоскости Е рассчитанная в программе MathCAD 7. Значение ДН рупора при угле В плоскости Н косинусоидальное амплитудное распределение и квадратичное фазовое. Взяв интеграл предполагая такие распределения получим формулы для расчета в плоскости Н.
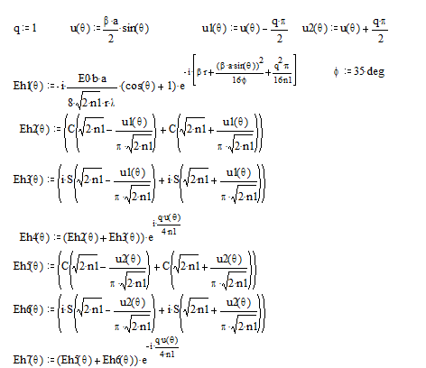
Рисунок 2. Диаграмма направленности рупора в плоскости Н рассчитанная в программе MathCAD 7 Значение ДН рупора при угле Для обеспечения заданного вида поляризации поля (линейная горизонтальная) расположим рупор так, чтобы вектор
Рисунок 3 Расчет параметров антенныРасчет параметров антенны начнем с расчета амплитудного распределения поля в раскрыве антенны. Распределение поля в раскрыве определяется ДН облучателя и геометрией эквивалентного параболоида. При расположении облучателя в фокусе эквивалентного параболоида нормированное распределение амплитуд поля в раскрыве антенны по методу геометрической оптики определяется равенством.
При симметричной ДН облучателя распределение поля в раскрыве не зависит от угловой координаты
На основании полученной формулы рассчитаем амплитудные распределения в раскрыве антенны соответствующие диаграмме направленности облучателя в плоскости Е и Н. Распределения построены в программе MathCAD 7.
Рисунок 4. Амплитудное распределение в плоскости Е Уровень поля на краю 0.069. Рассчитанный в программе ANT4 уровень поля 0.074.
Рисунок 5. Амплитудное распределение в плоскости Н Уровень поля на краю 0.069. Рассчитанный в программе ANT4 уровень поля 0.074. Для расчета ДН антенны необходимо аппроксимировать амплитудное распределение поля некоторой функцией. В плоскости Е также была произведена аппроксимация функцией в виде степенного ряда
Рисунок 6 Относительная погрешность, определяющая отклонение аппроксимирующей функции от рассчитанной, может быть вычислена по формуле.
Рисунок 7 Погрешность аппроксимации не превышает 4%. В плоскости H также была произведена аппроксимация функцией в виде степенного ряда
Рисунок 8. Погрешность аппроксимации для данной функции
Рисунок 9. Погрешность аппроксимации не превышает 2% По известному амплитудному распределению в раскрыве рассчитаем диаграммы направленности антенны. При используемой аппроксимации ДН определяется следующим образом.
а1, а2, а3, а4, а5 – подобранные ранее коэффициенты аппроксимации амплитудного распределения в плоскости Е.
Диаграмма направленности антенны рассчитанная по таким формулам не учитывает затенение раскрыва малым зеркалом. В двухзеркальных антеннах некоторая часть апертуры затеняется малым зеркалом, в результате чего КНД уменьшается, а уровень боковых лепестков увеличивается. ДН антенны, часть которой затенена, рассчитывается по формуле
где Диаграмма направленности в плоскости Е.
Рисунок 10. Диаграмма направленности в плоскости Н
Рисунок 11 Результирующий КИП двухзеркальной антенны можно представить в виде произведения
Апертурный коэффициент использования учитывает потери усиления вследствие неравномерности амплитудного распределения в плоскости раскрыва.
Где Коэффициент
В плоскости Е получено значение результирующего КИП равное 0,444. В плоскости Н КИП равен 0,599. Расчет был произведен с помощью программы ANT4. Рассчитав КИП можно рассчитать КНД антенны по формуле Для расчета предельного КНД антенны необходимо определить допуск. Допуск – такое отклонение поверхности зеркала от расчетной (в ту или другую сторону), которое не превышается с заданной вероятностью. Если случайное отклонение поверхности зеркала параболической формы подчиняется нормальному закону с нулевым средним значением, то для обеспечения допуска с вероятностью 0,99 среднеквадратическое значение допуска определяется по формуле Из-за среднеквадратической ошибки формы зеркала падает КНД, но гораздо раньше происходит увеличение уровня боковых лепестков. Средний уровень боковых лепестков с учетом случайных ошибок определяется по формуле Рассчитаем средний уровень боковых в плоскости Е.
Рассчитаем средний уровень боковых в плоскости Н.
Конструкция антенныПроизведем расчет профилей основного и вспомогательного зеркал. Профили и основного и вспомогательного зеркала – кривые второго порядка. Уравнение кривой второго порядка, записанное в полярных координатах относительно ближнего фокуса имеет вид
Рисунок 12 При выборе типа поверхности зеркала необходимо учесть, что зеркальные антенны, как правило, имеют повышенную поверхность ветровой нагрузки. Это требует усиленной конструкции зеркала и его крепления. А в случае вращающихся антенн необходимо преодолевать вращающий момент, вызываемый силой ветра. Поэтому только в случае относительно небольших антенн зеркало изготавливают из сплошного металлического листа или пластмассы, покрытой металлом. Спроектированная антенна обладает относительно небольшими размерами и будет неподвижной, поэтому поверхность антенны выполним из полиэфирной смолы, усиленной стекловолокном, и покрытой слоем металла. Это уменьшит массу антенны. Толщина металлического покрытия на поверхности пластмассы должна составлять не менее пятикратной глубины проникновения волны в металл. Неточная установка облучателя в фокусе антенны приводит к появлению фазовых искажений в раскрыве. Чтобы фазовая ошибка из-за смещения облучателя не превышала допустимой величины Если принять максимально допустимую величину искажения фазы в раскрыве равной АФТ антенны запитывается через коаксиальный кабель входящий в широкую стенку волновода на расстоянии Список литературы1. Айзенберг Г.З., Ямпольский В.Г., Терешин О.Н. «Антенны УКВ», ч. 1 и 2. – М.; Связь, 1977. 2. Кочержевский Г.Н. «Антенно-фидерные устройства». – М.; Радио и связь, 1989. 3. Кочержевский Г.Н. «Антенно-фидерные устройства». – М.; Радио и связь, 1972. 4. Жук М.С., Молочков Ю.Б. «Проектирование антенно-фидерных устройств». – М.; Энергия, 1966. 5. Кравцова Г.В., «Методические указания по проектированию двухзеркальных антенн». – М., 1984. |
, эксцентриситет малого зеркала.
, фокус большого зеркала.
, фокус малого зеркала. 







.













. Несовпадение фазовых центров для выбранного облучателя составляет
м. Условие выполняется.
. Расстояние на котором производится запитка равно