Курсовая работа: Решетка из рупорных антенн с электрическим качанием луча в горизонтальной плоскости
|
Название: Решетка из рупорных антенн с электрическим качанием луча в горизонтальной плоскости Раздел: Рефераты по коммуникации и связи Тип: курсовая работа |
Министерство общего и профессионального образования Российской Федерации РГРТА Кафедра Радиоуправления и Связи Курсовая работа НА ТЕМУ: «РЕШЕТКА ИЗ РУПОРНЫХ АНТЕНН С ЭЛЕКТРИЧЕСКИМ КАЧАНИЕМ ЛУЧА В ГОРИЗОНТАЛЬНОЙ ПЛОСКОСТИ» Выполнил студент группы 816 Шлома Николай Владимирович Проверила Рендакова Валентина Яковлевна Рязань, 2006 г. Содержание Введение Теоретическая часть Расчет основных параметров и характеристик антенны Расчет параметров одиночного излучателя Расчет параметров решетки Заключение Список используемой литературы Введение Область применения антенных устройств и устройств сверхвысоких частот (СВЧ) чрезвычайно велика. Антенно-фидерное устройство является неотъемлемой частью любой радиотехнической системы. В диапазоне СВЧ антенны создают остронаправленное излучение с шириной луча в единицы и доли градусов и имеют коэффициент усиления, достигающий десятков и сотен тысяч. Это позволяет использовать антенну не только для излучения и приема радиоволн, но и для пеленгации (в радиолокации, навигации, радиоастрономии), борьбы с помехами, обеспечения скрытности работы радиосистемы и для других целей. В настоящее время широкое распространение получили остронаправленные сканирующие антенны СВЧ (антенные решетки). Сканирование позволяет осуществлять обзор окружающего пространства, сопровождение быстродвижущихся объектов и определение их угловых координат. Современные антенны являются сложнейшими устройствами, причем их характеристики предопределяют основные параметры разрабатываемых радиосистем. Это приводит к тому, что расчетом основных характеристик антенн и устройств СВЧ приходится заниматься не только специалистам в этих областях, но и разработчикам радиосистем. Таким образом, проектирование (разработка) современного антенно-фидерного устройства представляет собой сложный творческий процесс коллектива специалистов. Теоретическая часть Рупорные антенны являются простейшими антеннами СВЧ - диапазона. Они могут применяться как самостоятельно, так и в качестве элементов более сложных антенн. Рупорные антенны позволяет формировать диаграммы направленности (ДН) шириной от 100-140° до 10-20°. Возможность дальнейшего сужения ДН ограничивается необходимостью резкого увеличения длины рупора. Рупорные антенны являются широкополосными, они обеспечивают примерно полуторное перекрытие по диапазону. Возможность изменения рабочей частоты в еще больших пределах ограничивается возбуждением и распространением в питающем волноводе высших типов волн. Коэффициент полезного действия рупора - высокий («100 %). Включение в волноводный тракт фазирующей секции или в раскрыв поляризационной решетки обеспечивает создание поля с круговой поляризацией. Для формирования узких ДН могут быть использованы двумерные решетки из небольших рупоров. Расчет основных параметров и характеристик антенны Для удобства для всех параметров введем индекс, определяющий плоскость (Е или Н), для которой рассчитывается параметр. Пусть i = 1 для Е плоскости, i = 2 для Н плоскости. Расчет параметров одиночного излучателя Анализ задания По заданию одиночный излучатель – рупор с раскрывом Длина волны: Выбор питающего волновода Т. к. раскрыв рупора задан и имеет прямоугольную форму, то нам целесообраз-но выбрать волновод прямоугольной формы. Из условия распространения в волноводе только основного типа волны Н10,
а также из заданной мощности в антенне (Р=2кВт), из справочника выберем волновод: наименование : R140 габариты : axb = 15,8 x 7,9 [мм] Расчет длинны рупора Длину рупора характеризуют два размера: h – расстояние от раскрыва до горловины рупора, одинаковое в плоскостях Е и Н, h1 и h2 – расстояние от раскрыва рупора до точки, в которой сходятся ребра пирамидального рупора в плоскостях Е и Н соответственно.
где а1, а2 – заданные размеры раскрыва рупора. Т. к. длины рупора в плоскостях Е и Н сильно отличаются, необходимо выполнить уравнение стыковки, которое имеет следующий вид:
h2 >h1 следовательно, считаем h2 постоянным и решаем уравнение относительно h1
Найдем также углы расхождения ребер рупора.
Определение фазовых ошибок Максимальная ошибка в раскрыве
в плоскости Е и Н соответственно. В нашем случае ошибки будут равны:
Фазовые ошибки меньше допустимых. Это позволяет нам оставить выбранные размеры рупора и продолжить расчет. Расчет коэффициента отражения Так как длина рупора и его раскрыв в обеих плоскостях много больше длины волны, то коэффициентом отражения от горловины и от раскрыва рупора можно пренебречь и не учитывать в дальнейших расчетах. Ширина диаграммы направленности по уровню половинной мощности
Диаграммы направленности рупора В плоскости XZ т. е. в Е-плоскости:
В плоскости YZ т. е. в H-плоскости:
Расчет коэффициента направленного действия и коэффициента усиления Качество антенн характеризуется коэффициентом усиления антенны, равным произведению коэффициента натравленного действия (КНД) на коэффициент полезного действия (КПД) антенны. Для рупорных антенн можно считать, что мощность потерь значительно меньше мощности излучения, благодаря чему КПД антенны можно принять равным единице.
где
Анализ полученных результатов В данном разделе в соответствии с заданием мы рассчитали одиночный излучатель антенной решетки с КПД равным единице, КНД равным
При данных размерах фазовые ошибки не превысили допустимые. Данный излучатель имеет узкую характеристику направленности ( Энергия от генератора в рупор поступает через волновод R140 ( Расчет параметров решетки Анализ задания Число излучателей: Качание луча в горизонтальной (в Н) плоскости; Отклонение луча от нормали: Остальные, необходимые нам для расчета данные ( Сканирование пространства будем производить в плоскости Е т.к. в раскрыве одиночного излучателя в плоскости Е равно амплитудное распределение Расчет расстояния между излучателями Расстояние между излучателями выбирают из условия отсутствия дифракционных лепестков в диаграмме направленности решетки.
где
эти расстояния нам не подходят, т. к. они меньше размеров раскрыва рупора, поэтому примем их равными
Расчет размеров решетки
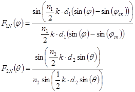
Расчет диаграммы направленности решетки Диаграмма направленности решетки записывается по следующей формуле:
где
где Рис. 5 . Диаграммы направленности: а) в плоскости Е, б) в плоскости Н 1 – ДН одиночного излучателя; 2 – множитель системы; 3 – ДН решетки Расчет КНД решетки
Анализ полученных результатов. При максимальном отклонении луча от нормали ( Питание решетки Все излучатели запитываются от одного генератора через волноводный тракт. Деление энергии происходит сначала по столбцам, а затем по строкам. На все рупоры столбца поступает синфазное напряжение т. к. качание в вертикальной плоскости не требуется. Замечания к конструкции Излучатели крепятся к рейкам (на рисунке выделено зеленым и красным) Вся антенна (кроме излучающей поверхности) для защиты от повреждений закрывается металлическим или диэлектрическим кожухом. Излучающая поверхность закрывается диэлектрическим экраном для защиты от попадания влаги и посторонних предметов в раскрыв излучателей, а также для уменьшения парусности антенны. антенна волна экран Заключение В результате проделанной работы получили антенную решетку с характеристиками, удовлетворяющими заданные. Список используемой литературы 1. Воскресенский Д.И. Антенны и устройства СВЧ. М.: Сов. радио, 1972. 2. Елумеев В.И., Касаткин А.Д., Рендакова В.Я. Устройства СВЧ и антенны: Методические указания по курсовому проектированию. Рязань: РГРТА, 1998 3. Фельдштейн А.Л. Справочник по элементам волноводной техники. М.: Сов. радио, 1967. |











