Курсовая работа: Застосування групових форм навчання у ПТНЗ
|
Название: Застосування групових форм навчання у ПТНЗ Раздел: Рефераты по педагогике Тип: курсовая работа | |||||||||||||||||||||||||||||||||||||||||||||||||||||||||||||||||||||||||||||||||||||||||||||||||||||||||||||||||||||||||||||||||||||||||||||||||||||||||||||||||||||||||||||||||||||||||||||||||||||||||||||||||||||||||||||||||||||||||||||||||||||||||||||||||||||||||||||||||||||||||||||||||||||
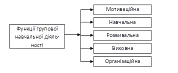
МІНІСТЕРСТВО ОСВІТИ І НАУКИ УКРАЇНИ УКРАЇНСЬКА ІНЖЕНЕРНО-ПЕДАГОГІЧНА АКАДЕМІЯ Кафедра педагогіки та методики професійного навчання КУРСОВА РОБОТА "Дидактичні основи професійної освіти" на тему: "Застосування групових форм навчання у ПТНЗ" Виконав студент Гр. ДРЕ-КС7-1Калініченко В.Ю Науковий керівник Бурбига В.А. Харків 2009 ЗМІСТ ВСТУП РОЗДІЛ 1. Групова та колективна форма організації діяльності студентів 1.1 Історія виникнення 1.2 Сутність групової форми навчання 1.3 Функції групової навчальної діяльності 1.4 Основні ознаки кооперативної групової роботи Висновок до Iрозділу РОЗДІЛ 2. Групова форма організації навчальної діяльності у ПТНЗ 2.1 Організація групової навчально-пізнавальної діяльності уПТНЗ 2.2 Групова форма організації навчальної діяльності у ПТНЗ 2.3 Розробка питань для проведення контролю 2.4 Ефективність застосування групової форми навчання уПТНЗ Висновок до IIрозділу СПИСОК ВИКОРИСТАНОЇ ЛІТЕРАТУРИ ДОДАТКИ ВСТУП Актуальність дослідження. Однією з найбільш поширених сьогодні форм навчання є його групова організація. Саме групове навчання може стати не лише важливим резервом підвищення ефективності навчання, а й сприяти активізації навчально-пізнавальної діяльності учнів, перетворенню їх із об’єктів у суб’єкти навчання, формуванню у них самостійності, здатності до самоосвіти та самовиховання. Однак його широке використання гальмується нерозробленістю достатньо чіткої теорії, що ґрунтувалася б на наукових результатах близьких до педагогіки наук.У психолого-педагогічній літературі поки що немає однозначного загальноприйнятого підходу до терміну "групове навчання". Відмінності простежуються у самому розумінні групової діяльності, у технологіях її організації, у підходах до проблеми комплектування стабільних та динамічних груп тощо. Ця проблема досліджується педагогами, психологами з різних боків.Недоліки групової форми навчання в ПТНЗ: зниження ролі вчителя, відсутність мотивації учення, неекономне витрачання часу. Аналізуючи організацію праці студентів, такі вчені як (Л.П.Аристової, М.О.Данилова, Б.П.Єсипова, І.М.Чередова) прийшли до висновку, що коефіцієнт їх роботи становить 40-60%. Тому педагоги, намагаючись оволодіти новими педагогічними прийомами, знову звернулися до групової форми навчальної діяльності, а вчені почали розробляти рекомендації щодо впровадження активних методів навчання. Найбільший інтерес до групових форм навчальної діяльності спостерігається за останніх два десятиріччя. Значний внесок у розробку загальних принципів організації групової роботи дали дослідження В.К.Дяченко, В.В.Котова, Г.О.Цукерман, О.Г.Ярошенко та ін. Обьектом дослідження,є процес навчання студентів у ПТНЗ. Предмет дослідження: педагогічні умови ефективної організації групового навчання студентів у ПТНЗ. Мета дослідження: виявити,теоретично обґрунтувати та експериментально перевірити найефективнішу форму у процесі навчання. Гіпотеза дослідження: полягає у припущенні про те, що групова форма навчання, є найефективніша за умов: належне складання навчальних груп; психологічна суміжність між членами групи; дотримання чіткої структури занять; взаємна відповідальність і звітність в групах; Відповідно до мети дослідження та висунутої гіпотези були сформульовані наступні завдання: 1.Проаналізувати сутність, форми, ознаки групової форми навчання. 2.Визначити роль групових форм організації процесу навчання в ПТНЗ. 3.Розробити питання до групової та індивідуальної форми контролю. 4.Проаналізувати групову форму організації навчання. 5.Визначити найефективнішу форму навчання. РОЗДІЛ 1. Групова та колективна форма організації діяльності студентів 1.1 Історія виникнення Докорінна зміна освітньої мети в кредитно-модульної системи організації навчального процесу (КМСОНП) переорієнтовує процес навчання у вищій школі на особистість студента. Особистісно-орієнтоване навчання передбачає організацію навчального процесу з врахуванням особливостей індивідуального розвитку студента, ставлення до нього як до свідомого відповідального суб’єкта навчально-виховної взаємодії. Навчання як процес цілеспрямованої передачі і засвоєння визначеного досвіду можна здійснювати по-різному. Сутність його визначається відповідною формою навчання. Категорія "форма навчання" належить до основних у дидактиці, однак у тлумаченні її до цього часу немає повної єдності. Так, М.М.Скаткін, І.Я.Лернер, В.К.Дяченко визначають загальні форми навчання (фронтальна, групова, індивідуальна) та конкретні (лекція, семінар, екскурсія). І.Я.Бурлака, В.О.Вихрущ пропонують поряд із загальнородовим поняттям "форма організації навчання" видові — "форма навчальної діяльності учнів". Ю.І.Мальований називає "форми навчальної діяльності учнів" як одну із складових змісту категорії "форми навчання". Систему форм навчальної діяльності на занятті становлять фронтальна, групова та індивідуальна. Вони пронизують увесь навчальний процес. Їм властиві всі компоненти процесу навчання. Ці форми відрізняються одна від одної кількістю студентів (учнів) і способом організації роботи.Питання про групові форми навчальної діяльності в психолого-педагогічній літературі посідає важливе місце, тому що вони відкривають для студентів можливості співпраці, що є суттєвим для підготовки фахівців. Групова форма навчальної діяльності виникла як альтернатива існуючим традиційним формам навчання. В їх основу покладено ідеї Ж.Ж.Руссо, Й.Г.Песталоцці, Дж.Дьюі про вільний розвиток і виховання дитини. Й.Г.Песталоцці стверджував, що вміле поєднання індивідуальної і групової навчальної діяльності допомагає успішному навчанню дітей, а їх активність і самодіяльність підвищують ефективність уроку. Різновидом групового навчання у межах навчальної системи стала белл-ланкастерська система. Ця система дістала назву за прізвищами своїх засновників — пастора — педагога А.Белла і вчителя Дж.Ланкастера. Розвиваючи ідеї Я.Коменського, автори цієї системи запропонували схему взаємного навчання. Заняття проводились у залах для 300 і більше учнів, поділених на групи по 10-15 осіб, закріплених за моніторами (старшими учнями). Монітори щоденно одержували завдання від учителя і працювали з учнями. Підручників не було. Їх заміняли великі таблиці, розвішані на стінах залу. Учитель спостерігав за роботою груп. Учні у таких закладах швидше, ніж у звичайних, оволодівали уміннями і навичками. Але їхніх знань було недостатньо для подальшого навчання. З часом белл-ланкастерська система відмерла, але окремі її рецидиви мали місце в 60-ті роки XXст.На початку XXст. виникла система індивідуалізованого навчання, так званий Дальтон-план. Назва його походить від назви американського міста Долтон штату Массачусетс. Автор цієї методики — педагог Елен Паркхест. Ця форма з’явилася як альтернатива заняттям зубрячки й опитування. Працюючи в умовах такогозакладу, учні не мали спільної роботи, їм надавалась свобода вибору змісту занять, чергування предметів, використання власного робочого часу. Увесь програмний матеріал ділився на частини — завдання. Кожна з них конкретизувалася на спеціальній картці у формі короткого письмового завдання з постановкою запитань і визначення джерел, де учні можуть знайти відповіді на поставлені запитання. Кожний учень укладав з учителем контракт про самостійне опрацювання певних завдань у визначений час. Керуючись письмовими завданнями, учні самостійно наодинці або в невеликих групах по 3-5 осіб виконували свою роботу в доступному для кожного темпі. Облік навчальної роботи вівся на картках: картці вчителя, індивідуальній обліковій картці учня і обліковій картці групи. Учні працювали в окремих предметних кабінетах-лабораторіях. Тому Дальтон-план має й іншу назву — лабораторний план. Дальтон-план породжував серед учнів нездорове суперництво, утвердження індивідуалізму, нераціональне використання часу. Окрім того, більшість учнів була неспроможна самостійно опрацювати навчальний матеріал. Тому в чистому вигляді Дальтон-план використовувався недовго, проте його елементи, окремі підходи в поєднанні з іншими формами навчання застосовуються у школах США та деяких інших країн і нині.Щоб уникнути недоліків американського Дальтон-плану і краще пристосувати його до роботи в умовах радянських закладах, у колишньому СРСР виникла ідея бригадно-лабораторної форми навчання, яка мала назву "бригадно-лабораторний метод". Слово "бригадний" підкреслювало колективність у роботі, а "лабораторний" — сумісність у виконанні навчальних завдань. Ця форма організації занять стала популярною в універсальну форму організації навчального процесу. Основною навчальною одиницеюстудентів, які навчаються, була бригада (підгрупа). Керував бригадою бригадир з числа тих самих студентів. Робота в бригадах ПТНЗ організовувалася за різними варіантами. Наприклад, всі бригади отримували різні завдання, а потім результати роботи порівнювалися. Або всі отримували однакове завдання, а одне завдання було різним для кожної підгрупи. У цьому випадку колективне обговорення відбувалося досить жваво, оскільки кожна підгрупа мала новий для себе матеріал. Потім результати порівнювалися.Незважаючи на те, що нові форми навчання знайшли підтримку в освітян, вони запроваджувалися без належної експериментальної перевірки. Їх застосування швидко виявило значні недоліки: зниження ролі вчителя, відсутність мотивації учення, неекономне витрачання часу. Ці недоліки відзначалися у постанові ЦК ВКП(б), де бригадно-лабораторний метод було засуджено. Ті раціональні зерна, які вони містили, було примусово забуто, впродовж багатьох років ніякі активні форми навчання не використовувалися і не розроблялися. Авторитарна освітня політика спричинила до того, що аж до кінця 50-х років XXст. вчені, практики неспроможні були експериментувати в цьому напрямку аби не нажити собі ідеологічних неприємностей. На Заході не групові форми навчання розвивалися.Значний внесок у розвиток теорії групової навчальної діяльності зробили французькі педагоги К.Гарсіа, С.Френч, Р.Галь, Р.Кузіне, польські вчені-педагоги В.Окунь, Р.Петриківський, Ч.Купсевич та ін. У 30-50-ті роки навчання у навчальних закладах колишнього СРСР здійснювалося на основі класно-урочної системи, яка пропонувала переважно фронтальну організацію занять. І тільки у 60-ті роки в радянській дидактиці з’явився інтерес до групової форми навчання у зв’язку з вивченням проблеми пізнавальної активності, самостійності студентів та учнів. У ці роки з’явилися праці Л.П.Аристової, М.О.Данилова, Б.П.Єсипова, І.М.Чередова та інших. Аналізуючи організацію праці студентів, вони прийшли до висновку, що коефіцієнт їх роботи становить 40-60%. Тому педагоги, намагаючись оволодіти новими педагогічними прийомами, знову звернулися до групової форми навчальної діяльності, а вчені почали розробляти рекомендації щодо впровадження активних методів навчання.Найбільший інтерес до групових форм навчальної діяльності спостерігається за останніх два десятиріччя. Значний внесок у розробку загальних принципів організації групової роботи дали дослідження В.К.Дяченко, В.В.Котова, Г.О.Цукерман, О.Г.Ярошенко та ін. Висновок: групова форма навчання бере свій початок з XXст. починаючи з різновида групової форми навчання белл-ланкастерська система, потім переходить в Дальтон-план, ще пізніше в бригадно-лабораторну форму навчання. І тільки у 60-ті роки в радянській дидактиці з’явився інтерес до групової форми навчання у зв’язку з вивченням проблеми пізнавальної активності, самостійності студентів та учнів. 1.2 Сутність групової форми навчання Групова форма навчання — форма навчальної діяльності учнів на занятті, що характеризується розбиттям учнів на групи; це така форма організації навчального процесу у школі, коли учні, працюючи у малих (2-7 осіб) групах, об'єднані спільною навчальною метою і колективно-розподіленою діяльністю, а вчитель керує роботою кожного з них опосередковано, через завдання, якими він спрямовує діяльність малих груп. Обговорюючи групову форму навчання не можна не згадати інші форми навчання,які застосовуються на уроці. Цілісну систему навчальної діяльності учнів на занятті становлять фронтальна, індивідуальна та групова діяльність. Вони пронизують увесь навчальний процес. З'ясуємо сутність і встановимо особливості групової навчальної діяльності школярів на основі порівняння її з фронтальною та індивідуальною. У фронтальному навчанні весь клас працює над одним навчальним завданням під безпосереднім керівництвом учителя. При цьому вчитель організовує весь клас на роботу в єдиному темпі, прагне більш-менш рівномірно впливати на всіх учасників загальнокласної роботи. Проте у фронтальній роботі надзвичайно складно забезпечити високу активність усіх учнів. Складність виникає через те, що в довільно сформованих лише на основі вікової ознаки шкільних класах існує істотна відмінність учнів за рівнем навчальних можливостей.Організовуючи фронтальну роботу, вчитель орієнтується, головним чином, на рівень середніх учнів. На нього розраховані темп роботи, обсяг та рівень складності навчального матеріалу. Учні з низьким рівнем навчальних можливостей за таких умов неспроможні сприйняти й осмислити матеріал у повному обсязі. Якщо ж знизити темп фронтальної роботи, то це негативно позначиться на сильних учнях. Розглядаючи фронтальну роботу, не можна не наголосити на її обмежених можливостях реалізації навчального спілкування школярів. Воно можливе лише з дозволу вчителя, за його ініціативою і в незначній мірі. В індивідуальній роботі кожен учень працює самостійно, темп його роботи визначається ступенем цілеспрямованості, розвитку інтересів, нахилів. Темп роботи залежить також від навчальних можливостей, підготовленості учнів. Індивідуальній навчальній діяльності не властива безпосередня взаємодія учнів між собою, а контакти з учителем обмежені та нетривалі. В індивідуальній навчальній роботі діяльність слабких учнів приречена на невдачу, тому в них є прогалини в знаннях, недостатня сформованість умінь і навичок навчальної самостійної роботи. Усі недоліки фронтальної та індивідуальної діяльності вдало компенсує групова. У психолого-педагогічній літературі немає єдиного підходу до визначення групової навчальної діяльності. На думку педагогів, групова навчальна діяльність — це форма організації навчання в малих групах учнів, об'єднаних загальною навчальною метою при опосередкованому керівництві вчителем і в співпраці з учнями.Учитель в груповій навчальній діяльності керує роботою кожного учня опосередковано, через завдання, які він пропонує групі та які регулюють діяльність учнів. Стосунки між учителем та учнями набувають характеру співпраці, тоді коли педагог безпосередньо втручається у роботу груп , тому у разі, якщо в учнів виникають запитання вони звертаються по допомогу до вчителя.Це їхня спільна діяльність. Відомо, що учням буває психологічно складно звертатись за поясненням до вчителя і набагато простіше — до ровесників. Як вид навчальної діяльності школярів, групова діяльність багатофункціональна. У груповій навчальній діяльності учні показують високі результати засвоєння знань, формування вмінь. Пояснюється це тим, що "в цій роботі слабкі учні виконують за обсягом будь-яких вправ на 20—30% більше, ніж у фронтальній роботі. Групова форма роботи сприяє також організації більш ритмічної діяльності кожного учня" Важливу роль групова діяльність відіграє у досягненні виховної функції навчання. У груповій навчальній діяльності формується колективізм, моральні, гуманні якості особистості. Важливу роль у формуванні цих якостей відіграють особливості організації групової роботи; розподіл функцій і обов'язків між учасниками діяльності, обмін думками, взаємна вимогливість і допомога, взаємоконтроль івзаємооцінка. Групова навчальна діяльність виконує й організаційну функцію. Полягає вона в тому, що учні вчаться розподіляти обов'язки, вчаться спілкування один з одним, розв'язують конфлікти, що виникають у спільній діяльності. В груповій роботі дитина бере на себе функції вчителя і виконує дорослі види діяльності.Висновок: групова форма навчальної діяльністі — це форма організації навчання в малих групах учнів, об'єднаних загальною навчальною метою при опосередкованому керівництві вчителем і в співпраці з учнями. 1.3 Функції групової навчальної діяльності Як вид навчальної діяльності студентів, групова (кооперативна) діяльність є багатофункціональною (рис.1.1). У груповій навчальній діяльності студенти показують високі результати засвоєння знань, формування вмінь. Пояснюється це тим, що в цій роботі слабкі студенти виконують за обсягом будь-яких вправ і завдань на 25-30% більше, ніж у фронтальній роботі. Групова робота сприяє також організації більш ритмічної діяльності кожного студента . Важливу роль групова діяльність відіграє у досягненні виховної функції навчання: формується колективізм, моральні, гуманні якості особистості. Важливу роль у формуванні цих якостей відіграють особливості організації групової роботи: розподіл функцій і обов’язків між учасниками діяльності, обмін думками, взаємна вимогливість і допомога, взаємоконтроль і взаємооцінка.
Рис.1.1. Функції групової навчальної діяльності Групова навчальна діяльність виконує й організаційну функцію. Полягає вона в тому, що студенти вчаться розподіляти обов’язки, вчаться спілкування один з одним, розв’язують конфлікти, що виникають у спільній діяльності. У груповій роботі студент бере на себе певні функції викладача і виконує їх. Загальноаудиторну роботу, яка поширена в сучасній українській вищій школі, не можна назвати колективною перш за все тому, що при аудиторній роботі студенти не мають спільної мети. Адже викладач ставить перед студентами не спільну, а однакову для всіх мету. Внаслідок цього у студентів виробляється ставлення до навчальної діяльності не як до спільної і творчої праці, а до чогось індивідуального й обов’язкового. Діяльність, спрямована на досягнення спільної мети, об’єднує, а однакової — викликає змагання, конкуренцію, що відповідає вимогам ринкової економіки та КМСОНП. Спільну мету легко відрізнити від однакової для всіх. Якщо завдання, поставлене викладачем, може виконати кожен студент самостійно, то така мета однакова для всіх. А якщо за певний, вказаний проміжок часу завдання можуть виконати всі студенти спільними зусиллями, то така мета є спільною. Одна людина досягти її не в змозі. Навчальна мета може бути спільною в тому випадку, коли в ході навчання, окрім засвоєння нових знань, умінь і навичок, група студентів навчає кожного свого члена. Це передбачає систематичну участь кожного студента в навчанні всіх. Позитивний ефект, що має співробітництво для досягнення багатьох важливих результатів, робить кооперативне навчання одним з найбільш цінних інструментів в арсеналі педагога вищої школи, який бажає успішно працювати в умовах кредитно-модульної системи організації навчального процесу. Педагоги самі себе обманюють, якщо думають, що добрих намірів і відповідних вказівок типу "співробітничайте", "працюйте разом", буде досить, щоб студенти на практичних заняттях або семінарах дійсно почали працювати спільно. Об’єднавши студентів в малі групи і поставивши їм завдання працювати разом, не можна розраховувати, що це само собою приведе до спільної діяльності. Не всі малі групи є групами співробітництва. Об’єднання цілком може закінчитися конкуренцією, причому у тісному просторі. Організувати заняття таким чином, щоб студенти дійсно працювали в режимі співробітництва, можна лише розуміючи, які компоненти супроводжують механізм співробітництва. Оволодіння ними дає можливість викладачам: · застосовувати кооперативне навчання за умов роботи за діючими навчальними програмами в межах діючих навчальних дисциплін; · перебудовувати заняття, вже побудовані на принципах кооперативного навчання, таким чином, щоб вони відповідали даній навчальній ситуації і дозволили корегувати недоліки навчальних програм; · діагностувати проблеми, що можуть виникнути у деяких студентів при кооперативному навчанні, і втрутитися, щоб збільшити ефективність навчання в групі. Суттєвими компонентами співробітництва є: позитивна взаємозалежність; особистісна взаємодія, що стимулює діяльність; індивідуальна і групова підзвітність; навички міжособистісного спілкування і спілкування в невеликих групах; обробка даних про роботу групи. Розглянемопозитивна взаємозалежність, що є найважливішим елементом при структуруванні групового (кооперативного) навчання. Її можна вважати успішно вибудованою, коли члени групи розуміють, що вони пов’язані один з одним такою мірою, що один не може бути успішним, якщо не будуть успішними усі. Отже, групові цілі і завдання варто розробляти і повідомляти студентам так, щоб вони повірили, що "потонуть", або "випливуть" тільки разом. Коли позитивна взаємозалежність вибудована міцно, для всіх стає зрозумілим, що: · зусилля кожного члена малої групи потрібні і незамінні для успіху всієї команди; · кожен член малої групи вносить свій унікальний вклад у спільні зусилля завдяки її можливостям і ролі й обов’язку при виконанні завдання. Слід очікувати, що це породить відданість і зацікавленість не тільки у власному успіху, але й в успіху інших членів групи, що і є суттю навчання у кооперації. Якщо немає позитивної взаємозалежності, немає і співробітництва. Висновок: групова форма організації діяльності має такі функції: мотиваційна, розвивальна, навчальна, організаційна та виховна. Ці функції роблять групову форму організації навчального процеса найефективнішою, тому що, присутній організаційний компонент, мотиваціонний компонент та розвиваючий компонент, без яких неможливо створити злагоджену роботу колектива. 1.4 Основні ознаки кооперативної групової роботи 1. Поділ академічної групи на малі групи (команди) для досягнення конкретного навчального результату. 2. Склад малої групи не може бути постійний протягом тривалого часу. Він змінюється залежно від змісту і характеру навчальних завдань, що необхідно виконати. 3. Кожна група розв’язує певну проблему, визначену завданням, що може бути: ·за складністю однаковим для гетерогенних (з різним рівнем пізнавальних можливостей) груп або диференційованим для гомогенних (з приблизно рівними пізнавальними можливостями); ·за змістом та навчальною метою однаковим для всіх груп (не залежно від складу групи); ·за змістом взаємодоповнюючим або послідовно пов’язаним із завданням інших груп за логікою матеріалу, що дозволяє вивчити проблему з різних боків; ·за способом (процедурою) виконання різним або однаковим. 4. Завдання в групі виконується таким способом, щоб можна було врахувати й оцінити індивідуальний внесок кожного члена групи й групи в цілому. Кількість студентів у малій групі залежить від кількості їх в академічній групі, характеру й обсягу знань, що опрацьовуються, наявності необхідного матеріалу, часу, відведеного на виконання роботи. Вона зумовлена наданням кожному студенту можливості зробити чітко визначений внесок у виконання завдання. Оптимальною вважають малу групу з 5-6 осіб, тому що за меншої кількості студентів важко різнобічно розглянути проблему, а за більшої — складно врахувати, яку саме роботу виконав кожний студент. Зі збільшенням розміру групи збільшується рівень набуття спроможності, досвіду і навичок. Проте підвищується ймовірність порушення правил поведінки, прийнятих усіма. Групи непарної і парної кількістю студентів — незгода складніше долається в групах з парною кількістю членів. Групам з непарною кількістю властива краща спроможність вибратися з глухого кута при прийнятті рішення. Група з двох осіб (пара) — це високий рівень обміну інформацією і низький рівень незгоди. Але якщо в такій групі запанують емоції, ситуація може зайти в глухий кут, бо тут відсутня третя людина для примирення. Група з трьох осіб — це найбільш стабільна групова структура випадкових змінних коаліцій, але двоє сильніших у цій групі можуть домінувати над третьою людиною. Добре, якщо це дійсно більш підготовлені студенти. Група з п’яти осіб — оптимальний розмір малої навчальної групи. Він досить великий для групової стимуляції і досить малий для особистого визначення. Співвідношення 3:2 забезпечує більшість підтримкою. Об’єднання в групи може здійснюватись викладачем або самими студентами за власним вибором. Існує декілька ефективних способів об’єднання студентів у групи: · можна заздалегідь скласти список членів малих груп і оприлюднити його на практичних (лекційних) заняттях і вивісити його на предметній кафедрі; у цьому випадку викладач контролює склад груп; · можна попросити студентів розрахуватися на "перший, другий...", об’єднати за знаками Зодіаку, порами року тощо. В окремих випадках викладач може зберегти групу, яка вже почала працювати над проблемою, на кілька занять у постійному складі. Треба тільки пам’ятати, що демократичність інтерактивного навчання, його особистісна орієнтованість потребують обов’язкового залучення учнів до організації їхньої діяльності, тобто обговорення з ними можливого складу груп, процедур групової діяльності, її очікуваних результатів і досягнення демократичної згоди між студентами і викладачем на всіх етапах навчального процесу в КМСОНП. Як свідчать дослідження О.Г.Ярошенко, групову навчальну діяльність можна застосувати на всіх етапах процесу навчання, у т.ч. і при КМСОНП. Проте на етапах первинного сприйняття нового матеріалу належний рівень цієї діяльності досягається лише за умови, що всі студенти академічної групи характеризуються високим та середнім рівнем навчальних можливостей, добре володіють навичками самостійної роботи, що має бути характерним для КМСОНП, і виявляють велику працездатність. У протилежному разі більш продуктивною виявляється фронтальна діяльність академгрупи під керівництвом викладача. Незважаючи на зазначені позитивні характеристики групової діяльності, абсолютизувати її, підміняти нею індивідуальну чи фронтальну роботу було б великою помилкою. Висвітлений порівняльний аналіз дидактичних можливостей фронтальної, індивідуальної та групової діяльності розкриває сильні й слабкі сторони кожної з них і показує, що в реальному кредитно-модульному процесі вони не можуть функціонувати ізольовано одна від одної. І стосовно цього автор поділяє думку інших вчених про необхідність їх оптимального поєднання. Таким чином, використання групових форм організації навчальної діяльності студентів в умовах кредитно-модульної системи дає змогу позбутися деяких її вад і є однією з умов використання інтерактивних технологій навчання у вищій школі України. Спільне навчання є по своїй суті складнішим, ніж конкурентне чи індивідуальне навчання, оскільки студенти повинні одночасно виконувати певне завдання і робити групову роботу. Соціальні вміння, необхідні для ефективної співпраці, не з’являються за помахом чарівної палички в той момент, коли організовуються подібні навчальні заняття. Такі соціальні здібності необхідно розвивати у студентів так само цілеспрямовано й акуратно, як і академічні навички. Професійні навички керівництва, прийняття рішень, вироблення командного стилю роботи, довіри, спілкування й залагодження конфліктів дають студентам можливість успішно справитися як із процесом групової роботи, так і з використанням академічного аудиторного завдання. Оскільки співробітництво і конфлікт нерозривно пов’язані процедури, то навички конструктивного розв’язання конфліктів особливо важливі для довгострокового успіху в умовах кооперативного навчання. Висновок: отже, групи можуть бути гомогенними (однорідними), тобто об’єднувати студентів за певними ознаками, наприклад за рівнем знань та позанавчальної інформації з предмета, або гетерогенними (різнорідними). Бажано об’єднувати в одну малу групу сильних, середніх і слабких студентів. У різнорідних групах стимулюється творче мислення й інтенсивний обмін ідеями. Висновок до I розділу У теоретичному розділі було розглянуту істрію виникнення, функції, сутність та ознаки групової форми навчання. Були з’ясовані наступні цінності групової форми навчання: -посилення цілеспрямованої діяльності педагога і студента; -розвиток активності, самостійності, творчого мислення; -формування в позитивних мотивів навчання; -оптимізація навчально-виховного процесу. РОЗДІЛ 2. Групова форма організації навчальної діяльності у ПТНЗ 2.1 Організація групової навчально-пізнавальної діяльності у ПТНЗ Групова форма навчання — форма навчальної діяльності студента на занятті, що характеризується розбиттям студентів на групи; це така форма організації навчального процесу у ПТНЗ, коли студенти, працюючи у малих (2-7 осіб) групах, об'єднані спільною навчальною метою і колективно-розподіленою діяльністю, а педагог керує роботою кожного з них опосередковано, через завдання, якими він спрямовує діяльність малих груп. Обговорюючи групову форму навчання не можна не згадати інші форми навчання, які застосовуються на занятя. Цілісну систему навчальної діяльності студентів на занятті становлять фронтальна, індивідуальна та групова діяльність. Вони пронизують увесь навчальний процес. З'ясуємо сутність і встановимо особливості групової навчальної діяльності студентів на основі порівняння її з фронтальною та індивідуальною. . У фронтальному навчанні вся група працює над одним навчальним завданням під безпосереднім керівництвом педагога. При цьому педагог організовує всю групу на роботу в єдиному темпі, прагне більш-менш рівномірно впливати на всіх учасників загальнокласної роботи.Проте у фронтальній роботі надзвичайно складно забезпечити високу активність усіх студентів. Організовуючи фронтальну роботу, педагог орієнтується, головним чином, на рівень середніх учнів. На нього розраховані темп роботи, обсяг та рівень складності навчального матеріалу. Студенти з низьким рівнем навчальних можливостей за таких умов неспроможні сприйняти й осмислити матеріал у повному обсязі. Якщо ж знизити темп фронтальної роботи, то це негативно позначиться на сильних студентах. Розглядаючи фронтальну роботу у ПТНЗ, не можна не наголосити на її обмежених можливостях реалізації навчального спілкування студента. Воно можливе лише з дозволу педагога, за його ініціативою і в незначній мірі. В індивідуальній роботі кожен студент працює самостійно, темп його роботи визначається ступенем цілеспрямованості, розвитку інтересів, нахилів. Темп роботи залежить також від навчальних можливостей, підготовленості студентів. Індивідуальній навчальній діяльності не властива безпосередня взаємодія студентам між собою, а контакти з педагогом обмежені та нетривалі. В індивідуальній навчальній роботі діяльність слабких студентів приречена на невдачу, тому в них є прогалини в знаннях, недостатня сформованість умінь і навичок навчальної самостійної роботи. Усі недоліки фронтальної та індивідуальної діяльності вдало компенсує групова. У психолого-педагогічній літературі немає єдиного підходу до визначення групової навчальної діяльності. На думку педагогів, групова навчальна діяльність — це форма організації навчання в малих групах студентів, об'єднаних загальною навчальною метою при опосередкованому керівництві педагога і в співпраці з студентами. Педагог в груповій навчальній діяльності керує роботою кожного студента опосередковано, через завдання, які він пропонує групі та які регулюють діяльність студентів. Стосунки між педагогом та студентами набувають характеру співпраці, тоді коли педагог безпосередньо втручається у роботу груп, тому у разі, якщо у студентів виникають запитання вони звертаються по допомогу до педагога. Це їхня спільна діяльність. Відомо, що студентам буває психологічно складно звертатись за поясненням до педагога і набагато простіше — до ровесників. Як вид навчальної діяльності студентів, групова діяльність багатофункціональна. У груповій навчальній діяльності студенти показують високі результати засвоєння знань, формування вмінь. Пояснюється це тим, що "в цій роботі слабкі студенти виконують за обсягом будь-яких вправ на 20—30% більше, ніж у фронтальній роботі. Групова форма роботи сприяє також організації більш ритмічної діяльності кожного студента". Важливу роль групова діяльність відіграє у досягненні виховної функції навчання. У груповій навчальній діяльності формується колективізм, моральні, гуманні якості особистості. Важливу роль у формуванні цих якостей відіграють особливості організації групової роботи; розподіл функцій і обов'язків між учасниками діяльності, обмін думками, взаємна вимогливість і допомога, взаємоконтроль і взаємооцінка. Групова навчальна діяльність виконує й організаційну функцію. Полягає вона в тому, що студенти вчаться розподіляти обов'язки, вчаться спілкування один з одним, розв'язують конфлікти, що виникають у спільній діяльності. Як свідчить дослідження О. Г. Ярошенко, групову навчальну діяльність студентів можно застосовувати на всіх етапах процесу навчання у ПТНЗ. Проте на етапах первинного сприйняття нового матеріалу належний рівень цієї діяльності досягається лише за умови, що всі студенти групи характеризуються високим та середнім рівнем навчальних можливостей, добре володіють навичками самостійної роботи і виявляють велику працездатність .У протилежному разі більш продуктивною виявляється фронтальна діяльність групи під керівництвом педагога. Для студентів найбільші можливості групової навчальної діяльності виявляються на етапах закріплення, поглиблення, систематизації знань. 2.2 Групова форма організації навчальної діяльності у ПТНЗ Абрахам Маслоу стверджував, що в людини переважають дві потреби — потреба до постійного росту й потреба бути в безпеці. Людина, яка повинна вибрати між цими двома потребами, обирає потребу бути в безпеці. Один із найважливіших способів її досягнення — це поєднатися з іншими людьми, залучитися до групи. Коли студенти навчаються разом з іншими, вони відчувають істотну емоційну та інтелектуальну підтримку, яка дає їм можливість вийти далеко за рамки їх нинішнього рівня знань і вмінь.Джером Брюннер визначив соціальний бік навчання, стверджуючи, що людина повинна відповідати за інших, діяти разом у напрямку досягнення мети, що він називає взаємодію і основою активного навчання у ПТНЗ. Концепції Маслоу та Брюннера лежать в основі розробки методів спільного кооперативного навчання, що ґрунтуються на колективних формах організації навчальної діяльності, таких популярних на Заході. Психолого-педагогічні дослідження свідчать, що групова навчальна діяльність у ПТНЗ сприяє активації й результативності навчання студентів, самостійності, умінню доводити і відстоювати свою точку зору, прислуховуватися до думки товаришів, культурі ведення діалогу, відповідальності за результати своєї праці. Групова навчальна діяльність на занятті створює певні умови для формування позитивної мотивації учіння (Х.Лійметс, К.Нор, Н.Побірченко, С.Гончаров, О.Савченко, Г.Цукерман, І.Чередов, О.Ярошенко та ін.), як вважають В.Виноградова, О.Дусавицький, В.Рєкін — це відбувається в групах, де створено певні умови доброзичливості, чуйності, оволодіння студентами формами взаємодопомоги. Як свідчать практика, під час групової роботи активізується діяльність майже всіх її виконавців. Психологи пояснюють це тим, що одна з найважливіших характеристик людини в групі полягає в тому, що вона звертається до колективу як до джерела орієнтації у навколишній діяльності. 2.3 Розробка питань для проведення контролю студент радіотехніка груповий навчання Розробляємо питання до індивідуальної форми контролю з дисципліни радіотехніка, питання заносимо в (ДОДАТОК Б). Розробляємо питання до групової форми контролю з дисципліни радіотехніка, питання заносимо в (ДОДАТОК В). 2.4 Ефективність застосування групової форми навчання у ПТНЗ У практичнії частині проводилася перевірка знань студентів у групі ДРЕ-Е7-1 (ДОДАТОК А). Мета цього контролю виявити ефективну форму навчання. Перший етап: проводилася перевірка знань студентів у індивідуальній формі (кожному студенту видається індивідувльний варіант питань) (ДОДАТОК Б). Другий етап: 20 студентів були поділені на 5 груп, у кожній по 4 студента, контроль знань проводиться у груповій формі (кожнії групі дається по два питання) (ДОДАТОК В). За результатом виконанних завдань було визначено найефективнішу форму навчання, це групова форма навчання. Тому що, на першому етапі роботи лише 40% студентів впорались добре з завданням і 60% студентів не впорались з завданням (дивись ДОДАТОК Б). На другому етапі впорались добре 80% студентів з поставленою задачею, лише 20% не впорались з завданням (дивись ДОДАТОК В). На третьому етапі було проведене ще анкетування (ДОДАТОК Г), у якому 90% студентів важають що групова форма навчання найефективніша, 10% виявили, що ця форма навчання має недоліки (ДОДАТОК Д). Що зайвий раз підкреслює ефективність групової форми навчання. Загальні результати контролю та анкетування наведені (ДОДАТОК Е). Висновок до II розділу В курсовій роботі, яка складаеться з теоретичної і практичної частин, ми розглянули історію виникнення групової форми навчання, мету, сутність, функції, роль, ознаки групової форми навчання, а в практичній частині були розробленні питання для групової (індивідуальної) форми контролю, розроблен контроль знань, який і визначив найефективнішу форму навчальної діяльності. Групова навчальна діяльність учнів - це спільна і систематична діяльність малих груп учнів, які створюються у межах групи на відносно тривалий час із дотриманням таких умов: . а)психологічної сумісності представників однієї групи, їх бажання спільно працювати над розв'язанням навчальних завдань; б)наявності у складі малих груп не менше 50% учнів, які здатні на належному рівні здійснювати навчальні дії. Головним і визначальним для групової навчальної діяльності учнів є конструктивне співробітництво, завдяки якому вони перетворюються із об'єкта викладацької діяльності вчителя в активних суб'єктів власного учіння. Практика характеризується загалом низьким рівнем використання групової діяльності. Педагоги епізодично вдаються до створення малих навчальних груп учнів, не дотримуючись при цьому визначених груповою динамікою умов формування групових суб'єктів діяльності, а саме: бажання членів однієї групи, співпрацювати разом; наявність у складі групи не менше половини членів, які здатні на належному рівні виконувати конкретну діяльність. Стосовно навчальної діяльності це означає, що не менше половини учнів у складі малої навчальноїгрупи повинні мати середній та високий рівень навчальних можливостей. . Групова навчальна діяльність студентів на занятях має значні переваги в порівнянні з іншими методами, а саме:.1) допомагає створювати на зайнятях умови для формування позитивної мотиваціїстудентів .2) дає можливість здійснювати диференціацію навчання.3) сприяє виробленню вмінь співпрацювати з іншими студентами .4) забезпечує високу активність усіх студентів .5) реалізує їх природне прагнення до спілкування, взаємодопомоги і співпраці; 6) підвищує результативність навчання та розвиток студента. Як бачимо, впровадження групової навчальної діяльності потребує деяких додаткових витрат часу, оскільки необхідно здійснити відповідне тематичне планування, розробити структуру проведення занять, скласти варіанти завдань. Практика свідчить, що в тих групах, де застосовується групова навчальна діяльність, студенти показують високі результати в навчанні. Слабкі учні збагачуються новою інформацією, мають змогу вчасно отримати додаткові пояснення з незрозумілих питань. Завдяки контролю з боку сильних студентів вони припускаються менше помилок. Середні студентів в умовах групової роботи оперативно опановують незрозумілі питання, ефективні способи розв'язування задач. Сильні учні, допомагаючи засвоювати навчальний матеріал товаришам у групі, перевіряють і закріплюють свої знання.В продовж усього курсового проекту усі задачи були виконано, а саме проаналізовано сутність, ознаки групової форми навчання, визначина роль групових форм організації в процесу навчання в ПТНЗ, та проаналізована групова форма організації навчання на конкретному прикладі у практичнії частині. СПИСОК ВИКОРИСТАНОЇ ЛІТЕРАТУРИ 1. Ярошенко О. Г. Групова навчальна діяльність учнів: Теорія і методика. - К.: Партнер, 1997. 2. Методичний порадник: форми і методи навчання / Б. О. Житник .- X.: Вид. група "Основа", 2005. 3. Нор Е. Ф. Технологія організації групової навчальної діяльності. -Миколаїв, 1998. 4. Алексюк А.М. Педагогіка вищої освіти України. Історія. Теорія: Підручник. - К.: Либідь, 1998. 5. Бордовская Г.А., візників В.А. Нові технології освіти: Питання термінології / / Педагогіка. - 1993. 6. Бурлака Я.І., Вихрущ В.О. Про форми організації навчальної діяльності учня - 1984. 7. Десев Л. Психологія малих груп. - М.: Прогрес, 1979. 8. Ємельянов Ю.Н. Активна соціально-психологічна осіта -Л., 1985. 9. Кошманова Т.С. На шляху до новітньої педагогічної освіти. - Львів, 2000. 10. Лійметс Х.Й. Групова робота на заняті. - М.: Знание, 1975. 11. Монахов В.М. Технологічні основи проектування і конструювання навчального процесу. - Волгоград, 1995. 12. Ярошенко О.Г. Групова навчальна діяльність учнів: теорія і методика. - К.: Партнер, 1997. 13. Організація навчально-виховного процесу. Вип. 11. - Київ. - 2007. - 243 с. 14.Десев Л. Психологія малих груп. -М.: Прогрес 1979. 15.Нор Е.Ф. Технологія організації груповой навчальної діяльності. - Миколаїв: НГПІ 1996. 16. Петровський А.В. Особистість, діяльність, колектив. - М.: Политиздат 1982. 17.Танцоров С.Г. Групова робота в розвиваючому навчанні. Рига: експерименту, 1997. 18.Абасов З.В. Форма навчання - групова робота. М.: Просвещение, 1998. 19.Давидов В.В. Проблеми розвивального навчання. М.: Педагогіка, 1986. 20.Дьяченко В.К. Колективна і групова форми організації освіти. М.: Амфора, 1998. 21.Курятов В.М. Як організувати навчання у малих групах. Спб.: Педагогіка, 2000. 22. Артюшина М.В. Взаємозв'язок соціально-психологічних та дидактичних умов групової навчальної діяльності студентів: 13.00.04 - теорія і методика професійної освіти: Автореф. дис. на здобуття наукового ступеня канд. пед. наук. - К.: НПУ ім. М. П. Драгоманова, 2000. 23. Дьяченко В.К. Співробітництво в навчанні: Про колективний спосіб навчальної роботи: Кн. для вчителя. - М.: Просвещение, 1991. ДОДАТОК А Список студентів групи УДРЕ-КС8-1.
ДОДАТОК Б Питання до контроля у індивідуальній формі. Варіант №1 1. Зобразити схему паралельного коливального контуру і записати формулу для резонансної частоти. 2. Що таке "резонансна частота"? Чим відрізняються "послідовний" і "паралельний" резонанси? Варіант №2 1. Зобразіть структурну схему радіоприймача прямого посилення і поясніть принцип роботи. 2. Які види модуляції Ви знаєте? Перерахуйте основні відмінні особливості різних видів модуляції. Варіант №3 1. Приведіть часову діаграму амплітудно-модульованого сигналу. 2. Приведіть схему простого амплітудного детектора. Варіант №4 1. Яку смугу частот займає один аналоговий телевізійний канал? 2. Зобразити структурну схему системи електрозв’язку та пояснити призначення блоків які складають дану схему Варіант№5 1. Яку функцію виконує приймач та які перетворення в ньому проходять? 2. Яку функцію виконує передавач та які перетворення в ньому проходять? Варіант№6 1. Що представляє собою перетворювач електричного сигналу в повідомлення ? 2. Що можна віднести до основних характеристик системи зв’язку? Варіант№7 1. Які основні показники характеризують систему зв’язку. Від чого залежать ці показники? 2. Що таке електричний сигнал? Чим відрізняються первинні і вторинні сигнали? Варіант№8 1. Які сигнали називаються періодичними? Наведіть приклади таких сигналів. 2. Записати математичний вираз гармонічного сигналу та показати часову діаграму такого сигналу. Назвіть параметри гармонічного сигналу. Варіант№9 1. Які сигнали називаються безперервними? 2. Які сигнали називаються дискретними? Варіант№10 1. Що називається спектром сигналу? Зобразити часову та спектральну діаграму гармонічного сигналу. 2. Яку функцію виконує дискретизатор? Що називається частотою та інтервалом дискретизації, як вони взаємопов’язані? Варіант№11 1. Яку функцію виконують: фільтри низьких частот (ФНЧ), фільтри високих частот (ФВЧ), смугові фільтри (СФ) в системах зв’язку? 2. Побудувати АЧХ для фільтрів : ФНЧ, ФВЧ, СФ. Варіант№12 1. Що називається імпульсною реакцією фільтра? Який вигляд має імпульсна реакція ФНЧ? 2. З якою метою використовується модуляція в системах електрозв’язку? Варіант№13 1. Дати визначення амплітудній, балансній, односмугової модуляціям. Як розрахувати спектри сигналів АМ, БМ і ОМ при заданому спектрі вхідного (модулюючого) сигналу? 2. Яку функцію виконує демодулятор в системі електрозв’язку? Варіант№14 1. Які цифрові види модуляції Ви знаєте? Наведіть приклад таких видів модуляції. 2. Які кола називаються лінійними? Що таке вузько смугове лінійне коло? Варіант№15 1. Які кола називаються нелінійними? Як описується нелінійне коло під час проходження процесі через нього? 2. Що таке апроксимація? Які способи апроксимації використовуються в радіозв’язку? Варіант№16 1. З якою метою проводять апроксимацію нелінійної характеристики? 2. З якою метою в техниці радіозв’язку використовуються автогенератори гармонічних коливань? Варіант№17 1. Які основні фактори впливають на стабільність частоти автогенератора? Як здійснюється кварцова стабілізація частоти? 2. Від чого залежить швидкість електромагнітної хвилі? Варіант№18 1. Які пристрої здійснюють детектування АМ, БМ, ОМ? Зобразити схеми таких пристроїв. 2. Яку функцію виконує амплітудний детектор? Зобразити схему амплітудного детектора. Варіант№19 1. Що таке синхронний детектор? Зобразити його схему. 2. Що таке підсилювач? Зобразити схему ППН. Варіант№20 1. Що таке фільтр? 2. Що таке транзистор? ДОДАТОК В Питання до контроля у груповій формі. 1.Розрахунок кіл методом комплексних амплітуд. Навести приклад. 2.Потужність в колах гармонічного струму. Комплексна потужність. Умова передачі максимальної активної потужності в навантаження. 3.Коливальний контур послідовного живлення. Фізичні процеси та інженерні співвідношення. 4.Контур паралельного живлення. Фізичні процеси та інженерні співвідношення. 5.Настроювання зв’язаних контурів. Фізика процесу та математичні викладки. 6.Параметри та схеми заміщення лінійних чотириполюсників. 7.Розрахунок перехідних процесів операторним методом. Теорема розкладання для простих та кратних полюсів. 8.Узгодження довгої лінії з навантаженням. 9.Еквівалентні перетворення лінійних кіл. Теорема про еквівалентний генератор. 10.Метод вузлових напруг. Запис у матрицю керованих джерел. ДОДАТОК Г Шановні студенти я пропоную вам відповісти на запитання, для виявлення ефективності групової форми навчання. Відповіді на питання: "Так" або "Ні", або напишіть свою думку з приводу питання. 1.Чи розумієте ви поняття група? Так Ні Свій варіант відповіді________________________ 2.Чи дозволяє групова форма навчання дізнатись про наявність прогалин у знаннях студентів? Так Ні Свій варіант відповіді______________________ 3.Чи дає можливість групова робота привчити студентів до раціональної організації праці? Так Ні Свій варіант відповіді________________________ 4. Чи можна за допомогою групової роботи дати оцінку усім членам групи? Так Ні Свій варіант відповіді________________________ 5.Чи краще засвоюються знання отримані у процесі групової роботи? Так Ні Свій варіант відповіді________________________ 6. Чи групова форма навчання дозволяє швидше засвоїти навчальний матеріал, чим індивідуальна форма навчання? Так Ні Свій варіант відповіді________________________ ДОДАТОК Д Таблиця результати анкетування (дивись Додаток 3)
ДОДАТОК Е Таблиця результатів анкетування та контролю
Максимальна відмітка яку можливо було отримати за 1-й етап, та 2-й етап 5. |
