Статья: Динамика рыночной экономики
|
Название: Динамика рыночной экономики Раздел: Рефераты по экономико-математическому моделированию Тип: статья |
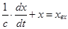
Динамика рыночной экономики Традиционный подход к динамике рыночных отношений предполагает рассмотрение приспособительных реакций экономики на внешние воздействия в "кратчайшем", "краткосрочном" или "долговременном" периодах. Весь анализ основан на графических построениях и сводится к сравнению начальных и конечных равновесных состояний. Сам процесс перехода из одного состояния в другое остается без внимания [1] . Цель данной работы – разработка математических моделей, описывающих динамику поведения макроэкономических систем. Рассмотрим экономические модели: - чистой монополии, - чистой конкуренции, - монополистической конкуренции и олигополии. Примем следующие определения и допущения: 1. Планируемый спрос – объем товаров в натуральном или денежном выражении по ценам, действующим на принятый за базовый момент времени, который потребители планировали или планируют приобрести на некоторый начальный момент времени или за любой выделенный его промежуток. 2. Потребительский спрос – спрос на товары личного потребления. Так как конечной целью любой экономики является удовлетворение личных потребностей, именно спрос на потребительские товары является первичным, определяющим размер производства. "Уровень жизни людей зависит в первую очередь от количества товаров, произведенных и направленных в руки семей и отдельных индивидов…" [2] . 3. Текущий спрос – разность между планируемым спросом и тем количеством товаров в натуральном или денежном выражении по действующим на базовый момент времени ценам, которое было реализовано на внутреннем рынке к данному моменту времени. 4. Ограниченный спрос – количество товаров в натуральном или денежном выражении, потребность в котором может быть полностью удовлетворена. "Хотя, вообще говоря, потребности людей безграничны, потребность в определенном товаре может быть удовлетворена" [3] . 5. Неограниченный спрос – спрос, который существует на постоянной основе и не может быть полностью исчерпан. 6. Расширяющийся спрос – спрос, прямо зависящий от количества реализованного к данному моменту времени товара. 7. Годовой спрос (годовой прирост спроса) − величина спроса в текущем году. Годовой спрос принимается численно равным абсолютному значению производной по времени на начало текущего года от функции, описывающей спрос, при измерении времени в годах. (Изменение функции с достаточной точностью может быть оценено по ее дифференциалу). 8. Производный (вторичный) спрос – спрос, обусловленный наличием потребительского спроса. Например, спрос на инвестиционные товары, ресурсы является производным от потребительского спроса. Производным является и спрос на услуги, такие, например, как управленческие услуги, медицинские услуги; услуги по гарантийному и текущему техническому обслуживанию, ремонту; услуги по реализации товаров и так далее. "Спрос на ресурсы является производным спросом, т. е. производным от готовых товаров …" [4] . Будучи вторичным, производный спрос не оказывает прямого влияния на размер производства. 9. Объем производства – количество товаров в натуральном или денежном выражении по ценам, действующим на момент времени, принятый за базовый, которое произведено к данному моменту времени. Это реальный физический объем производства, выраженный в натуральной или эквивалентной денежной форме по тем же ценам, что и спрос. 10. Годовой объем производства (годовой прирост продукции) − объем товаров, произведенный в текущем году. Принимается численно равным производной по времени на начало текущего года от объема производства при измерении времени в годах. Аналог данной величины – валовой национальный продукт (ВНП). 11. Рынок – структура, обеспечивающая распределение товаров. В более широком смысле рынок – экономическая система в целом. 12. Предложение – количество потребительских товаров, поставляемых на рынок. 13. Емкость рынка – планируемый спрос на товар, текущая емкость рынка – текущий спрос на товар. 14. Ограниченный рынок – рынок с ограниченным спросом, расширяющийся рынок – рынок с расширяющимся спросом, неограниченный рынок – рынок с неограниченным спросом. 15. Статичная экономика – экономика с постоянными средним годовым планируемым спросом и средним годовым объемом производства. 16. Количество товаров, спрос, объемы производства измеряются в у. е. (условных единицах). Экономическую систему, основанную на спросе и предложении, можно представить следующей структурной схемой (см. рис.1):
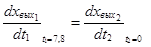
динамика монополия олигополия конкуренция Ее можно рассматривать как динамический объект с отрицательной обратной связью по предложению. Входной величиной для системы является планируемый спрос, выходной – объем производства. Рынок можно рассматривать как элемент сравнения спроса и предложения, производство - как объект регулирования. Регулирующую роль в системе играет предложение. При отклонении предложения от спроса появляется стимул для изменения размера производства, а, следовательно, и величины предложения. Аналитически динамические свойства выражаются обычно дифференциальными уравнениями, графически, наглядно, – кривыми переходных процессов, представляющих реакции объекта на типичные входные воздействия. Примером может служить временная характеристика – изменение во времени выходной величины под действием скачкообразного изменения входной. При этом виде воздействия входная величина мгновенно изменяется на конечную величину, в дальнейшем оставаясь постоянной. Часто оказывается удобным другой способ выражения динамических свойств – передаточная функция, представляющая собой динамический коэффициент передачи объекта. Динамические характеристики системы в целом складываются из динамических характеристик структурных единиц – элементов. Рассмотрим динамические характеристики элемента "Производство" для различных моделей экономики. Динамика товарного производства. Чисто монопольный рынок ограниченного объема Обозначим количество товара через "х ". Примем, что единственный производитель поставляет на рынок, емкость которого хвх = const ограничена, пригодный к неограниченно долгому использованию товар. Если товара на рынке мало, т. е. он дефицитен, то любое количество раскупается сразу, скорость реализации велика, так как велико число покупателей. По мере насыщения рынка число покупателей сокращается, и скорость реализации падает. Наконец, если рынок насыщен товаром, скорость реализации становится равной нулю. "Чем большее количество продукта приобретают потребители, тем меньше их стремление к получению дополнительных единиц этого же продукта" [5] . Логично принять, опираясь на приведенные выше рассуждения, что скорость реализации пропорциональна текущему спросу, то есть разнице между планируемым спросом (емкостью рынка)"х вх " и количеством реализованного к данному моменту товара"x ". Тогда скорость реализации составит V p = c × ( x вх – x ) …………….……….….. (1), где "х "- количество реализованного к данному моменту времени "t " товара, у.е., хвх –планируемый спрос, у. е., с – коэффициент пропорциональности, имеющий размерность времени. Единственный производитель способен полностью контролировать рынок. Ему выгодно, чтобы минимизировать издержки и получить максимальный общий доход и прибыль, поддерживать постоянной цену товара, а скорость производства, равной скорости реализации, то есть "работать с колес". Выберем произвольный момент времени "t " и рассмотрим баланс товара на рынке за бесконечно малый промежуток времени "dt ". За этот промежуток времени будет произведено количество товара, равное "dx ", а реализовано количество товара, равное"c × ( x вх – x )∙dt ". Из условия, что произведенный товар будет немедленно реализован, следует, что эти количества должны быть равны: dx = c × ( x вх – x )∙dt …………………..... (1.1). Разделив обе части на "dt ", получим: dx/ dt = c × ( x вх – x ) …………………..... (1.2). Тот же результат можно получить, если приравнять скорости производства и реализации товара. Скорость производства товара равна приращению массы товара на рынке в единицу времени, т. е. V п = dx/ dt …………………..…….… (1.3), Приравнивая (1) и (1.3), получим дифференциальное уравнение, описывающее динамику производства: dx/ dt = c × ( x вх – x ) ……………..(1.2),
Решением уравнения (1.5) при нулевых начальных условиях (x = 0 при t = 0) и хвх = соnst (хвх = 0 при t<0, хвх ≠0 при t≥0) будет:
где х – объем производства − выходная величина объекта, у.е., хвх – планируемый спрос − входная величина для объекта, у.е., T 1 =1/c – постоянная времени объекта. Чисто монопольный, расширяющийся рынок Реальный товар имеет ограниченный срок использования, например, вследствие морального или физического износа, т. е. безвозвратно расходуется в процессе потребления. Для замены использованного товара требуется производить дополнительное количество нового товара, причем это дополнительное количество пропорционально уже выпущенному количеству, т. е. по мере роста выпуска происходит расширение планируемого спроса "х вх " на величину "l×х ", где "х " - масса уже выпущенного товара, а l<1 – коэффициент расширения спроса. Спрос "х вх "может быть функцией времени. Итак, текущий спрос составит [(x вх + l×х ) – x )] …………………...… (2), скорость реализации V p = c × [(x вх + l×х ) – x )] ……………... (2.1), скорость производства V п = dx/ dt ……….……………….…(2.2). Приравнивая (2.1) и (2.2), получим следующее дифференциальное уравнение: dx/ dt = c × [(x вх + l×х ) – x )] ………… (2.3) или
где Т
1
= К
= Структурным мультипликатор назван потому, что он относится к конкретной структурной единице – производственному сектору и характеризует его производственные возможности. Можно принять Структурный мультипликатор − аналог мультипликатора дохода, обычно определяемого как "отношение изменения ЧНП к соответствующему изменению первоначальных расходов" [6] , а коэффициент расширения спроса "λ" не что иное, как аналог "предельной склонности к потреблению"[7] . Решение уравнения (2.4) при нулевых начальных условиях (x t =0 = 0) и при х вх = const будет иметь вид:
На рис. 2 приведена временная характеристика модели с постоянной времени Т 1 = 2 года (с =1 год−1 ; l= 0,5) и коэффициентом передачи К = 2, представляющая собой зависимость объема производства от времени при входном скачкообразном воздействии (изменении спроса) х вх = 1 у.е.. По временной характеристике можно судить о динамических свойствах объекта. В данном случае по принятой классификации объект– апериодическое звено первого порядка [8] .
Чисто конкурентный, расширяющийся рынок Для чистой конкуренции характерно следующее [9] : - отраслевое производство увеличивается или сокращается только за счет изменения числа предприятий, причем отрасль может расширяться или сужаться без существенного влияния на цены и затраты ресурсов; - отдельный производитель не в состоянии повлиять ни на цену товара, ни на общий объем производства; - производители могут, как легко входить в рынок, так и легко покидать его; - увеличение спроса не влияет на уровень цен, так как отраслевое предложение представляет собой горизонтальную линию. Естественно поставить скорость образования новых предприятий в зависимость от спроса. В начальный момент, когда число предприятий незначительно, а спрос велик, скорость образования новых предприятий будет велика. При текущем спросе, равном нулю, новые предприятия возникать не будут. Допустим, что скорость образования новых предприятий пропорциональна текущему спросу, т. е.
где "N " – число предприятий. В условиях чистой конкуренции экономические показатели отдельных предприятий неизбежно выравниваются, то есть v1 = v2 =… vj = …=vN = c 2 ………...(3.1), где "vj " - скорость производства отдельного предприятия (типичной фирмы). Суммарная скорость производства (отраслевая скорость) пропорциональна числу производителей:
Откуда
Подставив (3.3) в (3) и произведя преобразования, получим (с=с1 ∙с2 ):
или
где х вх – планируемый спрос (входная величина),
К
= Решением уравнения (3.5) при нулевых начальных условиях (t
= 0, x
t
=
0
= 0, является выражение:
где
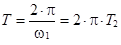
Здесь w1 - круговая частота цикла, А 1 – амплитуда цикла. Период цикла связан с круговой частотой соотношением
На рис. 3 показана реакция модели с параметрами Т 2 =2 года (с = 0,5 год−2 ; l= 0,5) и К = 2 на входное воздействие (скачкообразное изменение спроса) хвх = 1 у. е., а именно: зависимость объема производства от времени. Данная структурная модель представляет собой чисто колебательное звено.
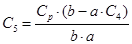
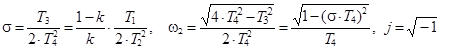
Расширяющийся рынок с монопольной конкуренцией Уравнение процесса для данного случая можно получить, поставив в соответствие реальному рынку составной рынок, состоящий из двух частей: чисто конкурентной и чисто монопольной, суммарный объем производства и суммарный спрос которых равны соответственно объему производства и спросу на реальном рынке. Такое рассмотрение позволяет ввести непрерывную величину − показатель конкуренции "k ", как долю объема производства и спроса, приходящуюся на конкурентную часть составного рынка, и связать ее с числом производителей на рынке. Каждую часть рынка можно, воспользовавшись выведенными выше уравнениями для чистой монополии и чистой конкуренции, описать собственным уравнением, исходя из доли приходящегося на нее объема производства и спроса. Объем производства конкурентной части рынка и приходящийся на нее спрос составят соответственно"k ×x " и "k ×x вх ", где k –показатель конкуренции (0<k <1), "х " – текущий объем производства реального рынка, "х вх "- спрос на реальном рынке. Тогда чисто конкурентную часть рынка можно описать уравнением:
Чисто монопольная часть рынка в свою очередь будет описываться уравнением:
При суммировании этих двух уравнений получим рынок с объемом производства и спроса, равным таким же величинам реального рынка, и уравнение, описывающее расширяющийся рынок с монопольной конкуренцией:
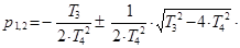
где
Решение уравнения (4.3) при Т
3
< 2∙Т
4
с учетом начальных условийt
= 0, x
= 0,
где
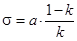
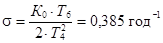
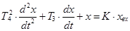
Здесь σ – коэффициент затухания цикла, ω2 – круговая частота цикла, β – фаза цикла, А 2 – амплитуда цикла. На рис. 4 показана временная характеристика, то есть зависимость объема производства от времени, для модели с параметрами Т 2 =2 года, Т 1 = 2 года, К = 2, k = 0,5 при входном воздействии (скачкообразном изменении спроса) хвх = 1 у. е. Такая временная характеристика характерна для колебательного звена с затуханием. Уравнение (4.2) можно считать обобщенной динамической характеристикой элемента "Производство" для всех моделей экономики. Все рассмотренные случаи могут быть получены из него при значениях коэффициента конкуренции "k " в диапазоне от нуля до единицы. Записанное в операторной форме уравнение (4.2) будет иметь вид:
а передаточная функция элемента (сектора) "Производство" может быть представлена следующим выражением [10] :
где хвх – значение сигнала на входе элемента (х вх 1 на рис.1), х – значение сигнала на выходе элемента (х вых 1 на рис.1), Т 2 – параметр, характеризующий динамику элемента при чистой конкуренции (динамику конкурентной части); Т 1 − параметр, характеризующий динамику элемента при чистой монополии (динамику монопольной части); р - оператор дифференцирования. Статической характеристикой элемента является линейная зависимость: х = К ∙хвх ……………………….. (5). Статическая характеристика – зависимость выходной величины от входной в равновесных состояниях объекта. Состояние объекта, при котором возмущения отсутствуют, а входная и выходная величины сохраняют постоянные значения, называется равновесным. Статическая характеристика позволяет определить величину выходного сигнала в зависимости от заданной величины входного при переходе объекта из одного равновесного состояния в другое [11] . Если объект, будучи выведен из состояния равновесия действием возмущения, после устранения последнего стремится снова вернуться в состояние равновесия, то он является устойчивым. Если же выходная величина с течением времени все дальше удаляется от заданного значения или непрерывно колеблется вокруг него – объект неустойчив [12] . Известно, что уровень конкуренции есть функция числа производителей k = f (N ) [13] , где "N ", очевидно, равно числу производителей, когда система находится в состоянии равновесия. Эту зависимость, учитывая, что для чистой конкуренции k = 1, а для чистой монополии k = 0, можно аппроксимировать выражением:
При большом "N " (N →∞), что отвечает случаю чистой конкуренции, показатель конкуренции "k ", вычисленный по предложенной зависимости (5.1), практически не отличается от единицы, а при N = 1, что отвечает случаю чистой монополии, равен нулю. На практике "N " можно принимать равным среднему числу производителей за достаточно большой промежуток времени или среднему числу за экономический цикл. Обратная зависимость будет иметь вид:
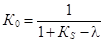
Динамика экономической системы Примем, что запаздывания (временные лаги) в экономической системе (см. рис.1), связанные с принятием решений об увеличении или сокращении объемов производства, с подготовкой производства при изменении спроса, с задержками на линии реализации продукции, отсутствуют или незначительны, и что передаточную функцию структурного элемента «Предложение» можно представить в виде: W
2
(p
) = где К S –коэффициент передачи цепи обратной связи (К S ≤1). Тогда передаточная функция системы в целом будет иметь вид [14] :
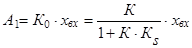
причем
и, следовательно, система в целом будет описываться следующим дифференциальным уравнением:
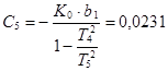
где К 0 – системный мультипликатор спроса (статический коэффициент передачи системы), Т 3 – имеющий размерность времени параметр, характеризующий динамику системы при чистой конкуренции (динамику конкурентной части), Т 4 − имеющий размерность времени параметр, характеризующий динамику системы при чистой монополии (динамику монопольной части), хвх – размер планируемого спроса, хвых – размер производства. Приравнивая знаменатель передаточной функции (6.1) нулю, получим характеристическое уравнение системы:
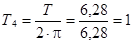
Если корни этого уравнения Обозначим:
Тогда Полагая Т 1 /(2×Т 2 2 ) = а = соnst (Т 1 и Т 2 по определению не зависят от "k "), получим уравнение, связывающее коэффициент затухания с показателем конкурентности рынка:
Здесь коэффициент "а " можно рассматривать как параметр цикличности, так как от него зависит скорость затухания колебаний. Современное производство включает два сектора: потребительский и средств производства. Для обеспечения выпуска потребительских товаров, общество вынуждено производить соответствующее количество орудий труда. С экономической точки зрения коэффициент передачи цепи обратной связи "К S " представляет собой коэффициент распределения дохода между этими двумя секторами. "То, что затрачено потребителем на приобретение продукта, получено в виде дохода теми, кто участвовал в его производстве" [15] . Рассмотрим реакцию моделей на скачкообразное изменение спроса. Напомним, что реакция на скачкообразное изменение входного сигнала − одна из характеристик, по которой можно наглядно судить о динамических свойствах системы. Для случая чистой конкуренции (k = 1) будем иметь:
При нулевых начальных условиях (x вых t = 0 = 0, dx вых /dt t = 0 ,= 0), полагая x вх = const (x вх = 0 при t <0,x вх ≠ 0 при t ³ 0), получим следующее решение уравнения (7.2):
где
Период цикла связан с круговой частотой соотношением
Из (7.3) следует, что в случае чистой конкуренции временная характеристика системы представляет собой незатухающие гармонические колебания (циклы) около средней линии−состояния равновесия хвых =К 0 × хвх [16] , причем с увеличением структурного мультипликатора частота колебаний растет. Амплитуда цикла пропорциональна интенсивности возмущения. Эти незатухающие колебания объема совокупного продукта – присущая системе естественная цикличность. "Термин экономический цикл означает следующие один за другим подъемы и спады уровней экономической активности. Отдельные экономические циклы существенно отличаются друг от друга по продолжительности и интенсивности [17] ". Последнее, вероятно, объясняется возникновением биений при наложении многочисленных в реальных условиях внешних возмущений на естественную цикличность. Следует отметить, что в состоянии равновесия колебания отсутствуют. В то же время любое внешнее воздействие приводит к появлению незатухающих колебаний. Такая система не считается устойчивой [18] . Напомним, что устойчивой считается система, стремящаяся после устранения возмущения вернуться в состояние равновесия. "Неустойчивость рыночной экономики, сказывающаяся на объеме совокупного продукта, занятости и уровне цен, представляет собой вечную проблему" [19] . Для полностью монополизированной экономики (k = 0) при начальных условиях t = 0, x вых t = 0 = 0 и при x вх = const имеем:
Полностью монополизированная экономика устойчива, собственная (внутренняя) цикличность отсутствует, скорость выравнивания при возмущениях растет с увеличением структурного мультипликатора: ускоряется переходной процесс. В равновесных состояниях Для случая монополистической конкуренции (0<k<1) при скачкообразном изменении спроса следует ожидать сохранения цикличности, но с постепенным затуханием амплитуды колебаний за счет появления апериодической составляющей. При начальных условиях t = 0, x вых t =0 = 0, dx вых /dt t = 0 и x вх = const решение уравнения (6.4) можно записать в виде:
где В равновесных состояниях Модель устойчива: временная характеристика – затухающие гармонические колебания (7.10) [21] . При увеличении степени монополизации время стабилизации системы при действии возмущений и цикличность, если под этим подразумевать число циклов до возвращения системы в состояние равновесия, уменьшаются. Удобнее другая форма уравнений (6.4), (7.2), (7.8), полученная их дифференцированием: для монополистической конкуренции
для чистой конкуренции
для чистой монополии
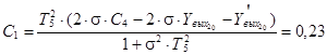
Здесь в качестве переменных фигурируют годовые показатели: Y вх – годовой планируемый спрос, Y вых – годовой объем производства. Системный мультипликатор "К 0 "отражает фундаментальную для экономики связь между планируемым спросом и размером производства. Для равновесных состояний всех моделей имеем х вых =К 0 ∙х вх , в том числе для годовых значений объема производства и планируемого спроса – Y вых =К 0 ∙Y вх . Эти соотношения верны и для средних значений соответствующих величин. В частности, средними являются значения, полученные исключением из решений циклической составляющей. Учитывая, что при равновесии
получим: Y вх ср = (1 – λ)∙Y вых ср + К S ∙Y вых ср …….….…..(9), где Y вх ср – равновесный (или средний) годовой планируемый спрос, Y вых ср – равновесный (или средний) годовой объем производства. Первый член Y Аср = (1– λ)∙Y вых ср выражения (9) может быть отождествлен со средними годовыми затратами, необходимыми для полного восстановления израсходованных средств производства (амортизация), второй Y P ср = К S ∙Y вых ср – со средними годовыми поставками потребительских товаров на рынок (предложением). В то же время Y вых ср = К S ∙Y вых ср + (1 − К S )∙Y вых ср ……....(9.1). Здесь выражение Y Вср = (1 − К S )∙Y вых ср представляет собой фактические годовые затраты на инвестиционные товары, т. е. валовые инвестиции. Для статичной экономики годовой текущий спрос Y ср = Y вх ср – (1 – λ)∙Y вых ср равен годовым поставкам на рынок Y Рср = К S ∙Y вых ср , так как из (9) следует Y вх ср – (1 – λ)∙Y вых ср = К S ∙Y вых ср ….…….…(9.2), Чтобы иметь возможность применять полученные уравнения к открытой экономике, введем в рассмотрение коэффициенты (доли) соответственно К M импорта и К X экспорта как части собственного выпуска продукции, т. е. К M = Y M / Y вых ,К X = Y X / Y вых ….……(10), где Y M – величина импорта, Y Х – величина экспорта. Коэффициент распределения дохода для этого случая определим следующим образом: К S ,о = К S + К M – К X ……….…… (10.1), где К S –коэффициент распределения без учета импорта и экспорта. Системный мультипликатор спроса для открытой экономики будет равен:
собственные годовые поставки на рынок составят Y Р = К S ,о ∙Y вых …………….…(10.3), валовые инвестиции Y В = (1– К S ,о )∙Y вых ………....(10.4), амортизация, т. е. затраты на полное восстановление израсходованных средств производства, Y А = (1– λ)∙Y вых …………….(10.5), чистые инвестиции I = (Y В − Y А ) = (λ –К S, о )∙Y вых ….….(10.6). Собственный годовой выпуск продукции составит:
Эти соотношения будут действительны и для закрытой экономики при условии замены К S ,о на К S . Введем в рассмотрение еще один экономический показатель−общее потребление, и определим его следующим образом: Q = Y Р + Y В + Y M − Y Х = (1+К M −К X )∙Y вых ….. (10.8). Целесообразность введения этого показателя станет ясной из дальнейшего изложения. Покажем, что существует связь между системным мультипликатором спроса и чистыми инвестициями как долей дохода. Выражение для системного мультипликатора можно переписать следующим образом:
где dА = (1 − λ) − норма амортизации, dВ = (1 − K S ) – доля валовых инвестиций, dI = (dВ − dА ) − доля чистых инвестиций. Будем считать сбалансированной экономику, в которой средний годовой планируемый спрос Y вх ср в точности равен среднему годовому производству продукцииY вых ср , то есть расходы равны доходам. Сбалансированная экономика – это экономика полной занятости и полного объема производства [22] . В несбалансированной экономике разница между спросом Y вх ср и выпускомY вых ср приводит к инфляции [23] . Если принять, что рост цен пропорционален относительной разности между средним планируемым спросом и средним выпуском, то для скорости роста цен можно предложить следующее уравнение:
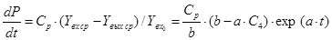
где Р – индекс цен,
t − время, год, С р – масштабный фактор, характеризующий скорость изменения цен, (%/ год). Значения "С р" определяются темпами изменения денежной массы и номинального дохода [24] . В общем случае "С р " может быть функцией времени. В статичной экономике отношение
При равномерном росте денежной массы (ежегодном увеличении на постоянную величину) С
р = соnst, Подставляя эти значения в (11) и интегрируя при условии Р =100 при t = 0 (индекс начального значения = 100), получим для статичной экономики:
Полагая С р = с р ∙(1+р1 )t / τ = с р ∙ехр ( m ∙ t ), что соответствует постоянному годовому (τ =1год) темпу "р1 " роста денежной массы, получим при условии Р t = 0 =100
гдеm =[ln (1+р1 )/τ],
Следует отметить, что при С р = 0, то есть тогда, когда уровень цен неизменен, индекс цен – постоянная величина (Р = соnst), инфляционные процессы отсутствуют. То же всегда имеет место, когда экономика сбалансирована (годовые спрос Y вх ср и выпуск продукции Y вых ср равны). Темп инфляции, то есть рост цен по отношению к предыдущему году, составит:
где Р (t ) [или Р (t +1)] – индекс цен в текущем году, Р (t –1) [или Р (t )] – индекс цен в предыдущем году. Общепризнано, что отставание производства от потенциально возможного уровня при полной занятости вызывается наличием безработицы [25] . Если согласиться с тем, что безработица обусловлена отклонением производства от уровня при полной занятости, для определения уровня безработицы можно предложить следующее выражение:
где U – безработица, отсчитываемая от уровня естественной безработицы при полной занятости, %;
Y вх ср – среднее значение планируемого годового спроса; Y вых ср – среднее значение годового объема выпуска. Для равновесных состояний экономики Y вых ср = К 0 ∙Y вх ср , откуда
Обратная зависимость будет иметь вид: К 0 = 1 - α×U /100 = 1 - 2,5×U /100 ……..…….(11.6). Примеры использования уравнений для анализа типичных экономических ситуаций [27] Если согласиться с мнением, что макроэкономика совершенно конкурентна, за основу при анализе макроэкономических ситуаций следует принять модель чистой конкуренции. "С монетаристской точки зрения рынки обладают высокой степенью конурентности" [28] . Такая точка зрения может быть принята, если рассматривать конкуренцию в том числе и как межотраслевую борьбу за потребителя. Смысл выведенных уравнений станет вполне ясным, если рассмотреть гипотетическую экономику, в которой потребляется единственная продукция, и эта же продукция служит расчетным средством. Рассмотрим равновесные состояния статичной экономики при различных значениях экономических показателей. Напомним, что равновесными считаются состояния, когда отсутствуют возмущения. Связь между выходом и входом при равновесных состояниях описывается зависимостями х вых = К 0 ∙х вх , в том числе для равновесных годовых показателей Y вых = К 0 ∙Y вх . Пусть годовой планируемый спрос постоянен и составляет Y вх ср =1000 единиц товара. Примем λ = К S = 0,75. Тогда для статичной экономики К =1/(1−λ) = 4 и К 0 = 1/(1+ К S −λ) = 1. При таких условиях средний годовой выпуск будет в точности равен планируемому спросу, т. е. Y вых ср = К 0 ∙Y вх ср = 1000 единицам. Экономика будет сбалансированной. Плата за использованные в потребительском секторе производства инвестиционные товары составит в принятых расчетных средствах Y B ср = (1 – К S )∙Y вых ср = (1 – 0,75)∙1000 = 250 единиц продукции (валовые инвестиции). На это будет израсходована соответствующая доля из 1000 единиц произведенной продукции. Оставшаяся часть, равная Y P ср =К S ∙Y вых ср = 0,75∙1000 = 750 единицам, будет поставлена на рынок. Требуемые для полного восстановления израсходованных средств производства затраты составят Y A ср = (1 – λ)∙Y вых ср = (1 – 0,75)∙1000 = 250 единиц продукции, то есть будут в точности равны валовым инвестициям. Общее потребление составит Q = Y P ср +Y B ср =750+250 = 1000 единиц продукции и будет равно годовым выпуску и спросу. Чистые инвестиции I = (Y B ср − Y A ср ) = (λ – К S )Y вых ср будут равны нулю. При замене товара на деньги отношения сохранятся. Так из каждых 1000 руб., произведенных в потребительском секторе, 250 руб. будут израсходованы на оплату инвестиционных товаров, а 750 руб. распределены через рынок. Пусть, как в предыдущем примере, годовой планируемый спрос постоянен и составляет Y вх ср =1000 единиц товара, λ = 0,75, но теперь К S = 1. Тогда для статичной экономики средний годовой выпуск составит Y вых ср = 800 единиц продукции (К 0 =0,8), то есть сократится на 200 единиц, а плата за инвестиционные товары (валовые инвестиции) Y B ср = (1 – К S )∙Y вых ср окажется равной нулю при требуемых расходах на амортизацию Y A ср = (1 – λ)∙Y вых ср = (1 – 0,75)∙800 = 200 единиц. Поставки на рынок составят Y P ср =К S ∙Y вых ср = 1∙800 = 800 единиц. Чистые инвестиции будут отрицательны I = (λ − К S )∙Y вых ср = (0,75 –1)∙800 = – 200 единиц. Общее потребление уменьшится, составит Q = Y P ср +Y B ср =800 + 0 = 800 единиц вместо прежних 1000 и не будет равно спросу. Хотя отклонение от сбалансированного состояния и обеспечит рост количества товаров, реализуемых на внутреннем рынке (800 единиц вместо прежних 750), но достигнуто это будет ценой отвлечения ресурсов в размере 200 единиц из сектора средств производства и уменьшения общего потребления. Из рассмотренных примеров следует, что наибольшее общее потребление обеспечивает лишь сбалансированная экономика. Посмотрим, как повлияет на экономические показатели импорт товаров. Пусть, как и в исходном случае, Y вх ср =1000 единицам, λ = К S = 0,75, но теперь доля импорта составляет К М = 0,25 и К S ,о = К S +К М = 0,75+0,25 = 1. Выпуск продукции уменьшится и составит Y вых ср = 800 единиц (К 0,о = 0,8), импорт составит Y M = К М ∙Y вых ср = 0,25∙800 = 200 единиц, поставки на рынок –Y P ср = К S ,о Y вых ср = 800 единиц, требуемые на полное восстановление инвестиции –Y A ср =(1– λ)∙Y вых ср = (1– 0,75)∙800 = 200 единиц. Валовые инвестиции будут равны Y Вср = (1 – К S ,о )∙ Y вых ср = 0. Общее потребление не изменится и с учетом импорта будет равно Q = Y P ср + Y M = Y вых ср + К М ∙Y вых ср = 800+200 = 1000 единицам. Чистые инвестиции составят I = (λ − К S ,о )∙Y вых ср = (0,75–1)∙800= – 200 единиц. На такую сумму надо будет, например, продать на внешнем рынке собственных средств производства, чтобы окупить импорт в 200 единиц. Влияние экспорта на экономические показатели рассмотрим при Y вх ср =1000 единиц, λ = 0,8, К S = λ, доле экспорта К Х = 0,2 и коэффициенте распределения К S ,о = К S –К Х = 0,8–0,2= 0,6. При λ = К S = 0,8 средние выпуск и общее потребление в сбалансированной закрытой экономике будут равны 1000 единицам. Экспорт увеличит выпуск продукции до Y вых ср = 1250 единиц (К 0,о =1,25). Сам экспорт составит Y Х = К Х ∙Y вых ср = 0,2∙1250 = 250 единиц. Требуемые на полное восстановление инвестиции составят Y A ср = (1 – λ)∙Y вых ср = (1 – 0,8)∙1250 = 250 единиц, поставки на рынок – Y Рср = К S ,о ∙Y вых ср = =0,6∙1250 = 750 единиц, валовые инвестиции – Y Вср = (1 – К S ,о )∙Y вых ср = (1 – 0,6)∙1250 = 500 единиц, чистые инвестиции – I = (λ − К S ,о )∙Y вых ср = (0,8–0,6)∙1250 = 250 единиц. Общее потребление не изменится и будет равно Q = Y вых ср – К Х ∙Y вых ср = 1250 – 250 = 1000 единицам. Появится дефицит рабочей силы (отрицательная безработица) U = 40∙(1− 1,25) = −10%. На рис. 5− 5.2 представлены динамические характеристики несбалансированной статичной экономики (статичной экономики с инфляцией и безработицей), полученные путем решения уравнения (7.2) при следующих условиях: - начальный (t = 0) планируемый спрос х 01 =1 (у.е.), - планируемый годовой спрос (в том числе средний) Y вх = Y вхср = b = 1 (у.е./год), - планируемый спрос х вх = х 01 + b∙ t = 1+t (у.е.), - начальный планируемый годовой спрос(в том числе средний) Y вх0 =Y вхср0 = b = 1 (у.е./год), - период естественной цикличности T = 6,28 года, - коэффициент распределения дохода К S =0,75, - коэффициент расширения спроса λ =0,5, - начальный объем выпуска (при t = 0) х вых0 = 0,8 (у.е.), - начальный годовой выпуск (при t
= 0) - масштабный факторС р =100 %/ год. Решения имеют следующий вид: - объем выпуска
где
- - годовой выпуск - - средний годовой выпуск, полученный путем исключения циклической составляющей,
- годовой объем поставок на рынок (предложение)
- средний годовой объем поставок на рынок (среднее предложение)
- текущий годовой (рыночный) спрос
- средний объем годового текущего (рыночного) спроса
- индекс цен (индекс начального значения =100)
Где
- темп инфляции
(при t →∞, ∆Р → 0%); - уровень безработицы
- затраты на инвестиционные товары (валовые инвестиции) Y Вср = (1 – K S )∙Y вых ср = (1– 0,75)∙0,8 = 0,2 (у.е./год); - требуемые затраты на полное восстановление израсходованных средств производства (амортизация) Y Аср =(1– λ)∙Y вых ср =(1– 0,5)∙0,8 = 0,4 (у.е./год); общее потребление Q=Y Рср +Y Вср =0,6+0,2=0,8 (у.е./год); - чистые инвестиции I = (λ −К S )∙Y вых ср = (0,5 – 0,75)∙0,8= – 0,2 (у.е./год).
Рис. 5
Рис. 5.1
Рис. 5.2 Покажем, что такой же, как в предыдущем примере, результат в части размера годового выпуска, может быть получен путем решения уравнения (8.1):
Действительно, решая (8.1) при условии постоянного годового спроса, найдем:
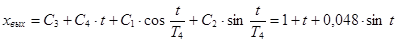
где С 3 = К 0 ∙Y вх0 ,С 2 = Y ' вых 0 ∙T 4 ,С 1 =Y вых0 − С3 . При тех же исходных данных, как в предыдущем примере, и с начальными условиями С 3 = 0,8∙1= 0,8 (у.е./год), С 2 = Y ' вых 0 ∙T 4 ,= 0∙1= 0, С 1 =Y вых0 − С3 =1− 0,8= 0,2 у.е./год,
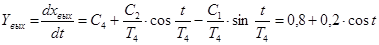
На рис. 6 представлены характеристики сбалансированной статичной экономики, полученные путем решения уравнения (7.2) при следующих условиях: - начальный планируемый спрос (t = 0) х 01 =1 (у.е.), - планируемый годовой спрос Y вх=b = 1 (у.е./год), - планируемый спрос х вх = х 01 + b∙ t = 1+t (у.е.), - период естественной цикличности T = 6,28 года, - коэффициент распределения дохода К S = 0,75, - коэффициент расширения спроса λ = 0,75, - объем выпуска при t = 0 х вых0 = 1 (у.е.), - годовой выпуск при t
= 0 - масштабный факторС р =100 (%/год). Решения имеют следующий вид: - объем выпуска
где
- годовой выпуск
- средний годовой выпуск
- годовой объем поставок на рынок (предложение)
- средний годовой объем поставок на рынок
- текущий годовой (рыночный) спрос
- средний объем годового текущего (рыночного) спроса
- затраты на инвестиционные товары (валовые инвестиции) Y B ср =(1 – K S )∙Y вых ср = (1 – 0,75)∙1= 0,25 (у.е./год); - требуемые затраты на полное восстановление израсходованных средств производства Y Аср =(1– λ)∙Y вых ср = (1– 0,75)∙1 = 0,25 (у.е./год); - общее потребление Q=Y Рср +Y Вср = 0,75 + 0,25 = 1 (у.е./год); - чистые инвестиции I = (λ −К S )∙Y вых ср = (0,75 – 0,75)∙1 = 0 (у.е./год); - индекс цен
- инфляция и безработица отсутствуют. - На рис. 7 − 7.3 представлены динамические характеристики несбалансированной экономики с постоянным темпом роста − экономики, растущей в условиях безработицы и инфляции. Подобное развитие событий имело место, например, в экономике США в 1961-1962 годах, "когда в экономике имели место превышающая нормальную безработица и вялый экономический рост" [30] .
Рис.6 Характеристики получены путем решения уравнения (7.2) при следующих условиях: - темп роста 5% в год (р0
= 0,05, t =1 год, - показатель экспоненты а =[ln(1+ p0 )]/t = 0,0488 год–1 , - начальный (начальный средний) годовой спрос Y вх0 = Y вх ср0 = b = 1 (у.е./год), - планируемый (планируемый средний) годовой спрос Y вх = Y вх ср =Y вх0 ∙(1+ р0 )t / t = b∙ exp ( a ∙ t ) = ехр (0,0488∙t ), (у.е./год), - начальный планируемый спрос х 01 = 0 (у.е.), - планируемый спрос х вх = х 01 – b/a +(b/a) ∙exp(a∙t) = 20,492∙exp (0,0488∙t ) – 20,492, (у.е.); - период естественной цикличности T = 6,28 года, - коэффициент распределения дохода К S = 0,8, - коэффициент расширения спроса λ = 0,5, - начальный объем выпуска (t = 0)х вых0 = 0, (у.е.), - начальный годовой выпуск (t
= 0) - масштабный факторС р =100 (%/год). Решения имеют следующий вид: - объем выпуска
где
годовой выпуск
- средний годовой выпуск, полученный путем исключения циклической составляющей,
- годовой объем поставок на рынок
- средний годовой объем поставок на рынок
- текущий (рыночный) годовой спрос
- средний объем годового текущего (рыночного) спроса, полученный путем исключения циклической составляющей,
- индекс цен (при t = 0 Р = 100)
темп инфляции
(при t →∞, ∆Р →5%); - уровень безработицы
- средние ежегодные затраты на инвестиционные товары (валовые инвестиции) Y
Вср
= (1 – K
S
)∙Y
вых ср
= - требуемые затраты на полное восстановление израсходованных средств производства (амортизация) Y
Аср
=(1 – λ)∙Y
вых ср
= - общее потребление Q = Y
вых ср
=Y
Рср
+Y
Вср
= - чистые инвестиции I
= (λ −К
S
)∙Y
вых
ср
= –
Отношение среднего выпуска к планируемому спросу для растущей экономики составит
и не будет равно этому отношению для статичной экономики с теми же параметрами.
Рис. 7
Рис 7.1
Рис. 7.2
Рис. 7.3 На рис. 8, 8.1 представлены характеристики сбалансированной экономики с постоянным темпом роста, полученные путем решения уравнения (7.2) при следующих условиях: - годовой темп роста 10% (р0 = 0,1, t =1 год), - показатель экспоненты а =[ln(1+p0 )]/t = 0,0953 год–1 , - начальный (начальный средний) годовой спрос Y вх0 =Y вх ср0 = b =1 (у.е./год), - планируемый годовой спрос Y вх =Y вх ср = Y вх0 ∙(1+ р0 )t / t = b∙exp(a∙t) = exp (0,0953∙t ) (у.е./год), - начальный (t = 0) спрос х 01 = 0 (у.е.); - планируемый спрос х вх = х 01 – b/a +(b/a) ∙exp(a∙t) =10,492∙ exp (0,0953∙t ) – 10,492 (у.е.), - период естественной цикличности T = 6,28 года, - коэффициент расширения спроса λ = 0,75, - объем выпуска при t =0 х вых0 = К 0 ∙х 01 = 0 (у.е.), - годовой выпуск при t
= 0 - масштабный факторС р =100 (%/год). Определим параметр, характеризующий динамику системы (параметр динамичности)
Для того чтобы растущая экономика была полностью сбалансированной, т. е. Y вых =Y вх , системный мультипликатор определим из выражения (13.2), приняв Кд =1:
Коэффициент распределения дохода определим из выражения (6.2) для "К 0 ":
Для полностью сбалансированной экономики решения имеют следующий вид: - объем выпуска
Где
годовой выпуск
средний годовой выпуск
- годовой объем поставок на рынок
- средний годовой объем поставок на рынок
- текущий годовой (рыночный) спрос
- средний объем годового текущего (рыночного) спроса
- индекс цен (Р = 100 при t = 0)
Р = 100; - темп инфляции - уровень безработицы
- средние ежегодные затраты на инвестиционные товары (валовые инвестиции) Y
В ср
=(1 – K
S
)∙Y
вых ср
= 0,259∙ - требуемые затраты на полное восстановление израсходованных средств производства (амортизация) Y
Аср
=(1 – λ)∙Y
вых ср
= - общее потребление Q = Y
вых ср
=Y
Рср
+Y
Вср
= - чистые инвестиции I
= (λ − К
S
)∙Y
вых
ср
=
Рис. 8
Рис. 8.1 Посмотрим, как изменятся характеристики экономики, если принять системный мультипликатор равным единице, то есть вычислить его по выражению (6.2), приняв коэффициент распределения дохода К S =0,75:
Характеристики такой "почти сбалансированной растущей экономики" представлены ниже и на рис. 9 − 9.3. Решения уравнения (7.2) будут иметь вид: - объем выпуска
где,
годовой выпуск
- средний годовой выпуск
- годовой объем поставок на рынок
- средний годовой объем поставок на рынок
- текущий годовой (рыночный) спрос
- средний объем годового текущего (рыночного) спроса
- индекс цен (при t = 0 Р = 100)
темп инфляции
(при t→∞, уровень безработицы
- средние ежегодные затраты на инвестиционные товары (валовые инвестиции) Y
Вср
= (1 – K
S
)∙Y
вых ср
= 0,248∙ - требуемые затраты на полное восстановление израсходованных средств производства (амортизация) Y
Аср
= (1 – λ)∙Y
вых ср
= - общее потребление Q = Y
вых ср
=Y
Рср
+Y
Вср
= - чистые инвестиции I = (λ − К S )∙Y вых ср = 0 (у.е./год).
Рис. 9.1
Рис. 9.2 На рис. 10 − 10.3 представлены характеристики несбалансированной экономики со снижающимся уровнем производства, полученные путем решения уравнения (7.2) при следующих условиях: - годовой темп снижения 10% (р0 = – 0,1, t =1 год), - показатель экспоненты а =[ln(1+p0 )]/t = – 0,1054 год–1 , - исходный уровень (t = 0) годового спроса Y вх0 = b 1 =1 (у.е./год), - новый уровень годового спроса Y вхк = b 2 = 0,5 (у.е./год), - планируемый годовой спрос Y вх =Y вх ср = Y вх0 ∙(1+ р0 )t/ t + b 2 = b 1 ∙exp (a∙t) + b 2 , Y вх = ехр (− 0,1054∙t ) + 0,5 (у.е./год); - начальный (t = 0) планируемый спрос х вх = х 01 = 0,769 (у.е.), - планируемый спрос х вх = х 01 – b 1 /a + (b 1 /a) ∙exp(a∙t) + b 2 ∙t = 10,26 – 9,491∙exp (– 0,1054∙t )+0,5∙t , (у.е.), - период естественной цикличности T = 6,28 года, - коэффициент распределения дохода К S =0,8, - коэффициент расширения спроса λ =0,5, - объем выпуска при t = 0 х вых0 = 0,769, (у.е.), - годовой выпуск при t
= 0 - масштабный факторС р =100 (%/год). Решения имеют следующий вид: - объем выпуска
где
С5
=К
0
∙b
2
= 0,384 (у.е./год),
годовой выпуск
средний годовой выпуск, полученный путем исключения циклической составляющей,
- годовой объем поставок на рынок
- средний годовой объем поставок на рынок
- текущий (рыночный) годовой спрос
- средний объем годового текущего (рыночного) спроса, полученный путем исключения циклической составляющей
- индекс цен (при t = 0 Р = 100)
темп инфляции
(так как а< 0, то при t→ ∞, ∆Р → 0); - уровень безработицы
- средние ежегодные затраты на инвестиционные товары (валовые инвестиции) Y
Вср
= (1 – K
S
)∙Y
вых ср
= - требуемые годовые затраты на полное восстановление израсходованных средств производства (амортизация) Y
Аср
= (1 – λ)∙Y
вых ср
= - общее потребление Q = Y
вых ср
=Y
Рср
+Y
Вср
=0,384+ - чистые инвестиции I
= (λ −К
S
)∙Y
вых
ср
= −0,115 −
Рис . 10
Рис. 10.1
Рис. 10.2
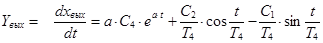
Рис. 10.3 Представляет интерес реакция системы на входные воздействия, содержащие гармонические возмущения спроса (рис.11). Пусть имеется система с параметрами: - коэффициент расширения спроса λ = 0,5, - коэффициент распределения К S = 0,8, - параметр динамичности Т 4 = 1 год: соответствует периоду естественной цикличности Т = 6,28 года. При входном воздействии (планируемом спросе): х вх = х 01 + b∙t − b 1 ∙sin t /T 5 = t – 0,09∙sin(2∙t )… (у.е.)….………….…...(16), где х вх0 =х 01 = 0 − начальный планируемый спрос,b = 1 у.е./год − средний годовой планируемый спрос, b 1 = 0,09 у.е. − амплитуда цикла спроса, T 5 = 0,5 года – параметр динамики спроса (соответствует периоду цикла спроса Т спроса = Т 1 = 2∙π∙Т 5 = 2∙π 0,5 = 3,14 года), и начальных условиях: - х вых0 = 0 (у.е.) − объем выпуска при t = 0, - - - решение дифференциального уравнения (7.2) будет иметь вид:
где
С
4
=К
0
∙b
=0,769 (у.е./год), С 1 =х вых 0 − С 3 = х вых 0 – К 0 ∙х 01 = 0,
Годовой объем производства составит
годовой объем планируемого спроса Y вх =1 – 0,18∙cos (2∙t ) (у.е./год).
Рис. 11 На рис. 11 видно, что быстрые колебания (Т 5 <<Т 4 ) спроса мало влияют на размер производства. Исключением может явиться случай, когда частота колебаний спроса будет близка или совпадет с собственной частотой системы. Здесь амплитуда колебаний может многократно возрасти. На рис.12 представлен один из возможных способов целенаправленного подавления цикличности на примере статичной экономики со следующими параметрами и начальными условиями: - планируемый годовой спрос Y вх = b =1 (у.е./год), - начальный планируемый спрос х 01 =1 (у.е.), - планируемый спрос х вх = х вх1 = х 01 + b∙ t = 1+t (у.е.)………………...….(17), - период естественной цикличности T = 6,28 года, - коэффициент распределения дохода К S = 0,8, - коэффициент расширения спроса λ = 0,5, - объем выпуска при t = 0 х вых0 = 0,769 (у.е.), - годовой выпуск при t
= 0 Для нерегулируемого процесса при заданных параметрах и начальных условиях имеем:
где С 4 0 =К 0 ∙b =0,769 (у.е./год), С 1 0 = х вых 0 − С 3 0 = х вых 0 – К 0 ∙х 01 = 0,
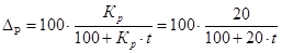
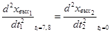
Пусть теперь в момент времени t = 7,8 (t 2 = 0) года на естественный цикл (17.1) накладывается на входе регулирующее воздействие, так что входной сигнал приобретает вид: х
вх = где Т 6 = 1 год – постоянная регулирующего воздействия (время предварения), а t 2 = t – 7,8. Выражение (17.3) получено добавлением члена (− Подставив выражение (17.3) в правую часть дифференциального уравнения (7.2) и решив его, получим х вых =х вых 2 =exp (−σ∙t 2 )∙[C 1 ∙cos (t 2 /T 5 )+C 2 ∙sin (t 2 /T 5 )] + C 3 + C 4 ∙t 2 (у.е.)…..…(17.4),
где
Произвольные постоянные С 1 и С 2 определим, исходя из условия сохранения непрерывности функции годового выпуска в точке t = 7,8 года (t 1 =7,8; t 2 = 0), что обеспечивается при равенстве первой и второй производных от объема выпуска справа и слева от этой точки:
Где
определенное из выражения (17.2) при t = 7,8 года (первая производная);
определенное путем дифференцирования выражения (17.2) и последующей подстановки t =7,8 года, учитывая, что t 1 = t , а t 2 = t −7,8. Дважды продифференцировав (17.4) и подставляя в полученные выражения числовые значения производных Y 20 и Y ' 20 , найдем:
х вых =х вых 2 =exp (− 0,385∙t 2 )∙[0,23∙cos (t 2 /1,083)+0,097∙sin (t 2 /1,083)]+0,178 +0,769∙t 2 (17.6),
Необходимое для подавления цикличности регулирующее воздействие (годовой спрос, как функция времени с момента t =7,8 года) должно меняться по закону:
Рис. 12 На рис. 12 видно, что регулирование спроса является эффективным методом подавления цикличности. Различные точки зрения по поводу эффективности регулирующих воздействий объясняются, по-видимому, не всегда удачным выбором момента и параметров воздействия. На рис. 13 приведены индексы цен на потребительские товары в США за период с 1936 по 1988 год [31] . Экспериментальные точки хорошо ложатся на кривую, описываемую уравнением Р =14,424+2,384∙ехр (0,0735∙t ), аналогичным уравнениям (11.2) и (13.2), что подтверждает правильность исходных предпосылок, принятых при выводе уравнения для индекса цен.
Рис. 13 Заключение Предложенные математические модели чистой монополии, монополистической конкуренции, чистой конкуренции адекватно описывают основные явления в экономике: конкуренцию и монополию, цикличность развития, безработицу, инфляцию, стагфляцию. Заслуживает внимания вытекающая из этих моделей функциональная связь между основными макроэкономическими переменными: спросом, объемом производства и инвестициями. Модели могут оказаться полезным дополнением к существующим методам прогнозирования и управления экономикой. [1] См., например, Кэмпбелл Р. МАККОННЕЛ, Стенли Л. БРЮ. Экономикс. Принципы, проблемы и политика. М., 1993, "Республика". [2] Там же, т.2. с.147. [4] См. Кэмпбелл Р. МАККОННЕЛ, Стенли Л. БРЮ. Экономикс. Принципы, проблемы и политика. М., 1993, "Республика", т.2, с.143. [5] Кэмпбелл Р. МАККОННЕЛ, Стенли Л. БРЮ. Экономикс. Принципы, проблемы и политика. М., 1993, "Республика", т.2, с.30. [6] Кэмпбелл Р. МАККОННЕЛ, Стенли Л. БРЮ. Экономикс. Принципы, проблемы и политика. М., 1993, "Республика", т.1, с.206. [7] Там же, т.2, с. 216. [8] См., например, Н.Ф. Пантаев, В.Г. Дианов. Основы теории автоматического регулирования и авторегуляторы. М., 1970, "Недра", с.30. [9] Кэмпбелл Р. МАККОННЕЛ, Стенли Л. БРЮ. Экономикс. Принципы, проблемы и политика. М., 1993, "Республика", т.2, с.66, 80. [10] См., например, Н.Ф. Пантаев, В.Г. Дианов. Основы теории автоматического регулирования и авторегуляторы. М., 1970, "Недра". [11] Там же, с.24. [12] Там же, с.22. [13] См., например, Кэмпбелл Р. МАККОННЕЛ, Стенли Л. БРЮ. Экономикс. Принципы, проблемы и политика. М., 1993, "Республика". [14] См., например, Н.Ф. Пантаев, В.Г. Дианов. Основы теории автоматического регулирования и авторегуляторы. М., 1970, "Недра", с.66. [15] Кэмпбелл Р. МАККОННЕЛ, Стенли Л. БРЮ. Экономикс. Принципы, проблемы и политика. М., 1993, "Республика", т.1, с.134. [16] См. аналогичную кривую на рис. 3. [17] Кэмпбелл Р. МАККОННЕЛ, Стенли Л. БРЮ. Экономикс. Принципы, проблемы и политика. М., 1993, "Республика", т.2, с.155. [18] См., например, Н.Ф. Пантаев, В.Г. Дианов. Основы теории автоматического регулирования и авторегуляторы. М., 1970, "Недра", с.22. [19] Кэмпбелл Р. МАККОННЕЛ, Стенли Л. БРЮ. Экономикс. Принципы, проблемы и политика. М., 1993, "Республика", т.1, с.16. [20] См. аналогичную кривую на рис. 2. [21] См. аналогичную кривую на рис. 4. [22] См., например, Кэмпбелл Р. МАККОННЕЛ, Стенли Л. БРЮ. Экономикс. Принципы, проблемы и политика. М., 1993, "Республика". [23] Там же, т 1, с. 191, 231, 232. [24] Денежная масса пропорциональна произведению индекса цен на годовой объем производства. [25] См., например, Кэмпбелл Р. МАККОННЕЛ, Стенли Л. БРЮ. Экономикс. Принципы, проблемы и политика. М., 1993, "Республика", т.1, с.160. [26] Там же. [27] Все данные гипотетические. См. также Кэмпбелл Р. МАККОННЕЛ, Стенли Л. БРЮ. Экономикс. Принципы, проблемы и политика. М., 1993, "Республика", т.1, с.138, рисунок 9-1. [28] См., например, Кэмпбелл Р. МАККОННЕЛ, Стенли Л. БРЮ. Экономикс. Принципы, проблемы и политика. М., 1993, "Республика", т.1, с.335. [29] Сравни с (12.1). [30] См. Кэмпбелл Р. МАККОННЕЛ, Стенли Л. БРЮ. Экономикс. Принципы, проблемы и политика. М., 1993, "Республика", т.1, с.252. [31] См. Кэмпбелл Р. МАККОННЕЛ, Стенли Л. БРЮ. Экономикс. Принципы, проблемы и политика. М., 1993, "Республика". |








…. (6.1),
..………………....…(7),
− круговая частота цикла…………..…… (7.4),















(у.е.),
(у.е.).
года,
(у.е.),
