Контрольная работа: Методы построения функции принадлежности требований к заданному уровню качества
|
Название: Методы построения функции принадлежности требований к заданному уровню качества Раздел: Рефераты по экономико-математическому моделированию Тип: контрольная работа | ||||||||||||||
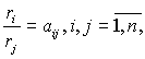
Методы построения функции принадлежности требований к заданному уровню качества Существует значительное количество методов построения по экспертным оценкам функций принадлежности нечеткого множества m А(х). Выделяют две группы методов: прямые и косвенные методы. Прямые методы характеризуются тем, что эксперт непосредственно задает правила определения значений функции принадлежности m А(х), характеризующей элемент х. Эти значения согласуются с его предпочтениями на множестве элементов Х следующим образом: 1. для любых х1, х2 Î Х m А(х1)<m А(х2) тогда и только тогда, когда х2 предпочтительнее х1, т.е. в большей степени характеризуется свойством А; 2. для любых х1, х2 Î Х m А(х1)=m А(х2) тогда и только тогда, когда х1 и х2 безразличны относительно свойства А. Примерами прямых методов являются непосредственное задание функции принадлежности таблицей, графиком или формулой. Недостатком этой группы методов является большая доля субъективизма. В косвенных методах значения функции принадлежности выбираются таким образом, чтобы удовлетворить заранее сформулированным условиям. Экспертная информация является только исходной информацией для дальнейшей обработки. Дополнительные условия могут налагаться как на вид получаемой информации, так и на процедуру обработки. Краткая характеристика наиболее часто используемых косвенных методов построения функций принадлежности. 1. Построение функций принадлежности на основе парных сравнений Метод основан на обработке матрицы оценок, отражающих мнение эксперта об относительной принадлежности элементов множеству или степени выраженности у них некоторого оцениваемого свойства. Потребуем, чтобы для всех элементов множества А выполнялось равенство:
Степень принадлежности элементов множеству А будет определятся посредством парных сравнений. Для сравнения элементов используются оценки, приведенные в таблице 1: Таблица 1
Оценку элемента хі по сравнению с элементом хj с точки зрения свойства А обозначим через аij. Для обеспечения согласованности примем аij = 1/аji. Оценки аij составляют матрицу S = ║аij║. Найдем W = (w1,...,wn) – собственный вектор матрицы S, решая уравнение
где λ – собственное значение матрицы S. Вычисленные значения, составляющие собственный вектор W, принимаются в качестве степени принадлежности элемента х к множеству А: m А(xi) = wi ; . Так как всегда выполняется равенство S∙W=n∙W, то найденные значения тем точнее, чем ближе λmax к n. Отклонение λmax от n может служить мерой согласованности мнений экспертов. 2. Построение функций принадлежности с использованием статистических данных Предположим, что наблюдая за объектом в течение некоторого времени, человек n раз фиксирует свое внимание на том, имеет место факт А или нет. Событие, заключающееся в n проверках наличия факта А будем называть оценочным. Пусть в k проверках имел место факт А. Тогда эксперт регистрирует частоту p=k/n появления факта А и оценивает ее с помощью слов "часто", "редко" и т.п. На универсальной шкале [0,1] необходимо разместить значения лингвистической переменной: Весьма редко, более – менее редко, более менее часто, весьма часто. Тогда степень принадлежности некоторого значения вычисляется как отношение числа экспериментов, в которых оно встречалось в определенном интервале шкалы, к максимальному для этого значения числу экспериментов по всем интервалам. Метод требует выполнения условия, чтобы в каждый интервал шкалы попадало одинаковое число экспериментов. Если это условие не выполняется, требуется дополнительная обработка экспериментальных данных с помощью так называемой матрицы подсказок. 3. Построение функций принадлежности на основе экспертных оценок Рассмотрим особенности построения функций принадлежности для приближенных точечных (например, Х приблизительно равен 10) и интервальных оценок (вида Х находится приблизительно в интервале от 8 до 11). Естественно предположить, что функцию, необходимо строить следующим образом: если α ≤ х ≤ β, то μ(α, β) (х) = 1; если х < α, то μ(α, β) (х) = μα (х); если х < β, то μ(α, β) (х) = μβ (х), где μ(α, β) (х) – функция принадлежности нечеткому интервалу (α, β); μα(х) и μβ(х) – функции принадлежности нечетким множествам чисел, приближенно равных соответственно α и β. При построении функции принадлежности чисел, приблизительно равных некоторому k, можно использовать функцию
где α зависит от требуемой степени нечеткости μk(х), и определяется из выражения
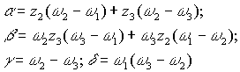
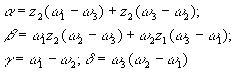
где b - расстояние между точками перехода для μk(х), т.е. точками, в которых функция вида принимает значение 0,5. Таким образом, задача построения μk(х) для некоторого числа сводиться к отысканию параметров а и в, чтобы можно было определить β (х), с помощью β(х) – α θ, используя α, построить μk(х). 4. Параметрический подход к построению функций принадлежности Описываемый метод построения функций принадлежности основан на предположении, что эксперт характеризуя лингвистическое значение какого-либо признака, с минимальным напряжением может указать три точки шкалы: А, В, С, из которых В и С – точки, по его мнению, еще (или уже) не принадлежащие описываемому лингвистическому значению, А – точка, определенно принадлежащая ему. Пусть имеются параметрическое описание термов t и tI двух значений некоторой лингвистической переменной. Один из термов может представлять собой модификацию (ограничение) другого: tI = h (t), где h – ограничение на t типа ДОВОЛЬНО, БОЛЕЕ – МЕНЕЕ, НЕ ОЧЕНЬ и т.п. Задача состоит в том, чтобы используя параметры термов t: (z1, z2, z3) и tI: (ω1, ω2, ω3) описать переход от t к tI (параметры считаются упорядоченными отношением "меньше"). Очевидно, что S – образную функцию можно рассматривать, как вырожденный случай треугольной функции, в которой один из параметров z1 или z2 стремится к бесконечности. Таким образом, задача состоит в том, чтобы описать переход между любыми двумя формами Для решения этой задачи используется аппарат автоморфных функций. Рассмотрим дробно-линейное отображение прямой на себя вида
преобразование Т-1, обратное Т, получается, если уравнение
разрешить относительно ω:
Таким образом, при параметрическом представлении функций принадлежности задача описания перехода от одного терма t: (z1, z2, z3) к другому tI: (ω1, ω2, ω3) решается непосредственным подсчетом четырех параметров – коэффициентов дробно-линейного преобразования по формулам:
Эти же коэффициенты при подстановке в (6) определяют обратный переход от tI к t. Рассмотрим теперь переход от терма t треугольной формы к терму tI с S – образной функцией принадлежности. Для дробно-линейных преобразований этому случаю соответствует переход от одной из крайних заданных точек в положение бесконечно-удаленной точки. Если z1 = ∞, то параметры дробно-линейного преобразования
Если z3 = ∞ , то
Рассмотрим случай, когда функции принадлежности представляются S – образной или просто наклонной кривой. В этом случае имеет место линейное отображение прямой
Параметры преобразования (10)
Обратный переход (у → х) осуществляется по формуле
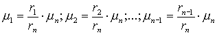
5. Построение функции принадлежности на основе ранговых оценок Данный метод разработан А.П. Ротштейном и базируется на идее распределения степени принадлежности элементов универсального множества согласно с их рангами. Будем понимать под рангом элемента хіÎ Х число rs(xi), которое характеризует значимость этого элемента в формировании свойства, которое описывается нечетким термом . Допускаем, что выполняется правило: чем больший ранг элемента, тем больше степень принадлежности. Введем также обозначения:
Тогда правило распределения степеней принадлежности можно задать в виде соотношения:
к которому добавляется условие нормирования
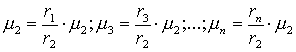
Используя соотношение (13) легко определить степени принадлежности всех элементов универсального множества через степени принадлежности опорного элемента. Если опорным элементом является элемент х1 Î Х с принадлежностью m 1, то
Для опорного элемента х2 Î Х с принадлежностью m 2, получаем
Для опорного элемента хn Î Х с принадлежностью m n, имеем
Учитывая условие нормировки (14) из соотношений (15) – (17) находим:
Полученные формулы (18) дают возможность вычислять степени принадлежности m S(xi) двумя независимыми путями: - по абсолютным оценкам уровней ri - по относительным оценкам рангов
которые образуют матрицу:
Эта матрица обладает следующими свойствами: а) она диагональная, т.е. аiі=1 б) элементы, которые симметричны относительно главной диагонали, связаны зависимостью: аij=1/аji; в) она транзитивна, т.е. аiк× акi, поскольку
Наличие этих свойств приводит к тому, что при известных элементах одной строки матрицы А легко определить элементы всех других строк. Если известна r-я строка, т.е. элементы акj, k Поскольку матрица (19) может быть интерпретирована как матрица парных сравнений рангов, то для экспертных оценок элементов этой матрицы можно использовать 9 – ти бальную шкалу Саати: . Эта шкала приведена ранее, в табл. 1. Таким образом, с помощью полученных формул (6.5.18), экспертные значения о рангах элементов или их парные сравнения преобразуются в функцию принадлежности нечеткого терма. Алгоритм построения функции принадлежности включает в себя следующие операции: 1. Задать лингвистическую переменную; 2. Определить универсальное множество, на котором задается лингвистическая переменная; 3. Задать совокупность нечетких термов {S1, S2, ... , Sm}, которые используются для оценки переменной; 4. Для каждого терма Sj 5. Используя формулы (18) вычислить элементы функций принадлежности для каждого терма. Нормирование найденных функций осуществляется путем деления на наибольшие степени принадлежности. Главным преимуществом метода является то, что в отличие от метода парных сравнений, он не требует решения характеристического уравнения. Полученные соотношения дают возможность вычислять функции принадлежности с использованием ранговых оценок, которые достаточно легко получить при экспертном опросе. Кроме описанных методов построения функций принадлежности, нашедших наиболее широкое практическое применение, имеется еще значительное число методов, описанных в литературе (метод интервальных оценок, метод семантического дифференциала и т.д.). При выборе метода необходимо учитывать, как правило, сложность получения экспертной информации, особенно организации и проведения экспертизы, достоверность экспертной информации, трудоемкость алгоритма обработки информации при построении функции принадлежности. В нашем случае функция принадлежности m (xi,j), входящая в формулу (4) для оценки качества системы защиты информации, характеризует лингвистическую переменную "степень выполнения j-го требования при защите от i-ой угрозы". В заключение рассмотрим пример построения функции принадлежности m (хij)=m (xi) методом Ротштейна. Рассмотрим лингвистическую переменную "качество", характеризуемое степенью выполнения некоторого требования. Эта лингвистическая переменная определена на универсальном множестве вариантов: хі, Пусть в результате экспертного опроса сформированы матрицы (19) для каждого терма. При сравнении вариантов используется табл. 1.
матрица статистический ранговый лингвистическая переменная После обработки этих матриц по формулам (18) получим функции принадлежности. |
(7)
(8)
(9)
(13)
(15)
(16)
(17)
(18)
(19)
