Курсовая работа: Характеристика методов финансового анализа как инструментов для принятия управленческих решений
|
Название: Характеристика методов финансового анализа как инструментов для принятия управленческих решений Раздел: Рефераты по финансовым наукам Тип: курсовая работа | ||||||||||||||||||||||||||||||||||||||||||||||||||||||||||||||||||||||||||||||||||||||||||||||||||||||||||||||||||||||||||||||||||||||||||||||||||||||||||||||||||||||||||||||||||||||||||||||||||||||||||||||||||||||||||||||||||||||||||||||||||||||||||||||||||||||||||||||||||||||||||||||||||||||||||||||||||||||||||||||||||||||||||||||||||||||||||||||||||||||||||||||||||||||||||||||||||||||||||||||||||||||||||||||||||||||||||||||||||||||||||||||||||||||||||||||||||||||||||||||||||||||||||||||||||||||||||||||||||||||||||||||||||||||||||||||||||||||||||||||||||||||||||||||||||||||||||||||||||||||||||||||||||||||||||||||||||||||||||||||||||||||||||||||||||||||||||||||||||||||||||||||||||||||||||||||||||||||||||||||||||||||||||||||||||||||||||||||||||||||||||||||||||||||||||||||||||||||||||||||||||||||||||||||||||||||||||||||||||||||||||||||||||||||||||||||||||||||||||||||||||||||||||||||||||||||||||||||||||||||||||||||||||||||||||||||||||||||||||||||||||||||||||
Содержание Введение 1. Теория финансового анализа 1.1 Сущность, цель и задачи финансового анализа 1.2 Анализ имущественного состояния предприятия и источников финансирования 1.2.1 Анализ состояния запасов 1.2.2 Анализ дебиторской задолженности 1.2.3 Анализ источников формирования имущества 1.3 Анализ финансовой устойчивости 1.4 Ликвидность и платежеспособность 1.5 Финансовые результаты деятельности предприятия 2. Анализ хозяйственной деятельности ЗАО "Стройкомплект" 2.1 Оценка состава и структуры имущества и источников его формирования 2.1.1 Анализ состава и структуры имущества ЗАО "Стройкомплект" 2.1.2 Анализ состояния запасов 2.1.3 Анализ дебиторской задолженности 2.1.4 Анализ состава и структуры источников формирования имущества 2.1.5 Сравнительный анализ кредиторской и дебиторской задолженности 2.1.6 Оценка финансовой устойчивости 2.2 Анализ показателей типа финансовой устойчивости и платежеспособности 2.2.1 Анализ показателей типа финансовой устойчивости 2.2.2 Оценка текущей платежеспособности 2.3 Анализ финансовых результатов деятельности предприятия 2.3.1 Факторный анализ прибыли от продажи продукции 2.3.2 Анализ показателей оборачиваемости текущих активов 2.3.3 Анализ показателей рентабельности Заключение Список использованной литературы Приложения ВведениеФинансовый анализ - это метод изучения финансового состояния предприятия, процессов формирования и использования финансовых ресурсов для его оперативной и инвестиционной деятельности. Целью финансового анализа является установление "болевых точек" финансового механизма предприятия, предсказании на основе наблюдаемых тенденций возможного развития событий, принятию необходимых управленческих решений для снижения, предупреждения или устранения отрицательного влияния соотношений между экономическими результатами от производственно-хозяйственной деятельности и затратами на ее осуществление. Результатом финансового анализа является оценка финансового благополучия предприятия, состояния его имущества, активов и пассивов баланса, скорости оборота всего капитала и его деятельных частей, доходности используемых средств. Анализ финансового состояния позволяет предприятию выжить в условиях жесткой конкуренции, а также организовать прибыльное ведение финансово-хозяйственной деятельности и, как результат, увеличить свою рыночную стоимость. Информация, полученная по итогам анализа, необходима менеджеру для разработки адекватных управленческих решений по снижению риска и повышению доходности финансово-экономической деятельности предприятия, инвестору - для решения вопроса о целесообразности инвестирования, банкам - для определения условий кредитования. Целью данной работы является изучение методов финансового анализа как инструментов для принятия управленческих решений и выработки на этой основе практических рекомендаций. Задачи работы состоят в определении: имущественного потенциала предприятия; оптимальности структуры активов предприятия; структуры источников средств предприятия; платежеспособности; показателей оборачиваемости; финансовой устойчивости; рентабельности и финансовых результатов предприятия. Объект исследования - закрытое акционерное общество "Стройкомплект". Предмет исследования - различные методики анализа финансовой деятельности предприятий. Период исследования охватывает один календарный год. В процессе подготовки данной работы использовались материалы годовой бухгалтерской отчетности ЗАО "Стройкомплект": бухгалтерский баланс - форма №1 (Приложение 1), отчет о прибылях и убытках - форма №2 (Приложение 2), а также дополнительные данные (Приложение 3). При выполнении настоящей работы были использованы законодательные и нормативные документы, литературно-справочные источники. 1. Теория финансового анализа1.1 Сущность, цель и задачи финансового анализаФинансовый анализ - часть экономического анализа, представляющая собой систему определенных знаний, связанную с исследованием финансового положения организации и ее финансовых результатов, складывающихся под влиянием объективных и субъективных факторов, на основе данных финансовой (бухгалтерской) отчетности. Финансовый анализ - процесс исследования финансового состояния и основных результатов финансовой деятельности организации с целью выявления резервов повышения ее рыночной стоимости и обеспечения эффективного развития. [1] Финансовый анализ - процесс познания сущности финансового механизма функционирования субъектов хозяйствования с целью оценки и обоснования решений инвестиционно-финансового характера. [2] Финансовый анализ - анализ финансовых показателей, которые отражают финансовые результаты деятельности и финансовое состояние организации. Финансовые показатели в значительной степени содержатся в финансовой (бухгалтерской) отчетности организаций, поэтому под финансовым анализом принято понимать "внешний" финансовый анализ по данным публичной финансовой отчетности, что сужает его рамки, так как не вся финансовая информация организации отражена в отчетности. Так называемый "внутренний" финансовый анализ, который использует как информационную базу данных не только публичной отчетности, но и внутрихозяйственной отчетности, а также бухгалтерского учета, имеет значительно большую возможность проникнуть в тайны хозяйственной (экономической) деятельности организации. Такой финансовый анализ для финансового менеджера и главного бухгалтера организации выступает как часть управленческого анализа, цель которого - принимать обоснованные управленческие решения по проблемам хозяйственной деятельности, а для аудитора - как информационная база, более широкая, нежели отчетность, что позволяет сделать обоснованное заключение о степени достоверности финансовой (бухгалтерской) отчетности и правильности отражения в финансовой отчетности реальной хозяйственной деятельности. [3] Целью финансового анализаявляется оценка финансового состояния и выявление возможностей повышения эффективности функционирования хозяйствующего субъекта, с помощью рациональной финансовой политики. Финансовое состояние предприятия характеризуется структурой средств (активов) и характером источников их формирования (собственного и заемного капитала, т.е. пассивов). Эти сведения предоставляются в бухгалтерском балансе (форма № 1) и других формах бухгалтерской отчетности. Основными факторами, определяющими финансовое состояние, являются, во-первых, выполнение финансового плана и по необходимости увеличение собственного оборотного капитала за счет прибыли и, во-вторых, оборачиваемость оборотных средств (активов). Критериальным показателем, в котором проявляется финансовое состояние, выступает платежеспособность организации. Поскольку выполнение финансового плана преимущественно зависит от результатов производственной и хозяйственной деятельности в целом, то можно сказать, что финансовое состояние определяется всей совокупностью хозяйственных факторов. Поэтому наряду с балансом также для анализа финансового состояния используются отчет о прибылях и убытках и другие формы отчетности. Основные задачи анализа финансового состояния - определить его благополучие, изучить причины улучшения или ухудшения за период, подготовить рекомендации по повышению финансовой устойчивости и платежеспособности предприятия. Эти задачи решаются путем исследования динамики абсолютных и относительных финансовых показателей. Задачами финансового анализа являются: оценка текущего и перспективного финансового состояния предприятия; оценка возможных и целесообразных темпов развития предприятия с позиции их финансового обеспечения; выявление доступных источников средств и оценка возможностей и целесообразности их мобилизации; объективная оценка использования финансовых ресурсов на предприятии; выявление внутрихозяйственных резервов укрепления финансового положения; улучшение отношений между предприятиями и внешними финансовыми, кредитными, контрольными органами; прогноз положения предприятия на рынке капиталов. Финансовое состояние предприятия характеризуется совокупностью показателей, отражающих процесс формирования и использования его финансовых средств. Финансовое состояние обусловлено степенью выполнения финансового плана и мерой пополнения собственных средств за счет прибыли и других источников. Цели исследования достигаются в результате решения ряда аналитических задач: предварительный обзор бухгалтерской отчетности; характеристика имущества предприятия: внеоборотных и оборотных активов; оценка финансовой устойчивости; характеристика источников средств: собственных и заемных; анализ прибыли и рентабельности; разработка мероприятий по улучшению финансово-хозяйственной деятельности предприятия. Данные задачи выражают конкретные цели анализа с учетом организационных, технических и методических возможностей его осуществления. Основными факторами, в конечном счете, являются объем и качество аналитической информации. Финансовый анализ предприятия должен отвечать определенным требованиям и быть: достоверным и объективным - базироваться на точных проверенных сведениях и показателях; комплексным и системным, т.е. любое явление должно изучаться в увязке с другими взаимосвязанными или аналогичными явлениями; перспективным - все явления должны оцениваться на перспективу, чтобы можно было спрогнозировать, какое воздействие на них окажет внедрение в практику работы предприятия передовых достижений в области техники, технологии, организации производства и использования накопленного опыта, в т. ч. и конкурентов; оперативным и своевременным, что требует постоянного и ежедневного контроля работы предприятия, быстрой обработки данных и проведения необходимых мероприятий; конкретным - результаты анализа должны трансформироваться в конкретные и реальные для осуществления мероприятия по улучшению всех сторон деятельности предприятия. Внутренний анализ проводится службами предприятия, и его результаты используются для планирования, контроля и прогнозирования финансового состояния предприятия. Его цель - установить планомерное поступление денежных средств и разместить собственные и заемные средства таким образом, чтобы обеспечить нормальное функционирование предприятия, получение максимума прибыли. Внешнийанализ осуществляется инвесторами, поставщиками материальных и финансовых ресурсов, контролирующими органами на основе публикуемой отчетности. Его цель - установить возможность выгодно вложить средства, чтобы обеспечить максимум прибыли и исключить риск потерь. Анализ финансового состояния включает следующие этапы: 1. Сбор необходимой информации. 2. Оценку достоверности информации. 3. Обработку информации (составление аналитических таблиц и агрегированных форм отчетности). 4. Расчет показателей структуры финансовых отчетов (вертикальный анализ). 5. Расчет показателей изменения статей финансовых отчетов (горизонтальный анализ). 6. Расчет финансовых коэффициентов по основным аспектам финансовой деятельности или промежуточным финансовым аспектам (финансовая устойчивость, платежеспособность, деловая активность, рентабельность). 7. Сравнительный анализ значений финансовых коэффициентов с нормативами (общепризнанными и среднеотраслевыми). 8. Анализ изменений финансовых коэффициентов (выявление тенденций ухудшения или улучшения). 9. Расчет и оценку интегральных финансовых коэффициентов. 10. Подготовку заключения о финансовом состоянии компании на основе интерпретации обработанных данных. В нашей стране к настоящему времени сложились два основных подхода. Согласно первому финансовый анализ понимается в широком аспекте и охватывает все разделы аналитической работы, входящие в систему финансового менеджмента, т.е. связанные с управлением финансами хозяйствующего субъекта в контексте окружающей среды, включая и рынок капитала (см., напр. [Ковалев, 1997]). Второй подход ограничивает сферу его охвата анализом бухгалтерской отчетности [Шеремет, Негашев]. [4] Сразу же отметим, что сведение финансового анализа до анализа отчетности вряд ли правомерно; в этом смысле западный подход представляется достаточно логичным, оправданным и перспективным - анализ отчетности является лишь одним из разделов финансового менеджмента. Кроме того, данные финансового характера формируются не только в системе бухгалтерского учета. В свою очередь, авторы выдвигают различные методики анализа финансового состояния. Так, В.В. Ковалев предлагает методику углубленного анализа[5] : 1. Предварительный обзор экономического и финансового положения субъекта хозяйствования: 1.1 Характеристика общей направленности финансово-хозяйственной деятельности. 1.2 Выявление "больных" статей отчетности. 2. Оценка и анализ экономического потенциала субъекта хозяйствования: 2.1 Оценка имущественного положения: 2.1.1 Построение аналитического баланса; 2.1.2 Вертикальный анализ баланса; 2.1.3 Горизонтальный анализ баланса; 2.1.4 Анализ качественных сдвигов в имущественном положении. 2.2 Оценка финансового потенциала: 2.2.1 Оценка ликвидности и платежеспособности; 2.2.2 Оценка финансовой устойчивости. 3. Оценка и анализ результативности финансово-хозяйственной деятельности хозяйствующего субъекта: 3.1 Оценка эффективности текущей деятельности (деловой активности); 3.2 Анализ прибыли и рентабельности; 3.3 Оценка положения на рынке ценных бумаг. Шеремет А.Д. и Негашев Е.В. разбивают анализ на следующие блоки[6] : 1. Структурный анализ активов и пассивов; 2. Анализ финансовой устойчивости, характеризующейся удовлетворительной и неудовлетворительной структурой баланса и отражающей финансовые результаты хозяйственной деятельности; 3. Анализ ликвидности предприятия, под которой понимается степень покрытия обязательств предприятия его активами, срок превращения которых в денежные средства (ликвидность активов) соответствует сроку погашения обязательств; 4. Анализ платежеспособности, т.е. способности предприятия вовремя удовлетворять платежные требования поставщиков, возвращать кредиты и займы (кредитоспособность) и другие платежи. В.В. Бочаров формулирует следующую методику углубленного финансового анализа[7] : 1. Общая оценка финансового состояния предприятия. 2. Оценка финансовой устойчивости. 3. Анализ денежных потоков. 4. Анализ деловой и рыночной активности предприятия. 5. Анализ финансовых результатов и рентабельности предприятия. 6. Финансовый анализ эффективности инвестиционных проектов. 1.2 Анализ имущественного состояния предприятия и источников финансированияОценка размещения и структуры имущества имеет первостепенное значение при определении финансового состояния предприятия. Нерациональная структура имущества, вызванная отсутствием обновления основных средств, при высокой степени их износа, может привести к сокращению объема производства и реализации продукции (работ, услуг), и, как следствие, к ухудшению финансового состояния предприятия. Неоправданное увеличение расходов в незавершенное строительство, наличие сверхнормативных запасов материально-производственных ресурсов или неликвидных, не пользующихся спросом товаров, приводит к необоснованному росту производственных издержек и к "замораживанию" денежных средств, отвлечению их из хозяйственного оборота. Но в то же время недостаток запасов также отрицательно влияет на финансовое положение предприятия, так как может привести к сокращению производства продукции и соответственно уменьшению суммы прибыли. Рост дебиторской задолженности может повлиять на сроки проведения текущих платежей, что соответственно может вызвать рост кредиторской задолженности, ослабляя финансовую надежность предприятия как хозяйственного партнера. Неоправданный рост заемных средств может привести к необходимости сократить имущество предприятия для расчетов с кредиторами. Увеличение размеров имущества будет способствовать повышению суммы отчислений из прибыли по налогу на имущество, появлению потребности в дополнительных источниках финансирования. Следовательно, чтобы исключить появление предпосылок финансовой нестабильности, хозяйствующий субъект должен иметь рациональную структуру имущества и постоянно оценивать происходящие изменения в его составе. Анализ динамики состава и структуры имущества предприятия основан на сравнении отчетных данных бухгалтерского баланса за ряд периодов. Актив баланса позволяет дать общую оценку изменения всего имущества предприятия, выделить в его составе внеоборотные активы (I раздел актива баланса) и оборотные активы (II раздел актива баланса), изучить динамику структуры имущества. Анализ динамики состава и структуры имущества дает возможность установить размер абсолютного и относительного прироста или уменьшения всего имущества предприятия и отдельных его видов. Прирост актива указывает на расширение деятельности предприятия, но также может быть результатом влияния инфляции. Уменьшение актива свидетельствует об уменьшении предприятием хозяйственного оборота и может быть следствием износа основных средств или результатом снижения платежеспособного спроса на товары, работы и услуги, ограничения доступа на рынки сырья, материалов, полуфабрикатов, либо включением в активный хозяйственный оборот дочерних предприятий за счет материнской компании. В ходе анализа определяется стоимость реальных активов, характеризующих производственный потенциал предприятия. К ним относятся основные средства, производственные запасы и незавершенное производство. Эти элементы, являясь по существу средствами производства, создают необходимые условия для осуществления основной деятельности. Удельный вес реального имущества устанавливается отношением его к валюте баланса. Данный коэффициент имеет ограниченное применение и может отражать реальную ситуацию лишь на предприятиях производственных отраслей, причем в разных отраслях он будет существенно отличаться. Увеличение доли реального имущества в общей стоимости всего имущества свидетельствует о потенциальных возможностях предприятия расширить объемы производственной деятельности. Показатели структурной динамики отражают долю участия каждого вида имущества в общем изменении совокупных активов. Их анализ позволяет сделать вывод о том, в какие активы вложены вновь привлеченные финансовые ресурсы или какие активы уменьшились за счет оттока финансовых ресурсов. Методика оценки имущественного состояния предприятия включает в себя[8] : горизонтальный анализ активных статей баланса, основанный на изучении динамики показателей и определении их абсолютных и относительных изменений. вертикальный анализ активных статей баланса, изучающий структуру имущества и ее изменения. Кроме общей оценки имущественного состояния, методика Дыбаль С.В. включает анализ состояния, движения и причин изменения основных видов имущества и оборачиваемость хозяйственных средств, в том числе: состояния запасов; дебиторской задолженности; движения денежных средств; Анализ активов, обязательств и капитала организации проводится по балансу (форма № 1) с помощью одного из следующих способов[9] : анализа непосредственно по балансу без предварительного изменения состава балансовых статей; финансовый анализ источник финансирование формирования уплотненного сравнительного аналитического баланса путем агрегирования некоторых однородных по составу элементов балансовых статей; дополнительной корректировке баланса на индекс инфляции с последующим агрегированием статей в необходимых аналитических разрезах. Анализ непосредственно по балансу - дело довольно трудоемкое и неэффективное, так как слишком большое количество расчетных показателей не позволяет выделить главные тенденции в финансовом состоянии организации. равнительный аналитический баланс можно получить из исходного баланса путем уплотнения отдельных статей и дополнения его показателями структуры, а также расчетами динамики. Аналитический баланс полезен тем, что сводит воедино и систематизирует те расчеты, которые обычно осуществляет аналитик при ознакомлении с балансом. Схемой аналитического баланса охвачено много важных показателей, характеризующих статику и динамику финансового состояния организации. Этот баланс фактически включает показатели как горизонтального, так и вертикального анализа. Классификация показателей оценки имущественного потенциала фирмы, разработанная Ковалевым В.В., предполагает определение следующих показателей[10] : 1. Абсолютные (дают представление о размерах фирмы) 1.1 Величина контролируемых фирмой средств - то есть учетная оценка активов, числящихся на балансе предприятия. NBV = TA - OD, (1.1) где NBV - сумма хозяйственных средств, находящихся на балансе предприятия; TA - всего активов по балансу; OD - задолженность учредителей по взносам в уставный капитал. 1.2 Стоимость чистых активов фирмы - стоимостная оценка имущества фирмы после формального или фактического удовлетворения всех требований третьих лиц. Все показатели для расчета берутся из баланса. ЧА = [ВА + (ОА - ЗУ)] - [ДО + (КО - ДБП)] (1.2) где ВА - внеоборотные активы (итог первого раздела актива баланса); ОА - оборотные активы (итог второго раздела актива баланса); ЗУ - задолженность учредителей по взносам в уставной капитал; ДО - долгосрочные обязательства; КО - краткосрочные обязательства; ДБП - доходы будущих периодов. 2. Относительные показатели (позволяют делать суждение о структуре имущества, ее прогрессивности). 2.1 Доля внеоборотных активов в валюте баланса. Рассчитывается отнесением стоимостной оценки внеоборотных активов (итог раздела I баланса) к общей сумме активов фирмы (итог баланса по активу) и показывает, какая доля общей суммы вложенных в предприятие из всех источников средств омертвлена в долгосрочных активах. 2.2 Доля основных средств в валюте баланса. Рассчитывается отнесением суммы по статье "Основные средства" к валюте баланса. 2.3 Доля активной части основных средств показывает какую часть основных средств составляют активы, непосредственно участвующие в производственном процессе. 2.4 Коэффициенты износа и годности характеризуют основные средства с позиции возмещения сделанных в них вложений. Коэффициент износа представляет собой отношение накопленной амортизации к первоначальной (восстановительной) стоимости основных средств. Коэффициент годности является отношением остаточной стоимости основных средств к их первоначальной (восстановительной) стоимости. 2.5 Коэффициенты обновления и выбытия. Коэффициент обновления показывает, какую часть от имеющихся на конец отчетного периода основных средств составляют новые основные средства. Коэффициент выбытия показывает, какая часть основных средств, с которыми фирма начала деятельность в отчетном периоде, выбыла из-за ветхости и по другим причинам. 2.6 Показатели изменения основных средств. По данным отчетности рассчитываются абсолютный и относительный приросты, а также темп роста основных средств по первоначальной (восстановительной) или остаточной стоимости. 1.2.1 Анализ состояния запасовСоздание материально-производственных запасов является необходимым условием обеспечения непрерывного производственно-коммерческого процесса. Запасы должны быть оптимальными. Излишние запасы приводят к необоснованному отвлечению средств из хозяйственного оборота. Недостаток запасов может привести к сокращению объема производства продукции и уменьшению суммы прибыли. Оба варианта ведут к ухудшению финансового положения предприятия. При изучении величины и структуры запасов основное влияние следует уделить выявлению тенденций их изменения. Для выявления излишних или дефицитных запасов следует фактические остатки материально-производственных ресурсов сопоставить с их плановой потребностью. По данным складского и аналитического учета определяется средний запас каждого вида материалов, сравнивается с нормативным, устанавливаются отклонения, их причины и принимаются меры по сокращению или пополнению запаса, необходимого для ритмичной работы предприятия. Рост запасов оценивается положительно, если сопровождается увеличением объема производства продукции. Опережающие темпы роста объема продажи продукции по сравнению с темпами роста производственных запасов приводят к ускорению оборачиваемости оборотных средств, к их высвобождению из хозяйственного оборота. Чем медленнее производственных запасы оборачиваются в процессе функционирования предприятия, тем больше требуется хозяйственных средств для продолжения производственно-хозяйственной деятельности предприятия. Для оценки оборачиваемости запасов используются показатели: 1. период оборота 2. количество оборотов Период оборота характеризует количество дней, в течение которых оплачиваются счета и реализуются материально-производственные запасы, т.е. показывает продолжительность цикла, в течение которого материально-производственные запасы превращаются в наличные денежные средства. Период оборота материально-технических запасов определяется по формуле[11] :
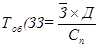
где, Тоб (З) - период оборота запасов, дней;
Вр - выручка от продажи продукции (работ, услуг) за анализируемый период (без учета налога на добавленную стоимость, акцизов и иных обязательных платежей), руб; Д - длительность анализируемого периода (за год - 360, 9 месяцев - 270, дней и т.д.) Информация о величине выручки от продажи содержится в форма №2 "Отчет о прибылях и убытках". Средняя величина запасов определяется по данным баланса как среднеарифметическая сумма на начало (Зн ) и конец (Зк ) анализируемого периода[12] :
Более точный расчет средних товарно-материальных запасов основан на данных о ежемесячных остатках материалов:
где Зn - величина запасов в n-м месяце, руб. Поскольку производственные запасы учитываются по стоимости их приобретения, то для более точного расчета периода оборота запасов можно использовать себестоимость реализованной продукции. Данный показатель исключает искажающее влияние на оборачиваемость отпускных цен и определяется по формуле[13] :
где Сn - полная себестоимость реализованной продукции (сумма всех затрат, вложенных в производство и реализацию продукции, включая коммерческие и управленческие расходы), руб. Коэффициент оборачиваемости запасов показывает число оборотов, которые совершают оборотные средства за анализируемы период, рассчитывается делением количества дней анализируемого периода на продолжительность одного оборота в днях:
где Коб (З) - коэффициент оборачиваемости запасов, раз. Ускорение оборачиваемости достигается за счет сокращения времени производства и времени обращения и оказывает положительный эффект на результаты деятельности предприятия. Эффективность оборачиваемости запасов устанавливается следующим образом:
где:
Д - длительность анализируемого периода, дней. 1.2.2 Анализ дебиторской задолженностиДебиторская задолженность - сумма долгов, причитающихся предприятию, от юридических или физических лиц в итоге хозяйственных взаимоотношений с ними. Обычно долги образуются от продаж в кредит. Дебиторская задолженность условно делится на два вида: нормальную и "неоправданную". Нормальная дебиторская задолженность возникает в следствии применяемых форм расчетов за товары и услуги, при выдаче средств под отчет на различные нужды, при предъявлении претензий другим предприятия и т.д. "Неоправданная" дебиторская задолженность возникает в следствии недостатков работы предприятия, например, при выявлении недостач и хищений товарно-материальных ценностей и денежных средств. Наличие крупной дебиторской задолженности следует рассматривать как фактор, отрицательно влияющий на финансовое положение предприятия, а рост ее в динамике свидетельствует о его ухудшении. Условием обеспечения финансовой устойчивости организации является превышение суммы дебиторской задолженности над суммой кредиторской задолженности. Для анализа дебиторской задолженности, кроме баланса, используют материалы первичного и аналитического бухгалтерского учета. В процессе анализа изучают динамику, состав, причины и сроки образования дебиторской задолженности; устанавливается сумма нормальной и просроченной задолженности. Обобщенным показателем качества задолженности является оборачиваемость. Рассмотрим показатели оборачиваемости согласно методике Дыбаль С.В. [14] Коэффициент оборачиваемости рассчитывается как отношение объема отгрузки по отпускным ценам (выручка от продажи без налога на добавленную стоимость) к средней величине дебиторской задолженности
где
Если в течение года величина выручки от продажи значительно изменялась по месяцам, то применяют уточненный способ расчета средней величины дебиторской задолженности, основанный на ежемесячных данных:
где Коэффициент показывает, сколько раз задолженность образуется в течение изучаемого периода, и характеризует скорость, с которой дебиторская задолженность будет превращена в денежные средства, то есть ликвидность предприятия. Оборачиваемость дебиторской задолженности может быть рассчитана в днях. Этот показатель отражает среднее количество дней, необходимых для ее возврата. Период оборота дебиторской задолженности
или Период оборота (погашения) дебиторской задолженности характеризует срок товарного кредитования потребителей продукции. Показатели оборачиваемости кредиторской задолженности сравниваются за ряд периодов или со средними показателями по отрасли, с условиями договоров. Сравнение фактической оборачиваемости с рассчитанной по условиям договоров дает возможность оценить степень своевременности платежей покупателей. Сокращение сроков погашения платежей приводит к ускорению оборачиваемости капитала. Сумма высвобожденных (-) или привлеченных (+) средств в результате изменения оборачиваемости дебиторской задолженности определяется формулой:
где
Существуют некоторые общие рекомендации, позволяющие управлять дебиторской задолженностью: 1. Постоянно контролировать состояние расчетов с покупателями, особенно по отсроченным задолженностям. 2. Установить определенные условия кредитования дебиторов, например: · покупатель получает скидку в 2% в случае оплаты полученного товара в течение 10 дней с момента получения товара; · покупатель оплачивает полную стоимость, если оплата совершается в период с 11-го по 30-й день кредитного периода; · в случае неуплаты в течение месяца покупатель будет вынужден дополнительно оплатить штраф, величина которого зависит от момента оплаты. Преимущество в предоставлении скидок покупателям в случае досрочной оплаты состоит не только в том, чтобы сократить объем дебиторской задолженность, но и в том, чтобы уменьшить объем финансирования. Кроме потерь от инфляции, возникающих в связи с несвоевременностью расчетов с покупателями, предприятие-поставщик несет потери, связанные с необходимостью обслуживания долга, а также с упущенной выгодой возможного использования временно свободных денежных средств. 1.2.3 Анализ источников формирования имуществаПассивы организации (т.е. источники финансирования ее активов) состоят из собственного капитала и резервов, долгосрочных заемных средств и краткосрочных заемных средств. Обобщенно источники средств можно поделить на собственные и заемные. Для общей оценки источников средств предприятия проводится анализ динамики состава и структуры пассива баланса, который дает возможность установить основные показатели, характеризующие финансово-экономическое состояние предприятия. С помощью сравнительного аналитического баланса можно получить наиболее общее представление об имевших место качественных изменениях агрегированных показателей в структуре пассива, а также динамике этих изменений. Источниками собственных средств предприятия являются: уставный капитал, добавочный капитал, резервный капитал, нераспределенная прибыль отчетного года и прошлых лет (III раздел пассива баланса). В составе собственных источников средств также отражается величина непокрытого убытка отчетного года или прошлых лет, сумма которого уменьшает величину собственного капитала предприятия. Увеличение доли собственных средств за счет любого из перечисленных источников способствует усилению финансовой устойчивости предприятия. К заемным источникам средств относятся кредиты банков, займы других организаций, займы физических лиц - учредителей фирмы, кредиторская задолженность. Кредиты и займы покрывают дополнительную потребность предприятия в средствах. Заемные средства с хозяйственной точки зрения являются источником имущества (актива), а с юридической - долгом предприятия. Привлечение заемных средств в оборот предприятия - нормальное явление. Это содействует временному улучшению финансового состояния при условии, что средства не замораживаются на продолжительное время в обороте и своевременно возвращаются. В то же время, если средства предприятия созданы в основном за счет краткосрочных обязательств, его финансовое положение будет неустойчивым. Появление просроченной кредиторской задолженности приводит к выплате штрафов, применения санкций и ухудшению финансового положения. Необходимость в собственном капитале обусловлена требованиями самофинансирования предприятий. Собственный капитал является основной независимости предприятия. Однако нужно учитывать, что финансирование деятельности предприятия только за счет собственных средств не всегда выгодно для него. Свободные средства лучше направить в другую область для получения дополнительного дохода. Следовательно, от того, насколько оптимально соотношение собственного и заемного капитала, во многом зависит финансовое положение предприятия. Оценка изменений, которые произошли в структуре капитала, может быть разной с позиции инвесторов и с позиции предприятия. Для банков и прочих инвесторов ситуация более надежная, если доля собственного капитала у клиента больше 50%. Это исключает финансовый риск. Различны также финансовые и правовые последствия, связанные с наличием у предприятия такого источника финансирования, как кредиторская задолженность. С одной стороны, она представляется доступным и относительно дешевым видом заемного финансирования. С другой стороны, как правило, кредиторская задолженность характеризуется относительно коротким периодом использования, ограничивающимся сроком от нескольких дней до нескольких месяцев (более продолжительная отсрочка платежа встречается как элемент договорных отношений крайне редко). Ограниченность срока кредиторской задолженности представляет собой фактор финансовой напряженности, поскольку задержка погашения обязательств может привести к негативным финансово-экономическим последствиям от убытков в виде штрафов и пеней до потери имущества или всего бизнеса в результате банкротства. Своевременное погашение кредиторской задолженности - важнейшая задача организации, а экономический анализ призван своевременно сигнализировать о неблагоприятных тенденциях, одна из которых - наличие просроченной кредиторской задолженности. На ликвидность предприятия значительное влияние оказывает срок предоставления кредита. Средний период предоставления кредита может быть исчислен по формуле:
или где 1.3 Анализ финансовой устойчивостиАнализ финансовой устойчивости организации, осуществляющей свою деятельность в условиях рыночной нестабильности и неопределенности существующих коммерческих рисков, в том числе и со стороны государства (процедура банкротства), становится одним из наиболее актуальных и приоритетных направлений аналитической работы[15] . Финансовая устойчивость предприятия характеризуется финансовой независимостью от внешних заемных источников, способностью предприятия маневрировать финансовыми ресурсами, наличием необходимой суммы собственных средств для обеспечения основных видов деятельности. Финансовая устойчивость - это состояние счетов предприятия, гарантирующее его постоянную платежеспособность. [16] Финансовая устойчивость предприятия - это способность субъекта хозяйствования функционировать и развиваться, сохранять равновесие своих активов и пассивов в изменяющейся внутренней и внешней среде, гарантирующее его постоянную платежеспособность и инвестиционную привлекательность в границах допустимого уровня риска. [17] Устойчивость финансового состояния предприятия оценивается системой абсолютных и относительных показателей на основе соотношения собственных и заемных средств предприятия по отдельным статьям актива и пассива его баланса. Согласно методике Дыбаль С.В. задачи анализа финансовой устойчивости включают в себя: Определение общей финансовой устойчивости; Расчет суммы собственных оборотных средств и выявление факторов, влияющих на ее динамику; Оценка финансовой устойчивости в части формирования запасов и затрат и всех оборотных активов; Определение типа финансовой устойчивости. Общую финансовую устойчивость характеризуют показатели: коэффициент автономии; коэффициент концентрации заемного капитала; коэффициент соотношения заемных и собственных средств. В зависимости от соотношения величин показателей материально-производственных запасов, собственных оборотных средств и иных источников формирования запасов можно с определенной степенью условности выделить следующие типы финансовой устойчивости[18] : 1. Абсолютная устойчивость финансового состояния, встречающаяся в настоящих условиях развития экономики России очень редко, представляет собой крайний тип финансовой устойчивости и задается условием: ЗиЗ < СОС, ( 1.17) где ЗиЗ - стоимость материальных запасов и затрат. Данное соотношение показывает, что все запасы и затраты полностью, покрываются собственными оборотными средствами, т.е. предприятие совершенно не зависит от внешних кредиторов. Однако такую ситуацию нельзя рассматривать как идеальную, поскольку она означает, что руководство предприятия не умеет, не хочет или не имеет возможности использовать внешние источники финансирования основной деятельности. 2. Нормальная устойчивость финансового состояния предприятия, гарантирующая его платежеспособность, соответствует следующему условию: ЗиЗ = СОС + ДП или СОС < ЗиЗ < СОС+ДП, ( 1.18) где ДП - долгосрочные пассивы (итог IV раздела пассива баланса). Приведенное соотношение соответствует положению, когда предприятие для покрытия запасов и затрат успешно использует и комбинирует различные источники средств, как собственные, так и привлеченные. 3. Неустойчивое (предкризисное) состояние, характеризуемое нарушением платежеспособности, при котором сохраняется возможность восстановления равновесия за счет пополнения источников собственных средств и увеличения СОС: СОС+ДП < ЗиЗ < СОС+ДП+КП, ( 1.19) где КП - краткосрочные пассивы (итог раздела V пассива баланса). Соотношение показывает, что сумма запасов и затрат превышает сумму СОС и долгосрочных заемных источников, но меньше суммы собственного оборотного капитала, долгосрочных и краткосрочных заемных источников. Для покрытия запасов и затрат используются собственные и привлеченные средства долгосрочного и краткосрочного характера. Финансовая неустойчивость считается нормальной (допустимой), если величина привлекаемых для формирования запасов и затрат краткосрочных кредитов и заемных средств не превышает суммарной стоимости производственных запасов и готовой продукции (наиболее ликвидной части запасов и затрат). 4. Кризисное финансовое состояние, при котором предпринимательская фирма находится на грани банкротства, так как денежные средства, краткосрочные ценные бумаги и дебиторская задолженность не покрывают даже ее кредиторской задолженности и просроченных ссуд: ЗиЗ > СОС + ДП+КП. ( 1.20) В двух последних случаях (неустойчивого и кризисного финансового положения) устойчивость может быть восстановлена оптимизацией структуры пассивов, а также путем обоснованного снижения уровня запасов и затрат. Для характеристики источников формирования запасов и затрат определяют три основных показателя: 1. Наличие собственных оборотных средств (СОС) как разница между капиталом и резервами (раздел III пассива баланса) и внеоборотными активами (раздел I актива баланса). Этот показатель характеризует чистый оборотный капитал. Его увеличение по сравнению с предыдущим периодом свидетельствует о дальнейшем развитии деятельности предприятия. В формализованном виде наличие собственных оборотных средств можно записать следующим образом: СОС = СК - ВА ( 1.21) 2. Наличие собственных и долгосрочных заемных источников формирования запасов и затрат (ДП), определяемое путем увеличения предыдущего показателя на сумму долгосрочных пассивов: (СК + ДП) - АВ = СОС + ДП, ( 1.22) 3. Общая величина основных источников формирования запасов и затрат, определяемая путем увеличения предыдущего показателя на сумму краткосрочных заемных средств: (СК + ДП) - АВ + КП=СОС+ДП+КП. ( 1.23) Трем показателям наличия источников формирования запасов и затрат (ЗиЗ) соответствуют три показателя обеспеченности запасов и затрат источниками их формирования: 1. Излишек (+) или недостаток (-) собственных оборотных средств (Фс ): ± Фс = СОС - ЗиЗ; 2. Излишек (+) или недостаток (-) собственных и долгосрочных заемных источников формирования запасов и затрат (Фт ): ± Фт = (СОС + ДП) - ЗиЗ; 3. Излишек (+) или недостаток (-) общей величины основных источников для формирования запасов и затрат (Фо ): ± Фо = (СОС + ДП + КП) - ЗиЗ. С помощью данных показателей можно определить трехкомпонентный показатель типа финансовой ситуации. Выделяют четыре типа финансовых ситуаций: 1. Абсолютная независимость финансового состояния отвечает следующим условиям: Фс ≥ 0; Фт ≥ 0; Фо ≥ 0; т.е. трехкомпонентный показатель типа ситуации: S={1,1,1}. 2. Нормальная независимость финансового состояния, которая гарантирует платежеспособность: Фс < 0; Фт ≥ 0; Фо ≥ 0, т.е. S={0,l,l}. 3. Неустойчивое финансовое состояние, сопряженное с нарушением платежеспособности, но при котором все же сохраняется возможность восстановления равновесия за счет пополнения источников собственных средств (за счет сокращения дебиторской задолженности, ускорений оборачиваемости запасов): Фс <0; Фт <0; Фо ≥0; т.е. S = {0,0,1}. 4. Кризисное финансовое состояние, при котором предприятие полностью зависит от заемных источников финансирования. Собственного капитала и долго - и краткосрочных кредитов и займов не хватает для финансирования материальных оборотных средств, это означает, что пополнение запасов идет за счет средств, образующихся в результате погашения кредиторской задолженности, т.е. S = {0,0,0}. 1.4 Ликвидность и платежеспособностьПлатежеспособность означает наличие у предприятия денежных средств и их эквивалентов, достаточных для расчетов по кредиторской задолженности, требующей немедленного погашения. Таким образом, основными признаками платежеспособности являются: а) наличие в достаточном объеме средств на расчетном счете; б) отсутствие просроченной кредиторской задолженности. [19] Понятия платежеспособности и ликвидности очень близки, но второе более емкое. От степени ликвидности баланса зависит платежеспособность. В то же время ликвидность характеризует как текущее состояние расчетов, так и перспективу. Предприятие может быть платежеспособным на отчетную дату, но иметь неблагоприятные возможности в будущем. Для оценки текущей платежеспособности используются относительные коэффициенты ликвидности, посредством которых определяется степень и качество покрытия краткосрочных долговых обязательств ликвидными активами. Иначе говоря, предприятие считается ликвидным, когда оно в состоянии выполнить свои краткосрочные обязательства, реализуя текущие активы. Основным критерием для классификации активов и пассивов как текущих является условие их потребления или оплаты в течение нормального производственно-коммерческого цикла предприятия. Для расчета коэффициентов абсолютной, быстрой и текущей ликвидности привлекаются данные бухгалтерского баланса. Величину текущих активов характеризуют статьи раздела II актива баланса. Сведения о краткосрочных обязательствах содержатся в разделе V пассива баланса. В состав краткосрочных долговых обязательств (КДО) входят кредиторская задолженность и краткосрочные заемные средства. 1. Коэффициент абсолютной ликвидности (Кал ) определяется отношением наиболее ликвидных активов - денежных средств (ДС) и краткосрочных финансовых вложений (КФВ) к сумме краткосрочных долговых обязательств по формуле:
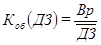
Он показывает, какая часть краткосрочных обязательств может быть погашена за счет имеющейся денежной наличности, в ближайшее время. В хозяйственной практике значение коэффициента абсолютной ликвидности признается достаточным в интервале 0,25-0,30. Если предприятие в текущий момент может на 25-30% погасить все краткосрочные долги, его платежеспособность считается нормальной. Если значение коэффициента ниже рекомендуемого уровня, это свидетельствует о серьезном дефиците свободных денежных средств. Ряд авторов рекомендует нормальное ограничение для данного показателя в диапазоне 0,2-0,5. [20] Для отечественных предприятий коэффициент абсолютной ликвидности, как правило, варьируется в пределах от 0,05 до 0,1. [21] 2. Коэффициент быстрой или критической ликвидности (Ккл ) определяется отношением суммы наиболее ликвидных средств и быстрореализуемых активов (краткосрочной дебиторской задолженности (ДЗ) и прочих текущих оборотных активов (ТАпр )) к сумме краткосрочных долговых обязательств по формуле:
Этот показатель характеризует ту часть текущих обязательств, которая может быть погашена не только за счет наличности, но и за счет ожидаемых поступлений за отгруженную продукцию, выполненные работы или оказанные услуги. Коэффициент критической ликвидности отражает прогнозируемые платежные возможности предприятия при условии своевременного проведения расчетов с дебиторами. Рекомендуемое значение данного показателя 0,8-1[22] . 3. Коэффициент текущей ликвидности (Ктл ), или общий коэффициент покрытия, равен отношению стоимости всех текущих оборотных активов (ТА) к величине краткосрочных долговых обязательств:
В состав оборотных активов входят наиболее ликвидные активы (денежные средства и краткосрочные финансовые вложения), активы быстрой реализации (краткосрочная дебиторская задолженность и прочие оборотные активы) и медленно реализуемые активы (запасы и затраты, налог на добавленную стоимость, долгосрочная дебиторская задолженность). Коэффициент текущей ликвидности дает общую оценку ликвидности предприятия, показывая, сколько рублей оборотных средств (текущих активов) приходится на один рубль текущей кредиторской задолженности (текущих обязательств). Значение показателя может значительно варьироваться по отраслям и видам деятельности, а его разумный рост в динамике обычно рассматривается как благоприятная тенденция. Условное нормативное значение коэффициента варьируется от 1,5 до 2. Показатели ликвидности не только дают характеристику платежеспособности предприятия при разной степени учета ликвидных средств. Каждый показатель ликвидности представляет интерес для определенного круга хозяйственных партнеров. Например, для поставщиков материально-производственных ресурсов наибольший интерес представляет коэффициент абсолютной ликвидности. Значение данного коэффициента дает информацию о наличии денежных средств в момент предполагаемых расчетов за поставку сырья и материалов и оказывает влияние на выбор форм расчетов между партнерами. Коммерческий банк, предоставляя кредит предприятия, пристальное внимание обращает на значение коэффициента быстрой ликвидности, так как сумма дебиторской задолженности может быть использована в качестве залога при выдаче ссуды. Товарные ссуды могут выдаваться в обмен на векселя, учитываться в процессе взаимозачетов и переуступке требований. Акционеры предприятия, так же как и все хозяйственные партнеры, заинтересованы в стабильном финансовом состоянии предприятия, которое оценивается по коэффициенту текущей ликвидности. Именно этот коэффициент показывает, в какой мере активы предприятия способны покрыть его текущие долги. 1.5 Финансовые результаты деятельности предприятияФинансовые результаты деятельности предприятия характеризуются показателями полученной прибыли (убытка) и уровня рентабельности. Важнейшими из них являются показатели прибыли, создающие основу экономического развития фирмы, за счет прибыли погашаются долговые обязательства предприятия перед кредиторами и инвесторами. Прибыль характеризует достигнутый уровень эффективности использования основных и оборотных средств (через относительные показатели рентабельности), реализуемости производимой продукции, себестоимости. Также она является основным источником формирования доходов государственного и территориального бюджетов. Прибыль - часть чистого дохода предприятия, созданного в процессе производства и реализованного и реализованного в сфере обращения. Только после продажи продукции чистый доход принимает форму прибыли. Количественно она представляет собой разность между выручкой и полной себестоимостью готовой продукции. Хозяйствующие субъекты получают прибыль главным образом от реализации продукции, работ, услуг, а также других видов деятельности: сдачи в аренду основных фондов, коммерческой деятельности на фондовых и валютных рынках и т.д. Для анализа финансовых результатов деятельности предприятия используют информацию, содержащуюся в отчетной форме №2 "Отчет о прибылях и убытках", рекомендованной к применению в организациях приказом Минфина России от 22.07.2003 г. №67н "О формах бухгалтерской отчетности организаций". Отчет о прибылях и убытках позволяет увидеть результаты, полученные от всех видов деятельности, установить структуру прибыли и динамику показателей (Приложение 2). Анализ финансовых результатов включает оценку следующих показателей прибыли: валовой, прибыли от продаж, прибыли до налогообложения, чистой прибыли предприятия. Конечный финансовый результат слагается из финансового результата по обычным видам деятельности, а также прочих доходов и расходов. Основными задачами анализа финансовых результатов деятельности предприятия являются: Оценка структуры и динамики показателей прибыли за анализируемый период; Факторный анализ показателей прибыли; Анализ финансовых результатов от прочей реализации, внереализационной и финансовой деятельности и выявление факторов и причин изменения показателей; Оценка динамики показателей рентабельности и анализ факторов, воздействующих на уровень использования хозяйственных средств; Анализ затрат, произведенных организацией, и затрат на рубль товарной продукции. Результаты анализа используются для принятия экономических решений, направленных на эффективное использование ресурсов, выбор наилучшего варианта инвестиций, обоснование перспективы развития предприятия. Основную часть прибыли предприятие получает от реализации продукции, товаров, работ и услуг. Увеличение объема продаж рентабельной продукции приводит к увеличению прибыли и улучшению финансового состояния предприятия. Рост объема реализации убыточной продукции влияет на уменьшение суммы прибыли. Структура товарной продукции также может оказывать как положительное, так и отрицательное влияние на сумму прибыли. Если увеличится доля более рентабельных видов продукции в объеме реализации, то сумма прибыли возрастет, и, наоборот, при увеличении удельного веса низкорентабельной или убыточной продукции общая сумма прибыли уменьшится. Себестоимость продукции и прибыль находятся в обратно пропорциональной зависимости: снижение себестоимости приводит к соответствующему росту суммы прибыли, а ее рост - к падению. Изменение среднего уровня реализационных цен на продукцию и величина прибыли находятся в прямо пропорциональной зависимости: при увеличении уровня цен сумма прибыли возрастет, и наоборот. Повышение цен на сырье, материалы, топливо способствуют увеличению себестоимости и снижению суммы прибыли. Таким образом, прибыль от продажи товарной продукции в общем случае находится под воздействием таких факторов, как изменении объема реализации, структуры продукции, отпускных цен на реализованную продукцию, цен на сырье, материалы, топливо, тарифов на энергию и перевозки, уровня затрат материальных и трудовых ресурсов. Проведение факторного анализа прибыли от продажи позволяет оценить резервы повышения эффективности производства и сформировать управленческие решения по использованию производственных факторов. Для оценки финансового состояния предприятия необходимо провести анализ, который позволяет выявить, насколько эффективно предприятие использует свои оборотные средства. Оборотные активы - важнейшая экономическая категория, которая отражает стоимостную оценку оборотных средств организации, оптимальность объема, состава и структуры которых в значительной степени влияют на устойчивость ее финансового положения. В то же время оборотные активы являются одной из главных составляющих ресурсного потенциала предприятия в целом. Оборотные средства, находясь в постоянном движении и обеспечивая кругооборот средств, постоянно меняют свою материально-вещественную форму. Оборотные активы ограничены сроком использования до 12 месяцев (или периодом одного производственного цикла) и в процессе кругооборота капитала полностью переносят свою стоимость на себестоимость продукции, изменяя свою первоначальную форму. Оборотные активы формируются за счет оборотного капитала предприятия, одна часть которого финансируется за счет собственных источников (собственный оборотный капитал). Источником другой части служат заемные средства (как правило, краткосрочные обязательства). На длительность нахождения средств в обороте влияют факторы внешнего ии внутреннего характера[23] . К внешним факторам относятся: сфера деятельности организации, отраслевая принадлежность, масштабы организации, экономическая ситуация в стране и связанные с ней условия хозяйствования. К внутренним факторам относится ценовая политика организации, структура активов, методика оценки запасов. Показатели оборачиваемости оборотных активов представляются в виде коэффициентов отражающих количество оборотов, совершенных активами, а также в виде показателей средней продолжительности их одного оборота (в днях). Показатели оборачиваемости характеризуют эффективность использования оборотных активов и определяются по каждой статье раздела II бухгалтерского баланса и по его итогу, и могут рассчитываться за год, квартал, месяц. Для определения оборачиваемости оборотных средств используются следующие показатели[24] : 1. Продолжительность одного оборота в днях (Тоб ) представляет собой отношение суммы среднего остатка оборотных средств к сумме однодневной выручки за анализируемый период. Продолжительность одного оборота показывает средний срок, за который возвращаются в хозяйственный оборот денежные средства, вложенные в производственно-коммерческие операции. Для расчета показателя используется формула:
Средняя величина текущих активов определяется по балансу по формуле средней арифметической:
2. Коэффициент оборачиваемости средств (Коб ) характеризует размер объема выручки от продажи продукции в расчет на один рубль оборотных активов:
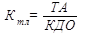
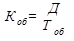
Рост коэффициента оборачиваемости свидетельствует о более эффективном использовании оборотных средств. Коэффициент оборачиваемости одновременно показывает число оборотов, которые совершают оборотные средства за анализируемый период, и может быть рассчитана делением количества дней анализируемого периода на продолжительность одного оборота в днях:
Коэффициент загрузки (закрепления) средств в обороте характеризует сумму оборотных средств, авансируемых на один рубль выручки от продажи продукции:
Чем меньше коэффициент загрузки, тем эффективнее используются оборотные средства. Экономический эффект в результате ускорения оборачиваемости выражается в относительном высвобождении средств из оборота, а также в увеличении суммы прибыли. Сумма высвобожденных средств из оборота за счет ускорения оборачиваемости
Для оценки эффективности использования ресурсов, потребленных в процессе производства, применяются показатели рентабельности. Показатели измеряются в относительных величинах (процентах, коэффициентах). Показатели рентабельности объединяются в несколько групп: 1) Показатели, характеризующие рентабельность издержек производства; 2) Показатели, характеризующие рентабельность продаж; 3) Показатели, характеризующие доходность капитала и его частей. Показатели рентабельности[25] : 1. Рентабельность затрат (Rз) характеризуется отношением прибыли от продажи продукции (Пр) к полной себестоимости реализованной продукции (Сп), %: Rз = (Пр / Сп) * 100% (1.33) где Сп - общая сумма затрат на производство и реализацию продукции, или: Rз = (Пр / (Ср + Ру + Рк)) * 100% (1.34) Коэффициент показывает уровень прибыли на 1 рубль затраченных средств. Рассчитывается в целом по предприятия, отдельным его подразделениям или видам продукции. 2. Рентабельность продаж (Rп) измеряется отношением величины прибыли к объему продаж. Объем продаж выражается показателем выручки от продажи продукции за минусом налога на добавленную стоимость, акцизов и аналогичных обязательных платежей. Рентабельность продаж характеризует эффективность предпринимательской деятельности: показывает, сколько получено прибыли с рубля продаж. В зависимости от показателя прибыли различают рентабельность продаж: 2.1 Как отношение прибыли от продажи (Пр) к выручке от продажи (Rпр), %: Rпр = (Пр / Вр) * 100% (1.35) 2.2 Как отношение прибыли до налогообложения (Пн) к выручке от продажи (Rн),%: Rн = (Пн /Вр) * 100% (1.36) 2.3 Как отношение чистой прибыли (Пч) к выручке от продажи (Rч),%: Rч = (Пч /Вр) * 100% (1.37) 3. Коэффициенты рентабельности капитала исчисляются отношением величины прибыли к среднегодовой величине капитала и его основных частей. При расчете коэффициентов используется прибыль до налогообложения (Пн), чистая прибыль (Пч). В зависимости от вида капитала различают показатели рентабельности: 3.1 Рентабельность всего имущества (Rи) - как отношение прибыли до налогообложения предприятия к среднегодовой стоимости имущества предприятия, %: Rи = (Пн / Иср) * 100% (1.38) где Иср - среднегодовая стоимость имущества предприятия, определяемая по данным актива баланса как среднеарифметическая величина на начало и конец анализируемого периода, руб.: Иср = (Вбн + Вбк) * 0,5 (1.39) где Вбн, Вбк - валюта баланса (стоимость имущества), которая равна сумме итогов раздела I и II актива баланса соответственно на начало и конец отчетного периода. Коэффициент показывает, сколько денежных единиц прибыли получено предприятием с единицы стоимости имущества (активов) независимо от источников привлечения средств. 3.2 Рентабельность собственного капитала (Rск) исчисляется отношением чистой прибыли к среднегодовой стоимости собственного (акционерного) капитала, %: Rск = (Пч / СКср) * 100% (1.40) где Скср - среднегодовая стоимость собственного капитала, определяемая как среднеарифметический итог собственных источников средств предприятия (итог III раздела пассива баланса) на начало (СКн) и конец (СКк) анализируемого периода, руб.: СКср = (СКн + СКк) * 0,5 (1.41) Показатели рентабельности характеризуют относительную долю или прибыльность различных направлений деятельности предприятия. Они более полно, чем прибыль, отражают окончательные результаты хозяйствования, так как их величина показывает соотношение эффекта с наличными или использованными ресурсами. 2. Анализ хозяйственной деятельности ЗАО "Стройкомплект"2.1 Оценка состава и структуры имущества и источников его формированияНа первом этапе на основе методов горизонтального и вертикального анализа бухгалтерского баланса (Приложение 1) проводим оценку имущественного состояния ЗАО "Стройкомплект" и источников его формирования, а также определяем коэффициенты автономии, концентрации заемного капитала, соотношения заемного и собственного капитала. 2.1.1 Анализ состава и структуры имущества ЗАО "Стройкомплект"Данные для анализа состава и структуры имущества ЗАО "Стройкомплект" отражены в таблице 1. Таблица 1 Анализ состава и структуры имущества ЗАО "Стройкомплект"
Как видно из таблицы 1, общая стоимость имущества ЗАО "Стройкомплект" увеличилась за отчетный период на 25 478 тыс. руб., или на 43, 20%. Это произошло за счет прироста стоимости внеоборотных активов на 6 226 тыс. руб. или на 11,9%, и значительного увеличения стоимости оборотных активов (мобильного имущества) на 19 252 тыс. руб. или 297,2%. В составе внеоборотных активов имело место увеличение стоимости всех видов имущества. Наибольший прирост произошел по статье "Незавершенное строительство" 4 993 тыс. руб. или 515,3%. Это может быть связано с: 1. приобретением основных средств, которые не были введены в эксплуатацию по состоянию на балансовую дату; 2. приобретением нематериальных активов, еще не принятых к учету (например, находящихся на стадии регистрации); 3. приобретением оборудования (технологического, энергетического, производственного), требующего монтажа; 4. приобретением оборудования, переданного в монтаж, но не смонтированного; 5. незаконченным капитальным строительством; 6. законченными объектами капитального строительства, которые не прошли государственную регистрацию; 7. авансами, выданными застройщику, а также другие авансовые платежи или капитальные вложения; 8. проведением научно-исследовательских и опытно-конструкторских работ, которые не завершены на балансовую дату. Удельный вес в валюте баланса незавершенного строительства увеличился не значительно - 5,4%. Данные активы не участвуют в производственном обороте, и, следовательно, при определенных условиях увеличение их суммы может негативно сказаться на результатах финансово-хозяйственной деятельности. Увеличение долгосрочных финансовых вложений на 690 тыс. руб. или 310,8% связано с развитием инвестиционной деятельности, в том числе это может быть связано с: 1. приобретением государственных и муниципальных ценных бумаг; 2. приобретением ценных бумаг других организаций, в том числе долговые ценные бумаги, в которых дата и стоимость погашения определена (облигации, векселя); 3. вкладами в уставные (складочные) капиталы других организаций (в том числе дочерних и зависимых хозяйственных обществ); 4. предоставлением другим организациям займов; 5. депозитными вкладами в кредитных организациях; 6. дебиторской задолженностью, приобретенной на основании уступки права требования; 7. вкладами организации-товарища по договору простого товарищества и пр. [26] Развитие инвестиционной деятельности оправдано, если приносит предприятию доход. Следует сопоставить величину дохода от инвестиционной деятельности с размером инвестиций, т.е. установить эффективность вложений. Если предприятие неплатежеспособно, необходимо пересмотреть отвлечение средств из основной производственной деятельности в данный вид вложений. Стоимость основных средств увеличилась на 453 тыс. руб. или 0,9%. Это может быть связано с развитием материально-технической базы предприятия, или результатом переоценки основных средств. Однако удельный вес основных средств в валюте баланса значительно снизился с 83,7% до 59%, т.е. на 24,7%. Доля основных средств в совокупных активах на конец анализируемого периода составляет 59% (более 40%), а значит, предприятие имеет "тяжелую" структуру активов, что свидетельствует о значительных накладных расходах и высокой чувствительности к изменениям выручки. Доля нематериальных активов в составе имущества ЗАО "Стройкомплект" не велика. Но за отчетный период произошло их увеличение на 90 тыс. руб. или 4,7%. Это может быть связано с развитием инновационной деятельности: вложение капитала в патенты, исключительные права на изобретения, товарные знаки и другую интеллектуальную собственность. Однако удельный вес в валюте баланса уменьшился на 0,9% и на конец отчетного периода составляет 2,4%. Прирост оборотных активов произошел в связи с увеличением материально-производственных запасов, дебиторской задолженности, размещением капитала в краткосрочных вложениях, за счет увеличение денежных средств. Их стоимость увеличилась на 19 252 тыс. руб., или 297,2%. Удельный вес оборотных активов значительно увеличился на 19,5% и на конец периода составил 30,5%. Наибольшее приращение мобильного имущества обеспечено увеличением запасов материальных ресурсов, сумма которых возросла на 14 993 тыс. руб., или на 263,5%. На конец периода их удельный вес составил 24,5%, т.е. значительную часть всех оборотных активов. Увеличение по сравнению с началом года произошло на 14,9%. Можно предположить, увеличение стоимости материально-производственных запасов в сумме со значительным приростом стоимости незавершенного строительства, связано с проведением на предприятии мероприятий по увеличению производственных мощностей. То есть предприятие готовится к увеличению выпуска продукции, а, следовательно, ему необходимы запасы. Однако, если эти расходы неоправданны, это может привести к росту издержек и к "замораживанию" денежных средств, отвлечению их из хозяйственного оборота. А это негативно скажется на платежеспособности предприятия. Значительно увеличилась дебиторская задолженность - на 2 494 тыс. руб. или 1696,6%. Прирост дебиторской задолженности может быть следствием: 1. увеличения задолженности покупателей и заказчиков за отгруженные им товары (работы, услуги); 2. увеличения суммы авансов, выданных поставщикам; 3. увеличения задолженности подотчетных лиц по выданным им авансам; 4. увеличения задолженности бюджета и внебюджетных фондов перед предприятием в случае излишней уплаты (переплаты) налогов и платежей в бюджет или фонды. Это является негативным изменением и свидетельствует об отвлечении части текущих активов и иммобилизации части оборотных средств из производственного процесса. В отчетном периоде наблюдается появление краткосрочных финансовых вложений. Их сумма составила 122 тыс. руб. Это говорит о вложениях в акции, облигации и другие ценные бумаги, предоставлении кредита другим организациям, осуществленные на срок не более 1 года. Однако удельный вес краткосрочных финансовых вложений в валюте баланса очень мал, и составляет 0,2%. Денежные средства увеличились на 651 тыс. руб. или 357,7%. Это положительно сказывается на платежеспособности предприятия. Однако удельный вес возрос не много - на 0,7% и на конец отчетного периода составляет 1%. В ходе анализа показателей структурной динамики установлено, что на конец отчетного периода 69,5% составляют внеоборотные активы и 30,5% - оборотные активы. В составе внеоборотных активов наибольшую долю занимают основные средства (59%), а в составе оборотных активов - материально-производственные запасы (24,5%), дебиторская задолженность (3,1%). Следует обратить внимание на невысокий удельный вес денежных средств в составе оборотных активов и значительный удельный вес запасов и основных средств. В ходе анализа определяется стоимость реальных активов, характеризующих производственный потенциал предприятия, которая включает: основные средства, производственные запасы и незавершенное производство. Стоимость реальных активов, характеризующих производственный потенциал предприятия, составила, по данным бухгалтерского баланса на начало года, 52 931 тыс. руб., 89,75% к общей сумме капитала, на конец года - 63 642 тыс. руб., 75,36%. Стоимость реальных активов на начало года = 49 383 тыс. руб. + 2 995 тыс. руб. + 553 тыс. руб. = 52 931 тыс. руб. Стоимость реальных активов на конец года = 49 836 тыс. руб. +11 645 тыс. руб. +2 161 тыс. руб. = 63 642 тыс. руб. За отчетный год произошло повышение стоимости реальных активов, это позволяет говорить о том, что у предприятия существуют возможности для расширения объемов производственной деятельности. Таким образом, за отчетный период в ЗАО "Стройкомплект" наблюдалось увеличение стоимости имущества предприятия. Темп прироста мобильных средств 297,2% значительно превысил темп прироста внеоборотных активов 11,9%, что определяет тенденцию к ускорению оборачиваемости наиболее ликвидных средств предприятия. К отрицательным тенденциям, выявление которых может свидетельствовать об ухудшении финансового состояния предприятия в будущем, относятся: увеличение доли дебиторской задолженности в валюте баланса на конец отчетного периода; увеличение незавершенного строительства; незначительная доля денежных средств в валюте баланса. К положительным тенденциям, выявление которых может свидетельствовать об улучшении финансового состояния предприятия в будущем, следует отнести следующие: увеличение валюты баланса; темпы роста оборотных активов выше, чем темпы прироста внеоборотных активов. Структура и динамика активов представлена на рисунках 2.1, 2.2, 2.3, 2.4, 2.5.
Рисунок 2.1 Структура стоимости внеоборотных и оборотных активов ЗАО "Стройкомплект",%
Рисунок 2.2 Динамика стоимости внеоборотных активов ЗАО "Стройкомплект", тыс. руб.
Рисунок 2.3 Структура внеоборотных активов ЗАО "Стройкомплект", %
Рисунок 2.4 Динамика стоимости оборотных активов ЗАО "Стройкомплект", тыс. руб.
Рисунок 2.5 Структура оборотных активов ЗАО "Стройкомплект", % 2.1.2 Анализ состояния запасовБольшое влияние на финансовое состояние предприятия и его производственные результаты оказывает состояние производственных запасов, объемов должен быть оптимальным, чтобы не снижать ликвидность оборотных активов. Увеличение удельного веса запасов в структуре оборотных активов может свидетельствовать о: расширении масштабов деятельности предприятия; стремлении защитить денежные средства от обесценивания под воздействием инфляции неэффективном управлении запасами, вследствие чего значительная часть капитала замораживается на длительное время в запасах, замедляется его оборачиваемость. В то же время недостаток запасов сырья, материалов, топлива, также отрицательно сказывается на производственных и финансовых результатах деятельности предприятия, так как может привести к сокращению объема производства продукции и уменьшению суммы прибыли. Поэтому производство вовремя и в полном объеме должно обеспечиваться необходимыми ресурсами, которые не залеживаются на складах. При изучении величины и структуры запасов основное внимание следует уделить выявлению тенденции их изменения. Анализ состояния запасов ЗАО "Стройкомплект" представлен в таблице 2. Таблица 2 Анализ состояния запасов ЗАО "Стройкомплект"
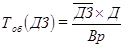
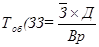
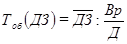
Как видно из таблицы 2, запасы товарно-материальных ценностей в целом повысились за анализируемый период на 14 993 тыс. руб., или на 263,5%. Увеличение запасов имело место по всем видам материальных оборотных средств. Основной прирост запасов произошел по статье "Сырье, материалы и другие аналогичные ценности", сумма которых возросла 8 650 тыс. руб. или 288,8%. Возросли запасы готовой продукции и товаров для перепродажи на 1 896 тыс. руб., или 132,1%. Это может быть результатом повышения цен, падения потребительского спроса, потери рынков сбыта в связи с конкуренцией, низкого качества продукции или неритмичного выпуска. Увеличение остатков готовой продукции на складах предприятия приводит также к длительному замораживанию оборотного капитала, отсутствию денежной наличности, потребности в кредитах и уплаты процентов по ним, росту кредиторской задолженности поставщикам, бюджету, работникам предприятия по оплате труда и т.д. В настоящее время это одна из основных причин спада производства, снижения его эффективности, низкой платежеспособности предприятий и их банкротства. Товары отгруженные возросли на 1 846 тыс. руб. или 269,1%. Затраты в незавершенном производстве увеличились на 1 608 тыс. руб., или 290,8%. Увеличение остатков незавершенного производства может свидетельствовать, с одной стороны, о расширении производства, а с другой - о замедлении оборачиваемости капитала в связи с увеличением продолжительности производственного цикла. Так же возросла сумма расходов будущих периодов на 993 тыс. руб. или 4 728,6%. Анализ структурной динамики показывает, что наибольший удельный вес в составе запасов занимают остатки сырья и материалов, доля которых повысилась на конец отчетного периода на 3,7% и составляет 56,3%. Возросла доля затрат в незавершенном производстве (с 9,7% до 10,5% - на 0,8%) и расходах будущих периодов (с 0,4% до 4,9% - на 4,5%). Удельный вес остатков готовой продукции снизился на 9,1% (с 25,2% до 16,1%), а товаров отгруженных повысился на 0,1%. Для оценки структуры запасов товарно-материальных ценностей следует использовать коэффициент накопления (Кн ). Он определяется отношением суммарной стоимости производственных запасов (ПЗ), незавершенного производства (НП), расходов будущих периодов (РБ) к стоимости готовой продукции (ГП), и товаров отгруженных (Т) по формуле[27] : Кн = (ПЗ + НП + РБ) / (ГП + Т) (2.1) Коэффициент накопления характеризует уровень мобильности запасов товарно-материальных ценностей и при оптимальном варианте он должен быть менее 1. Данное соотношение справедливо только в том случае, если продукция предприятия конкурентоспособна и пользуется спросом. о данным баланса ЗАО "Стройкомплект" коэффициент накопления запасов на начало периода составляет: Кн = (ПЗ + НП + РБ) / (ГП + Т) = (2995 + 553 + 21) / (1435 + 686) = 1,68 На конец периода: Кн = (ПЗ + НП + РБ) / (ГП + Т) = (11645 + 2161 + 1014) / (3331 + 2532) = 2,53 Расчеты показывают, что коэффициенты накопления значительно выше рекомендуемой величины, которая не должна быть меньше 1. Это свидетельствует о неблагоприятной структуре запасов предприятия, о наличии излишних или ненужных производственных запасов, неоправданном росте остатков незавершенного производства. В тоже время на предприятии может проводиться политика сознательного накопления сырьевых запасов в связи с перебоями в снабжении и инфляционными процессами, а также в целях дальнейшего роста объема производства продукции. Анализ оборачиваемости материально-производственных запасов ЗАО "Стройкомплект" представлен в таблице 3. Таблица 3 Анализ оборачиваемости материально-производственных запасов
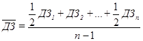
Примечание. Показатели* - условные, остальные показатели, характеризующие запасы на начало и конец отчетного периода, соответствуют бухгалтерскому балансу за отчетный период (Приложение 1). Как видно из таблицы 3 срок хранения товарно-материальных ценностей за отчетный период увеличился по всем статьям и составляет на конец года 80,8 дней, т.е. увеличение произошло на 43,2 дня. Наименьший срок хранения имеют остатки товаров отгруженных. Однако и их период хранения увеличился на 3,9 дня и на конец года составляет 9,9 дней. Наибольший срок хранения имеют запасы сырья и материалов. Увеличение периода оборота с 17,1 дней до 44,8 дня (т.е. на 27,7 дней) свидетельствует о накоплении сырьевых ресурсов на предприятии. За отчетный период коэффициент оборачиваемости товарно-материальных ценностей уменьшился на 5,1 раз, и составляет на конец отчетного периода 4,5 раза. То есть, за отчетный период число оборотов товарно-материальных запасов снизилось на 5,1. Это свидетельствует о замедлении превращения запасов в денежные средства. В связи с этим за отчетный период было дополнительно привлечено в оборот 7052,2 тыс. руб. ± Δ ОС (З) = (Тоб (З) 1 - Тоб (З) 0 ) * Вр1/ Д = (80,8 - 37,6) * 58768/360) = 7052,2 тыс. руб. и за год - на сумму 31 734,9 тыс. руб. (7052,2*4,5). 2.1.3 Анализ дебиторской задолженностиПо данным баланса ЗАО "Стройкомплект" видно, что дебиторская задолженность на начало периода составляла 147 тыс. руб., за анализируемый период она повысилась на 2 494 тыс. руб., и на конец отчетного периода составляет 2 641 тыс. руб. Темп прироста за период составляет 1 696,6%. Она представлена дебиторской задолженностью, платежи по которой ожидаются в течение 12 месяцев после отчетной даты, т.е. краткосрочной дебиторской задолженностью. Обобщенным показателем качества дебиторской задолженности является оборачиваемость. Проведем анализ оборачиваемости дебиторской задолженности ЗАО "Стройкомплект" в таблице 4. Таблица 4 Анализ оборачиваемости дебиторской задолженности
Примечание . Показатели * - условные, остальные показатели соответствуют данным баланса (Приложение 1). Как видно из таблицы 4 состояние расчетов с покупателями и заказчиками за отчетный период по сравнению с предыдущим годом ухудшилось. Период погашения дебиторской задолженности за год повысился на 7,4 дня, и составляет на конец отчетного периода 8,5 дней. Коэффициент оборачиваемости снизился на 284,9 раз, это говорит о том, что скорость превращения дебиторской задолженности в денежные средства упала, то есть ликвидность предприятия ухудшилась. Доля дебиторской задолженности в объем объеме текущих активов возросла на 7,3% и составила к величине текущих активов 8,7%. Увеличение средств, отвлекаемые в расчеты с покупателями может быть обусловлено объективными процессами: высокими темпами наращивания объема продаж. При этом важно не допускать, чтобы темп роста дебиторской задолженности превышал темп роста продаж. Опаснее, когда рост дебиторской задолженности обусловлен неосмотрительной кредитной политикой организации по отношению к покупателям, необоснованным с финансовой точки зрения выбором партнеров; трудностями в реализации продукции. В результате замедления оборачиваемости дебиторской задолженности произошло дополнительное привлечение хозяйственных средств в оборот на сумму 1 208 тыс. руб. ( (8,5 - 1,1) * 58768/360) - за один оборот и за год - 51 219,2 тыс. руб. (1208 * 42,4). 2.1.4 Анализ состава и структуры источников формирования имуществаНаряду с анализом структуры активов для оценки финансового состояния необходим анализ структуры пассивов, т.е. источников средств, вложенных в имущество. Вложения в имущество могут быть за счет собственных или заемных средств. Важно понимать, куда вкладываются средства - в основные фонды или другие внеоборотные активы или в мобильные оборотные средства. С финансовой точки зрения повышение уровня мобильности имущества благоприятно для предприятия. Но это не означает, что все средства должны направляться на рост оборотных активов. Каждое предприятие, в зависимости от профиля деятельности, специфических особенностей, технического уровня и социального развития, совершенствует технику, осуществляет капитальное строительство, т.е. вкладывает средства во внеоборотные активы. Если в результате вложений повышается общая эффективность деятельности предприятия, значит, они целесообразны. Сведения о капитале (средствах) предприятия находятся в пассиве бухгалтерского баланса. Данные для анализа состава и структуры источников формирования имущества ЗАО "Стройкомплект" отражены в таблице 5. Таблица 5 Анализ состава и структуры источников формирования имущества
Как видно из таблицы 5, возрастание стоимости имущества предприятия за отчетный период на 25 478 тыс. руб. (43,2%) обусловлено увеличением заемных средств на 23 693 тыс. руб. (306,8%) и собственных средств на 1 785 тыс. руб. (3,5%). Из этого следует, что увеличение объема финансирования деятельности предприятия на 93% (23 693/25 478*100%) обеспечено заемными средствами и на 7% (1 785/25478*100%) - собственными средствами (капиталом). Структура собственного и заемного капитала ЗАО "Стройкомплект" представлена на рисунке 2.6.
Рисунок 2.6 Структура собственного и заемного капитала ЗАО "Стройкомплект",%. Доля собственного капитала в общем объеме финансирования значительно снизилась с 86,9% на начало периода до 62,8% на конец года, то есть на 24,1%. Рост собственного капитала обусловлен увеличением добавочного капитала на 782 тыс. руб. (49 413 тыс. руб. - 48 631тыс. руб.) и увеличением нераспределенной прибыли на 1 003 тыс. руб. (3 298 тыс. руб. - 2 295 тыс. руб.). Уставный капитал и резервный остались без изменений. Структура капитала представлена на рис.2.6. Удельный вес заемного капитала соответственно повысился с 13,1% на начало периода до 37,2% на конец периода, то есть на 24,1%. Это говорит об увеличении зависимости предприятия от третьих лиц - кредиторов. Заемные средства представлены краткосрочными кредитами и займами и кредиторской задолженностью. В отчетном периоде наблюдается тенденция их увеличения. Краткосрочные кредиты и займы увеличились на 2 329 тыс. руб. или 431,3%. Доля их в общей сумме привлеченных средств к концу отчетного периода составила 9,1% (2 869/31 415*100%). Главным источником внешнего финансирования является кредиторская задолженность, абсолютная сумма которой возросла на 21 364 тыс. руб. (297,5%). Ее удельный вес в общей сумме капитала составил 33,8%, а в сумме заемных источников - 90,9% (28 546/31 415*100%). За данный период ЗАО "Стройкомплект" не имело долгосрочных кредитов и займов. Динамика источников формирования имущества ЗАО "Стройкомплект" представлена на рисунке 2.7.
Рисунок 2.7 Динамика источников формирования имущества, тыс. руб. Поскольку преимущественная доля в формировании заемных источников финансирования принадлежит кредиторской задолженности, целесообразно изучить ее состав и структуру, произошедшие изменения. Для анализа финансовой ситуации и наметившихся тенденциях следует детально проанализировать состояние и динамику кредиторской задолженности. Структурно-динамический анализ кредиторской задолженности организации предполагает проведение горизонтального (динамического) и вертикального (структурного) анализа. По данным бухгалтерского баланса составляется аналитическая таблица, в которой рассчитываются абсолютные и относительные отдельных видов обязательств, а также изменения их структуры (Таблица 6). Таблица 6 Анализ состава и структуры кредиторской задолженности
Как видно из таблицы 6, за анализируемый период наблюдается тенденция увеличения кредиторской задолженности по всем видам расчетов. Более половины объема кредиторской задолженности (56,9%) составляют обязательства перед поставщиками за товары, работы, услуги. Сумма этих долгов возросла по сравнению с началом года на 10 310 тыс. руб. (173,7%). Возросла задолженность перед персоналом по оплате труда на 2 799 тыс. руб. (809%). Наибольшие темпы прироста по кредиторской задолженности перед государственными внебюджетными фондами на 3 593 тыс. руб. (1414,6%), Сумма долгов перед бюджетом выросла на 3 240 тыс. руб. (778,8%). Сумма расчетов к оплате с прочими кредиторами увеличилась на 1 422 тыс. руб., или 618,3%. В процессе анализа кредиторской задолженности необходимо изучить давность ее появления, частоту и причины образования просроченной задолженности поставщикам ресурсов, персоналу предприятия по оплате труда, бюджету, установить сумму выплаченных санкций за просрочку платежей. Любой факт просроченной задолженности является негативным. В целом, задолженность можно условно разделить на срочную и спокойную. В данном случае произошло резкое увеличение срочной задолженности: перед бюджетом, внебюджетными фондами и по оплате труда. Однако основная часть задолженности является спокойной задолженностью - 56,9% составляют обязательства перед поставщиками. Таким образом, кредиторская задолженность не только используется в обороте предприятия в качестве временного источника финансирования, одновременно она является источником покрытия дебиторской задолженности. Поэтому в процессе анализа необходимо сравнить сумму и оборачиваемость дебиторской и кредиторской задолженности. Если первая превышает вторую, то это свидетельствует об иммобилизации собственного капитала в дебиторскую задолженность. Производственно-хозяйственная деятельность предприятия связана с приобретением сырья, материалов, других запасов, потреблением разного рода услуг, а также с реализацией своей продукции и выполнением отдельных работ. В том случае, если расчеты за продукцию или оказанные услуги производятся на условии последующей оплаты, можно говорить о получении предприятием кредита от своих поставщиков и подрядчиков. В то же время само предприятие выступает кредитором своих покупателей и заказчиков, а также поставщиков в части выданных им авансов под предстоящую поставку продукции. В этих условиях необходимо следить за соотношением кредиторской и дебиторской задолженности. Значительное превышение кредиторской задолженности над дебиторской создает угрозу финансовой устойчивости предприятия. Превышение дебиторской задолженности над кредиторской означает отвлечение средств из хозяйственного оборота и может привести в дальнейшем к необходимости привлечения дорогостоящих кредитов банков и займов для обеспечения текущей производственно-хозяйственной деятельности. Следовательно, от того, насколько соответствуют предоставленные и полученные объемы кредитования, зависит финансовое состояние предприятия. Для улучшения финансового положения предприятия необходимо следить за соотношением кредиторской и дебиторской задолженности, так как значительное превышение дебиторской задолженности создает угрозу финансовой устойчивости предприятия и делает необходимым привлечение дополнительных источников финансирования, а также контролировать состояние расчетов по просроченным задолженностям. 2.1.5 Сравнительный анализ кредиторской и дебиторской задолженностиДля сравнения сумм кредиторской и дебиторской задолженностей и темпов их роста за отчетный период используют данные бухгалтерского баланса (Приложение 1). Как видно из рисунка 2.8, сумма кредиторской задолженности превысила величину дебиторской задолженности на начало периода на 48,9 раза (7182/147), и на конец периода на 10,8 раза (28546/2641).
Рисунок 2.8 Динамика дебиторской и кредиторской задолженности, тыс. руб. Темп роста дебиторской задолженности составил 1797% (2641/147х100), а темп роста кредиторской 397% (28546/7182х100), что продемонстрировано на рисунке 2.9.
Рисунок 2.9 Темп роста дебиторской и кредиторской задолженности, %. Темп роста дебиторской задолженности опрежал темп роста кредиторской и это дало снижение коэффициента соотношения кредиторской и дебиторской задолженностей. Рекомендуемое значение для данного коэффициента - 1,2, то есть на 1 рубль дебиторской задолженности приходится 1,2 рубля кредиторской. Расчетные показатели коэффициента соотношения значительно превышают рекомендуемое значение, что является крайне негативным моментом. Из этого следует, что за анализируемый период зависимость ЗАО "Стройкомплект" от кредиторов по абсолютной величине значительно увеличилась, однако есть положительная тенденция опережения темпа роста дебиторской задолженности над кредиторской. Также можно рассмотреть отдельные виды расчетов с кредиторами и дебиторами и их соотношение по состоянию на конец отчетного периода. Сравнительный анализ дебиторской и кредиторской задолженностей ЗАО "Стройкомплект" представлен в таблице 7. Таблица 7 Сравнительный анализ дебиторской и кредиторской задолженностей ЗАО "Стройкомплект" (на конец отчетного периода, тыс. руб.)
Проанализировав дынные таблицы 7 можно сделать следующие выводы. На конец отчетного периода сумма кредиторской задолженности превысила дебиторскую на 25 905 тыс. руб. и это превышение кредиторской задолженности над дебиторской произошло по всем позициям. Расчеты с поставщиками материально-технических ресурсов и покупателями готовой продукции занимают наибольший удельный вес в составе дебиторской и кредиторской задолженностей и являются результатом взаимных неплатежей. Предприятие использует стратегию товарных ссуд, предоставляя потребителям рассрочку платежа, а также активно использует беспроцентные заемные средства для приобретения материально-производственных ресурсов и осуществления иных расчетов. Проведем сравнительный анализ оборачиваемости дебиторской и кредиторской задолженностей (Таблица 8). Методика анализа оборачиваемости кредиторской задолженности аналогична методике анализа дебиторской задолженности. Таблица 8 Сравнительный анализ оборачиваемости дебиторской и кредиторской задолженностей
Расчет дебиторской задолженности[28] : ДЗср = (ДЗн + ДЗк ) /2 (2.2) ДЗср = (147 + 2641) / 2 = 1394 тыс. руб. Тоб (ДЗ) = ДЗср * Д / Вр (2.3) Тоб (ДЗ) = 1394 * 360 / 58768 = 8,54 дней Коб (ДЗ) = Вр / ДЗср ( 2.4) Коб (ДЗ) = 58768/1394 = 42,15 оборота Расчет кредиторской задолженности[29] : КЗср = (КЗн + КЗк ) * 0,5 (2.5) КЗср = (7182 + 28546) * 0,5 = 17864тыс. руб. Тоб (КЗ) = КЗср * Д: Вр (2.6) Тоб (КЗ) = 17864 * 360 / 58768 = 109,43 дней Коб (КЗ) = Вр / КЗср ( 2.7) Коб (КЗ) = 58768/17864 = 3,29 оборота Сравнение дебиторской и кредиторской задолженности позволяет сделать следующий вывод: период погашения кредиторской задолженности на 100,89 дней больше, чем дебиторской задолженности, что объясняется превышением суммы кредиторской задолженности над дебиторской на 25 905 тыс. руб. на конец периода. Причина этого - в более низкой скорости обращения кредиторской задолженности по сравнению с дебиторской. Данная ситуация может быть оценено положительно, так как обеспечивается дополнительный приток денежных средств, но с условием, что невелика доля просроченных платежей. В ином случае недостаток платежных средств при условии наступления сроков погашения долговых обязательств может привести к дальнейшему росту кредиторской задолженности и в конечном итоге к неплатежеспособности предприятия. Для улучшения финансового состояния предприятия необходимо следить за соотношением кредиторской и дебиторской задолженностей, контролировать состояние расчетов по просроченным задолженностям. 2.1.6 Оценка финансовой устойчивостиОбщую финансовую устойчивость характеризуют показатели: коэффициент автономии, коэффициент концентрации заемного капитала, коэффициент соотношения заемных и собственных средств. Анализ финансовых коэффициентов заключается в изучении их динамики за отчетный период и сравнении их значений с базисными или нормативными величинами. Коэффициент автономии (Ка ) (или коэффициент концентрации собственного капитала) показывает долю собственных средств в общей сумме всех средств, вложенных в имущество предприятия. Формула расчета этого коэффициента имеет следующий вид: Ка = СК / ВБ, (2.8) где: СК - собственный капитал - источники собственных средств (итог III раздела пассива баланса "Капитал и резервы"); ВБ - валюта баланса (сумма собственного и заемного капитала, то есть общая сумма финансирования). Финансовое положение предприятия можно считать устойчивым, если значение коэффициента не менее 0,5, то есть половина имущества должна быть сформирована за счет собственных средств предприятия. Такое значение показателя дает основание предполагать, что все обязательства предприятия могут быть покрыты его собственными средствами. Рост коэффициента автономии свидетельствует об увеличении финансовой прочности предприятия, стабильности и независимости его от внешних кредиторов, повышает гарантии погашения предприятием своих обязательств и расширяет возможность привлечения средств со стороны. Дополнением к этому показателю является коэффициент концентрации заемного капитала (Кзк ), который характеризует долю долга в общей сумме капитала. Чем выше эта доля, тем больше зависимость предприятия от внешних источников финансирования: Кзк = ЗК / ВБ (2.9) где ЗК - заемный капитал (итог IV и V раздела пассива баланса). Эти два коэффициента в сумме: Ка + Кз = 1. (2.10) Коэффициент соотношения заемных и собственных средств (Кз/с ) определяется отношением величины обязательств предприятия к величине собственных средств: Кз/с = ЗК / СК (2.11) Коэффициент соотношения заемных и собственных средств показывает, сколько заемных средств привлекло предприятие на один рубль вложенных в активы собственных средств. Увеличение значения коэффициента за отчетный период свидетельствует об усилении зависимости предприятия от привлечения заемных средств и снижении его финансовой устойчивости. Взаимосвязь коэффициентов Кз/с и Ка : Кз/с = 1/Ка - 1 (2.12) Отсюда следует нормальное ограничение для коэффициента соотношения заемных и собственных средств: Кз/с ≤1. Если значение данного коэффициента превышает единицу, то это указывает на потерю финансовой устойчивости. Однако при высокой оборачиваемости материальных оборотных средств и дебиторской задолженности критическое значение коэффициента может быть выше единицы. [30] Расчет коэффициентов для ЗАО "Стройкомплект" представлен в таблице 9. Таблица 9 Значение коэффициентов, характеризующих общую финансовую устойчивость ЗАО "Стройкомплект" (в долях единицы)
Как показывают данные таблица 9, коэффициент автономии ЗАО "Стройкомплект" в отчетном году значительно снизился, но по-прежнему остается выше нормативного уровня - 0,5. Значение его показывает, что имущество предприятия на начало периода было на 87% сформировано за счет собственных средств, а на конец периода лишь 63% обязательств могут быть покрыты собственным капиталом. Коэффициент концентрации заемного капитала за отчетный период повысился на 24%, т.е. зависимость предприятия от внешних источников финансирования увеличилась. Однако предприятие имеет общую финансовую устойчивость. Коэффициент соотношения заемных и собственных средств показывает, что на начало отчетного периода на 1 рубль вложенных в активы собственных источников приходилось 15 копеек заемных, на конец периода - 59 копеек. Полученное соотношение указывает на некоторое ухудшение финансового положения, так как связано с увеличение доли заемных средств по сравнению с собственным капиталом. 2.2 Анализ показателей типа финансовой устойчивости и платежеспособностиНа втором этапе определяем сумму собственного оборотного капитала, тип финансовой устойчивости ЗАО "Стройкомплект" и текущую платежеспособность. 2.2.1 Анализ показателей типа финансовой устойчивостиДля определения типа финансовой устойчивости проанализируем динамику источников средств ЗАО "Стройкомплект", необходимых для формирования запасов (Таблица 10). Таблица 10 Показатели типа финансовой устойчивости
На основании данных таблицы 10 очевидно, что на начало и на конец года ЗАО "Стройкомплект" испытывало недостаток в собственных и привлеченных источниках средств для формирования запасов. Такое состояние относится к четвертому типу финансовой устойчивости - кризисному, при котором предприятие зависит полностью от заемных источников финансирования. Общая величина запасов возросла с 5 690 тыс. руб. до 20 683 тыс. руб., что не является неожиданным так как валюта баланса в целом за период существенно возросла. Рассмотрим показатели обеспеченности запасов источниками их формирования в динамике. Обеспеченность собственными оборотными средствами уменьшилась. За указанный период можно наблюдать, что недостаток в собственных оборотных средствах предприятия для формирования запасов увеличился с 6 934 тыс. руб. до 26 368 тыс. руб. Это связано, прежде всего, с увеличением недостатка собственных оборотных средств с 1 244 тыс. руб., до 5 685 тыс. руб., которое связано с большим увеличением стоимости внеоборотных активов, по сравнению с изменение размера собственных средств. Эти изменения негативны с точки зрения финансовой устойчивости. Так как долгосрочных пассивов в балансе предприятия нет, обеспеченность запасов долгосрочными источниками формирования запасов равна обеспеченности запасов собственными оборотными средствами. Обеспеченность предприятия основными источниками формирования запасов уменьшилась. По данным анализа, на начало периода наблюдается недостаток основных и нормальных источников формирования запасов в сумме 6 394 тыс. руб. К окончанию года обеспеченность запасов нормальными источниками финансирования еще значительно снизился на 17 105 тыс. руб. и ее недостаток составил 23 499 тыс. руб., т.е. уменьшение произошло почти в три раза. Это обусловлено тем, что значительная сумма источников собственных и привлеченных средств вложена в иммобильное имущество. Финансовая устойчивость предприятия может быть восстановлена путем: ускорение оборачиваемости капитала и текущих активов, в результате чего произойдет относительное его сокращение на рубль выручки; обоснованное снижение запасов и затрат; пополнение собственного оборотного капитала за счет внешних и внутренних источников и т.д. 2.2.2 Оценка текущей платежеспособностиРасчет коэффициентов ликвидности ЗАО "Стройкомплект" представлен в таблице 11. Таблица 11 Анализ показателей ликвидности
Данные таблицы 11 свидетельствуют, что ЗАО "Стройкомплект" находится в кризисном финансовом состоянии. Коэффициенты абсолютной и критической ликвидности за отчетный период несколько повысились, но они значительно ниже рекомендуемого уровня. Коэффициент текущей ликвидности, также не достигал рекомендуемого уровня, и его значение на конец периода снизилось. Коэффициент абсолютной ликвидности на начало периода составляет 0,02, к концу года произошло увеличение на 0,01 пункт, значение на конец года 0,03 показывает, что к концу года 3% краткосрочных обязательств могут быть погашены за счет использования денежных средств и ценных бумаг предприятия. Если сравнить значение показателя с рекомендуемым уровнем (0,2-0,3), можно отметить, что предприятие имеет дефицит денежных средств для покрытия текущих обязательств. Это обстоятельство может вызвать недоверие к данному предприятию со стороны поставщиков материально-технических ресурсов. Коэффициент критической ликвидности показывает, что на начало периода краткосрочные долговые обязательства на 4% покрывались денежными средствами, ценными бумагами и средствами в расчетах. К концу отчетного периода значение коэффициента повысилось, но незначительно, на 0,07 пункта и показывает, что текущие обязательства могут быть погашены наиболее ликвидными активами и активами быстрой реализации лишь на 11%. Причем погашение краткосрочных долговых обязательств (текущая платежеспособность предприятия) во много зависит от качества дебиторской задолженности и финансового состояния должника. В целом данный коэффициент можно назвать прогнозным, так как предприятие не может точно знать, когда и в каком количестве дебиторы погасят свои обязательства, то есть ликвидность предприятия зависит от их платежеспособности. Коэффициент быстрой ликвидности ЗАО "Стройкомплект" ниже рекомендуемого значения (0,8-1), и указывает на то, что сумма ликвидных активов предприятия не соответствует требованиям текущей платежеспособности. Коэффициент текущей ликвидности (или коэффициент покрытия) за отчетный период снизился на 0,02, достигнув к концу года 0,82. Значение коэффициента также является ниже рекомендуемого уровня (2). Так как у ЗАО "Стройкомплект" значение коэффициента меньше 1, то в такой ситуации у него имеются два пути увеличения коэффициента текущей ликвидности: сокращать кредиторскую задолженность или наращивать оборотные активы, сокращать кредиторскую задолженность одновременно со снижением оборотных активов. На рисунке 2.10 показано, что дефицит наиболее ликвидных активов для погашения краткосрочных обязательств составил 7 540 тыс. руб. (7 722 тыс. руб. - 182 тыс. руб.) на начало года и 30 460 тыс. руб. (31 415 тыс. руб. - 955 тыс. руб.) на конец отчетного периода.
Рисунок 2.10. Динамика наиболее ликвидных активов и краткосрочных долговых обязательств, тыс. руб.
Рисунок 2.11. Динамика наиболее ликвидных активов, активов быстрой реализации и краткосрочных долговых обязательств, тыс. руб. Данные рисунка 2.11 показывают, что ЗАО "Стройкомплект" испытывает недостаток наиболее ликвидных активов и активов быстрой реализации для погашения краткосрочных долгов в объеме 7 393 тыс. руб. (7 722 тыс. руб. - 182 тыс. руб. - 147 тыс. руб.) на начало года и 27 819 тыс. руб. (31 415 тыс. руб. - 955 тыс. руб. - 2 641 тыс. руб.) на конец анализируемого периода. Динамика показателей, представленных на рисунке 2.12, указывает на то, что предприятие не в состоянии погасить краткосрочные долги, привлекая все виды ликвидных активов, а также ему недостаточно средств для продолжения производственно-хозяйственной деятельности.
Рисунок 2.12. Динамика оборотных активов и краткосрочных долговых обязательств, тыс. руб. Таким образом, за отчетный период наблюдалась тенденция снижения уровня ликвидности, что характеризует ухудшение платежеспособности ЗАО "Стройкомплект". Это обусловлено опережающими темпами роста краткосрочных обязательств - 406,8% (31 415 тыс. руб. / 7 722 тыс. руб. * 100%) по сравнению с темпами роста ликвидных активов - 397,2% (25 730 тыс. руб. / 6 478 тыс. руб. * 100%). Однако не один из коэффициентов ликвидности не соответствует рекомендуемым значениям, что указывает на отсутствие необходимого объема ликвидных средств для погашения текущих обязательств и свидетельствует о необходимости принятия мер по повышению уровня платежеспособности предприятия. 2.3 Анализ финансовых результатов деятельности предприятия2.3.1 Факторный анализ прибыли от продажи продукцииПри внешнем экономическом анализе в качестве источника информации используется бухгалтерская отчетность ф. №2 "Отчет о прибылях и убытках", что ограничивает возможности факторного анализа. [31] Формализованный расчет прибыли от продажи продукции (Пр ) можно представить в виде[32] : Пр = Вр - Ср - Ру - Рк , (2.13) где: Вр - выручка (нетто) от продажи продукции, товаров, работ и услуг (за минусом налога на добавленную стоимость, акцизов и аналогичных обязательных платежей), руб.; Ср - себестоимость реализации продукции, товаров (работ, услуг), исключая коммерческие и управленческие расходы, руб.; Ру - управленческие расходы, руб.; Рк - коммерческие расходы, руб. Для оценки факторов, влияющих на формирование суммы прибыли от продажи продукции, рассмотрим таблицу 12. Таблица 12 Факторный анализ прибыли от продажи продукции
Определяем влияние факторов на сумму прибыли по следующим формулам[33] . 1. Влияние изменения выручки от продажи продукции на прибыль от продажи: ΔПр1 = ΔПр0 * (Jp - 1), (2.14) где: ΔПр1 - прирост (уменьшение) прибыли за счет изменения выручки от продажи продукции, руб.; ΔПр0 - прибыль от продажи базисного (предыдущего) периода, руб.; Jp - индекс изменения объема продажи, определяемый отношением выручки от продажи (без НДС) отчетного периода (Вр1 ) к выручке от продажи предыдущего периода (Вр0 ) по формуле: Jp = Вр1/ Вр0 (2.15) Для ЗАО "Стройкомплект": Jp = Вр1/ Вр0 = 58768/54129 = 1,0857 ΔПр1 = ΔПр0 * (Jp - 1) = 2096 * (1,0857 - 1) = 179,6 тыс. руб. 2. Влияние изменения уровня себестоимости на прибыль от продажи (ΔПр2 ): ΔПр2 = С0 * Jp - С1 ( 2.16) где С0, С1 - себестоимость продукции предыдущего и отчетного периода, руб. Для ЗАО "Стройкомплект": ΔПр2 = С0 * Jp - С1 = 45388 * 1,0857 - 47612 = 1665,8 тыс. руб. 3. Влияние изменения уровня управленческих расходов на прибыль от продажи (ΔПр3 ): ΔПр3 = Ру0 * Jp - Ру1, (2.17) где Ру0 , Ру1 - управленческие расходы предыдущего и отчетного периода соответственно, руб. Для ЗАО "Стройкомплект": ΔПр3 = Ру0 * Jp - Ру1 = 5647 * 1,0857 - 6598 = - 467 тыс. руб. Влияние изменения уровня коммерческих расходов на прибыль от продажи (ΔПр4 ): ΔПр4 = Рк0 * Jp - Рк1, (2.18) где Рк0 , Рк1 - коммерческие расходы предыдущего и отчетного периода соответственно, руб. Для ЗАО "Стройкомплект": ΔПр4 = Рк0 * Jp - Рк1 = 998 * 1,0857 - 1056 = 27,6 тыс. руб. 4. Сумма факторных отклонений дает общее изменение прибыли от продажи продукции за анализируемый период: ΔПр = ΔПр1 + ΔПр2 + ΔПр3 + ΔПр4 =179,6 + 1665,8 - 467 + 27,6 = 1406 тыс. руб. ΔПр = Пр1 - Пр0 = 3502 - 2096 = 1406 тыс. руб. Результаты факторного анализа показали, что в связи с ростом выручки от продажи продукции прибыль увеличилась на 179,6 тыс. руб., на 1 665,8 тыс. руб. за счет снижения себестоимости единицы продукции и на 27,6 тыс. руб. за счет влияния коммерческих расходов. Темп роста выручки от реализации продукции (8,6%) опережал темп роста себестоимости (4,9%), что привело к снижению удельных затрат. В условиях расширения масштабов производства и реализации продукции, о чем свидетельствует увеличение выручки, рост коммерческих и управленческих расходов - естественный процесс, если только темпы роста этих видов расходов не опережают темпа роста выручки. Как видно из таблицы 6 наблюдаются опережающие темпы прироста управленческих расходов (16,8%) по сравнению с темпом прироста выручки от продажи продукции (8,6%). Это привело к снижению прибыли отчетного года по сравнению с предыдущим периодом соответственно на 467 тыс. руб. Следовательно, резервом дальнейшего роста прибыли является снижение управленческих расходов. На изменение прибыли могут также оказывать влияние изменения цен на сырье, материалы, готовую продукцию, структурные сдвиги в составе продукции и другие факторы, для анализа которых требуется дополнительная информация внутреннего учета. 2.3.2 Анализ показателей оборачиваемости текущих активовАнализ оборачиваемости оборотных средств ЗАО "Стройкомплект" приведен в таблице 13. В качестве основных источников информации для определения показателей оборачиваемости текущих активов используют данные формы №1 и №2 бухгалтерской отчетности (Приложение 1,2). Таблица 13 Динамика показателей оборачиваемости текущих активов
Определяем среднюю стоимость текущих активов на основании данных баланса по формуле средней арифметической: ТАср = (ТАн + ТАк) / 2, (2.19) где ТАн, ТАк - соответственно величина текущих оборотных активов на начало и конец анализируемого периода. Средняя стоимость текущих активов ЗАО "Стройкомплект" в отчетном периоде: ТАср1 = (ТАн1 + ТАк1 ) / 2 = (6478 + 25730) / 2 = 16104 тыс. руб. Данные о средней стоимости оборотных активов за предыдущий период содержатся в Приложении 3. Для измерения оборачиваемости оборотных средств используются следующие показатели[34] : 1. Продолжительность одного оборота в днях (Тоб) представляет собой отношение суммы среднего остатка оборотных средств (ТАср) к сумме однодневной выручки за анализируемый период (Вр/Д). Продолжительность одного оборота показывает средний срок, за который возвращаются в хозяйственный оборот денежные средства, вложенные в производственно-коммерческие операции. Для расчета показателя используется формула: Тоб = ТАср * Д/Вр (2.20) Продолжительность оборота текущих активов ЗАО "Стройкомплект" в предыдущем периоде: Тоб0 = ТАср0 * Д0 /Вр0 = 11217 * 360 / 54129 = 74,6 дней Продолжительность оборота текущих активов ЗАО "Стройкомплект" в отчетном периоде: Тоб1 = ТАср1 * Д1 /Вр1 = 16104 * 360 / 58768 = 98,6 дней 2. Коэффициент оборачиваемости средств (Коб) характеризует размер объема выручки от продажи продукции в расчет на один рубль оборотных активов: Коб = Вр / ТАср (2.21) Коэффициент оборачиваемости одновременно показывает число оборотов, которые совершают оборотные средства за анализируемый период, и может быть рассчитана делением количества дней анализируемого периода на продолжительность одного оборота в днях: Коб = Д / Тоб (2.22) Коэффициент оборачиваемости средств ЗАО "Стройкомплект" в предыдущем периоде: Коб0 = Вр0 / ТАср0 = 54129/11217 = 4,83 раз Коэффициент оборачиваемости средств ЗАО "Стройкомплект" в отчетном периоде: Коб1 = Вр1/ ТАср1 = 58768/16104 = 3,65 раз 3. Коэффициент загрузки (закрепления) средств в обороте характеризует сумму оборотных средств, авансируемых на один рубль выручки от продажи продукции: Кз = ТАср / Вр (2.23) Коэффициент загрузки ЗАО "Стройкомплект" в предыдущем периоде: Кз0 = ТАср0 / Вр0 = 11217/54129 = 0,21 Коэффициент загрузки ЗАО "Стройкомплект" в отчетном периоде: Кз1 = ТАср1/ Вр1 = 16104/58768 = 0,27 Как видно из таблицы 13 в отчетном году период оборота текущих активов составил 98,6 дня, по сравнению с предыдущим годом он увеличился на 24 дня. Это привело к изменению коэффициентов оборачиваемости и закрепления оборотных средств. В отчетном году коэффициент оборачиваемости составил 3,65 раз за период, произошло уменьшение на 1,18 раз, что отражает замедление оборачиваемости средств. Коэффициент загрузки средств в обороте составил 27 копеек на один рубль выручки от продажи продукции в отчетном периоде, а в предыдущем году - 21 копейку. Увеличение коэффициента загрузки отражает менее эффективное использование оборотных средств в отчетном периоде. Таким образом, средства, вложенные в текущие активы проходят полный цикл и снова принимают денежную форму через 98,6 дней, то есть, на 24 дня медленнее, чем в предыдущем году.Сумма высвобожденных средств из оборота за счет ускорения оборачиваемости (-ΔОС) или дополнительно привлеченных средств в оборот (+ΔОС) при замедлении оборачиваемости определяется умножением фактического однодневного оборота по реализации на изменение продолжительности одного оборота в днях: Δ ОС = (Тоб1 - Тоб0 ) * Вр1/ Д (2.24) где Тоб1 , Тоб0 - соответственно продолжительность одного оборота оборотных средств за отчетный и предыдущие периоды, дни; Вр1 - выручка (нетто) от продажи продукции за отчетный период, руб. Сумму средств, дополнительно вовлеченных в оборот в результате снижения оборачиваемости для ЗАО "Стройкомплект": Δ ОС = (Тоб1 - Тоб0 ) * Вр1/ Д = (98,6 - 74,6) * 58768/360 = 3917,87 тыс. руб. Таким образом, в результате увеличения продолжительности оборота на 24 дня предприятие дополнительно вовлекло в оборот 3917,87 тыс. руб. Для выяснения причин изменения оборачиваемости оборотных средств следует использовать факторный анализ. На основе приема цепных подстановок (последовательного изолирования факторов) изучают влияние на изменение продолжительности одного оборота следующих факторов первого порядка: Изменение средних остатков; Изменение объема реализации. Условным показателем будет продолжительность оборота в днях при средних остатках за предыдущий период и объеме реализации за отчетный период. Для выявления влияния факторов на изменение оборачиваемости оборотных средств выполним следующие расчеты[35] : 1. Определим абсолютное изменение продолжительности одного оборота (ΔТоб) в отчетном периоде (Тоб1 ) по сравнению с предыдущим (Тоб0 ) ΔТоб = Тоб1 - Тоб0 ( 2.25) Для ЗАО "Стройкомплект": ΔТоб = Тоб1 - Тоб0 = 98,6 - 74,6 = 24 дня 2. Установим скорректированную продолжительность одного оборота в днях (Тобс ) как отношение средней стоимости оборотных активов предыдущего периода (ТАср0 ) к однодневной реализации отчетного периода (Вр1/ Д) по формуле: Тобс = ТАср0 * Д / Вр1 ( 2.26) Для ЗАО "Стройкомплект": Тобс = ТАср0 * Д / Вр1 = 11217 * 360 / 58768 = 68,7 дней 3. Определим влияние изменения выручки от продажи продукции (Тоб (Вр)) на величину периода оборота: Тоб (Вр) = Тобс - Тоб0 ( 2.27) Для ЗАО "Стройкомплект": Тоб (Вр) = Тобс - Тоб0 = 68,7 - 74,6 = - 5,9 дней 4. Установим влияние изменения средней стоимости текущих оборотных активов (Тоб (ТА)) на величину периода оборота: Тоб (ТА) = Тоб1 - Тобс (2.28) Для ЗАО "Стройкомплект": Тоб (ТА) = Тоб1 - Тобс = 98,6 - 68,7 = 29,9 дней 5. Сумма факторных отклонений дает общее изменение продолжительности одного оборота за анализируемый период, что выражается формулой: ΔТоб = Тоб (Вр) + Тоб (ТА) (2.29) Для ЗАО "Стройкомплект": ΔТоб = Тоб (Вр) + Тоб (ТА) = - 5,9 + 29,9 = 24 дня Результаты факторного анализа показали, что увеличение объема продажи продукции способствовало ускорению оборачиваемости оборотных средств на 5,9 дня. Повышение суммы среднегодовых остатков текущих активов отразилось на замедлении оборачиваемости оборотных средств на 29,9 дня. Опережающие темпы роста среднегодовых остатков текущих активов - 143,6% (16104/11217*100%) по сравнению с темпами роста выручки от продажи продукции - 108,6% (58768/54129*100%) оказали отрицательное влияние на продолжительность одного оборота хозяйственных средств, увеличив период оборота на 24 дня. Снижение оборачиваемости привело, в свою очередь, в привлечении дополнительных средств в оборот. 2.3.3 Анализ показателей рентабельностиДля оценки эффективности использования ресурсов, потребленных в процессе производства, применяются показатели рентабельности. Анализ показателей рентабельности ЗАО "Стройкомплект" представлен в таблице 14, он проводится на основе данных отчета о прибылях и убытках - формы №2 (Приложение 2). Таблица 14 Анализ показателей рентабельности
Проведем расчет рентабельности для ЗАО "Стройкомплект" по следующим показателям: рентабельность затрат ЗАО "Стройкомплект" в предыдущем периоде: Rз0 = (Пр0 / (Ср0 + Ру0 + Рк0) ) * 100% = (2096/ (45388 + 5647 + 998)) * 100% = 4,03% Рентабельность затрат ЗАО "Стройкомплект" в отчетном периоде: Rз1 = (Пр1/ (Ср1 + Ру1 + Рк1) ) * 100% = (3502/ (47612 + 6598 + 1056)) * 100% = 6,34% Рентабельность продаж по прибыли от продаж ЗАО "Стройкомплект" в предыдущем периоде: Rпр0 = (Пр0 / Вр0) * 100% = (2096/54129) * 100% = 3,87% Рентабельность продаж по прибыли от продаж ЗАО "Стройкомплект" в отчетном периоде: Rпр1 = (Пр1/ Вр1) * 100% = (3502/58768) * 100% = 5,96% Рентабельность продаж по прибыли до налогообложения ЗАО "Стройкомплект" в предыдущем периоде: Rн0 = (Пн0 /Вр0) * 100% = (3126/54129) * 100% = 5,78% Рентабельность продаж по налогооблагаемой прибыли ЗАО "Стройкомплект" в отчетном периоде: Rн1 = (Пн1 /Вр1) * 100% = (4339/58768) * 100% = 7,38% Рентабельность продаж по чистой прибыли ЗАО "Стройкомплект" в предыдущем периоде: Rч0 = (Пч0 /Вр0) * 100% = (2376/54129) * 100% = 4,39% Рентабельность продаж по чистой прибыли ЗАО "Стройкомплект" в отчетном периоде: Rч1 = (Пч1 /Вр1) * 100% = (3298/58768) * 100% = 5,61% Данные о среднегодовой стоимости имущества ЗАО "Стройкомплект" за предыдущий период содержатся в Приложении 3. Иср0 = 64228 тыс. руб. Среднегодовая стоимость имущества ЗАО "Стройкомплект" за отчетный период: Иср1 = (Вбн1 + Вбк1) * 0,5 = (58972 + 84450) * 0,5 = 71711 тыс. руб. Рентабельность имущества ЗАО "Стройкомплект" в предыдущем периоде: Rи0 = (Пн0 / Иср0 ) * 100% = (3126/64228) * 100% = 4,87% Рентабельность имущества ЗАО "Стройкомплект" в отчетном периоде: Rи1 = (Пн1/ Иср1) * 100% = (4339/71711) * 100% = 6,05% Среднегодовая стоимость собственного капитала ЗАО "Стройкомплект" в предыдущем периоде (Приложение 3): СКср0 = 51760 тыс. руб. Среднегодовая стоимость собственного капитала ЗАО "Стройкомплект" в отчетном периоде: СКср1 = (СКн1 + СКк1) * 0,5 = (51520 + 53035) * 0,5 = 52142,5 тыс. руб. Рентабельность собственного капитала ЗАО "Стройкомплект" в предыдущем периоде: Rск0 = (Пч0 / СКср0) * 100% = (2376/51760) * 100% = 4,59% Рентабельность собственного капитала ЗАО "Стройкомплект" в отчетном периоде: Rск1 = (Пч1/ СКср1) * 100% = (3298/52142,5) * 100% = 6,32% Из таблицы 14 видно, что все показатели рентабельности повысились в отчетном периоде по сравнению с предыдущим. В целом по предприятию наблюдается улучшение использования имущества. С каждого рубля средств, вложенных в активы, предприятие получило в отчетном году прибыли больше, чем в предыдущем периоде. Если раньше, каждый вложенный в имущество рубль приносил 4,87 копеек прибыли, то теперь 6,05 копеек, следовательно, управление имуществом стало более эффективным. Этот показатель применяется для определения уровня конкурентоспособности предприятия. Рентабельность собственного капитала повысилась за отчетный период на 1,73%. Также возросла рентабельность по чистой прибыли на 1,22%, и на конец отчетного периода составила 5,61%. Причиной положительных сдвигов в уровне рентабельности стали опережающие темпы роста прибыли до налогообложения 138,8% (4339/3126*100%) и чистой прибыли 138,8% (3298/2376*100%), по сравнению с темпами роста стоимости имущества 111,7% (71711/64228*100%) и объема продаж 108,6% (58768/54129*100%). Увеличение рентабельности продаж, исчисленной по прибыли от продаж на 2,09% может быть связано с повышение спроса на продукцию, улучшением ее конкурентоспособности, ростом цен при постоянных затратах на производство, снижением затрат на производство при постоянных ценах, либо из-за превышения темпа роста цен над темпами роста затрат. Коэффициент рентабельности затрат повысился на 2,31% по отношению к базисному периоду и стал составлять 6,34%. Это говорит о том что на каждый рубль затраченных средств ЗАО "Стройкомплект" получает прибыли не 4,03 коп., как это было в предыдущем году, а 6,34 копейки. Рентабельность продаж по прибыли до налогообложения увеличилась с 5,78 % в предыдущем периоде до 7,38% в отчетном периоде. С помощью метода цепных подстановок определяем влияние изменения рентабельности продаж за счет факторов изменения выручки от продажи продукции и себестоимости. Для выявления количественного влияния каждого фактора на конечный результат необходимо вычислить условный показатель рентабельности при отчетной выручке от продажи (Вр1 ) и базисной себестоимости (Сп0 ) [36] : Rусл = (Вр1 - Сп0 ) / Вр1 *100 (2.30) Для ЗАО "Стройкомплект": Rусл = (Вр1 - Сп0 ) / Вр1 *100 = (58768 - 52033) / 58768 * 100 = 11,46% Влияние фактора изменения объема продаж на уровень рентабельности продаж: ΔRпр (1) = Rусл - Rпро ( 2.31) Для ЗАО "Стройкомплект": ΔRпр (1) = Rусл - Rпро = 11,46 - 3,87 = 7,59% Влияние фактора изменения себестоимости на уровень рентабельности продаж: ΔRпр (2) = Rпр1 - Rусл (2.32) Для ЗАО "Стройкомплект": ΔRпр (2) = Rпр1 - Rусл = 5,96 - 11,46 = - 5,5% Сумма факторных отклонений дает общее изменение рентабельности продаж за период: ΔRпр = ΔRпр (1) + ΔRпр (2) (2.33) Для ЗАО "Стройкомплект": ΔRпр = ΔRпр (1) + ΔRпр (2) = 7,59 + ( - 5,5) = 2,09% Результаты факторного анализа показали, что большее влияние на уровень рентабельности от продаж оказало изменение объема продаж, в связи с ростом объема продаж рентабельность продаж по прибыли от продаж увеличилась на 7,59%. Рост полной себестоимости продукции привел к падению показателя рентабельности продаж по прибыли от продаж на 5,5%. Совокупное влияние этих факторов повлекло повышение рентабельности продаж по прибыли от продаж в размере 2,09%. В результате анализа показателей рентабельности выявлено, что эффективность деятельности предприятия в отчетном периоде улучшилась по сравнению с базисным периодом. ЗаключениеПо результатам проведенного анализа финансового состояния ЗАО "Стройкомплект" можно сделать вывод, что: Стоимость имущества ЗАО "Стройкомплект" увеличилась за отчетный период на 25 478 тыс. руб., или на 43, 20%. Это произошло за счет прироста стоимости внеоборотных активов на 6 226 тыс. руб. или на 11,9%, и значительного увеличения стоимости оборотных активов (мобильного имущества) на 19 252 тыс. руб. или 297,2%. В ходе анализа показателей структурной динамики установлено, что на конец отчетного периода 69,5% составляют внеоборотные активы, удельный вес оборотных активов значительно увеличился на 19,5% и на конец периода составил 30,5%. В составе внеоборотных активов наибольшую долю занимают основные средства (59%). В составе оборотных активов наибольшую долю занимают материально-производственные запасы (24,5%), т.е. труднореализуемые активы, сумма которых возросла на 14 993 тыс. руб., или на 263,5%. На конец периода их удельный вес составил 24,5%. Увеличение по сравнению с началом года произошло на 14,9%. Увеличение запасов имело место по всем видам материальных оборотных средств. Основной прирост запасов произошел по статье "Сырье, материалы и другие аналогичные ценности", сумма которых возросла 8 650 тыс. руб. или 288,8%. Коэффициент накопления на конец периода составляет 2,53, что значительно выше рекомендуемой величины, которая не должна быть меньше 1. Это свидетельствует о неблагоприятной структуре запасов предприятия, о наличии излишних или ненужных производственных запасов, неоправданном росте остатков незавершенного производства. За отчетный период коэффициент оборачиваемости товарно-материальных ценностей уменьшился на 5,1 раз, и составляет на конец отчетного периода 4,5 раза. То есть, за отчетный период число оборотов товарно-материальных запасов снизилось на 5,1. Это свидетельствует о замедлении превращения запасов в денежные средства. В связи с этим за отчетный период было дополнительно привлечено в оборот 7052,2 тыс. руб. За отчетный год произошло повышение стоимости реальных активов на 10 711 тыс. руб. (120,2%), это позволяет говорить о том, что у предприятия существуют возможности для расширения объемов производственной деятельности. Следует обратить внимание на невысокий удельный вес денежных средств в составе оборотных активов и значительный удельный вес запасов и основных средств. Значительно увеличилась дебиторская задолженность - на 2 494 тыс. руб. или 1696,6%. Это является негативным изменением и свидетельствует об отвлечении части текущих активов и иммобилизации части оборотных средств из производственного процесса. В результате замедления оборачиваемости дебиторской задолженности произошло дополнительное привлечение хозяйственных средств в оборот на сумму 1 208 тыс. руб. За отчетный год произошло повышение стоимости реальных активов на 10 711 тыс. руб. (120,2%), это позволяет говорить о том, что у предприятия существуют возможности для расширения объемов производственной деятельности. В структуре капитала преобладают заемные источники, основную часть которых составляет кредиторская задолженность. Доля собственного капитала в общем объеме финансирования значительно снизилась с 86,9% на начало периода до 62,8% на конец года, то есть на 24,1%. Удельный вес заемного капитала соответственно повысился с 13,1% на начало периода до 37,2% на конец периода, то есть на 24,1%. Это говорит об увеличении зависимости предприятия от третьих лиц - кредиторов. За анализируемый период зависимость ЗАО "Стройкомплект" от кредиторов по абсолютной величине значительно увеличилась, однако есть положительная тенденция опережения темпа роста дебиторской задолженности над кредиторской. Сравнение дебиторской и кредиторской задолженности позволяет сделать следующий вывод: период погашения кредиторской задолженности на 100,89 дней больше, чем дебиторской задолженности, что объясняется превышением суммы кредиторской задолженности над дебиторской на 25 905 тыс. руб. на конец периода. Причина этого - в более низкой скорости обращения кредиторской задолженности по сравнению с дебиторской. Данная ситуация может быть оценено положительно, так как обеспечивается дополнительный приток денежных средств, но с условием, что невелика доля просроченных платежей. Коэффициент автономии ЗАО "Стройкомплект" в отчетном году значительно снизился, но по-прежнему остается выше нормативного уровня - 0,5. Значение его показывает, что имущество предприятия на начало периода было на 87% сформировано за счет собственных средств, а на конец периода лишь 63% обязательств могут быть покрыты собственным капиталом. Коэффициент концентрации заемного капитала за отчетный период повысился на 24%, т.е. зависимость предприятия от внешних источников финансирования увеличилась. Однако предприятие имеет общую финансовую устойчивость. Коэффициент соотношения заемных и собственных средств показывает, что на начало отчетного периода на 1 рубль вложенных в активы собственных источников приходилось 15 копеек заемных, на конец периода - 59 копеек. Полученное соотношение указывает на некоторое ухудшение финансового положения, так как связано с увеличение доли заемных средств по сравнению с собственным капиталом. На начало и на конец года ЗАО "Стройкомплект" испытывало недостаток в собственных и привлеченных источниках средств для формирования запасов. Такое состояние относится к четвертому типу финансовой устойчивости - кризисному, при котором предприятие зависит полностью от заемных источников финансирования. По данным анализа, на начало периода наблюдается недостаток основных и нормальных источников формирования запасов в сумме 6 394 тыс. руб. К окончанию года обеспеченность запасов нормальными источниками финансирования еще значительно снизился на 17 105 тыс. руб. и ее недостаток составил 23 499 тыс. руб., т.е. уменьшение произошло почти в три раза. Это обусловлено тем, что значительная сумма источников собственных и привлеченных средств вложена в иммобильное имущество. За отчетный период наблюдалась тенденция снижения уровня ликвидности, что характеризует ухудшение платежеспособности ЗАО "Стройкомплект". Это обусловлено опережающими темпами роста краткосрочных обязательств - 406,8% (31 415 тыс. руб. / 7 722 тыс. руб. * 100%) по сравнению с темпами роста ликвидных активов - 397,2% (25 730 тыс. руб. / 6 478 тыс. руб. * 100%). У предприятия наблюдаются проблемы с ликвидностью и платежеспособностью. Так ни один из коэффициентов ликвидности не достигает своего нормативного значения, следовательно, у предприятия не хватает средств для погашения текущих обязательств. Резервом для дальнейшего роста прибыли является сокращение управленческих расходов. Результаты факторного анализа прибыли показали, что увеличение объема продажи продукции способствовало ускорению оборачиваемости оборотных средств на 5,9 дня. Повышение суммы среднегодовых остатков текущих активов отразилось на замедлении оборачиваемости оборотных средств на 29,9 дня. Опережающие темпы роста среднегодовых остатков текущих активов - 143,6% (16104/11217*100%) по сравнению с темпами роста выручки от продажи продукции - 108,6% (58768/54129*100%) оказали отрицательное влияние на продолжительность одного оборота хозяйственных средств, увеличив период оборота на 24 дня. Снижение оборачиваемости привело, в свою очередь, в привлечении дополнительных средств в оборот на сумму 3917,87 тыс. руб. Результаты факторного анализа показали, что большее влияние на уровень рентабельности от продаж оказало изменение объема продаж, в связи с ростом объема продаж рентабельность продаж по прибыли от продаж увеличилась на 7,59%. Рост полной себестоимости продукции привел к падению показателя рентабельности продаж по прибыли от продаж на 5,5%. Совокупное влияние этих факторов повлекло повышение рентабельности продаж по прибыли от продаж в размере 2,09%. В результате анализа показателей рентабельности выявлено, что эффективность деятельности предприятия в отчетном периоде улучшилась по сравнению с базисным периодом. В целом, предприятие находится в неустойчивом финансовом положении, обусловленном как внешними факторами (общее состояние экономики) так и внутренними (прежде всего дефицит собственного оборотного капитала), структура баланса анализируемого предприятия является неудовлетворительной. В то же время оно не является потенциальным банкротом. Исследования показали, что первостепенными задачами предприятия по улучшению финансового состояния являются: пополнение собственных оборотных средств и сокращение излишков сырья и материалов на складе. Список использованной литературы1. Приказ Минфина РФ от 10.12.2002 N 126н (ред. от 27.11.2006) "Об утверждении Положения по бухгалтерскому учету "Учет финансовых вложений" ПБУ 19/02" (Зарегистрировано в Минюсте РФ 27.12.2002 N 4085) 2. Бочаров В.В. Финансовый анализ. Краткий курс. 2-е изд. – СПб.: Питер, 2009. – 240 с. 3. Донцова Л.В., Никифорова Н.А. Анализ финансовой отчетности: учебник. - 3-е изд., перераб. и доп. - М.: Издательство «Дело и Сервис», 2005. - 368 с. 4. Дыбаль С.В. Финансовый анализ: теория и практика: Учеб. пособие.- СПб.: Бизнес-пресса, 2009. – 336 с. 5. Дыбаль С.В., Мухачев В.М. Экономический анализ: Учебно-методический комплекс. – СПб.: НОУ ВПО «ИЭФ», 2007. – 66 с. 6. Ковалев В.В. Финансовый анализ: методы и процедуры. - М.: Финансы и статистика, 2002. - 560 с. 7. Ковалев В.В., Ковалев Вит.В. Анализ баланса, или как понимать баланс: учебно-практическое пособие. - 2-е изд., перераб. И доп. - Москва : Проспект, 2011. - 560 с. 8. Лысенко Д.В. Комплексный экономический анализ хозяйственной деятельности: Учебник для вузов - М.: ИНФРА-М, 2008.- 320 с. 9. Савицкая Г.В. Анализ хозяйственной деятельности предприятия: Учебник.- 5-е изд., перераб. и доп. — М.: ИНФРА-М, 2009. — 536 с. 10. Савицкая Г.В. Экономический анализ: Учебник.- 11-е изд., испр. и доп. — М.: Новое знание, 2005. — 651 с. 11. Селезнева Н.Н., Ионова А.Ф. Финансовый анализ. Управление финансами: Учеб. пособие для вузов. - 2-е изд., перераб. и доп. - М.: ЮНИТИ-ДАНА, 2008. - 639 с. 12. Шеремет А.Д., Негашев Е.В. Методика финансового анализа деятельности коммерческих организаций. — 2-е изд., перераб. и доп. — М.: ИНФРА-М, 2008. — 208 с. ПриложенияПриложение 1
Приложение 2
Приложение 3 Дополнительные данные к курсовой работе, тыс. руб.
[1] Донцова Л.В., Никифорова Н.А. Анализ финансовой отчетности: учебник. - 3-е изд., перераб. и доп. - М.: Издательство "Дело и Сервис", 2005. - 6 с. [2] Савицкая Г.В. Анализ хозяйственной деятельности предприятия: Учебник. - 5-е изд., перераб. и доп. - М.: ИНФРА-М, 2009. - 14 с. [3] Шеремет А.Д., Негашев Е.В. Методика финансового анализа деятельности коммерческих организаций. - 2-е изд., перераб. и доп. - М.: ИНФРА-М, 2008. - 5 с. [4] Ковалев В.В., Ковалев Вит.В. Анализ баланса, или как понимать баланс: учебно-практическое пособие. - 2-е изд., перераб. И доп. - Москва: Проспект, 2011. - 306 с. [5] Ковалев В.В. Финансовый анализ: методы и процедуры. - М.: Финанасы и статистика, 2002. - 290 с. [6] Шеремет А.Д., Негашев Е.В. Методика финансового анализа деятельности коммерческих организаций. - 2-е изд., перераб. и доп. - М.: ИНФРА-М, 2008. - 120 с. [7] Бочаров В.В. Финансовый анализ. Краткий курс. 2-е изд. - СПб.: Питер, 2009. - 4 с. [8] Дыбаль С.В. Финансовый анализ: теория и практика: Учеб. пособие. - СПб.: Бизнес-пресса, 2009. - 62 с. [9] Донцова Л.В., Никифорова Н.А. Анализ финансовой отчетности: учебник. - 3-е изд., перераб. и доп. - М.: Издательство "Дело и Сервис", 2005. - 96 с. [10] Ковалев В.В., Ковалев Вит.В. Анализ баланса, или как понимать баланс: учебно-практическое пособие. - 2-е изд., перераб. И доп. - Москва: Проспект, 2011. - 344 с. [11] Дыбаль С.В. Финансовый анализ: теория и практика: Учеб. пособие. - СПб.: Бизнес-пресса, 2009. - 70 с. [12] Дыбаль С.В. Финансовый анализ: теория и практика: Учеб. пособие. - СПб.: Бизнес-пресса, 2009. - 71 с. [13] Дыбаль С.В. Финансовый анализ: теория и практика: Учеб. пособие. - СПб.: Бизнес-пресса, 2009. - 71 с. [14] Дыбаль С.В. Финансовый анализ: теория и практика: Учеб. пособие. - СПб.: Бизнес-пресса, 2009. - 76 с. [15] Лысенко Д.В. Комплексный экономический анализ хозяйственной деятельности: Учебник для вузов - М.: ИНФРА-М, 2008. - 258 с. [16] Дыбаль С.В. Финансовый анализ: теория и практика: Учеб. пособие. - СПб.: Бизнес-пресса, 2009. - 111 с. [17] Савицкая Г.В. Экономический анализ: Учебник. - 11-е изд., испр. и доп. - М.: Новое знание, 2005. - 544 с. [18] Дыбаль С.В. Финансовый анализ: теория и практика: Учеб. пособие. - СПб.: Бизнес-пресса, 2009. - 124 с. [19] Ковалев В.В. Финансовый анализ: методы и процедуры. - М.: Финансы и статистика, 2002 г. - 305 с. [20] Дыбаль С.В. Финансовый анализ: теория и практика: Учеб. пособие. - СПб.: Бизнес-пресса, 2009. - 135 с. [21] Ковалев В.В. Финансовый анализ: методы и процедуры. - М.: Финансы и статистика, 2002 г. - 313 с. [22] Дыбаль С.В. Финансовый анализ: теория и практика: Учеб. пособие. - СПб.: Бизнес-пресса, 2009. - 136 с. [23] Селезнева Н.Н., Ионова А.Ф. Финансовый анализ. Управление финансами: Учеб. пособие для вузов. - 2-е изд., перераб. и доп. - М.: ЮНИТИ-ДАНА, 2008. - 242 с. [24] Дыбаль С.В. Финансовый анализ: теория и практика: Учеб. пособие. - СПб.: Бизнес-пресса, 2009. - 89 с. [25] Дыбаль С.В., Мухачев В.М. Экономический анализ: Учебно-методический комплекс. - СПб.: НОУ ВПО "ИЭФ", 2007. - 33 с. [26] Приказ Минфина РФ от 10. 12.2002 N 126н (ред. от 27. 11.2006)"Об утверждении Положения по бухгалтерскому учету "Учет финансовых вложений" ПБУ 19/02" (Зарегистрировано в Минюсте РФ 27. 12.2002 N 4085) [27] Дыбаль С.В. Финансовый анализ: теория и практика: Учеб. пособие. - СПб.: Бизнес-пресса, 2009. - 69 с. [28] Дыбаль С.В. Финансовый анализ: теория и практика: Учеб. пособие. - СПб.: Бизнес-пресса, 2009. - 76 с. [29] Дыбаль С.В. Финансовый анализ: теория и практика: Учеб. пособие. - СПб.: Бизнес-пресса, 2009. - 105 с. [30] Дыбаль С.В. Финансовый анализ: теория и практика: Учеб. пособие. - СПб.: Бизнес-пресса, 2009. - 113 с. [31] Дыбаль С.В. Финансовый анализ: теория и практика: Учеб. пособие. - СПб.: Бизнес-пресса, 2009. - 158 с. [32] Дыбаль С.В., Мухачев В.М. Экономический анализ: Учебно-методический комплекс. - СПб.: НОУ ВПО "ИЭФ", 2007. - 29 с. [33] Дыбаль С.В., Мухачев В.М. Экономический анализ: Учебно-методический комплекс. - СПб.: НОУ ВПО "ИЭФ", 2007. - 30 с. [34] Дыбаль С.В., Мухачев В.М. Экономический анализ: Учебно-методический комплекс. - СПб.: НОУ ВПО "ИЭФ", 2007. - 31 с. [35] Дыбаль С.В., Мухачев В.М. Экономический анализ: Учебно-методический комплекс. - СПб.: НОУ ВПО "ИЭФ", 2007. - 32 с. [36] Дыбаль С.В., Мухачев В.М. Экономический анализ: Учебно-методический комплекс. - СПб.: НОУ ВПО "ИЭФ", 2007. - 34 с. |
||||||||||||||||||||||||||||||||||||||||||||||||||||||||||||||||||||||||||||||||||||||||||||||||||||||||||||||||||||||||||||||||||||||||||||||||||||||||||||||||||||||||||||||||||||||||||||||||||||||||||||||||||||||||||||||||||||||||||||||||||||||||||||||||||||||||||||||||||||||||||||||||||||||||||||||||||||||||||||||||||||||||||||||||||||||||||||||||||||||||||||||||||||||||||||||||||||||||||||||||||||||||||||||||||||||||||||||||||||||||||||||||||||||||||||||||||||||||||||||||||||||||||||||||||||||||||||||||||||||||||||||||||||||||||||||||||||||||||||||||||||||||||||||||||||||||||||||||||||||||||||||||||||||||||||||||||||||||||||||||||||||||||||||||||||||||||||||||||||||||||||||||||||||||||||||||||||||||||||||||||||||||||||||||||||||||||||||||||||||||||||||||||||||||||||||||||||||||||||||||||||||||||||||||||||||||||||||||||||||||||||||||||||||||||||||||||||||||||||||||||||||||||||||||||||||||||||||||||||||||||||||||||||||||||||||||||||||||||||||||||||||||||
, (1.5)
, (1.11)
















