Курсовая работа: Метод кусочного размножения оценок при обработке реализаций сигналов ограниченного объема
|
Название: Метод кусочного размножения оценок при обработке реализаций сигналов ограниченного объема Раздел: Рефераты по коммуникации и связи Тип: курсовая работа |
| Содержание
1. Обработка реализаций сигналов ограниченного объема 2. структурная схема устройства, реализующая метод кусочного размножения оценок 3. временные и частотные характеристики устройства, реализующего метод кусочного размножения оценок выводы Библиографический список
1. Обработка реализаций сигналов ограниченного объема Существующие методы обработки широко применяются при решении прикладных задач в системах телекоммуникаций, метрологии, статистической обработки. Как правило, их использование определяется начальными условиями: модель взаимодействия полезной и шумовой составляющей; ограничения, накладываемые на компоненты модели обрабатываемого сигнала. Разнообразие методов обработки составляет разнообразие начальных условий, на которых они определены. Начальные условия большинства методов обработки пересекаются и, при решении конкретной задачи, существует возможность использования нескольких различных подходов к получению оценок полезного сигнала. Во многом это связано с тем, что при определении ряда начальных условий накладываются не жесткие ограничения, что образует ряд альтернативных подходов к обработке. В данных ситуациях необходимо решать задачу не только обработки сигнала, но и выбора наиболее приемлемого метода оценивания, что является более сложной задачей. К методу обработки предъявляются требования, которые во многих случаях трудно достичь при использовании только одного алгоритма. В общем случае такими требованиями являются: обработка сигналов, описываемых широким классом функций; эффективное подавление шума, который описывается широким классом случайных функций; простота реализации; возможность эффективно обрабатывать реализации различных объемов в условиях априорной неопределенности о составляющих анализируемого процесса. Несмотря на противоречивость выдвигаемых требований, в ряде последних работ В.И. Марчука, В.Я. Катковника, К.О. Егиазаряна, Я. Астола предложены новые подходы и методы ослабления шумовой составляющей, позволяющие существенно расширить начальные условия обработки и сделать более мягкими ограничения на свойства составляющих математической модели, описывающей исходную реализацию. В качестве модели обрабатываемого сигнала наиболее часто используется на практике аддитивная модель, которая определяется выражением:
где Математическая модель полезной составляющей
где Во множестве функций
а также часть пространства
Как правило, на практике рассматривают подмножество При построении математической модели случайной (шумовой) составляющей (1) выдвигается предположение о том, что составляющие
В случае представления реализации результатов измерения в виде дискретного ряда выражение (1) запишется в виде [8]:
Таким образом, исходная реализация результатов измерений представляет собой ряд
Отсчеты полезного сигнала Исходная последовательность представляет собой реализацию нестационарного случайного сигнала, математическое ожидание которого является функционально зависимым. Сложность обработки таких реализаций заключается в отсутствии априорных данных о функциональной зависимости математического ожидания [5]. Априорно неизвестна функциональная зависимость полезного сигнала Таким образом, при таком определении начальных условий использование большинства существующих методов обработки ограниченно. В первую очередь это связано с зависимостью оптимальных значений их параметров обработки от формы полезной составляющей и закона распределения шума [2]. В большинстве случаев при такой постановке задачи производится сглаживание реализации простыми методами: простое скользящее среднее, взвешенное скользящее среднее, медианное сглаживание, экспоненциальное сглаживание и т.д. [1]. Следует отметить, что их использование на выборках ограниченного объема обладает существенными недостатками [3]. Решение задачи выделения полезной составляющей осуществляется методом наименьших квадратов с использованием наиболее подходящей аппроксимирующей функции в смысле определенного критерия. При этом оптимальный выбор аппроксимирующей функции крайне затруднителен в условиях априорной неопределенности. В работах Дж. Бендата и А. Пирсона, С.М. Переверткина и ряда других указывается на то, что наилучшее оценивание полезного сигнала достигается, когда исходный сигнал представлен ансамблем реализаций, а оценка полезного сигнала осуществляется путем их усреднения по сечениям. В связи с этим предлагается использовать метод выделения полезного сигнала (патент № 2257610), основанный на разбиении исходной реализации на перекрывающиеся интервалы одинаковой длины, с последующей оценкой на каждом из них полезного сигнала методом наименьших квадратов с полиномиальной аппроксимирующей функцией. Такой подход позволяет получить множество оценок полезного сигнала в каждом сечении процесса Согласно выражению (4) исходная выборка представляет собой последовательность отсчетов Исходный ряд
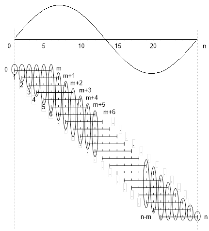
На каждом скользящем интервале производится оценка полезной составляющей (рис. 1). Как показано на рис. 1, полученные оценки группируются (группы оценок обведены овалами). Результирующая оценка получается путем усреднения множества оценок полезного сигнала, полученных в результате аппроксимации. На основе анализа предлагаемого разбиения исходной реализации выделим три участка:
Рис. 1. Пример разбиения исходной реализации сигнала на перекрывающиеся интервалы постоянной длины Выделение трех участков связано с тем, что в начале и конце реализации оценивание происходит по группам оценок различного объема. На первом интервале исходной выборки Оценка исходного ряда (5) представляет собой также матрицу такого же размера
Матрица (6) получается в результате оценивания полезной составляющей по значениям
Значения оценок, составляющие матрицу (6), получены путем аппроксимации исходной реализации - минимизация целевой функции метода наименьших квадратов при произвольной степени - в случае, если необходимо увеличить или уменьшить степень аппроксимирующего полинома, производится полный пересчет всех ранее полученных коэффициентов и оценок. Использование системы ортогональных многочленов позволяет устранить эти недостатки. Исходная дискретная последовательность
где Таким образом, имея систему ортогональных многочленов, можно построить многочлен наилучшего приближения в смысле минимума квадратичной целевой функции. В общем случае аппроксимирующую полиномиальную функцию можно представить в виде [5]:
Отметим, что полином (8) также принадлежит к пространству (2). В соответствии с общей теорией ортогональных многочленов коэффициенты
где В соответствии с предлагаемым методом разбиения оценки коэффициентов
где Анализ выражения для кусочное размножение оценка сигнал
где индекс Выражение (10) представляет собой обобщенное уравнение, которое позволяет получить оценку полезной составляющей предлагаемым способом разбиения с последующей аппроксимацией на каждом скользящем интервале полиномом произвольной степени В случае, когда
При
При
Выражения (11)–(13) эквивалентны ранее полученным выражениям в работе [2]. В отличие от выражений, полученных на основе неортогональных полиномов [2], использование выражения (10) позволяет увеличить степень аппроксимирующего полинома без пересчета ранее полученных оценок. Анализ выражений (12) и (13) показывает, что степень аппроксимирующего полинома может быть увеличена путем вычисления дополнительных членов суммы. Такое свойство (10) позволяет модифицировать предлагаемый способ оценивания. Обладая дополнительной информацией о выделяемом полезном сигнале на локальном участке обработки, можно увеличивать или уменьшать степень аппроксимирующего полинома, тем самым ввести элементы адаптации. На рис. 2 представлен пример разбиения исходной реализации на перекрывающиеся интервалы одинаковой длины и аппроксимации на каждом из функцией пространства (2) при
Рис. 2. Пример разбиения исходной реализации на пересекающиеся интервалы постоянной длины и аппроксимации на каждом из них значений сигнала линейной функцией На рис. 3 представлены результаты вычисления оценки сигнала на основе выражения (12). Кривая 1 представляет собой исходный сигнал, а кривая 2 – его оценку. Множество оценок полезного сигнала, полученные в каждый момент
Рис. 3. Пример получения множества оценок полезного сигнала в каждом сечении исходного процесса (1) и формировании на их основе результирующей оценки (2) при отсутствии аддитивной шумовой составляющей На рис. 2 и 3 представлена только часть реализации. Для третьего интервала оценивания Недостатком предлагаемого метода обработки является то, что для первых и последних Для осуществления разбиения исходной реализации задается значение
Рис. 4. Пример модифицированного разбиения исходной реализации на перекрывающиеся интервалы с изменяющейся длиной интервала разбиения в начале и конце выборки На интервале Обозначим минимальную длину интервала через
Использование разбиения, представленного на рис. 4, позволяет получить на интервалах При проведении аппроксимации на каждом интервале полиномом степени
На рис. 5 представлен пример обработки реализации модифицированным методом кусочного размножения оценок полезной составляющей. Представлена часть реализации для интервала Анализ рис. 5 показывает, что использование модифицированного подхода разбиения позволяет увеличить количество оценок на граничных интервалах
Рис. 5. Пример получения множества оценок полезного сигнала в каждом сечении исходного сигнала (1) и формирование на их основе результирующей оценки (2) при использовании модифицированного подхода разбиения исходной реализации на перекрывающиеся интервалы и отсутствии аддитивной шумовой составляющей Предлагаемый метод обработки, несмотря на некоторую сложность представленных выражений, легко реализуется на современной элементной базе. Основу оценивания полезной составляющей на каждом элементарном интервале составляет метод наименьших квадратов с полиномиальной аппроксимирующей функцией. Условие обязательной полиномиальной аппроксимации на каждом участке является нежестким. Аппроксимация может быть произведена любой функцией из пространства (2). Так как интервал разбиения исходной выборки фиксирован, а также фиксирована аппроксимирующая функция в процессе обработки, это позволяет получить выражение оператора предлагаемого метода обработки. 2. с труктурная схема устройства, реализующая метод кусочного размножения оценок Следует отметить, что предлагаемый метод обработки является симбиозом метода скользящего среднего и метода размножения оценок [3]. Используя выводы, при получении оценки полезного сигнала методом скользящего среднего, структурная схема устройства, его реализующая, показана на рис. 6. Устройство содержит буферный блок, блок аппроксимации, блок оценки и блок управления. Устройство, реализующее метод скользящего среднего, реализуется последовательной схемой. Исходная реализация поступает в буферный блок, где записываются первые
Рис. 6. Структурная схема устройства, реализующая метод скользящего среднего С помощью блока управления задаются параметры обработки: длина скользящего интервала На рис. 7 представлена структурная схема устройства, реализующего метод кусочного размножения оценок (10). Устройство представляет собой набор из
Рис. 7. Структурная схема устройства, реализующего метод кусочного размножения оценок Все блоки задержки устройства являются идентичными и позволяют создавать задержку на один такт работы устройства. В каждом канале содержатся значения исходной реализации в m
отсчетов, сдвинутые относительно друг друга на один такт, что соответствует используемому способу разбиения исходной реализации (рис. 1). Значения обрабатываемой реализации с буферных блоков поступают в блоки аппроксимации, где осуществляется их аппроксимация с помощью метода наименьших квадратов, используя полиномиальную аппроксимирующую функцию степени Приведенная структурная схема реализации устройства на основе метода кусочного размножения оценок является одним из вариантов. В каждом конкретном случае и в зависимости от используемого оборудования структурная схема может модифицироваться. Возможность распараллеливания вычислений при реализации метода кусочного размножения оценок позволяет реализовывать его на базе многопроцессорных систем. В результате при реализации предлагаемого метода кусочного размножения оценок полезного сигнала устройство представляет собой дискретный фильтр, а использование непосредственного вычисления коэффициентов аппроксимирующего полинома и получение оценок на каждом интервале разбиения, с последующим усреднением их по полученным множествам, с вычислительной точки зрения не выгодно. Как правило, стационарная система характеризуется откликом на единичное воздействие. В связи с этим представляет интерес получить выражения отклика системы, который зависит от параметров метода кусочного размножения оценок (размер скользящего окна
3. временные и частотные характеристики устройства, реализующего метод кусочного размножения оценок
В общем случае выражение (10) можно рассматривать как уравнение дискретного фильтра. Рассмотрим предлагаемый метод оценивания с точки зрения реализации его в виде дискретного фильтра и получим его системную функцию [3]. В общем виде системная функция линейного стационарного дискретного фильтра представляет собой отношение
Таким образом, чтобы определить системную функцию дискретного фильтра (16), необходимо определить его импульсную характеристику, которая является откликом системы на единичное воздействие. В этом случае функция единичного скачка, подаваемого на вход, описывается выражением [1]:
где переменная В случае стационарной системы ее отклик не зависит от В этом случае функция единичного скачка (17), подаваемого на вход, перепишется в следующем виде:
Используя выражение (5) и определение исходного сигнала (14), запишем отклик системы, описываемой выражением (6):
где индекс Анализ выражения (10) показывает, что отклик системы
На рис. 8 представлен график функции
Рис. Импульсная характеристика дискретного фильтра, реализующего метод кусочного размножения оценок при различных степенях аппроксимирующего полинома Длина импульсной характеристики определяется параметром В соответствии с выражением (16) системной функцией дискретного фильтра является
где индекс Заменяя в (21) На рис. 9 представлены результаты расчета модуля частотного коэффициента передачи
Рис. 9. Амплитудно-частотная характеристика дискретного фильтра, реализующего метод кусочного размножения оценок при длине интервала разбиения Так как частотная характеристика является периодической функцией частоты с периодом, равным частоте дискретизации, то используется нормировка для проведения сравнений характеристик различных фильтров. Ось частот рис. 9 нормирована относительно Анализ результатов, представленных на рис. 9, показывает, что АЧХ дискретного фильтра зависит от степени аппроксимирующего полинома
Если исходная обрабатываемая последовательность представляет собой сумму гармонического сигнала с частотой, кратной частоте ДПФ и белого шума, тогда значение Расширение полосы пропускания при увеличении степени аппроксимирующего полинома связано с тем, что происходит выделение не только низкочастотной составляющей, но и учитываются колебательные процессы более высокой частоты. В случае выбора степени полинома, равной На рис. 10 представлены графики расчета фазочастотной характеристики коэффициента передачи фильтра (ФЧХ)
Рис. 10. Фазочастотная характеристика дискретного фильтра, реализующего метод кусочного размножения оценок при длине интервала разбиения Анализ результатов, представленных на рис. 10, показывает, что фазочастотные характеристики имеют колебательный характер и асимптотически затухают. При этом колебания тем быстрее затухают, чем меньше степень На рис. 11 представлены АЧХ дискретного фильтра, для сравнения, при
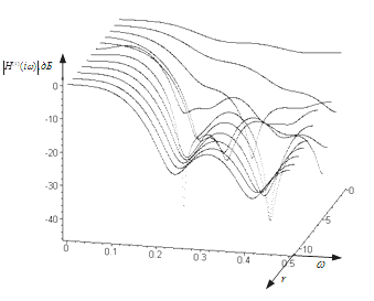
Рис. 11. Семейство амплитудно-частотных характеристик дискретного фильтра, реализующего метод кусочного размножения оценок при длине интервала разбиения Увеличение Для анализируемого фильтра ширина главного лепестка составила На рис. 12 представлен график ФЧХ для сравнения при
Рис. 12. Семейство фазочастотных характеристик дискретного фильтра, реализующего метод кусочного размножения оценок при длине интервала разбиения Анализ характеристики, представленных на рис. 12, позволяет сделать вывод, что форма ФЧХ не зависит от параметра При анализе дискретного фильтра, который описывается уравнением (10), рассматривается случай, когда функция единичного скачка (17) определена на интервале Используя выражение (9) и определение исходного сигнала (17), запишем отклик системы, описываемой выражением (10):
Выражение (23) представляет собой отклик системы в случае, когда исходная последовательность ограничена интервалом На рис. 13 представлено семейство откликов дискретной системы, которая описывается выражением (23) для интервала
Рис. 13. Семейство импульсных характеристик дискретной системы, реализующей метод кусочного размножения при получении оценки полезного сигнала на начальном интервале значений На рис. 14 представлено семейство АЧХ, полученных на основе семейства характеристик, представленных на рис. 13 при
Рис. 14. Семейство амплитудно-частотных характеристик дискретной системы, реализующей метод кусочного размножения при получении оценки полезного сигнала на начальном интервале значений На рис. 14 представлено семейство АЧХ Таким образом, аналитически показано, что обработку методом кусочного размножения оценок можно рассматривать с точки зрения дискретной фильтрации. Параметры метода обработки однозначно связаны с системной функцией фильтра. Получены выражения для нахождения импульсной характеристики дискретного фильтра, которая зависит как от параметра Использование разработанного дискретного фильтра позволяет существенно упростить реализацию метода обработки в виде устройства на базе цифровых сигнальных процессоров различного класса.
в ыводы
1. Разработан метод кусочного размножения оценки полезного сигнала (патент № 2257610), позволяющий обрабатывать исходную реализацию ограниченного объема в условиях априорной неопределенности о полезном сигнале и аддитивной шумовой составляющей. 2. Получены выражения, устанавливающие связь между значениями исходной реализации и значениями оценки полезного сигнала при произвольной степени аппроксимирующего полинома 3. Рассмотрена возможность уменьшения погрешности оценки полезного сигнала на начальном 4. Получены выражения для импульсной характеристики и системной функции устройства, реализующего принцип обработки методом кусочного размножения оценок, которые зависят от параметров обработки. Рассмотрен как стационарный, так и нестационарный случай. 5. Исследования системной функции дискретного фильтра, реализующего метод кусочного размножения оценок, показали, что степень аппроксимирующего полинома на каждом интервале 6. Проведены исследования особенности изменения характеристик дискретной системы при реализации обработки на начальном Библиографический список 1. Адаптивные фильтры / под ред. К.Ф.Н. Коуэна и П.М. Гранта. – М. : Мир. – 200 2. Бендат, Дж. Прикладной анализ случайных данных ; пер. с англ. / Дж. Бендат, А. Пирсол. – М. : Мир, 2009. – 540 с. 3. Гольденберг, Л.М. Цифровая обработка сигналов : учеб. пособие для вузов / Л.М. Гольденберг, Б.Д. Матюшкин, М.Н. Поляк. – 2-е изд., перераб. и доп. – М. : Радио и связь, 2010. – 256 с. 4. Гоноровский, И.С. Радиотехнические цепи и сигналы : учебник для вузов / И.С. Гоноровский. – М. : Радио и связь, 2006. – 512 с. 5. Корн, Г. Справочник по математике для научных работников и инженеров ; пер. с англ. / Г. Корн, Т. Корн. – М. : Наука, 200 – 832 с. 6. Кремер, Н.Ш. Теория вероятностей и математическая статистика : учебник для вузов / Н.Ш. Кремер. – М. : ЮНИТИ-ДАНА, 2010. – 543 с. 7. Марчук, В.И. Итерационный метод выделения функции полезного сигнала в условиях априорной неопределенности / В.И. Марчук // Известия вузов. Северо-Кавказкий регион. Технические науки. – 2007. –№ 9. – С. 25–35. |
,
. (2)
.
. (5)
. (6)
(7)
,
, (9)
– норма ортогональных многочленов.
,
(10)
(11)
(12)
(13)


. (14)
(15)




. (22)


(23)
