Контрольная работа: Особенности модели Ольсона (ЕВО)
|
Название: Особенности модели Ольсона (ЕВО) Раздел: Рефераты по экономике Тип: контрольная работа |
Оглавление Введение Глава 1. Модель Ольсона (ЕВО) Глава 2. ЕВО в практической оценке Глава 3. Модель ЕВО в России Глава 4. Линейная информационная динамика Ольсона и линейная информационная динамика Фельтхама-Ольсона Заключение Список использованных сайтов Введение Модель Ольсона (Edwards-Bell-Ohlson valuation model,модель EBO) является одной из наиболее перспективных современных разработок в теории оценки стоимости компании. Она позволяет использовать преимущества доходного и имущественного подходов, в какой-то степени минимизируя их недостатки. Согласно этой модели, стоимость компании выражается через текущую стоимость еечистых активов идисконтированный поток сверхдоходов (отклонений прибыли от “нормальной”, т.е. средней по отрасли величины). На идеальном рынке, где отсутствует фактор неопределенности, методы чистых активов, дисконтированных денежных потоков, дисконтированных прибылей и дисконтированных дивидендов давали бы одинаковый результат текущей стоимости компании. Когда неопределенность отсутствует, будущий потенциал компании известен всем участникам рынка, и стоимость чистых активов компании равна текущей стоимости будущих доходов, независимо от того, какой именно вид потока (чистый денежный поток, прибыли, дивиденды и т. д.) используется при дисконтировании. В настоящее время в практике оценщиков стоимости бизнеса широко применяется совокупность методов, которые напрямую нельзя отнести к одному из общепринятых подходов: доходному, затратному и сравнительному. Эти методы занимают как бы промежуточное положение между указанными подходами. Использование новых методов отражает и необходимость применения новых способов оценки стоимости бизнеса, которые бы сочетали в себе преимущества каждого из указанных подходов. При использовании таких «гибридных» методов недостатки отдельных подходов будут сводиться к минимуму. Глава 1. Модель Ольсона (ЕВО) модель ольсон оценка стоимость Модель Ольсона Эта модель является дальнейшим усовершенствованием так называемой модели Эдварда–Бэлла–Ольсона (1979) (модель EBO ), в рамках которой впервые было введено понятие «нормальных» и «анормальных» доходов. Нормальными доходами были названы доходы, которые следует ожидать, исходя из стоимости активов компании и устанавливаемой самим рынком ставки средней доходности. Разница (положительная или отрицательная) между реально складывающимися доходами компании (или теми доходами, которые предполагается получить в будущем) и этими «нормальными» доходами названа авторами «анормальными» Одним из базовых предположений модели является то, что при отсутствии анормальных доходов стоимость компании будет равна стоимости ее чистых активов (стоимости ЧА). Наличие же этих анормальных доходов оказывает влияние на стоимость компании, изменяя ее стоимость в большую или меньшую сторону. Модель Эдвардса-Белла-Ольсона (ЕВО) представляет собой модель оценки стоимости (V) акций (бизнеса) по следующей формуле:
где Bt
– собственный капитал (чистые активы) компании на момент t,Е–символ_математического_ожидания,r – ставка дисконтирования соответствующая ожидаемой стоимости обслуживания_капитала,_а
где xt – прибыль за период t. Модель относится к так называемым моделям «остаточного» дохода (Residual Income Model) или RIM. Модель ЕВО Эта модель известна давно, однако в последнее время она приобрела широкую известность благодаря статьям Джеймса Ольсона (James A. Ohlson) 1990 – 1995 годов. В своих работах Ольсон ссылался на статью Эдвардса и Белла (Edwards, Edgar O., and Philip W. Bell) The Theory and Measurement of Business Income 1961-го года. Отсюда и получилось название модели: модель Эдвардса-Белла-Ольсона (Edwards-Bell-Ohlson) или ЕВО. Однако известны подобные модели были много раньше. Описание модели встречалось в работах 1938 г. Уильямса (Williams 1938) и Прайнрайха (Preinreich, 1938). Аналогичные методы использовались еще в начале 20-х годов компанией Internal Revenue Service. Вполне вероятно, что имеются еще более ранние свидетельства использования схожих моделей. В основе модели лежит принцип учета чистого прироста (Clean Surplus Accounting), также называемый соотношением чистого прироста (Clean Surplus Relation). Этот принцип задает балансовое условие динамики чистых активов: B=Bt-1 +xt -dt , которое должно выполняться в принятой системе учета. Здесь:Bt –чистые_активы_(ЧА)_на_конец_t–го_периода,xt –прибыль_за_период_t,dt – «чистые» или обобщенные дивиденды, представляющие собой разницу между распределенными доходами (дивидендами и другими выплатами из чистой прибыли) и внешним инвестированием, увеличивающим величину ЧА предприятия. Глава 2. ЕВО в практической оценке Оценщики в практической оценке часто разбивают стоимость бизнеса на две составляющие: на настоящую стоимость дисконтированного денежного потока в течение некоторого прогнозного периода и настоящую стоимость предприятия в конце этого периода, называемую терминальной или остаточной стоимостью (реверсией). Представляется совершенно очевидным, что задача определения рыночной стоимости предприятия в будущем есть задача более сложная по сравнению с исходной, т.е. с задачей определения текущей рыночной стоимости. Обычно терминальную стоимость выражают рекурсивно через дисконтирование денежных потоков на постпрогнозном (бесконечном) периоде с использованием упрощенных моделей: постоянного роста (формула Гордона) или нулевого роста (метод прямой капитализации дохода). Иногда встречаются оценщики, которые в качестве терминальной стоимости предлагают использовать текущую стоимость чистых активов. Представляя терминальную стоимость как стоимость ликвидации компании с поэлементной реализацией активов и удовлетворением требований кредиторов (что в общем верно, если не учитывать возможность продажи предприятия целиком как имущественного комплекса, продолжающего функционировать), они не учитывают динамику изменения собственного капитала в результате реинвестирования доходов, целевого финансирования, распределения доходов среди владельцев и т.д. В отличие от подобных представлений модель ЕВО определяет терминальную стоимость корректно, логически безупречно. В качестве терминальной стоимости (реверсии) в модели ЕВО выбирается стоимость чистых активов предприятия на конец прогнозного периода. Терминальная стоимость в смысле модели ЕВО представляет собой стоимость предприятия в случае прекращения его деятельности. В этом случае формула ЕВО примет следующий вид:
Модель ЕВО относится к затратному подходу поскольку ценовое ядро модели – это текущая стоимость чистых активов. Под затратным подходом в оценке бизнеса оценщики обычно понимают определение стоимости ЧА – балансовую или скорректированную. Поэлементно суммируются стоимости активов компании, после чего вычитается сумма ее обязательств. При этом часто забывается, что в затратном подходе необходимо учитывать также предпринимательскую прибыль от использования оцениваемого объекта. Стоимость объекта оценки (будь то простая авторучка или крупное производственное предприятие) не равна простой сумме стоимостей составляющих его частей. Собранные в единый комплекс элементы приобретают новое качество, что должно дать прирост стоимости. Ограничиваясь только значением чистых активов (балансовых или корректированных), можно получить лишь ликвидационную стоимость предприятия предполагающую поэлементную реализацию активов и удовлетворение из полученных сумм требований кредиторов. Если же целью оценки является определение рыночной стоимости продолжающего функционировать предприятия, то к стоимости капитала следует добавить составляющую отражающую «предпринимательскую прибыль»:Стоимость компании = Капитал + Прибавочная стоимость Можно ли построить модель ЕВО с переменной ставкой дисконтирования? В этом модель Ольсона ничем не отличается от других моделей дисконтирования доходов. Учет временной структуры процентных ставок производится непосредственно. Формула модели ЕВО примет следующий вид:
Принцип остаточного дохода (Residual Income), на котором строится модель ЕВО получил в настоящее время широкое распространение в практической оценке бизнеса.Ниже приводится таблица наиболее известных систем оценки, использующих принцип RI из статьи Чарльза Ли (Charles M. C. Lee ) Accounting-Based Valuation: Impact on business practices and research:
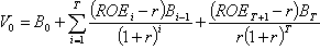
Глава 3. Модель ЕВО в России Для целей оценки стоимости российских предприятий модель ЕВО успешно применяется с 1999 года (Меладзе В.Э., Мунерман И.В.). К сожалению широкому распространению подобных современных методов оценки в нашей стране мешает уже успевшая сложиться традиция составлять отчеты по шаблону, лишь бы они соответствовали «букве» существующих стандартов. До сих пор нет ни одной серьезной работы посвященной эффективности используемых в российской оценке методов. Оттого критерием для оценки самого отчета зачастую становится его толщина и качество оформления, формальное соответствие стандартам. К сожалению это положение усугубляется домыслами и мифами циркулирующими вокруг модели ЕВО в среде оценщиков. Так, например, можно услышать, что «…она [модель ЕВО] обладает недостатками как затратного (статичны чистые активы и необходимость определять реальную стоимость (не балансовую)), так и доходного метода (прогнозировать будущие прибыли). Это скорее хорошая теоретическая игрушка.» Но ведь это все равно, что утверждать: недостатком летучей рыбы является то, что она в отличие от птиц плавает в воде как рыба, а в отличие от остальных рыб умеет еще и летать. Именно синтетический характер модели призван сгладить недостатки свойственные каждому из подходов в отдельности. А вот мнение человека, который взвалил на себя тяжелое бремя знакомить с моделью Ольсона слушателей семинаров РОО: «Использование модели EBO (Edwards-Bell-Olson) в рамках нашей экономики вообще и для целей реструктуризации в частности вызывает большие сомнения. Эта методика применяется для оценки стоимости акций открытых компаний и стоимость акции зависит от трех факторов: балансовой стоимости акций (что, как было сказано выше, мало актуально для российской экономики в настоящий момент), избыточного дохода (разницы между чистой прибылью и выплачиваемыми дивидендами) в прогнозный период (что также малоактуально) и рыночной стоимости акции в постпрогнозный период (что условиях нынешнего состояния российского фондового рынка дает крайне неточную информацию). Эта модель может дать некоторую информацию о стоимости предприятия только для небольшого количества т.н. "голубых фишек" российской экономики, и, с моей точки зрения, совершенно неприемлема для целей реструктуризации предприятий.» – Александр Ткачук, Генеральный директор ООО «К.О.М.И.Т.-инвест» из статьи «Оценка бизнеса как начальный этап реструктуризации предприятия». Оставим это замечание без комментариев. Как и в других моделях строящих свою оценку на дисконтировании будущих доходов, для расчетов в модели ЕВО необходимо эти будущие доходы прогнозировать. Обычно в моделях дисконтирующих поток будущих доходов временной горизонт разбивается на две части: прогнозный период – ограниченный отрезок времени – на котором берутся прямые прогнозы доходов для каждого базового периода и следующий за ним, уже неограниченный, постпрогнозный период для которого берутся некоторые усредненные показатели. Модель Ольсона в этом случае принимает следующий вид:
где ROET+1 – рентабельность собственного капитала в постпрогнозный период – предполагается неизменной. Ряд авторов ограничиваются двумя годами для прогнозного периода, благо широко используемые при анализе базы фундаментальных показателей западных компаний (IBES, Zack's и др.) всегда содержат прогнозы прибыли (EPS или ROE) на два следующих года. То есть модель ЕВО становится зависящей лишь от пяти параметров:
Но несмотря на редукцию, благодаря выделенному «ценовому ядру», оценка оказывается вполне достоверной (см. В чем различия между моделями дисконтирования CF и ЕВО?). При оценке в модели ЕВО можно также использовать различные модели прогнозирующие будущие доходы. Так Ольсон в 1995 г. предложил простую авторегрессионую модель для описания динамики остаточной прибыли назвав ее «линейной информационной динамикой» (LID – Linear Information Dynamics). Позднее Ольсон совместно с Фельтхамом предложили более сложную модель линейной информационной динамике для того, чтобы учесть степень консервативности систем учета. Глава 4. Линейная информационная динамика Ольсона и линейная информационная динамика Фельтхама-Ольсона Как и в других моделях доходного подхода, в модели ЕВО приходится прогнозировать поток будущих доходов. В модели прогнозируется будущая «сверх»прибыль, что сводится обычно к прогнозированию коэффициентов ROE (показателей рентабельности собственного капитала). Ольсон предложил модель прогноза остаточной прибыли на основе авторегрессии, которую он назвал Линейной информационной динамикой (Linear Information Dynamics, сокращенно LID). Модель описывает стохастический процесс для двух связанных между собой переменных: остаточной прибыли и информационной переменной, определяющей влияние существенных факторов не связанных с бухучетом (прибылью и т.д.). Модель представляет собой систему двух авторегрессионых AR(1) уравнений:
где Прогнозирование доходов (денежных потоков, дивидендов или прибыли) необходимо в любом методе применяемом в доходном подходе. Однако непосредственное При Поскольку из линейной информационной динамики мы можем определить все ожидаемые значения будущих остаточных доходов, формула стоимости модели ЕВО «сворачивается» и принимает вид:
Где
Учитывая, что
получаем в итоге формулу расчета стоимости компании по четырем параметрам: - величине чистых активов (B0 ), - «историческому» остаточному доходу - «перспективному» остаточному доходу (оценка) - ставке дисконтирования (r). Важной проблемой при применении линейной информационной динамики Ольсона является параметризация модели, т.е. определение постоянных параметров и . Поскольку эти параметры считаются экзогенными по отношению к конкретной компании, их находят реверсивно, подгоняя их значения «под рынок», путем решения следующей оптимизационной задачи:
где Pi – рыночная капитализация i–ой компании, а Vi – ее стоимость, рассчитанная по модели ЕВО. Таблица значений параметров LID полученная в ряде работ, приводится ниже:
Одной из трудностей при применении модели Ольсона в практической оценке является так называемый «консерватизм» систем бухгалтерского учета. Одни и те же хозяйственные операции могут быть (вполне легально) по-разному отражены в учете, и тем самым дают возможности бухгалтеру «приукрасить» (пусть временно) истинное положение компании. Достаточно вспомнить различие в финансовых результатах получаемых при учете расходов методами LIFO и FIFO, есть и другие способы временного занижения (завышения) прибыли, существуют разные способы расчета амортизационных отчислений (в том числе ускоренная амортизация) и т.д. Чтобы учесть в линейной информационной динамики недооценку/переоценку активов вследствие консерватизма учета, Фельтхамом и Ольсоном (Feltham, Ohlson) в 1995, 1996 гг. была предложена следующая модификация первоначальной модели: 1. Формула стоимости как настоящей стоимости потока дивидендов:
2. Отношения учета чистого прироста:
3. Отношение «чистого интереса» (чистая доходность финансовых активов):
3. Линейная информационная динамика:
Где oat
= «чистые» операционные активы (т.е. за вычетом операционных пассивов)oxt
=операционная_прибыльfat
= «чистые» финансовые активы (т.е. за вычетом финансовых обязательств)it
=доходы_от_финансовых_активовbt
=fat+oat=чистые_активыxt
=it+oxt=_чистая_прибыльdt
=«чистые»_дивидендыct
=(свободный)_денежный_потокr=ставка_дисконтирования Параметры модели
При этих условиях модель «сворачивается» и получается следующая итоговая формула стоимости линейно зависящая от параметров:
Где
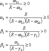
Условие
В этом случае Если же
Заключение Модель Ольсона сочетает в себе отдельные компоненты всех подходов к оценке стоимости бизнеса. Так, в ее основе лежит совокупность характеристик как стоимости активов предприятия (затратный подход) и так и дисконтированных стоимостей анормальных доходов (доходный подход). Динамика же поведения этих анормальных доходов определяется с помощью введения в расчет значений параметровγ иω , которые изначально получаются с помощью выборочных обследований рынка в целом (элементы сравнительного подхода). Модель EBO обладает достаточным потенциалом для ее успешного применения в российских условиях. Поскольку базой для определения стоимости компании, а часто и большей ее составляющей в данной модели служит текущая величина чистых активов, найденная итоговая сумма должна вызывать большую степень доверия у консервативно настроенной части оценщиков и аналитиков. Для потенциального инвестора модель Ольсона является мощным инструментом, дающим представление о том, какая часть рыночной стоимости фирмы выражена ее реальными активами, а какая – нематериальным “гудвиллом”, что позволяет более точно представлять степень рискованности вложений в ту или иную компанию. Список использованных сайтов 1. http://www.cfin.ru/finanalysis/value_ohlson.shtml 2. http://creativeconomy.ru/library/prd641.php 3.http://www.valnet.ru/m7-232.phtml |





