Дипломная работа: Организация учебного процесса при изучении темы "Световые волны" в основной школе на различных этапах урока физики
|
Название: Организация учебного процесса при изучении темы "Световые волны" в основной школе на различных этапах урока физики Раздел: Рефераты по педагогике Тип: дипломная работа | |||||||||||||||||||||||||||||||||||||||||||||||
Содержание Введение Глава 1. Анализ психолого-педагогической и методической литературы по теме исследования 1.1 Состояние учебного процесса по физике в классах общеобразовательного профиля основной школы 1.2 Дидактические принципы, реализуемые при изучении темы «Световые волны» в курсе основной школы 1.3 «Стандарт второго поколения», примерные программы, требования к знаниям ученика 1.4 Анализ комплектов по физике для основной школы Глава 2 Методика изучения темы «Световые волны» в курсе физики основной школы 2.1 Содержательная модель темы «Световые волны» 2.2 Физический эксперимент при изучении темы «Световые волны» 2.3 Система заданий для учащихся при изучении темы «Световые волны» 2.4 Методика проведения фронтальных лабораторных работ на примере лабораторной работы «Определение оптической силы и фокусного расстояния собирающей линзы» 2.5 Оценка учебных достижений учащихся по теме «Световые волны» Глава 3. Проектная деятельность учащихся при изучении темы «Световые волны» 3.1 Сущность метода проектов 3.2 Основные требования к использованию метода проектов при изучении темы «Световые волны» в основной школе 3.3 Виды проектов, их организация и этапы метода проектов Заключение Список литературы Приложения Введение В современном обществе требования к овладению учащимися различными компетентностями все более возрастают. Один из важных разделов при обучении физике, вызывающий наибольший интерес, но и значительное количество трудностей является раздел «Световые явления». Между тем методика изучения различных вопросов в этом разделе не разработана в должной мере. В связи с этим нами была сделана попытка разработать один из вопросов данного раздела - «Световые волны» и предложить некоторые методические моменты, которые, в зависимости от принятой технологии учебного процесса, его целей и задач, могут быть использованы преподавателями физики как для изучения темы. Разработка и поиск такого способа изложения темы, который в полной и доступной манере объясняет данную тему в рамках её изучения в основной школе позволяет нам сделать вывод об актуальности исследования и заключает в себе элемент новизны и практической значимости. Цель исследования – разработка методики изучения темы «Световые волны» раздела «Световые явления» в основной школе. Объектом исследования является организация учебного процесса при изучении темы «Световые волны» раздела «Световые явления» в основной школе на различных этапах урока физики. Предметом является поиск содержания, форм и методов обучения, обеспечивающих достижение поставленной цели. В основу работы была положена гипотеза : использование каких методических и дидактических приемов, элементов технологий повышает эффективность учебного процесса и позволяет добиться более глубокого понимания данной темы учащимися. Исходя из поставленной цели и сформулированной гипотезы, следуют задачи : 1) разработать методику изложения темы “Световые волны” с использованием разных методических и дидактических приемов, 2) выяснить, с какими трудностями сталкиваются учащиеся в процессе изучения данной темы и, следовательно, каким вопросам и понятиям следует уделить особое внимание. Для решения поставленных задач использованы следующие методы : изучение методической, психологической и справочной литературы по данной теме, знакомство с уже имеющимися разработками в области данной темы, проведение уроков по изучению темы «Световые волны» раздела «Световые явления» в основной школе. Глава 1. Анализ психолого-педагогической и методической литературы по теме исследования 1.1 Состояние учебного процесса по физике в классах общеобразовательного профиля основной школы Практическая деятельность преподавателя, представляет собой сложный многогранный педагогический процесс. Каждый преподаватель заинтересован в эффективном построении процесса обучения, а также сопутствующей благоприятной атмосферы внутри коллектива класса. Рассмотрим вопросы педагогической психологии, которые оказывают влияние на процесс обучения, взаимоотношение в коллективе класса, а также эффективного усвоения изучаемого материала. Основной формой практической деятельности любого преподавателя является общение, построение коммуникативных отношений, причем, одной из основополагающих форм, при которой возможно реальное взаимодействие учителя и учеников, является диалог. Реализация принципа единства обучения и воспитания в учебном процессе, идет через организацию совместной учебной деятельности, цель которой осознается всеми участниками учебного процесса как единая, требующая объединения усилий всей группы и предполагающая некоторое разделение труда в процессе деятельности на основе сложной кооперации. Вследствие этого между учащимися образуются отношения ответственной зависимости, а контроль и коррекция со стороны педагога сочетается с взаимоконтролем и коррекцией между самими учащимися. Правильно организованная групповая работа предполагает руководящую роль педагога. В данном случае взаимодействие педагога и учащихся приобретает характер более сложных субъект – субъект и объектных отношений. Педагог воздействует на всю группу как на обобщенного субъекта обучения, в то время как обучение отдельных членов группы происходит другими обучаемыми. Выделяют целенаправленное и нецеленаправленное влияние педагога. Целенаправленное влияние – результат специально организованного педагогом воздействия. Оно носит осознанный, преднамеренный, запланированный характерам. Если педагог поведением, общением, внешним видом, манерой держаться неосознанно влияет на учащихся, такое влияние называют нецеленаправленным, и оно носит непреднамеренный характер. Рассмотрим отдельные аспекты влияния личности преподавателя на учащихся, которые определяются его ролью и функцией в обучении. Прежде всего, педагог выступает перед учащимися как представитель науки, которую преподает. От педагога, его подготовки и культуры в целом зависит, в каком наборе знаний, методов анализа научных фактов, в каких связях и отношениях она предстанет перед учащимися. Влияние личности объясняется живыми, эмоциональными связями, умение вступать в диалог и делать его более продолжительным. В процессе обучения между преподавателем и учащимися могут складываться межличностные отношения трех типов. 1. Конъюнктивный тип – основан на контактах, сближающих общающихся в обучении. 2. Дизъюнктивный – основан на контактах, разделяющих преподавателя и обучаемых. 3. Ситуативный – основанный на явно выраженном положительном отношении к преподавателю. При общении с одноклассниками развивается личностная и межличностная рефлексия, в результате чего, ученик начинает видеть причины своих конфликтов, затруднений в особенностях собственной значимости. Содержание общения сосредотачивается вокруг вопросов личностного общения, развития индивидуальности. В характере отношения учащихся к окружающим в процессе общения, сказываются два начала: 1) возрастное развитие (интеллектуальный, культурный уровень, связанный с накопившимся опытом, с характером его самосознания); 2) особенности индивидуального развития (в результате характера взаимоотношений в семье, его положением в ней, сформированностью привычек, послушания к требованиям). При этом каждый ученик становится в положение ответственной зависимости перед классом и адекватно ситуации переживает успехи, или неудачи класса. Отвечая на вопросы учителя (при фронтальной работе), сами учащиеся способствуют более широкому обстоятельному анализу рассматриваемого учебного материала. Такая совместная учебная деятельность представляет собой вид групповой работы, в которой каждый в соответствии со своими способностями, интересами, может вносить свой вклад в общее дело обучения. При обсуждении материала, взаимно дополняя друг друга, ученики основательнее уясняют материал, глубже проникая в его сущность. Решая совместно задачи, делая упражнения, учащиеся быстрее продвигаются к поставленной цели. Возникшие затруднения в познавательной деятельности разрешаются усилиями всего коллектива учащихся. При групповой работе школьники учатся совместной деятельности в решении познавательных задач. Кто-то хорошо проявил себя в анализе учебного материала, кто-то испытывает затруднения в решении примера или задачи, кто-то уклоняется от работы. Это происходит при всех. Давая оценку, делая замечания отдельным учащимся, учитель рассчитывает, что на них будут реагировать все, предполагает, что его указания, вопросы, предложения доходят до каждого. Те учащиеся, которые встречают затруднения в решении проблем, могут прибегнуть к помощи своих товарищей. Групповая работа строится с таким расчетом, чтобы каждый выполнял указание учителя, вступал в контакт с ним и классом, учитывал его замечания, реакции коллектива и должным образом поступал в соответствии со сложившейся ситуацией. При такой организации коллектив класса живет одними целями. В данной ситуации обучения диалог является не только средством обучения и воспитания, он еще и полигон для упражнения речевой способности учащихся и условие усвоения ими законов человеческого общения. Усваивая знания, вырабатывая навыки и умения в определенной научной области, ученик одновременно усваивает правила речевого поведения и, в частности, правила диалога. К этим правилам относится способность ясно излагать свои мысли (строить полные и четкие высказывания, приводить в соответствие вербальные и невербальные средства), понимать партнера (слушать его, улавливать не только непосредственное значение его фраз, но и их смысл), добиваться адекватного понимания партнером смысла своего высказывания. Все эти умения в традиционных условиях обучения формируются у учащихся стихийно, в зависимости от тех обстоятельств, в которые они попадают, и тех учителей и других взрослых, с которыми они общаются. Сталкиваясь с разными стилями коммуникативного поведения, учащиеся расширяют свой социальный опыт общения и неосознанно усваивают модели диалогического взаимодействия. Средний школьный возраст (от 11-12-ти до 15-ти лет) - переходный от детства к юности. Он совпадает с обучением в школе (5-9 классы) и характеризуется глубокой перестройкой всего организма. Учителю, стоит обратить внимание на такую психологическую особенность данного возраста, как избирательность их внимания. Это значит, что они откликаются на необычные, захватывающие уроки и классные дела, а быстрая переключаемость внимания не дает возможности сосредотачиваться долго на одном и том же деле. Однако если классный руководитель создает трудно преодолеваемые и нестандартные ситуации ребята занимаются внеклассной работой с удовольствием и длительное время. Значимой особенностью мышления подростка является его критичность. У ребенка, который всегда и со всем соглашался, появляется свое мнение, которое он старается демонстрировать как можно чаще, таким образом, заявляя о себе. Дети в этот период склонны к спорам и возражениям, слепое следование авторитету взрослого сводится зачастую к нулю, родители недоумевают и считают, что их послушный ребенок подвергается чужому влиянию и в семьях наступает пора кризисной ситуации - «верхи» не могут, а «низы» не хотят мыслить и вести себя по-старому. Но эта особенность приводит к формированию у подростка активной жизненной позиции, которая может быть использована учителем для творческого развития подростка. В этом возрасте учащимся нравится решать проблемные ситуации, находить сходство и различие, определять причину и следствие. Ребятам интересно изучать предметы, в ходе которых можно высказать свое мнение и суждение. Самому решать проблему, участвовать в дискуссии, отстаивать и доказывать свою правоту. В подростковом возрасте важное значение приобретает чувственная сфера. Свои чувства подростки могут проявлять очень бурно, иногда аффективно. Этот период жизни ребенка иногда называют периодом тяжелого кризиса. Признаками его могут быть упрямство, эгоизм, замкнутость, уход в себя, вспышки гнева. Поэтому следует больше уделять внимание индивидуальной работе, комбинируя различные её формы. Особое значение для подростка в этом возрасте имеет возможность самовыражения и самореализации. Учащимся будут интересны такие уроки, которые служат активному самовыражению подростков и учитывают их интересы. Ребят привлекает возможность самим участвовать на отдельных этапах урока, вступать в диалог и полилог, принимать самостоятельные решения, особенно при выполнении практических работ исследовательской направленности. Особенности предмета физика как системообразующей дисциплины среди всех естественнонаучных учебных предметов, поскольку физические законы лежат в основе содержания курсов химии, биологии, географии и астрономии позволяют сформулировать, с учетом возрастных особенностей подростков, целиизучения физики в основной школе: -развитие интересов и способностей учащихся на основе передачи им знаний и опыта познавательной и творческой деятельности; -понимание учащимися смысла основных научных понятий и законов физики, взаимосвязи между ними; -формирование у учащихся представлений о физической картине мира. Достижение этих целей позволит активизировать познавательную деятельность подростков, обеспечить наилучшее усвоение изученного материала. 1.2 Дидактические принципы, реализуемые при изучении темы «Световые волны» в курсе основной школы Одним из наиболее интересных и сложных в понимании разделов «Световые явления» является тема «Световые волны». К дидактическим принципам, обеспечивающим высокую эффективность изучения этой темы, относятся: -принцип связи обучения с жизнью; -принцип научности, принцип доступности; -принцип систематичности; -принцип преемственности; -принцип наглядности; -принцип мотивационной стимуляции; -принцип педагогической технологии. Принцип связи обучения с жизнью относится непосредственно к отбору содержания обучения. Достаточно при объяснении материала сделать акцент на том, что сигналы из диапазона длин волн, соответствующего видимому спектру дают человеку 90% всей информации об окружающем мире или на явлении дифракции, которое несложно пронаблюдать через сомкнутые ресницы, разглядывая любой источник света. Жизненный опыт обучаемых позволит привести примеры из окружающего мира, подтверждающие использование темы «Световые волны», например, рассматривание объектов через затемненное или цветное стекло. Принцип научности - это требование строгого соответствия содержания образования уровню современной науки. Изучению темы могут поспособствовать такие приемы как просмотр видеоматериалов по теме, изучение интернет-ресурсов с научными трудами ученых в области «Световые явления», прочтение статей из научных журналов «Наука и жизнь», «Знание - сила». Принцип доступности предполагает обеспечение логической последовательности в изложении учебного материала, опору на предшествующий познавательный опыт обучаемого, использование учебного оборудования и методов его применения с точки зрения возрастных возможностей обучаемых. Изучение особенностей глаза на наглядной модели, смешивание красок, осознание процессов получения цветного изображения, получение спектра при рассматривании источника света через отверстие в листе бумаги, через линзу позволит расширить взгляд на окружающий мир обучающихся и будет способствовать обеспечению принципа доступности. Принцип систематичности заключается в последовательном усвоении учащимися определенной системы знаний. Доступность набора линз, цветных фильтров, источников света и пластинок с различными видами прорезей будут способствовать формированию интереса к изучаемой теме. Обеспечению систематичности и последовательности в обучении способствует также контроль знаний обучающихся. Компьютерные тестирующие программы, тесты в режиме on-line позволяют быстро провести опрос по теме. Принцип преемственности проявляется в реализации взаимосвязей между событиями и явлениями в процессе их развития. Демонстрации этого в значительной степени способствует использование учебно-наглядных пособий кабинета физики. Демонстрация видеофильмов, презентаций, приготовленных как учителем, так и самими учащимися под руководством педагога позволит выявить зависимость между объектами, событиями и явлениями науки при изучении любой темы, а в особенности, темы «Световые явления». Принцип наглядности. Наглядность в дидактике имеет более широкое толкование, чем непосредственно зрительное восприятие. Она включает в себя и восприятие через моторные, тактильные (от лат. tactus - чувство, осязание) ощущения. Чем более разнообразны чувственные восприятия учебного материала, тем лучше он усваивается. Например, демонстрация опытов по прямолинейному распространению света проходит либо в темное время суток, либо с использованием затемнения, что приводит к усилению желания активно участвовать в проведении опытов, повторению ранее изученного материала с большим желанием. Принцип мотивационной стимуляции предполагает при применении учебно-наглядных пособий и учебного оборудования по физике использование приемов основанных на мотивах, побуждающих обучаемого к активному поиску решения учебной физической задачи, способствующих устойчивому интересу при выполнении практических заданий или достижения поставленной цели. Например, рассматривание карандаша, опущенного в стакан с водой позволит создать условия для более успешного решения задач при изучении вопросов преломления и отражения световых волн. Принцип педагогической технологичности предусматривает адекватность применяемых учебно-материальных средств кабинета конкретным технологическим приемам и методам работы педагога - физика. При изучении темы «Световые волны» можно использовать различные технологические приемы, например, учитывая стремление к самостоятельности, необходимости к самоутверждению можно предложить проведение некоторых опытов в домашних условиях с последующим оформлением в виде проекта. Овладение описанными ранее принципами позволяет значительно повысить интерес обучаемых за счет организации познавательной деятельности, рассчитанной на увеличение самостоятельной работы учащихся, выполнение практических и лабораторных заданий, включение разнообразных заданий поискового характера, создание проблемных ситуаций, выполнение практико-направленных самостоятельных и контрольных работ. 1.3 «Стандарт второго поколения», примерные программы, требования к знаниям ученика В 2005 году начата разработка стандарта общего образования второго поколения. Координационным центром и основным исполнителем проекта по разработке стандарта общего образования являлась Российская академия образования. Коллектив разработчиков состоял из семнадцати групп, возглавляемых известными учеными Российской академии наук (РАН) и Российской академии образования (РАО), каждая из которых отвечала за конкретное направление работы. Стандарты первого поколения создавались в определенных исторических условиях резкой смены идеологических и политических векторов нашей жизни. Основными лозунгами того времени была деидеологизация и гуманизация образования. Происходил процесс отбора нового содержания образования, сами условия реализации этих направлений были сложными с точки зрения невнятных идеологических и политических установок. Кроме того, стандарты первого поколения не учитывали заказ общества на получение общего образования, совсем не учитывались экономические факторы развития страны. В основу разработки стандартов второго поколения был положен один из ключевых тезисов Послания В.В. Путина Федеральному Собранию Основной акцент новых стандартов ставится на экономических, финансовых механизмах, инфраструктурных вопросах деятельности образования. В основу стандарта положены новые принципы его построения. Образовательный стандарт, являющийся отражением социального заказа, рассматривался разработчиками проекта как общественный договор, согласующий требования к образованию, предъявляемые семьей, обществом и государством и представляет собой совокупность трех систем требований – к структуре основных образовательных программ, к результатам их освоения и условиям реализации, которые обеспечивают необходимое личностное и профессиональное развитие обучающихся. Образование выступает в роли не только важнейшего социального института, но и осуществляет важнейшую социальную деятельность общества. Это оказалось важным в определении предмета разработки стандартов. С одной стороны, можно рассматривать образовательную среду, т. е. образовательное учреждение, – каким образом оно реализует задачи обучения и воспитания. С другой стороны, предметом реформы может быть образование как отрасль социально-экономического развития государства. Здесь основное внимание следует акцентировать на организационно-экономических, финансовых механизмах, инфраструктурных вопросах деятельности образования. В настоящее время образование считается важнейшей социальной деятельностью общества, т.е. рассматривается образовательное пространство страны как совокупности институтов социализации, которые оказывают воздействие на формирование будущих поколений ее граждан. Школа рассматривается как учреждение, взаимодействующее с семьей, СМИ, культурой, религией и др. Основная роль новой системы образования - это обеспечение социальной и духовной консолидации нации, конкурентоспособности и безопасности личности, общества и государства, т.е. делается акцент на формирование гражданской идентичности как условие укрепления российской государственности, а, именно, это этническая, региональная идентичность, чувство малой Родины и философии нового стандарта - концепцию многокультурного плюрализма – все нации и народы, проживающие на территории Российской Федерации, равны между собой и имеют равные права на развитие своей культуры, своего языка и т. д. в рамках одной российской культуры. Разработка стандартов второго поколения заняла 3 года и 7 февраля 2011 года была утверждена. Важным результатом этой разработки явилась новая система оценивания достижений учащихся, основанную на критериальном подходе, а также изучение и обобщение требований семьи, общества и государства к результатам образования. Сегодня под стандартом понимается система требований: требования к результатам освоения основных образовательных программ, требования к структуре основных образовательных программ и требования к условиям реализации основных образовательных программ. Организация образовательного процесса будет построена целом ряде нормативных документов, определяющих процесс формирования образовательного пространства школы для обеспечения достижения планируемых результатов. Дмитрий Анатольевич Медведев на Совете по образованию при Президенте РФ отметил, что возникли все предпосылки для превращения школы в один из формирующихся институтов гражданского общества, где сходятся интересы семьи, общества и государства в подготовке подрастающего поколения будущих россиян. Использование эффективных педагогических технологий - один из основных моментов новых стандартов второго поколения, который способствует формированию компетентности ребенка по освоению новых знаний, умений, навыков, способностей и пр. Отличительной особенностью новых стандартов является их личностная ориентация – отказ от предметно-центризма и переход к личностной центрации образования. В стандартах делается акцент на то, что необходимо обратить внимание на естественнонаучное образование – нанотехнологии, биотехнологии, азы знаний которых должна закладывать школа, т. к. за ними будущее страны, необходимо так осуществлять отбор содержания образования, чтобы оно было абсолютно необходимым для будущего успешного развития страны и социальной успешности наших граждан. При изучении физики по стандарту второго поколения происходит: 1) формирование представлений о закономерной связи и познаваемости явлений природы, об объективности научного знания; о системообразующей роли физики для развития других естественных наук, техники и технологий; научного мировоззрения как результата изучения основ строения материи и фундаментальных законов физики; 2) формирование первоначальных представлений о физической сущности явлений природы (механических, тепловых, электромагнитных и квантовых), видах материи (вещество и поле), движении как способе существования материи; усвоение основных идей механики, атомно-молекулярного учения о строении вещества, элементов электродинамики и квантовой физики; овладение понятийным аппаратом и символическим языком физики; 3) приобретение опыта применения научных методов познания, наблюдения физических явлений, проведения опытов, простых экспериментальных исследований, прямых и косвенных измерений с использованием аналоговых и цифровых измерительных приборов; понимание неизбежности погрешностей любых измерений; 4) понимание физических основ и принципов действия (работы) машин и механизмов, средств передвижения и связи, бытовых приборов, промышленных технологических процессов, влияния их на окружающую среду; осознание возможных причин техногенных и экологических катастроф; 5) осознание необходимости применения достижений физики и технологий для рационального природопользования; 6) овладение основами безопасного использования естественных и искусственных электрических и магнитных полей, электромагнитных и звуковых волн, естественных и искусственных ионизирующих излучений во избежание их вредного воздействия на окружающую среду и организм человека; 7) развитие умения планировать в повседневной жизни свои действия с применением полученных знаний законов механики, электродинамики, термодинамики и тепловых явлений с целью сбережения здоровья; 8) формирование представлений о нерациональном использовании природных ресурсов и энергии, загрязнении окружающей среды как следствие несовершенства машин и механизмов. Достижение предметных и метапредметных результатов освоения основной образовательной программы основного общего образования, необходимых для продолжения образования, является предметом итоговой оценки освоения обучающимися основной образовательной программы основного общего образования. При итоговом оценивании результатов освоения обучающимися основной образовательной программы основного общего образования должны учитываться сформированность умений выполнения проектной деятельности и способность к решению учебно-практических и учебно-познавательных задач. Итоговая оценка результатов освоения основной образовательной программы основного общего образования включает две составляющие: - результаты промежуточной аттестации обучающихся, отражающие динамику их индивидуальных образовательных достиженийв соответствии с планируемыми результатами освоения основной образовательной программы основного общего образования; - результаты государственной (итоговой) аттестации выпускников, характеризующие уровень достижения планируемых результатов освоения основной образовательной программы основного общего образования. К результатам индивидуальных достижений обучающихся, не подлежащим итоговой оценке, относятся ценностные ориентации обучающегося и индивидуальные личностные характеристики. Обобщённая оценка этих и других личностных результатов освоения обучающимися основных образовательных программ должна осуществляться в ходе различных мониторинговых исследований. В Целевом разделе программы должно содержаться общее назначение, цели, задачи и планируемые результаты реализации основной образовательной программы основного общего образования, а также способы определения достижения этих целей и результатов. В Содержательном разделе программы должно находиться общее содержание основного общего образования, образовательные программы, ориентированные на достижение личностных, предметных и метапредметных результатов, в том числе: программу развития универсальных учебных действий (программу формирования общеучебных умений и навыков) на ступени основного общего образования, включающую формирование компетенций обучающихся в области использования информационно-коммуникационных технологий, учебно-исследовательской и проектной деятельности; программы отдельных учебных предметов, в частности, физики, курсов, в том числе интегрированных. В Организационномразделе должны содержаться общие рамки организации образовательного процесса, а также механизм реализации компонентов основной образовательной программы. Этот раздел включает: учебный план основного общего образования как один из основных механизмов реализации основной образовательной программы; систему условий реализации основной образовательной программы в соответствии с требованиями Стандарта. Для реализации программы и обеспечения индивидуальных потребностей обучающихся в основной образовательной программе основного общего образования предусмотрены различные дополнительные формы учебной деятельности, например, учебные курсы по углубленному изучению физики, корректирующие занятия по физике, практикоориентированные занятия по физике, обеспечивающие различные интересы обучающихся, и другие формы внеурочной деятельности: проектировочная деятельность, экскурсии и др. Согласно требованиям стандарта программы отдельных учебных предметов, курсов разрабатываются на основе требований к результатам освоения основной образовательной программы с учётом основных направлений программ, включённых в структуру основной образовательной программы. Программа по физике должна содержать: 1) пояснительную записку, в которой конкретизируются общие цели основного общего образования с учётом специфики физической науки; 2) общую характеристику курса физики; 3) описание места физики в учебном плане; 4) личностные, метапредметные и предметные результаты освоения физики; 5) содержание курса физики; 6) тематическое планирование по физике с определением основных видов учебной деятельности; 7) описание учебно-методического и материально-технического обеспечения образовательного процесса на уроках физики; 8) планируемые результаты изучения курса физики. Таким образом, Программа, согласно Стандартам второго поколения должна быть направлена на формирование готовности обучающихся к выбору направления своей профессиональной деятельности в соответствии с личными интересами, индивидуальными особенностями и способностями, с учётом потребностей.1.4 Анализ комплектов по физике для основной школы В рамках реализации программы по физике в рамках основной школы на 2010 – 2011 учебные годы были рекомендованы следующие учебники. 1) Учебники Физика 7 – 9 классы, авторы Генденштейн Л.Э., Кайдалов А.Б., Кожевников В.Б. / Под ред. Орлова В.А., Ройзена И.И., изданный издательством «Мнемозина». Учебники рассчитаны на учащихся общеобразовательных школ, приступающих и продолжающих изучение физики. К особенностям учебников относится двухуровневое изложение материала; представление значительной части материала в виде подробно решенных задач; разделение вопросов и заданий на два уровня сложности; наличие многочисленных цветных иллюстраций; описание большого числа опытов; включение рубрики «Домашняя лаборатория». Учебники имеют учебно-методический комплект, состоящий из задачника, методических материалов – пособия для учителя, сборника самостоятельных работ, тематических контрольных работ, тетрадей для лабораторных работ. 2) Учебники Физика 7 – 9 классы, авторы Грачев А.В., Погожев В.А., Селиверстов А.В. , изданный издательством «ЕНТАНА-ГРАФ». Учебники рассчитаны на учащихся общеобразовательных школ, приступающих и продолжающих систематическое изучение физики. Авторы используют классическую последовательность изложения курса физики — начиная с механики, что соответствует логической структуре физики, как науки, и отвечает наиболее распространенным методикам ее преподавания. Изложение теоретического материала в 7 классе строится на базе курса «Естествознание» для 5–6 классов, но не повторяет этот курс, а развивает его. В учебниках 8 и 9 классов продолжено изучение курса в простой и доступной форме, с использованием понятных моделей, в учебниках представлены знания, создающие целостную непротиворечивую картину окружающего мира на основе современных научных представлений. Учебники отличает логическая последовательность и корректность в изложении теоретического материала. Впервые за последнее время реализуется требование приведения в порядок и уточнения формулировок определений физических величин и физических законов, рассматриваемых в школьном курсе физики. Особое внимание уделяется формированию умений учащихся применять полученные знания, в том числе для решения задач. Подробно рассмотрены алгоритмы решения типовых задач по курсу механики с учетом накопленного авторами опыта преподавания физики в школе. Учебники создавались как разноуровневые, одинаково интересны и для обычных учащихся, и для интересующихся физикой учеников. В содержание параграфов включены комментарии, вспомогательные тексты и разнообразная справочная информация. Учебники имеют учебно-методический комплект, состоящий из рабочих тетрадей, тетрадей для лабораторных работ, методического пособия по проектированию учебного курса. 3) Учебники Физика 7 – 9 классы, авторы Громов С.В., Родина Н.А., изданный издательством «Просвещение». Учебники рассчитаны на учащихся общеобразовательных школ, приступающих и продолжающих систематическое изучение физики. Это известный учебный курс, который отличает высокий научный уровень, современная структура, доступность, четкость и увлекательность изложения материала с опорой на исторические факты. Упражнения собраны в специальных разделах, помещенных в конце каждого учебника, где также приводятся описания лабораторных работ. Положительными моментами данного издания считается вынос табличных данных веществ. Наконец, наличие исторического материала и кроссвордов в конце разделов делает этот комплект учебников привлекательным для учеников. Для учителя же предназначены разбор и решение задач в конце каждого учебного пособия. Учебники имеют учебно-методический комплект, состоящий из книги для учителя, рабочей тетради по физике автора Мартыновой Н.К., опорных конспектов и дифференцированных задач по физике, сборника контрольных работ автора Марон А.Е., Марон Е.А. и лазерного диска с мультимедийным сопровождением уроков. 4) Учебники Физика 7 – 9 классы, автор Гуревич А.Е., изданный издательством «Дрофа». Учебники рассчитаны на учащихся общеобразовательных школ, приступающих и продолжающих систематическое изучение физики. Данный курс является линейным, разделы физики изучаются последовательно: вначале основы молекулярного строения вещества, затем электрические явления, механика. Учебники реализуют идею образования через эксперимент: изучению той или иной теоретической закономерности предшествует конкретный опыт. Учебник этого автора содержит пропедевтический курс «Физика. Химия. 5 — 6 классы» авторов Гуревича А.Е., Исаева Д.А.. Понтак Л.С. используется многими преподавателями. Учебники имеют учебно-методический комплект, состоящий из методических пособий авторов А.Е.Гуревич, Д.А.Исаев, Л.С.Понтак, методического пособия авторов А.Е.Гуревич, С.И.Удальцова; методического пособия авторов А.Е.Гуревич и др. и лазерного диска с мультимедийным сопровождением уроков. 5) Учебники Физика 7 – 9 классы, автор Изергин Э.Т., изданный издательством «Русское слово». Учебники рассчитаны на учащихся общеобразовательных школ, приступающих и продолжающих систематическое изучение физики. Изучение физики по курсу Э.Т. Изергина начинается с рассмотрения ряда физических явлений. Далее излагается тема «Строение вещества» и новая для школьной физики тема «Физические поля», в которой знания по физике расширяются и углубляются. В учебниках большое внимание уделяется методам получения новых знаний: экспериментальному, математическому (в том числе графическому), содержательно-логическому. Учебники имеют учебно-методический комплект, состоящий из рабочей тетради, книги учителя. 6) Учебники Физика 7 – 9 классы, автор Кабардин О.Ф., изданный издательством «Просвещение». Этот комплект учебников отличает четкость и лаконичность изложения физического материала. Благодаря размеренной структуре подачи материала учебники максимально оптимизируют процесс изучения физики. Логика построения учебника предоставляет возможность учащимся быстро находить и повторять необходимый материал. В учебниках содержится достаточное количество задач, лабораторных работ и теоретических вопросов, необходимых для закрепления знаний учащихся. Учебники имеют учебно-методический комплект, состоящий из рабочих тетрадей, пособия «Контрольные работы по физике», опорных конспектов, сборника дифференцированных задач, книги для учителя. 7) Учебники Физика 7 – 9 классы, автор Перышкин А.В., изданный издательством «Дрофа». Учебники включают достаточный теоретический материал для изучения курса физики в общеобразовательных учреждениях. Каждая глава и раздел, посвященные той или иной фундаментальной теме, завершаются перечнем вопросов и упражнений, выполнив которые ученики смогут закрепить в памяти пройденный теоретический материал. Учебники удовлетворяют специальным требованиям к учебной литературе по физике. Каждая глава и раздел учебников, посвященные той или иной фундаментальной теме, завершаются перечнем вопросов и упражнений, выполнив которые ученики могут закрепить в памяти пройденный теоретический материал. Учебники имеют учебно-методический комплект, состоящий из дидактических материалов авторов А.Е.Марон, Е.А.Марон; тематического и поурочного планированияЕ.М.Гутник, Е.В.Рыбакова; тематического и поурочного планированияЕ.М.Гутник, Е.В.Рыбакова, Е.В.Шаронина; тематического и поурочного планированияЕ.М.Гутник, Е.В.Шаронина, Э.И.Доронина; рабочих тетрадей Н.К.Ханнанова; разноуровневые самостоятельные и контрольные работы Ю.И.Кирик и лазерного диска с мультимедийным сопровождением уроков. 8) Учебники Физика 7 – 9 классы, автор Пинский А.А., Разумовский В.Г., Гребенев И.В. и др. / Под ред. Пинского А.А., Разумовского В.Г., изданный издательством «Просвещение» В 2007 году была закончена апробация данного комплекта. Известные интегрированные с курсом астрономии двухуровневые учебники для девятилетней школы переработаны и дополнены в соответствии с новым содержанием физического образования и пожеланиями учителей. Изучение физических и астрономических явлений в их взаимосвязи дает учащимся целостное представление об окружающем мире. С 2002 года эти учебники выходят под названием «Физика». В учебниках использован новый тип дидактического материала – система домашних экспериментальных заданий. Материал учебников различен по сложности: для обязательного и для углубленного изучения.В учебниках использован новый тип дидактических материалов – система домашних экспериментальных заданий. Материал учебников различен по сложности: для обязательного и углубленного изучения. Дифференцированы также вопросы для самоконтроля, качественные и расчетные задачи, лабораторные работы и домашние экспериментальные задания. Достаточное число практических работ обеспечивает необходимый объем знаний и умений учащихся. Материал в тетрадях для лабораторных работ разделен на три части в соответствии с этапами проведения лабораторных работ: подготовительный – анализ предстоящего эксперимента; основной – проведение лабораторной работы в кабинете физики под руководством учителя; контрольный (развивающийся)– анализ результатов, полученных экспериментально. Учебники имеют учебно-методический комплект, состоящий из тематического планирования авторы Шилова В.Ф., Дик Ю.И., Пинский А.А., дидактических материалов под редакцией И.Г.Кирилловой; тетради для лабораторных работ автор Шилов В.Ф.; пособия по проведению физического эксперимента автор Шилов В.Ф.; Методика преподавания курса «Физика и астрономия»/ под редакцией А.А.Пинского, И.Г.Кирилловой; сборника для контроля знаний и умений и навыков учащихся авторы В.А.Заботин, В.Н.Комиссаров. 9) Учебники Физика 7 – 9 классы, автор Пурышева Н.С., Важеевская Н.Е., изданный издательством «Дрофа» Соответствует федеральному компоненту стандарта 2004 г. Предлагаемый курс физики для основной школы создан на кафедре теории и методики обучения физики физического факультета МПГУ и уже несколько лет успешно апробируется в школах Москвы, Нижнего Новгорода, Перми, Белгородской области, Республики Коми, Республики Саха (Якутия). В основу курса помимо классических дидактических принципов (целостность, систематичность и последовательность, вариативность и т.д.) положены также частно-методические (генерализация, гуманитаризация, спиральность как сочетание цикличности и ступенчатости, интеграция и т.д.): а) курс является логически завершённым и позволяет сформировать первоначальные статистические и квантовые представления, а также представления о границах применимости классических теорий, б) в соответствии с принципом систематичности и последовательности в содержании курса учитывается подготовка учащихся, полученная при изучении курса естествознания, в) учащийся имеет возможность выбрать собственную траекторию изучения курса. Для этого предусмотрена уровневая дифференциация. И в программе и в учебниках заложены два уровня изучения материала: обязательный, соответствующий минимуму содержания основного общего образования, и повышенный, г) материал каждого курса физики группируется вокруг стержневых идей и понятий. При этом предусматривается постепенный переход от эмпирического уровня познания к теоретическому, д) в содержание курса включён материал, позволяющий осмыслить связь развития физики с развитием общества, исторический материал, материал мировоззренческого и экологического характера, е) к изучению механики и электричества учащиеся обращаются дважды на разных уровнях в соответствии с их математической подготовкой и познавательными возможностями, ж) в соответствии с идеей интеграции к физическому материалу добавлен астрономический. Учебники имеют учебно-методический комплект, состоящий из тематического и поурочного планирования, рабочие тетради и электронное учебное пособие авторов Ратбиль Е.Э., Кравцова Т.Т. 10) Учебники Физика 7 – 9 классы, авторов Хижнякова Л.С., Синявина А.А. , изданный издательством «ВЕНТАНА-ГРАФ». Завершенная линия учебников отличается системностью изложения материала, единством теоретического материала и эксперимента, что способствует формированию у учащихся целостного непротиворечивого представления о физической картине мира. Значительное внимание авторы уделили развитию у учащихся творческих способностей, логического мышления и общеучебных умений. Учебники являются разноуровневыми как в части теоретического материала, так и в отношении лабораторных работ и системы заданий, что позволяет формировать познавательный интерес к физике. Учебники имеют учебно-методический комплект, состоящий из рабочей тетради, пособия для учителя, тетради для лабораторных работ. 11) Учебники Физика 7 – 9 классы, авторов Разумовский В.Г., Орлов В.А., Дик Ю.И. и др., изданный издательством «ВЛАДОС». Учебники могут использоваться в классах с углубленным изучением предмета. Учебники имеют учебно-методический комплект, состоящий из методики обучения, сборника «Все законы и формулы в таблицах» автора Моркотун В.Л., методических указаний «Физика в школе: научный метод познания и обучение», сборника многоуровневых задач с ответами и решениями» авторов Лёзина Н.В. и др. 12) Учебники Физика 7 – 9 классы, автор Степанова Г.Н. , изданный издательством «Русское слово». Завершенная линия учебников. Учебники не апробированы в ряде районо Российской Федерации. Широко используются, рекомендованы для сильных классов. Предполагают пропедевтику в 5-6 классах по учебникам Г.Н.Степановой. Единственный линейный учебник физики для основной школы, изучив механику в 7 классе, автор в рамках данного курса к этой теме не возвращается. Учебники имеют учебно-методический комплект, состоящий из авторской программы, сборника вопросов и задач по физике для основной школы, рабочих тетрадей для 7, 8, 9 классов (ч. 1, 2 для каждой параллели), методических рекомендаций для учителя. 13) Учебники Физика 7 – 9 классы, авторы Фадеева А.А., Засов А.В., Киселев Д.Ф. , изданный издательством «Просвещение». Завершенная линия. Учебники знакомят школьников с современными вопросами физики и астрономии. Авторы уделяют большое внимание рассмотрению единства законов природы, применению законов физики к небесным телам, иным организмам. В учебниках реализуется авторская концепция деятельностного подхода в обучении. В учебнике много задач, практических и лабораторных работ. Тексты сопровождаются большим количеством иллюстраций и таблиц. Учебники имеют учебно-методический комплект, состоящий из сборников с карточками-заданиями, рабочих тетрадей, книги для учителя, сборника заданий для проведения экзамена в 9 кл. (ко всем учебникам физики). 14) Учебники Физика 7 – 9 классы, авторы Шахмаев Н.М., Бунчук А.В., Дик Ю.И. , изданный издательством «Мнемозина». Их отличает: насыщенность иллюстративного материала; богатство экспериментов. Авторы стремились сделать учебники интересными максимальному числу школьников. Основная идея авторов: содержание учебника должно быть понятно и интересно каждому ребенку. Учебники выстроены не традиционно: физические понятия вводятся не через понятие вещества, а через физические величины (тема «Масса», «Скорость», «Ускорение»). Особую значимость для выпускников основной школы авторы придают знаниям по механике и электричеству, поэтому отбор учебного материала произведен с целью более глубокого изучения этих двух разделов школьного курса. В теме строение вещества авторы ограничились минимальными сведениями, считая, что курс химии 8,9 классов дает достаточно обширные знания в этой области. Для проявления у учащихся интереса к предмету в 7 классе представлены предварительные сведения о свете, звуке, тепле, строении вещества. В учебникеимеются лабораторные работы, задачи на повторение, исторические сведения и информационные материалы, которые могут пригодиться в быту (раздел «Это интересно»). Отличительная особенность данных учебников – мотивирующий потенциал. УМК включает: программу и тематическое планирование, методические рекомендации авторы Коровин В.А., Демидова М.Ю.; рабочие тетради Сафонова Б.Н.; сборник «Физический эксперимент в школе» Шахмаева Н.М., Павлова Н.И.; пособие для учащихся и учителей Тихомировой С.А.; сборник задач и заданий с ответами и решениями, пособие для учащихся и абитуриентов автора Козел С.М. и др.; справочник учителя физики автора Коровина В.А. методика изучение световая волна физика Глава 2 Методика изучения темы «Световые волны» в курсе физики основной школы 2.1 Содержательная модель темы «Световые волны» Каждый учитель выстраивает свою технологию обучения, т.е. свою модель освоения учащимися конкретного учебного материала, способы добывания знаний. Однако существуют определенные инвариантные этапы деятельности учителя, которыми он должен владеть, чтобы организовать учебный процесс, отвечающий современным требованиям. Тема «Световые волны» является первой темой раздела «Оптика» в основной школе. Примерное планирование этой темы курса физики представлено в таблице с перечнем демонстрационного эксперимента. На изучение темы «Световые волны» отводится семь уроков. Содержание учебного материала темы спланировано в соответствии с составляющими первой волновой теории света – теории Гюйгенса: экспериментальные факты – модель распространения световой волны, принцип Гюйгенса – выводы – их экспериментальная проверка. Таблица 1. Примерное планирование темы «Световые волны»
При изучении темы «Развитие взглядов на природу света. Скорость света. Принцип Гюйгенса » ставятся цели: 1) образовательная - формирование знания о принципе Гюйгенса, понятия о волновой поверхности, световом луче, плоской волне, 2) развивающая - развитие знания учащихся о прямолинейном распространении света, границ применения теории Гюйгенса, 3) воспитательная - знакомство с моделью распространения электромагнитной волны, предложенной Гюйгенсом. Данный урок является вводным. На этом уроке рассматривается сущность волновой теории, т.е. ее ядро: принцип и модель распространения световой волны от точечного источника света. Содержание учебного материала можно разделить на три части: историческая справка, прямолинейное распространения света, принцип Гюйгенса. В таблице 2 представлен план урока. Таблица 2. План урока
Историческая справка (фрагмент урока). Данная тема изучается после электромагнитных волн. Поэтому важно обратиться к спектру электромагнитных волн (спектр электромагнитных волн, рис. 1). Весь спектр электромагнитных волн можно приближенно разбить на три части – радиоволны с длиной волны от нескольких километров до сантиметров; свет, включая не только видимый свет, но и миллиметровые волны, инфракрасное, ультрафиолетовое и мягкое рентгеновское излучение; гамма-излучение, включая жесткое рентгеновское излучение с длиной волны менее 0,1 нм.
Рис. 1. Спектр электромагнитных волн Свет - видимое излучение - представляет собой электромагнитное излучение с длиной волны от 400 до 760 нм. Скорость света определена экспериментально. Приближенно можно принять, что в вакууме скорость света равна 3×108
м/с. По современным данным, скорость света в вакууме равна (299 792 458 К основным свойствам электромагнитных волн, а следовательно, и световых волн относятся: распространение в однородной среде, отражение и преломление света на границе двух сред, Законы отражения и преломления света были открыты экспериментально задолго до создания электромагнитной теории. Так, закон отражения был сформулирован еще древнегреческим ученым Эвклидом в Ш в. до н.э. Закон преломления света был установлен в 1620 г. голландским математиком В. Снеллиусом (1580-1628). В 1690 г. Х.Гюйгенс создал первую волновую теорию света и сформулировал принцип, описывающий распространение волн. Исходя из волновой теории, он объяснил явление отражения и преломления света на границе двух сред. Принцип Гюйгенса успешно применяется в теории электромагнитных волн. Об этом они узнают в курсе физики старшей средней школы. Звезды являются точечными источниками электромагнитных волн. Такой источник излучает в вакууме электромагнитные волны по всем направлениям с одинаковой интенсивностью.
Рис 2. Сферические поверхности, через которые с течением времени проходит волна. На рисунке 2 показаны сферические поверхности, через которые с течением времени проходит волна. Амплитуда возмущения во всех точках сферического фронта волны, распространяющейся от точечного источника, одинакова. Такой подход к описанию сферической волны не противоречит принципу Гюйгенса. Этот принцип удобен для описания распространения как электромагнитных, так и механических волн. Прямолинейное распространение света. Теоретическое обоснование прямолинейного распространения света (например, на основе принципа Ферма) в школьном курсе физики не изучается. Закон прямолинейного распространения света вводится на основе эксперимента. Для этого, например, можно провести опыт (рис. 3) со стержнем высотой АD и получить тень от него.
Рис.3. Установка для демонстрации прямолинейного распространения света. Из рисунка следует, на некоторой высоте над стержнем АД в точке О расположен точечный источник света – маленькая лампочка. Мы увидим резко очерченную тень стержня DB. Проведем через точки O и В прямую линию. На ней также будет лежать и точка А. ОВ – это луч света, касающийся стержня в точке А. Если бы луч не был прямой линией, то тень DB была бы других размеров.
Рис.4. Установка для демонстрации прямолинейного распространения света – получения тени и полутени. Если две маленькие лампочки расположить на некотором расстоянии от непрозрачного предмета, например цилиндра, то за ним образуется тень и полутень. Образование полутени не противоречит свойству света распространяться прямолинейно, а, наоборот, подтверждает его. В область тени не попадает свет ни от одной из двух лампочек. В область полутени попадает свет от какой-нибудь одной лампочки. Образованием тени и полутени объясняются такие явления, как лунные и солнечные затмения. Земля и Луна, освещенные Солнцем, образуют конусы тени и полутени. Когда Луна попадает в тень Земли полностью, происходит полное затмение Луны. Солнечные затмения как полные видны в тех областях, где на Землю падает пятно лунной тени. В тех же областях, на которые падает полутень Луны, наблюдается частичное затмение Солнца, Земли, на которые падает полутень. Волновая поверхность. Принцип Гюйгенса. При изучении этих вопросов формируются понятия волнового фронта и луча. Эти понятия требуют пояснения и уточнения с помощью схем и рисунков. В курсах «Окружающий мир» и «Природоведение» используется понятия луча: «Луч – это линия, вдоль которой распространяется свет». С точки зрения физики формулировка этого понятия неточная. Требуется так построить содержание учебного материала, чтобы учащиеся пришли к выводу: «Луч в отличие от светового пучка, не материален. Он обозначает направление, вдоль которого волна переносит энергию». Пусть в точке О (рис. 5) расположен точечный источник света. От источника света волны расходятся сферами в однородной и изотропной среде. Совокупность точек, образующих сферу, до которой дошел процесс распространения волны, называют волновой поверхностью или волновым фронтом .
Рис. 5. Распространение световых волн от точечного источника света. Поместим на некотором расстоянии от источника экран с круглым отверстием. Прошедший через отверстие свет будет распространяться по прямой линии в виде пучка. Эта линия будет перпендикулярна волновому фронту и пройдет по оси симметрии пучка. Она называется лучом . Луч не материален и обозначает направление, вдоль которого волна переносит энергию. Если источник света расположен далеко, то лучи параллельны друг другу, а волна называется плоской . Принцип Гюйгенса. Принцип Гюйгенса формулируется так: Каждая точка среды, до которой дошло электромагнитное возмущение, сама становится источником вторичных волн. Касательная поверхность ко всем вторичным волнам и дает положение поверхности, которой достигает волна через некоторый промежуток времени. Пусть источник света находится в точке О , волновой поверхностью в момент времени t является поверхность АВ (рис. 6). На рисунке 6,а показана часть сферической волны.
Рис.6,а. Часть сферической волны.
Рис 6,б. Волновая поверхность плоской волны. Согласно принципу Гюйгенса каждая точка волновой поверхности АВ сама становится источником вторичных волн. За время D t вторичные волны распространятся на расстояние r = u D t . Если провести касательную к вторичным волнам, то получим новую волновую поверхность С D . На рисунке 6,б изображена волновая поверхность плоской волны. Распространение волны можно рассматривать как движение волнового фронта.
Рис. 7. Распространение вторичной волны. В классах с углубленным изучением физики целесообразно отметить, что теория Гюйгенса позволила теоретически вывести законы отражения и преломления света, но не смогла объяснить закон прямолинейного распространения света. Действительно, обратимся к работе Гюйгенса «Трактат о свете». В ней он приводит рисунок, подобный рисунку 7. Светящаяся точка А излучает волну, проходящую через отверстие BG . Точки B , b , b , b , b , G принадлежат волновой поверхности В G . Эти точки становятся источниками вторичных волн. Так, точка В является точечным источником вторичной волны К L . Новой волновой поверхностью является поверхность DF , касающаяся точек С и Е. Отверстие В G ограничено непрозрачными телами ВН и GI . Волна света из точки А ограничивается лучами АС и АЕ. Части отдельных волн за пределами пространства АСЕ , как отмечает Гюйгенс, «слишком слабы, чтобы производить там свет». Лучи света можно принимать за прямые линии. Приведенное доказательство неубедительно. Впоследствии метод Гюйгенса был усовершенствован, что позволило объяснить прямолинейное распространение света на основе волновой теории. Тем самым подчеркивается ограниченность модели (теории) Гюйгенса. Принцип Гюйгенса позволяет с помощью простых геометрических построений находить волновую поверхность в любой момент времени по известной волновой поверхности в предшествующий момент. Закрепление учебного материала проводится путем выполнения заданий или решения задач. Солнечный свет, проникая через крону лиственного дерева, создает на земле солнечные блики в виде кругов и овалов (рис. 8). Круги образуются тогда, когда Солнце находится высоко над горизонтом. Если высота Солнца над горизонтом уменьшается, блики принимают форму овалов. Столь правильная форма световых бликов удивительна. Листья в кроне дерева расположены неупорядоченно, и форма щелей, образующихся в кроне между листьями, разнообразна. Положение щелей от порывов ветра случайным образом изменяется, создавая солнечные блики. Известно, что Аристотель использовал получающиеся солнечные блики на земле для наблюдения солнечного затмения. Изображение какого тела представляют собой световые блики?
Рис. 8. Солнечные блики в виде кругов и овалов Данное явление будет более понятно, если учащиеся сами дома (или на кружке) изготовят камеру-обскура (от латинского слова obscura - тёмная). Камера-обскура (рис. 9) представляет собой темный ящик с небольшим отверстием в одной из стенок, перед которым помещают рассматриваемый предмет. Свет от точки А пламени свечи проходит через отверстие и попадает в точку А1. Отдельные световые лучи распространяются независимо друг от друга. Встречаясь или пересекаясь, лучи не оказывают никакого взаимного влияния. На экране камеры-обскура создается изображение каждой точки в виде пятнышка. Отдельные изображения точек создает вместе на экране достаточно четкое изображение.
Рис. 9. Камера-обскура При изучении темы «Отражение света. Закон отражения света» ставятся цели: 1) образовательная – формирование понятия отражения света и знания о законе отражения света, 2) развивающая - развитие умений экспериментально подтверждать закон отражения света, 3) воспитательная - развитие умений формулировать выводы по своим наблюдениям. На уроке 2, посвященному отражению света, применяется принцип Гюйгенса для теоретического вывода закона отражения света. Рассмотрим фрагмент урока, посвященный теоретическому выводу закона. Плоская волна падает на границу АВ
раздела двух однородных Падающая волна достигает точки поверхности раздела двух сред АВ
вразличные моменты времени. Возбуждение колебаний в точке А
начнется раньше, чем в точке В, на время
Рис. 10. Принцип Гюйгенса для теоретического вывода закона отражения света. В момент, когда первичная волна достигла точки В, вторичная волна с центром в точке А будет представлять собой полусферу радиусом Отраженные лучи перпендикулярны волновой поверхности СВ.
Угол Из равенства катетов АС
и D
В
прямоугольных треугольников АСВ
и А
D
В
с общей гипотенузой АВ
следует, что эти прямоугольные треугольники равны. Равны также и углы: <
DAB
= <
CBA
.
Но α = <
DAB
, а Мы получили закон отражения света: При падении луча на границу раздела двух сред угол отражения равен углу падения; падающий и отраженный лучи и перпендикуляр, восстановленный к поверхности в точке падения, лежат в одной плоскости. Экспериментальное подтверждение закона отражения. Закон отражения волн выведен из принципа Гюйгенса. Этот закон подтверждается экспериментом с помощью прибора, называемого оптическим диском (рис. 11).
Рис.11. Оптический диск. В нем источником света является лампа, находящаяся внутри подвижного осветителя 1. Пучок света распространяется от осветителя по поверхности диска и падает на зеркало 2, расположенное в центре прибора. Свет отразится от зеркала, и на поверхности диска появится отраженный пучок света. Его появление свидетельствует о том, что он лежит в той же плоскости, что и луч падающий с перпендикуляром, восставленным в точку падения луча. Измерив угол падения и угол отражения, мы увидим, что они равны. Можно менять угол падения, передвигая источник света. При этом будет меняться и угол отражения, но так, что эти два угла по-прежнему будут равны. При изучении темы «Преломление света. Закон преломления света» ставятся цели: 1) образовательная – формирование понятия о законе преломления света, об относительном и абсолютном показателях преломления 2) развивающая - развитие умений экспериментально подтверждать закон преломления из принципа Гюйгенса, 3) воспитательная - развитие умений формулировать выводы по своим наблюдениям. На уроке, посвященному преломлению света, применяется принцип Гюйгенса для теоретического вывода закона преломления света. Рассмотрим фрагмент урока, посвященный теоретическому выводу закона. На границе раздела двух сред может происходить не только отражение волн, но и частичное их проникновение в другую среду. Изменение направления распространения света при его переходе через границу раздела двух прозрачных сред называется преломлением. Преломление света обусловлено тем, что скорости распространения света в разных средах различны.
Рис 12. Принцип Гюйгенса Пусть на плоскую границу раздела двух сред, например воздух и вода, падает плоская световая волна (рис. 12). Скорость волны в первой среде υ1 , а во второй υ2 . Волновая поверхность АD перпендикулярна лучам МА и NB. Поверхность раздела двух сред сначала достигает луч MA. Луч NB достигает этой поверхности спустя время
В момент, когда в точке В только начинается возбуждение вторичной волны, вторичная волна от точки А уже имеет вид полусферы радиусом АС: АС = u 2 Dt . Плоскость СВ огибает вторичные волны во второй среде и является волновой поверхностью преломленной волны. Угол падения a луча равен углу DAB в треугольнике ADB (стороны одного из этих углов перпендикулярны сторонам другого). Следовательно, DB = u 1 D t =АВ sin a (1) Преломленный луч – это продолжение выделенного луча от точки излома на поверхности раздела сред. Угол между преломленным лучом и нормалью KL к поверхности называется углом преломления β («бета» - буква греческого алфавита). Угол преломления β равен углу AВCтреугольника АСВ. Поэтому АС = u 2 D t =АВ sin β (2) Разделив почленно равенства (1) и (2) получим:
где Соотношение (3) выражает закон преломления света: Отношение синуса угла падения к синусу угла преломления есть величина постоянная для данных двух сред; падающий и преломленный луч и перпендикуляр, восстановленный к поверхности в точке падения, лежит в одной плоскости. Экспериментальное подтверждение закона преломления . Закрепим на оптическом диске стеклянный полуцилиндр так, чтобы его центр совпадал с центром диска (рис. 13).
Рис. 13. Экспериментальное подтверждение закона преломления На него направлен световой пучок АО от осветителя. Мы видим отраженный луч ОВ и преломленный луч ОЕ . Измерение углов падения - α и преломления - β покажет, что отношение их синусов при различных углах падения остается неизменным и равно n 2,1 . Относительный и абсолютный показатели преломления.
Величина
где n21 – постоянная величина, не зависящая от падения луча. Если скорость света во второй среде меньше, чем в первой, то угол преломления β меньше угла падения. Показатель преломления среды относительно вакуума называется абсолютным показателем преломления этой среды. Он равен отношению синуса угла падения к синусу угла преломления при переходе светового луча из вакуума в данную среду, а также отношению скорости света в вакууме с к скорости света в среде υ :
где n – абсолютный показатель преломления. Чаще всего приходится рассматривать переход света через границу воздух – твердое тело или воздух – жидкость, а не через границу вакуум - среда. Однако абсолютный показатель преломления твердого тела или жидкого вещества незначительно отличается от показателя преломления того же вещества относительно воздуха. Относительный показатель преломления n2,1
можно выразить через абсолютный показатель преломления n1
и n2
первой и второй сред. n
2,1
= Из двух сред та, в которой скорость меньше, называется оптически более плотной, а та, в которой скорость света больше, - оптически менее плотной. Например, стекло является оптически более плотной средой, чем воздух, а лед – оптически менее плотной, чем вода. При изучении темы «Решение задач» ставятся цели: 1) образовательная – формирование навыка применения законов отражения и преломления света при решении задач, 2) развивающая - развитие умений практически подтверждать законы отражения и преломления света при решении задач, 3) воспитательная - развитие умений правильно оформлять решение задач. При изучении темы «Дисперсия света. Лабораторная работа «Наблюдение дисперсии света»» ставятся цели: 1) образовательная – формирование понятия дисперсии света, убедиться в сложном составе белого света, 2) развивающая - развитие умений практически подтверждать наблюдения при выполнении лабораторной работы, 3) воспитательная - развитие умений правильно оформлять отчет по лабораторной работе. Дисперсия света. Явление разложения белого света в спектр с помощью стеклянной призмы впервые изучил И. Ньютон. Поставив на пути узкого пучка солнечного света призму, он получил на стене радужную полоску, которую назвал спектром (рис. 14 а, б).
а б Рис 14. Опыт И.Ньютона. В спектре белого света И.Ньютон выделил семь цветов: красный, оранжевый, желтый, зеленый, голубой, синий и фиолетовый. Объясняя результаты этого опыта, Ньютон пришел к выводу, что белый свет имеет сложный состав, световые пучки разного цвета преломляются веществом неодинаково. Сильнее преломляются лучи фиолетового цвета, а менее других — красного цвета (рис. 14, б). Благодаря тому, что угол преломления в призме различен для лучей разного цвета, из нее они выходят разделенными. И. Ньютон на опыте также показал, что из определенных спектральных цветов можно получить белый свет. Известно, что свет представляет электромагнитные волны. Цвет, видимый глазом, определяется частотой волны. Например, излучению красного цвета соответствует волна с частотой 4 * 1014
Гц, а фиолетового — Скорость света в вакууме равна примерно 300 000 000 м/с. Скорость в вакууме для света любой частоты одна и та же. Абсолютный показатель преломления среды п
= Дисперсия - это явление зависимости показателя преломления или скорости света от частоты. При изучении темы «Интерференция света. Лабораторная работа «Наблюдение интерференции света» ставятся цели: 1) образовательная – формирование понятия интерференции света, 2) развивающая - развитие умений практически подтверждать наблюдения при выполнении лабораторной работы, 3) воспитательная - развитие умений правильно оформлять отчет по лабораторной работе. При изучении темы «Решение задач» ставятся цели: 1) образовательная – формирование навыка решения задач на применение законов прямолинейного распространения, отражения и преломления света, 2) развивающая - развитие умений практически подтверждать законы прямолинейного распространения, отражения и преломления света при решении задач, 3) воспитательная - развитие умений правильно оформлять решение задач. Таким образом, выбор определенных приемов, использование элементов технологий позволит так сконструировать учебный процесс, чтобы урок отвечал современным требованиям и вызывал интерес у учащихся. 2.2 Физический эксперимент при изучении темы «Световые волны» Проведение демонстрационных и лабораторных экспериментов при изучении темы «Световые волны» позволяет сформировать у школьников навыки, которые пригодятся им в жизни. Например, пускание солнечного зайчика, воспламеняющего или нагревающего какой-либо объект позволяет осознать, что световые волны несут энергию. А рассматривание объектов через линзу или стекло, на которое нанесен слой вазелина приводит учащихся к пониманию прямолинейности распространения света в однородной среде. Компьтеризация современной школы позволяет использовать компьютерные лабораторные и демонстративные эксперименты. Все это превращает выполнение многих заданий в микроисследования, стимулирует развитие творческого мышления учащихся, повышает их интерес к физике. Например, компьютерные модели, разработанные компанией «ФИЗИКОН», найденные в просторах сети, на отдельных учебных сайтах или сайтах преподавателей легко вписываются в урок и позволяют учителю организовать новые нетрадиционные виды учебной деятельности учащихся. С использованием моделей, предложенных в этих программах можно провести урок-исследование. При изучении темы «Световые волны» можно представить иллюстрации с различными зрительными иллюзиями.
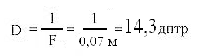
Рис. 15. Зрительные иллюзии К экспериментальным задачам по теме «Световые волны» можно отнести такие физические задачи, постановка и решение которых органически связаны с экспериментом с различными измерениями, воспроизведением физических явлений, наблюдениями за физическими процессами. Большинство таких задач строится так, чтобы в ходе решения учащиеся сначала высказывают предложения, обосновывают умозрительные выводы, а потом проверяют их опытом. Такое построение вызывает у учащихся большой интерес к задачам и при правильном решении большое удовлетворение своими знаниями. Экспериментальные задачи в отличие от текстовых, как правило, требуют больше времени на подготовку и решение, а также наличия у учителя и учащихся навыков в постановке эксперимента. Однако решение таких задач положительно влияет на качество преподавания физики. Например, при изучении явления дифракции можно предложить эксперимент по исследованию размера тени в зависимости от размера объекта и его удаленности. Из числа основных достоинств экспериментальных задач можно отметить следующие: 1) они способствуют повышению активности учащихся на уроках, развитию логического мышления, учат анализировать явления, заставляют ученика напряженно думать, привлекая все свои теоретические знания и практические навыки, полученные на уроках, 2) решение задач воспитывает у учащихся стремление активно, собственными силами добывать знания, стремиться к активному познанию мира, 3) экспериментальные задачи помогают в борьбе с формализмом в знаниях учащихся. Разбирая задачи, учащиеся убеждаются на конкретных примерах, что их школьные знания вполне применимы к решению практических вопросов, что с помощью этих знаний легко увидеть физическое явление, уточнить его закономерности и даже управлять этим явлением. Таким образом, теоретические, книжные положения приобретают реальный смысл, 4) использование экспериментальных задач способствует получению учащимися прочных, осмысленных знаний, умению пользоваться этими знаниями на практике, в жизни, 5) систематическое применение экспериментальных задач в процессе обучения убеждаются в достоверности знаний, в объективности физических законов, в том, что практика, опыт являются критерием теоретических знаний, что ценность для человека представляют только те знания, которые проверены практикой, 6) при решении почти каждой экспериментальной задачи учащиеся видят реальные, конкретные связи и зависимости между явлениями, между физическими величинами и убеждаются, что эксперимент имеет огромное значение в познании окружающих явлений, в решении трудных практических задач, 7) самостоятельное решение учащимися экспериментальных задач способствует активному приобретению умений и навыков исследовательского характера, развитию творческих способностей. Здесь им приходится не только составлять план решения задачи, но и определять способы получения некоторых данных, самостоятельно собирать установки, отбирать и даже «конструировать» нужные приборы для воспроизведения того или иного явления, 8) разбор экспериментальных задач воспитывает у учащихся критический подход к результатам измерений, привычку обращать внимание на условия, при которых производится эксперимент. На практике они убеждаются, что результаты измерений всегда приближенны, что на их точность влияют различные причины. И потому, производя эксперимент, необходимо устранять все побочные вредные влияния, 9) экспериментальные задачи помогают учащимся лучше решать расчетные задачи, решение которых часто сводится к подстановке чисел, данных в условии, в формулы без уяснения физического смысла задачи. Экспериментальные задачи обычно не имеют всех данных, необходимых для решения. Поэтому учащимся приходится сначала осмыслить физическое явление или закономерность, о которой говорится в задаче, выявить, какие данные ему нужны, продумать способы и возможности их определения, найти и только на заключительном этапе подставить в формулу, что учащиеся делают уже вполне осмысленно. Экспериментальные задачи делятся на качественные и количественные. В решении качественных задач отсутствуют числовые данные и математические расчеты. В этих задачах от учащихся требуется или предвидеть явление, которое должно совершиться в результате опыта, или самому воспроизвести физическое явление с помощью данных приборов. К такого типам задач относится такого типа задача: на рисунке 1 изображены источник света S, непрозрачное тело В и экран. Какая точка экрана лежит на границе области света и тени? При решении количественных задач сначала производят необходимые измерения, а затем, используя полученные данные, вычисляют с помощью математических формул ответ задачи. Например, задача по определению оптической силы собирающей линзы, фокусное расстояние которой измеряется или задается.
Рис. 16. Иллюстрация для задач качественного характера. По месту эксперимента, по степени его участия в решении экспериментальные задачи можно разделить на несколько групп: 1) задачи, в которых для получения ответа приходится либо измерять необходимые физические величины, либо экспериментально проверять данные, 2) задачи, в которых самостоятельно устанавливают зависимость и взаимосвязь между конкретными физическими величинами, 3) задачи, в условии которых дано описание опыта и нужно предсказать его результат. Такие задачи способствуют воспитанию у учащихся критического подхода к своим умозрительным выводам, например, исследование поведения светового луча, проходящего через воду или линзу, 4) задачи, в которых с помощью данных приборов и принадлежностей необходимо показать конкретное физическое явление без указаний на то, как это сделать, в соответствии с условиями задачи Решение таких задач требует от учащихся творческого мышления, смекалки, например, исследование прохождения световых волн через фильтры разного цвета и рассматривание слов, написанных разным цветом через фильтры разного цвета, 5) задачи на глазомерное определение физических величин с последующей экспериментальной проверкой правильности ответа. Такие задачи помогают предварительно оценивать результаты измерений и тем самым правильно выбирать нужные для опыта приборы и инструменты, 6) задачи с производственным содержанием, в которых решаются конкретные практичёские вопросы. Такие задачи можно разбирать во время экскурсий, работы в учебных мастерских, а также на уроках, используя для этого различные инструменты, приборы и технические модели, например, соорудить прибор для наблюдения из окопа. Приведенная здесь классификация условна, так как резких границ между отдельными группами нет. Тем не менее, она поможет учителю более целенаправленно подбирать задачи для урока. Такие задачи могут быть использованы в любой части урока. Но при этом цели применения, методика, а соответственно и содержание задач будут несколько различны. 1. Если содержание экспериментальной задачи является темой урока, то в ходе ее решения происходит усвоение новых понятий, закономерностей и зависимостей. Например, размер изображения, полученного от линзы можно объяснить, решая задачу: Проверить, зависит ли (и если да, то как) размер изображения от расстояние от линзы до экрана?». В этом случае необходимо, чтобы постановка вопроса вызвала у учащихся желание познать новые закономерности. Одним из средств создания стимула к восприятию нового материала является постановка проблемы, в качестве которой может быть подобрана подходящая экспериментальная задача. Условие задачи должно удовлетворять таким требованиям: а. все устройства, приборы, применяемые в задаче, знакомы ученикам, все сопутствующие явления им понятны. Они затрудняются решить задачу только из-за незнания какого-то одного понятия или явления, которое и является целью или темой данного урока; б. содержание задачи не должно подсказывать решение проблемы, которую ученики разрешат в ходе урока; в. постановка вопроса должна вызывать у учащихся некоторое удивление, возбудить желание решить его. Например, перед введением понятия «спектр» можно поставить такую задачу: «Рассмотрите предметы через треугольную призму. Что вы наблюдаете?» После обсуждения преподаватель делает акцент на цветных полосках, получаемых в результате исследования. А объяснить, почему они наблюдают это явление, которое они могут назвать «радугой», ученики пока не могут, хотя и очень стараются – ведь явление протекало у них на глазах. Тогда учитель и вводит новое понятие, которое объясняет опыт. 2. Применение задач для проверки степени понимания учениками изучаемого на уроке материала, для его закрепления. Решение задач в этом случае способствует углублению и уточнению нового материала. Например, наблюдение образования тени и полутени от собственной руки в результате освещения несколькими источниками света в классе позволит повторить понятие дифракции света. 3. Использование экспериментальных задач при опросе дает возможность выяснить, насколько правильно, глубоко и сознательно ученик усвоил ранее пройденный материал. Вызванному ученику дается карточка с текстом задачи и все необходимые приборы. Иногда полезно (если позволяет время) выдавать ученику не все приборы, нужные для решения задачи, или давать их больше, чем требует решение или предоставлять право выбора всех приборов, необходимых для проведения эксперимента. 4. Весьма полезны 15—20 минутные классные упражнения учащихся по решению экспериментальных задач с последующим разбором и выяснением причин допущенных ошибок. Их можно давать как перед изучением новых понятий, так и при закреплении материала. Например, предоставив набор красок подвести учащихся к пониманию образования разных цветов в результате смешивания красок. Далее можно повторить значения частот световых волн. 5. Один-два раза в учебном году можно проводить контрольные работы по решению экспериментальных задач. Их содержание, количество, число вариантов однотипных задач подбирает учитель в зависимости от наличия лабораторного оборудования в физическом кабинете. В отличие от упражнений контрольные работы по решению экспериментальных задач проводятся при полной самостоятельности учащихся. 6. Особый интерес у учеников вызывает решение экспериментальных задач в качестве домашнего задания, которые могут быть как общими, одинаковыми для всех, так и индивидуальными. В любом случае учитель должен быть уверен, что для домашних опытов ученики найдут нужные приборы и предметы. Например, в каждом доме есть простейшие оптические приборы – очки. Необходимо установить как световые волны проходят через этот прибор. Или другой тип задач. 7. Наиболее сложные экспериментальные задачи можно широко использовать в работе физического кружка и на факультативных занятиях. Для каких глаз можно сделать очки из линз, показанных на рисунке?
А. 1 — для близоруких, 2 — для дальнозорких. Б. 1 — для дальнозорких, 2 — для близоруких. В. 1 и 2 — для близоруких. Г. 1 и 2 — для дальнозорких. 8. Экспериментальные задачи занимательного характера могут быть использованы на физических вечерах, олимпиадах и т.д. Таким образом, проведение демонстрационных и лабораторных экспериментов, решение экспериментальных задач при изучении темы «Световые волны» способствует формированию интереса не только к этой теме, но и к самому предмету у школьников. 2.3 Система заданий для учащихся при изучении темы «Световые волны» Задания для учащихся классифицируют по-разному. Наибольшее распространение получили два типа заданий. Одна из них принята за основу при разработке заданий Единого Государственного экзамена и имеет три уровня А, В и С, другая – ориентирована на так называемую таксономию Блюма. Термин «таксономия» означает систематизацию, классификацию объектов познания (способов деятельности) по определенным критериям. Систематизирующим фактором первой классификации являются этапы усвоения знаний и умений, следующие из теории развивающего обучения. Соответственно этим этапам можно провести следующую классификацию: 1) задания на воспроизведение изучаемых единиц учебного материала (фактов, понятий, величин, законов); 2) задания на применение знаний в знакомой ситуации; 3) задания творческого характера (исследовательские, конструкторские). Первый уровень заданий (А) ориентирован на проверку результатов усвоения основных понятий, овладения умениями проводить несложные преобразования с физическими величинами. Как правило, эти задания представляют собой тесты с выбором одного верного из предложенных четырех вариантов ответа. Второй уровень (В) предполагает выполнение заданий как с выбором ответов, так и решение задач. С их помощью выявляют умения использовать несколько (два и более) физических законов, связей между величинами (формулы), относящихся к одной и той же теме. Выполнение этих заданий требует от учащихся применения различных способов деятельности в знакомой ситуации. На более высоком уровне (С) учащиеся применяют знания и умения законов и теорий физики в незнакомых и творческих ситуациях. Подобные задания требуют полного и обоснованного ответа. В начале 50-х годов прошлого столетии группой американских психологов и педагогов под руководством Б.Блюма была разработана таксономия целей, получившая название таксономии Блюма. Она построена на следующих принципах: практической направленности, психологическом, логическом и объективности. Они базируются на теории целеполагание, достижениях психологической науки, а также законах логики. Б.Блюмом выделено шесть основных категорий целей, представленных в виде иерархии (последовательности, очередности в определенной структуре), включающей знание, понимание, применение, анализ, синтез, оценку. В таблице 3 приведен один из вариантов таксономии Б. Блюма, адаптированный к преподаванию физики. Каждая из категорий предполагает достижение учебных целей по всем предшествующим категориям. Таблица 3. Вариант таксономии Б. Блюма, адаптированный к преподаванию физики
Задания по теме «Световые волны», используемые на уроках решения задач, ориентированы на различные уровни достижений. По содержанию задания условно можно разделить на следующие виды: построение изображения светящейся точки в плоском зеркале; -построение изображения отрезка; -построение изображения точки в системе, состоящей из двух зеркал, -отражение от сферической поверхности; Термин «изображение в плоском зеркале» требует пояснения. Он означает изображение предмета в зеркале. В начале рассматривается точечный предмет, т.е. геометрическую точку. В геометрии она определяется как пересечение прямых линий. Изображение точки в зеркале является точка, полученная при пересечении лучей или их продолжений, отраженных от зеркала. Ниже предлагаются примеры решения задач. Задача 1. (уровень А; критерий учебных целей по таксономии Блюма «знание»). Построить изображение светящейся точки А в плоском зеркале. Решение. Через предметную точку А (рис. 18) проведем две произвольные прямые. Вдоль них направляем два луча 1 и 2. По закону отражения строим отраженные лучи . Для этого в точке падения каждого луча восстанавливаем перпендикуляр и проводим отраженный луч таким образом, чтобы он составил с перпендикуляром угол, равный углу падения.
Рис. 18. Иллюстрация к задаче по построению мнимого изображения в зеркале. Отраженные лучи 1¢ и 2¢ - расходящиеся, то есть после отражения от зеркала они не пересекаются. Проводим продолжения отраженных лучей. Они пересекаются в точке А¢ за зеркалом. Полученное изображение точки является мнимым. Мнимое изображение точки образуется при пересечении не лучей, прошедших оптическую систему (зеркала, линзы, призмы и т.п.), а их продолжений. Задача 2 (Б; «понимание»). Построить изображение отрезка АВ (рис. 19) в плоском зеркале. Решение. Отрезок АВ является совокупностью предметных точек. Изображение этого отрезка является совокупностью изображений каждой точки в плоском зеркале. Для построения изображения достаточно получить изображение крайних точек и соединить. При построении удобнее один из лучей ВВ́ провести перпендикулярно плоскости зеркала. В этом случае отраженный луч расположен на одной прямой с падающим лучом. Изображение в плоском зеркале мнимое, симметрично относительно зеркальной плоскости, не увеличенное, а равное предмету.
Рис. 19. Иллюстрация к задаче по построению изображения отрезка АВ в плоском зеркале. Задача 3 (Б; «применение»). Какой минимальный размер должно иметь зеркало, чтобы в нем можно было увидеть лицо целиком? Решение. Лучи, идущие от макушки и подбородка, после отражения от зеркала должны проходить через глаз (рис. 20).
Рис. 20. Иллюстрация к задаче по определению размеров предмета Минимальный размер зеркала равен половине расстояния от макушки до нижней точки подбородка. Задача 4 (С; «анализ, синтез». Два плоских зеркала расположены под углом α. Найдите и получите построением максимально возможное количество изображений для данного угла (рис. 21). Решение. При решении задачи воспользуемся свойством симметрии изображений светящейся точки S в данной системе, состоящей из двух зеркал.
Рис. 21. Иллюстрация к задаче по построению изображений в зеркалах. Изображение в первом зеркале S1 – дает вторичное изображение S1 ¢ во втором зеркале и затем еще одно S1 ¢¢ в первом. Аналогично рассуждения по созданию изображений точки S2 . В итоге и S1 ¢¢ и S2 ¢ оказываются не над отражающей поверхностью и процесс создания изображений прекращается. Таким образом, получено путем построений максимально возможное количество изображений для данного угла – 5. Подводя итог занятия «Решение задач» при изучении темы «Световые волны» необходимо подвести итог для формирования понятия «Световые волны»: - свет имеет волновую природу, световые волны – это электромагнитные волны; - скорость электромагнитных волн в вакууме одинакова во всех инерциальных системах отсчета (независимо от скорости источника волн); - скорость электромагнитных волн в вакууме равна 3 * 108 м/с. По окончании изучения темы или для промежуточного контроля можно провести тест по данной теме. Пример теста приведен в Таким образом, можно разработать для изучения темы «Световые волны» серию заданий для наилучшего контроля знаний учащихся. 2.4 Методика проведения фронтальных лабораторных работ на примере лабораторной работы «Определение оптической силы и фокусного расстояния собирающей линзы» Среди разнообразных форм обучения особое место занимают фронтальные лабораторные работы. Фронтальный метод проведения лабораторных занятий имеет ряд весьма важных положительных сторон. Прежде всего, он дает возможность связать лабораторные занятия учащихся с изучаемым курсом, демонстрационные опыты учителя и самостоятельно выполняемые учащимися лабораторные работы. Благодаря фронтальному методу, лабораторные занятия могут быть поставлены как введение к той или иной теме курса, как иллюстрация к объяснению учителя, как повторение и обобщение пройденного материала, как контроль приобретенных знаний и умений. Таким образом, лабораторный эксперимент становится необходимым звеном в процессе обучения, значительно помогающим углубленному усвоению материала. Метод фронтальных лабораторных работ на практике реализуется через различные методические приемы, которые по характеру деятельности учителя и учащихся разделяют на репродуктивные, иллюстративные, частично-поисковые, или эвристические. Репродуктивный прием предусматривает воспроизводящую деятельность учащихся по образцу действий учителя, которому принадлежит основная роль. Он организует и направляет всю работу учащихся: проводит подготовку оборудования, объясняет и показывает способ выполнения работы, дает четкие и ясные задания и пояснения, своевременно оказывает помощь слабым учащимся, обобщает полученные результаты работы, контролирует и оценивает их знания и умения. Репродуктивный прием выполнения лабораторных работ особенно эффективен при отработке экспериментальных умений, так как их формирование требует многократных действий по образцу, а также в тех случаях, когда содержание лабораторных работ носит преимущественно информационный характер, представляет собой описание способов практических действий, является весьма сложным или совершенно новым для учащихся. Репродуктивный прием не способствует развитию мышления учащихся. И частое его применение приводит к формализму их знаний и умений. Все это требует применения и других приемов, обеспечивающих активную поисковую деятельность учащихся. Иллюстративный прием выполнения лабораторных работ – это такой прием, когда работа сопровождает объяснение учителя, иллюстрирует его. При этом приеме значительную роль играет воспроизводящая деятельность учащихся. Деятельность учителя же сводится к устному руководству выполнения работ, показу отдельных образцов действий учащихся. Иллюстративным приемом часто выполняют такие работы, на которых отдельные элементы фронтального оборудования применяются в качестве раздаточного материала, т. е. выдаются учащимся на руки и служат наглядным пособием для каждого звена во время объяснения преподавателя. Иллюстративно выполняют лабораторные работы и после изучения учебного материала с целью проверки, подтверждения, иллюстрации уже известных учащимся явлений и закономерностей. В этом случае учащимся известны не только тема и цель работы, но и ее конечный результат. При этом их деятельность сводится к наблюдению физических явлений, измерению физических величин, проверке различных закономерностей в ходе которых они совершенствуют свои знания и экспериментальные умения, а деятельность учителя – к руководству познавательным процессом: проверке готовности класса. указанию цели работы и способа ее выполнения, выдаче дополнительных заданий для более сильных учащихся, различному инструктажу учащихся и оказанию им необходимой помощи. Устное руководство может быть заменено письменной инструкцией. Эффективность такого приема в значительной степени определяется предварительной подготовкой учащихся. В практике школ иллюстративный прием выполнения лабораторных работ получил наиболее широкое распространение. Это можно объяснить тем, что такой прием позволяет в сжатые сроки, рациональным способом сформировать у учащихся необходимые знания и экспериментальные умения. Однако в этом случае лабораторный эксперимент не является источником новых знаний для учащихся, а служит иллюстрацией к уже известным явлениям и закономерностям. Выполнение работ по подробным инструкциям приводит к формированию знаний и экспериментальных умений на уровне воспроизведения. Частично поисковый (эвристический) прием выполнения лабораторных работ характеризуется более активной познавательной деятельностью учащихся, когда им дается только тема работы и план ее выполнения, а результат ее не известен: они должны получить его самостоятельно. При этом учитель руководит практическими действиями учащихся, направляет их мыслительную деятельность на анализ полученных из опыта результатов и на формирование нового, ранее неизвестного знания. Эвристический прием позволяет органически включать лабораторные работы в процесс изложения нового учебного материала учителем как источник новых знаний, полученных учащимися в результате самостоятельного эксперимента. Эвристическим приемом могут выполняться работы по наблюдению явлений, измерению величин, выяснению количественных зависимостей между величинами. Урок с лабораторной работой, выполняемой эвристическим приемом, можно строить по – разному, в зависимости от цели урока и содержания работы. Наиболее распространенная схема такого урока содержит четыре этапа: 1. Изложение нового материала, когда вводятся новые понятия, величины, демонстрируется изучаемое явление 2. Эвристическая беседа, в процессе которой определяется тема и цель работы и намечаются пути ее выполнения 3. Выполнение работы (наблюдений, измерений, опытов), на основе которой учащиеся устанавливают новые взаимосвязи и закономерности 4. Заключительная беседа. посвященная анализу полученных результатов При выполнении лабораторной работы по письменному руководству этапы работы определяются пунктами инструкции. Эвристическим приемом можно выполнять лабораторные работы лишь в тех случаях, когда у учащихся уже сформированы необходимые экспериментальные умения. Например, при выполнении лабораторных работ по электричеству учащиеся должны уметь собирать электрические цепи, обращаться с измерительными приборами и т. д. Исследовательский прием выполнения лабораторных работ характеризуется наибольшей познавательной самостоятельностью учащихся, когда они получают от учителя только тему работы, а пути ее выполнения разрабатывают сами и самостоятельно проводят измерения, обрабатывают результаты и делают выводы. Функция учителя в этом случае заключается лишь в контроле за действиями учащихся. При этом возможен коллективный поиск поставленной задачи. Например, при выполнении в XI классе лабораторной работы "Наблюдение и интерференции и дифракции света" учитель вначале предлагает учащимся высказать свои соображения о возможных способах наблюдений указанных явлений. Учащиеся обычно предлагают несколько вариантов выполнения работы, которые коллективно выполняются. Исследовательский прием применяют с целью развития у учащихся творческой познавательной деятельности в приобретении знаний. Такой прием обычно эффективен в тех случаях, когда содержание лабораторных работ направлено на формирование понятий, законов или основных положений теории, а не на сообщение фактических знаний; когда содержание работ не слишком легкое, не слишком трудное, а логически продолжает ранее изученное; когда работы требуют от учащихся таких действий, которые лишь немного превосходят по трудности уже сформированные умения. Лабораторные работы, выполняемые исследовательским приемом, вначале дают учащимся в виде небольших экспериментальных задач-проблем. После приобретения определенных умений выполнять такие работы ученикам предлагают последовательно усложняющиеся задания. Иногда предлагают одно общее, обязательное для всех учеников задание и два-три дополнительных. Некоторые задания (обычно первые по порядку) могут быть и не творческими. Они имеют цель закрепить и отработать ранее изученный материал. В тех случаях, когда нужно охватить исследованием возможно больший объем материала в сравнительно короткое время, лабораторные работы можно проводить в форме дифференцированных заданий. При этом класс делят на две или три группы (например, по рядам столов в классе) и каждая группа выполняет только одно задание. По окончании работы поочередно обсуждают результаты, полученные каждой из групп, подводят общий итог. Исследовательским приемом можно выполнить работы до изучения, во время изучения и после изучения нового материала. Исследовательский прием выполнения лабораторных работ используют также для активного повторения и закрепления учебного материала. В таких случаях могут быть работы двух типов: 1) работы, целью которых является закрепление только что проведенного материала (например, отдельных вопросов темы урока), 2) работы обобщающего характера, предусматривающие обработку наиболее важных вопросов целой темы курса физики или значительной ее части В первом случае продолжительность работ обычно невелика (от 10 до 20 минут), и проводят их, как правило, в процессе урока, на котором рассматривается соответствующий учебный материал. Чаще всего это могут быть кратковременные лабораторные работы. Лабораторные работы обобщающего характера предусматривают повторение целой темы или значительной ее части, поэтому они рассчитаны на весь урок. Исследовательский прием выполнения обобщающих лабораторных работ является эффективным средством итогового повторения учебного материала с целью подготовки учащихся к выпускным экзаменам. Успех выполнения лабораторных работ по описываемой методике зависит от двух обстоятельств: 1) учащиеся должны хорошо знать тот теоретический материал, который будет использоваться при выполнении данной лабораторной работы, 2) учащиеся должны хорошо владеть необходимыми экспериментальными умениями и навыками Поэтому перед выполнением лабораторных работ исследовательским приемом следует проверить (если нужно, восстановить) знание теории и сформированность необходимых экспериментальных умений. Эта подготовительная работа может проводиться в различных формах: повторение теоретического материала, решение соответствующих задач (иногда достаточно обсудить только общую идею решения), анализ демонстрационных опытов, помогающих учащимся лучше подготовиться к лабораторной работе, проведение кратковременных экспериментальных заданий. При этом учащиеся должны быть предупреждены о том для чего проводиться вся эта работа. В заключение отметим, что систематическое выполнение лабораторных работ исследовательским приемом, как показал опыт, значительно повышает уровень знаний и экспериментальных умений учащихся, успешно развивает их познавательную самостоятельность, их творческое мышления. Однако исследовательский прием имеет и ряд слабых сторон: большое время выполнения работы; недостаточная эффективность при формировании начальных экспериментальных умений, показ и подражание имеют большое значение; слабая эффективность при выполнении сложных работ, где крайне необходима помощь учителя. Например, для выполнения лабораторной работы «Определение оптической силы и фокусного расстояния собирающей линзы» требуется следующее оборудование: линейка, два прямоугольных треугольника, длиннофокусная собирающая линза, лампочка на подставке с колпачком, источник тока, выключатель, соединительные провода, экран, направляющая рейка. Предваряем работу теоретической частью. Простейший способ измерения оптической силы и фокусного расстояния линзы основан на измерении и формулы оптической силы линзы Для измерения фокусного расстояния линзы F достаточно спроецировать изображение лампочки на подставке на экран и измерить расстояние от линзы до экрана. В качестве предмета используется светящаяся рассеянным светом буква в колпачке осветителя. Действительное изображение этой буквы получают на экране. Располагаем линзу так, чтобы получилось четкое изображение. Для определения оптической силы линзы проводим вычисления по формуле:
Располагаем лампочку между фокусом и двойным фокусом.
Рис.30. Построение изображения предмета, расположенного между фокусом и двойным фокусом. Изображение должно получиться действительное перевернутое увеличенное. Располагаем лампочку между фокусом и оптическим центром.
Рис.31. Построение изображения предмета, расположенного между фокусом и оптическим центром. Изображение должно получиться мнимое прямое увеличенное: Располагаем лампочку за двойным фокусом. Изображение должно получиться действительное перевернутое уменьшенное. Особенно интересно учащимся наблюдать изображение окна, получившееся на экране. Примерный ход работы: 1. F = 8 см = 0,08 м
2. F = 7 см = 0,07 м
F = 9 см = 0,09 м
По окончании работы необходимо сделать вывод по наблюдениям, измерениям и вычислениям. Например, Если предмет расположить между фокусом и двойным фокусом, изображение получается действительное перевернутое увеличенное. F = 8 см = 0,08 м, D=12,5 дптр. Если предмет расположить между фокусом и оптическим центром, изображение получается мнимое прямое увеличенное. F = 7 см = 0,07 м, D=14,3 дптр. Если предмет расположить за двойным фокусом, изображение получается действительное перевернутое уменьшенное. . F = 9 см = 0,09 м, D=11,1 дптр. Таким образом, можно сделать вывод, что ни один из рассмотренных приемов выполнения лабораторных работ нельзя считать универсальным, пригодным для решения любых дидактических задач. Каждый прием имеет свои специфические особенности и приводит к положительным результатам в определенных условиях и решении тех или иных учебно-воспитательных задач. Разнообразие приемов выполнения является необходимым условием всестороннего развития учащихся. Даже при выполнении одной и той же работы могут быть использованы разные приемы её выполнения, поскольку класс не является однородным и учитель может ставить перед различными звеньями учащихся разные задачи. Однако это не означает, что всегда надо сочетать репродуктивные и проблемно-поисковые приемы. При выполнении лабораторных работ можно применять репродуктивные и поисковые приемы. Выбор методических приемов, прежде всего, определяется дидактической целью урока, содержанием работы, подготовленностью класса и возрастными особенностями учащихся. 2.5 Оценка учебных достижений учащихся по теме «Световые волны» Проверка и оценка экспериментальных знаний и умений учащихся проводится на разных этапах изучения темы «Световые волны» и носит предварительный, текущий, периодический и итоговый характер. Предварительная проверка имеет целью выяснить начальный уровень знаний и умений учащихся по теме; текущая - наблюдать за их формированием в процессе изучения темы «Световые волны»; периодическая - выяснить уровень знаний и умений учащихся по теме; итоговая – проверить уровень знаний и умений после завершения изучения всей темы. Рассмотрим подробнее способы каждого вида проверки при выполнении лабораторных работ. Предварительная проверка осуществляется обычно в форме беседы с классом и устного опроса отдельных учащихся. Например, при выполнении лабораторной работы по измерению фокусного расстояния линзы и определению оптической силы линзы важно опросить учащихся на знание правил построения хода светового луча через линзу, формулы по вычислению оптической силы линзы по известному фокусному расстоянию, умения переводить единицы измерения фокусного расстояния в систему СИ. Текущая проверка проводится при выполнении фронтальных лабораторных работ. Например, учащиеся самостоятельно производят построение изображений хода луча через линзу в зависимости от положения предмета, правил перевода фокусного расстояния в систему СИ. Тщательные наблюдения, которые должен вести учитель за учащимися во время проведения фронтальных лабораторных занятий, преследует две цели - обучение и контроль. С одной стороны, наблюдения необходимы для того, чтобы своевременно, как было указано выше, оказывать помощь отстающим учащимся, а с другой - проверить, как справляется с работой весь класс в целом и каждый учащийся в отдельности. Такие наблюдения служат основным критерием для оценки знаний и умений учащихся, приобретенных при выполнении лабораторных работ. Проверка, оценка и выставление отметки за выполнение лабораторных работ обычно вызывают у учителей некоторые трудности, они связаны с двумя причинами: необходимостью проверять и оценивать значительный объем разнообразных знаний и умений учащихся, изменяющихся в зависимости от вида работ и приемов их выполнения, и коллективным характером деятельности двух учащихся на одном комплекте оборудования. Для реализации принципа индивидуализации проверки можно к наблюдению за работой учащихся привлечь лаборанта или заранее подготовленных учеников-ассистентов. Результат деятельности учащихся при выполнении лабораторных работ оценивают на основе трех основных критериев: 1) степень подготовленности и самостоятельности при выполнении работ; 2) знание учебного материала, уровень экспериментальных знаний и умений, правильность полученных результатов наблюдений, измерений и выводов; 3) содержание и качество отчета. Подробное содержание каждого критерия учитель должен предварительно объяснить учащимся. При этом особое внимание следует уделить раскрытию содержания уровня экспериментальных знаний и умений учащихся первой и второй ступеней, которыми они должны овладеть в процессе выполнения различных лабораторных работ и каждой из них в отдельности. Полезно содержание этих уровней вывесить в физическом кабинете на специальном стенде. Говоря о правильности результата следует обратить внимание учащихся на то, что в силу различных причин он может быть значительно отличным от табличных данных. Более ценно при выполнении лабораторной работы будет то, что ученик обосновал полученный результат и раскрыл причины, не позволяющие получить более точные измерения. По первым двум критериям учащиеся оцениваются непосредственно в ходе лабораторной работы, а по оформлению отчетов - после урока. При текущей проверке знаний и умений у учащихся целесообразно применять также устный опрос и индивидуальный эксперимент. В этом случае к классной доске вызывают для контроля сразу двух учащихся. Один из них дает устные ответы на вопросы учителя или решает задачу на доске, а другой в это время, получив подготовленное заранее задание и соответствующие приборы, выполняет на столе эксперимент. Задания по эксперименту могут быть разнообразными, например: получить мнимое изображение предмета, т.е. учащийся должен знать, что предмет в этом случае следует расположить между фокусом и оптическим центром, или начертить изображение, если предмет расположить так как указал преподаватель, или на том расстоянии, которое задал учитель, или произвести измерение фокусного расстояния линзы, а затем вычислить оптическую силу. Заданиям можно придать форму экспериментальных задач. Надо иметь ввиду, что при таком методе опроса - сразу двух учащихся - внимание учителя по необходимости раздваивается и возникает опасность не получить должного эффекта. Однако опытный учитель, как показывает практика, всегда может заметить, на сколько правильно выполняется эксперимент, применяются измерительные и другие приборы, и по достоинству оценить знания и умения опрашиваемого. Периодическую и итоговую проверку обычно проводят с помощью фронтальных контрольных работ, которые могут быть как кратковременными, так и длительными, рассчитанными на целый урок. Удобнее всего использовать для этих целей например, тест. Один из фрагментов такого теста предложен ранее в этой работе. Проверка экспериментальных знаний и умений учащихся должна быть индивидуальной. Поэтому каждое экспериментальное задание выполняется одним учеником. Для этого ученик получает текст задания и необходимое лабораторное оборудование. Все записи и вычисления он выполняет на отдельном листе, предварительно написав свою фамилию и номер варианта. Во время выполнения заданий учитель следит за работой каждого ученика и делает в своей тетради соответствующие записи. Например, как быстро и правильно тот или иной ученик строит изображение предмета в собирающей или рассеивающей линзе. Эти записи учитываются при оценке работы ученика. Ценную информацию об уровне сформированности измерительных умений несет сам факт принадлежности результата измерений интервалу достоверных значений, определенному в соответствии с теорией погрешностей. Можно утверждать, что если полностью самостоятельно ученик за время контрольной лабораторной работы получил результат, принадлежащий этому интервалу, то измерительные умения сформированы на достаточном уровне. Оценка должна выставляться за выполнение каждого задания и за весь вариант. Таким образом, оценивание и проверка экспериментальных знаний и умений учащихся имеет важное значение. Необходимо предусмотреть различные формы контроля и разработать систему оценивания знаний и навыков учащихся. Глава 3: Проектная деятельность учащихся при изучении темы «Световые волны» 3.1 Сущность метода проектов В основе метода проектов лежит развитие познавательных навыков учащихся, умений самостоятельно конструировать свои знания, умений ориентироваться в информационном пространстве, развитие критического и творческого мышления. Использование учителем приемов исследовательской деятельности учащихся позволяет направить познавательную деятельность на формирование научного мировоззрения, создать условия для лучшего усвоения изученного материала, заинтересовать предметом. Одним из наиболее распространенных видов исследовательского труда школьников в процессе учения сегодня является метод проектов. Метод проектов не является принципиально новым в мировой практике. Он возник еще в начале нынешнего столетия в США. Его называли также методом проблем и связывался он с идеями гуманистического направления в философии и образовании, разработанными американским философом и педагогом Дж. Дьюи, а также его учеником В.Х.Килпатриком. Метод проектов привлек внимание и русских педагогов еще в начале 20 века. Идеи проектного обучения возникли в России практически параллельно с разработками американских педагогов. Под руководством русского педагога С.Т.Шацкого в 1905 году была организована небольшая группа сотрудников, пытавшаяся активно использовать проектные методы в практике преподавания. При советской власти идеи использования проектов в образовании стали довольно широко внедряться в школу, но недостаточно продуманно и последовательно и постановлением ЦК ВКП/б/ в 1931 году метод проектов был осужден и с тех пор до недавнего времени в России больше не предпринималось сколько-нибудь серьезных попыток возродить этот метод в школьной практике. Вместе с тем в зарубежной школе он активно и весьма успешно развивался. В США, Великобритании, Бельгии, Израиле, Финляндии, Германии, Италии, Бразилии, Нидерландах и многих других странах, где идеи гуманистического подхода к образованию Дж. Дьюи, его метод проектов нашли широкое распространение и приобрели большую популярность в силу рационального сочетания теоретических знаний и их практического применения для решения конкретных проблем окружающей действительности в совместной деятельности школьников. «Все, что я познаю, я знаю, для чего это мне надо и где и как я могу эти знания применить» - вот основной тезис современного понимания метода проектов, который и привлекает многие образовательные системы, стремящиеся найти разумный баланс между академическими знаниями и прагматическими умениями. По определению проект - это совокупность определенных действий, документов, предварительных текстов, замысел для создания реального объекта, предмета, создания разного рода теоретического продукта. Это всегда творческая деятельность. Проектный метод в школьном образовании рассматривается как некая альтернатива классно-урочной системе. Современный проект учащегося - это дидактическое средство активизации познавательной деятельности, развития креативности и одновременно формирования определенных личностных качеств. Метод проектов - педагогическая технология, ориентированная не на интеграцию фактических знаний, а на их применение и приобретение новых. Активное включение школьника в создание тех или иных проектов дает ему возможность осваивать новые способы человеческой деятельности в социокультурной среде. Образование, ориентированное на использование метода проектов должно базироваться не на тех знаниях, которые когда-нибудь в будущем ему пригодятся, а на том, что остро необходимо ребенку сегодня, на проблемах его реальной жизни. Основной задачей обучения по методу проектов является исследование учащимися вместе с учителем окружающей жизни. Все, что ребята делают, они должны делать сами (один, с группой, с учителем, с другими людьми): спланировать, выполнить, проанализировать, оценить и, естественно, понимать, зачем они это сделали. Т.е. учащимся необходимо пройти несколько этапов обработки информации, полученной в результате исследования: а) выделение внутреннего учебного материала; б) организация целесообразной деятельности; в) обучение как непрерывная перестройка жизни и поднятие ее на высшие ступени. Программа в методе проектов строится как серия взаимосвязанных моментов, вытекающих из тех или иных задач. Учащиеся должны научиться строить свою деятельность совместно с другими обучающимися, найти, добыть знания, необходимые для выполнения того или иного проекта, таким образом, разрешая свои жизненные задачи, строя отношения друг с другом, познавая жизнь, они получают необходимые для этой жизни знания, причем самостоятельно, или совместно с другими в группе, концентрируясь на живом и жизненном материале, учась разбираться путем проб в реалиях жизни. Преимущества этой технологии это: энтузиазм в работе, заинтересованность учеников, связь с реальной жизнью, выявление лидирующих позиций учащихся, научная пытливость, умение работать в группе, самоконтроль, лучшая закрепленность знаний, дисциплинированность. В основе метода проектов лежит развитие познавательных, творческих навыков учащихся, умений самостоятельно конструировать свои знания, умений ориентироваться в информационном пространстве, развитие критического мышления. Метод проектов всегда ориентирован на самостоятельную деятельность учащихся - индивидуальную, парную, групповую, которую учащиеся выполняют в течение определенного отрезка времени. Этот подход органично сочетается с групповым (cooperativelearning) подходом к обучению. Метод проектов всегда предполагает решение какой-то проблемы, предусматривающей, с одной стороны, использование разнообразных методов, с другой интегрирование знаний, умений из различных областей науки, техники, технологии, творческих областей. Работа по методу проектов предполагает не только наличие и осознание какой-то проблемы, но и процесс ее раскрытия, решения, что включает четкое планирование действий, наличие замысла или гипотезы решения этой проблемы, четкое распределение ролей (если имеется в виду групповая работа), т.е. заданий для каждого участника при условии тесного взаимодействия. Результаты выполненных проектов должны быть, что называется, "осязаемыми", предметными, т.е., если это теоретическая проблема, то конкретное ее решение, если практическая, конкретный практический результат, готовый к применению. Исследовательский предмет может быть по содержанию: -монопредметным - выполняется на материале конкретного предмета; -межпредметным - интегрируется смежная тематика нескольких предметов, например, информатика, экономика; -надпредметным - выполняется этот проект в ходе факультативов, изучения интегрированных курсов, работы в творческих мастерских. Проект может быть итоговым, когда по результатам его выполнения оценивается освоение учащимися определенного учебного материала, и текущим, когда на самообразование и проектную деятельность выносится из учебного материала лишь часть содержания образования. 3.2 Основные требования к использованию метода проектов при изучении темы «Световые волны» в основной школе В основной школе для развития познавательной деятельности учащихся учебный процесс по физике должен быть организован в виде разработки и реализации каждым учащимся или их группой творческих проектов. Результатом такой деятельности должна явиться общественно-значимая работа, выполненная с помощью некоторой установки, созданной самими учащимися или с учетом современных условий развития учащихся виртуального продукта с использованием информационных технологий. Это может быть разработка и реализация компьютерных уроков по теме «Световые волны» (с непосредственным участием учителя-предметника), создание Web-страниц по теме, выпуск тематических газет и т.д. Остановимся на использовании современных информационных технологий при создании проекта на тему «Световые волны». Источник мотивов работы учеников при создании таких проектов — возможность использования современных видов обработки информации, актуализация полученных знаний, применение ПЭВМ в качестве средства решения собственных конкретных задач (например, компьютерное оформление научных работ, создание презентаций или организация компьютерного эксперимента для наглядного сопровождения доклада и пр.), а также приобретение профессиональных знаний, умений, навыков. У учащихся, таким образом, происходит сращивание цели и мотивов, что, в свою очередь, обеспечивает высокую значимость процесса познания. По мнению профессора Е.С. Полат основными требованиями к использованию метода проектов являются: 1) наличие значимой в исследовательском, творческом плане проблемы/задачи, требующей интегрированного знания, исследовательского поиска для ее решения (например, исследование оптических иллюзий; создание презентаций по изучению темы «Принцип Гюйгенса» и пр.), 2) практическая, теоретическая, познавательная значимость предполагаемых результатов (например, сайт, размещенный в сети Интернет на тему «Световые волны»); 3) самостоятельная (индивидуальная, парная, групповая) деятельность учащихся, 4) структурирование содержательной части проекта (с указанием поэтапных результатов), 5) использование исследовательских методов, предусматривающих определенную последовательность действий: а) определение проблемы и вытекающих из нее задач исследования (использование в ходе совместного исследования метода "мозговой атаки", "круглого стола"); б) выдвижение гипотез их решения; в) обсуждение методов исследования (статистических методов, экспериментальных, наблюдений, пр.); г) обсуждение способов оформление конечных результатов (презентаций, защиты, творческих отчетов, просмотров, пр.); д) сбор, систематизация и анализ полученных данных; е) подведение итогов, оформление результатов, их презентация; ж) выводы, выдвижение новых проблем исследования. Таким образом, имея план действий можно порекомендовать учащимся заняться проектной деятельностью, что, несомненно, скажется на уровне самообразования учащегося.3.3 Виды проектов, их организация и этапы метода проектовНаиболее полной классификацией проектов в отечественной педагогике является классификация, предложенная в учебном пособии Е.С. Полат, М.Ю. Бухаркиной и др. Она может быть применена к проектам, используемым в преподавании любой учебной дисциплины. В данной классификации по нескольким критериям выделяются следующие разновидности проектов: 1) доминирующая в проекте деятельность: a. исследовательская; b. поисковая; c. творческая; d. ролевая; e. прикладная (практико-ориентированная); f. ознакомительно-ориентировочная. 2) предметно-содержательная область: a. моно проект (в рамках одной области знания); b. межпредметный проект. 3) характер координации проекта: a. непосредственный (жесткий, гибкий); b. скрытый (неявный, имитирующий участника проекта). 4) характер контактов: a. среди участников одной школы; b. класса; c. города; d. региона; e. страны; f. разных стран мира. 5) количество участников проекта: a. личностные (индивидуальные); b. парные; c. групповые; 6) Продолжительность проекта: a. краткосрочные; b. средней продолжительности; c. долгосрочные Существуют некие общие подходы к структурированию проекта: 1) выбор темы проекта, его типа, количества участников, 2) продумывание преподавателем возможных вариантов проблем, которые важно исследовать в рамках намеченной тематики, проблемы выдвигаются учащимися с подачи учителя с помощью наводящих вопросов, ситуаций, способствующих определению проблем, видеоряда с той же целью т.д. Можно использовать прием «мозговая атака» с последующим коллективным обсуждением, 3) распределение задач по группам, обсуждение возможных методов исследования, поиска информации, творческих решений, 4) самостоятельная работа участников проекта по своим индивидуальным или групповым исследовательским, творческим задачам, 5) промежуточные обсуждения полученных данных в группах (на уроках или на занятиях в научном обществе, в групповой работе в библиотеке, медиатеке, пр.), 6) защита проектов, оппонирование, 7) коллективное обсуждение, экспертиза, результаты внешней оценки, выводы. Все этапы совместной деятельности с учащимися можно изобразить в виде схемы, изображенной на рис.32.
Рис.32. Этапы совместной деятельности с учащимися при использовании метода проектов. Можно сделать вывод, что данный метод является единственным, позволяющим учащимся научиться деятельности по решению не учебных, а реальных задач. Поэтому имеет смысл использовать его не в дополнительном образовании, при работе с наиболее подготовленными учащимися, а в классе во время урока, так как овладение методологией поиска решения проблемы необходимо всем учащимся. Пример использования метода проектов при изучении темы «Световые волны» приведен в Приложении 2 данного дипломного проекта. Заключение В данной дипломной работе была разработана методика изучения темы «Световые волны». В процессе изучения темы «Изучение световых волн в основной школе» рассматривались различные подходы и методические приемы для наилучшего усвоения данной темы учащимися. Все эти вопросы имеют очень большое значение, так как на их основе затем изучаются Световые волны с их научно-практическими приложениями. Подводя итог можно сделать ряд выводов: Был произведен анализ психолого-педагогической и методической литературы по теме исследования; рассмотрен вопрос о состоянии учебного процесса по физике в классах общеобразовательного профиля основной школы, изучены дидактические принципы, реализуемые при изучении темы «Световые волны» в курсе основной школы, проанализирован «Стандарт второго поколения», рассмотрены примерные программы, уточнены требования к знаниям ученика согласно новым Стандартам, проведен анализ комплектов по физике для основной школы, далее рассматривалась методика изучения темы «Световые волны» в курсе физики основной школы, рассматривались вопросы содержательной модели темы «Световые волны», провели изучение литературы по использованию физического эксперимента при изучении темы «Световые волны», была разработана примерная система заданий для учащихся при изучении темы «Световые волны», проведена их классификация, далее рассмотрена методика проведения фронтальных лабораторных работ на примере лабораторной работы «Определение оптической силы и фокусного расстояния собирающей линзы», изучен вопрос оценивания учебных достижений учащихся по теме «Световые волны», 1) важное значение в работе имеет вопрос организации проектной деятельности учащихся при изучении темы «Световые волны», а) в дипломной работе изложена сущность метода проектов, б) основные требования к использованию метода проектов при изучении темы «Световые волны» в основной школе, в) рассмотрены различные виды проектов, их организация и этапы метода проектов В приложениях к дипломному проекту находится тест по теме «Световые волны» и Презентация по теме проекта «Оптические иллюзии». Изучение нами методической литературы позволило разработать некоторые вопросы по преподаванию темы «Световые волны» в основной школе, собрать воедино разные методы и приемы по преподаванию данной темы для наилучшего усвоения учебного материала, активизации деятельности учащихся при усвоении учебной информации, повышения эффективность использования учебного времени, изменения характера деятельности преподавателя. Приложение Пример проекта по теме «Световые волны» - презентация «Оптические иллюзии». Цель проекта: изучение оптических иллюзий, их классификация и воздействие на человека.
|




































