Курсовая работа: Грузовые перевозки
|
Название: Грузовые перевозки Раздел: Рефераты по транспорту Тип: курсовая работа | ||||||||||||||||||||||||||||||||||||||||||||||||||||||||||||||||||||||||||||||||||||||||||||||||||||||||||||||||||||||||||||||||||||||||||||||||||||||||||||||||||||||||||||||||||||||||||||||||||||||||||||||||||||||||||||||||||||||||||||||||||||||||||||||||||||||||||||||||||||||||||||||||||||||||||||||||||||||||||||||||||||||||||||||||||||||||||||||||||||||||||||||||||||||||||||||||||||||||||||||||||||||||||||||||||||||||||||||||||||||||||||||||||||||||||||||||||||||||||||||||||||||||||||||||||||||||||||||||||||||||||||||||||||||||||||||||||||||||||||||||||||||||||||||||||||||||||||||||||||||||||||||||||||||||||||||||||||||||||||||||||||||||||||||||||||||||||||||||||||||||||||||||||||||||||||||||||||||||||||||||||||||||||||||||||||||||||||||||||||||||||||||
МИНИСТЕРСТВО НАУКИ И ОБРАЗОВАНИЯ РОССИЙСКОЙ ФЕДЕРАЦИИ Государственное образовательное учреждение профессионального высшего образования Северо-Западный государственный заочный технический университет ИНСТИТУТ АВТОМОБИЛЬНОГО ТРАНСПОРТА КУРСОВАЯ РАБОТА ПО ДИСЦИПЛИНЕ: ГРУЗОВЫЕ ПЕРЕВОЗКИ ВЫПОЛНИЛ СТУДЕНТ 4 КУРСА ФАКУЛЬТЕТ ИАТ СПЕЦИАЛЬНОСТЬ 190701.65 ШИФР 7603031150 СОЛОДОВНИК В.В. РУКОВОДИТЕЛЬ РАБОТЫ: ТЕРЕНТЬЕВ А.В. г. Ковдор 1. Задание на курсовой проект Организовать процесс перевозок таким образом, чтобы заявка была выполнена минимальным числом автомобилей, при этом время работы на каждом маршруте не должно превышать времени нахождения подвижного состава в наряде. Заявка № 10 на перевозку пива 29 июня
Рис.1 Схема транспортной сети района перевозок груза. Содержание Задание на курсовой проект Введение 1. Выбор подвижного состава для перевозки груза 2. Определение кратчайших расстояний между пунктами транспортной сети 3. Оптимизация грузопотоков 4. Разработка плана рациональных маршрутов 5. Расчет времени на выполнение погрузочно-разгрузочных работ 6. Маршрутная карта перевозок грузов 7. Технико-эксплуатационные показатели работыавтомобилей Заключение Список литературы Введение Целью курсового проекта является организация процесса перевозок таким образом, чтобы при минимальных затратах был перевезен весь груз, при этом коэффициент использования пробега подвижного состава должен иметь наибольшую в заданных условиях величину. Для реализации этой цели необходимо решить следующие задачи: - осуществить выбор автотранспортных средств (АТС) для перевозки соответствующего вида груза; - определить кратчайшие расстояния между пунктами транспортной сети; - выполнить оптимизацию грузопотоков; - разработать план рациональных маршрутов перевозок; - рассчитать время на выполнение погрузочно-разгрузочных работ; - составить маршрутную карту перевозок груза; - произвести расчет технико-эксплуатационных показателей работы ПС по каждому маршруту. 2. Выбор подвижного состава для перевозки груза Производительность подвижного состава зависит от его грузовместимости и возможного количества ездок за смену. Более рациональным будет такой вариант, при котором перевозка может быть выполнена меньшим количеством подвижного состава. Проанализировав объемы перевозок по каждому грузополучателю, с учетом массы и размера одного пакета груза, выбираем для перевозки бортовой автомобиль КамАЗ 333603 (на базе шасси КАМАЗ-4308). Состав комплектации автомобиля: Передняя стенка стальная; Боковые стойки стальные, съемные; Задние стойки стальные, съемные; Верхний каркас тента и боковые тента имеют сдвижной механизм, для удобства погрузки-выгрузки, т.н. «шторный механизм» с редукторами натяжения тента в передней части платформы; 4 шт. боковых анодированных алюминиевых бортов, высотой 600 мм.; Задние алюминиевые распашные ворота с двумя замками на каждой створке; Настил пола из ламинированной многослойной березовой фанеры толщиной 27 мм. В полу установлены 8 скоб крепления груза, рассчитанные на нагрузку в 2тн. каждая. Размеры пакета: длина 1200 мм, ширина 1000 мм, высота 1200 мм. Масса брутто одного пакета 0,46 т. 3. Определение кратчайших расстояний между пунктами транспортной сети На основании схемы транспортной сети составляем таблицу кратчайших расстояний района перевозок груза Таблица 1 Кратчайшие расстояния района перевозок груза
4. Оптимизация грузопотоков В связи с ограничением колличества и ассортимента груза у грузоотправителей, решение транспортной задачи по сокращению расстояний перевозки грузов выполняем методом потенциалов по каждому виду груза. Составим матрицы условий. Таблица 2 Вид груза: Пиво «Балтика № 2»
Таблица 3 Вид груза: Пиво «Балтика № 3»
Таблица 4 Вид груза: Пиво «Балтика № 7»
Составим исходные допустимые планы Таблица 5 Исходный допустимый план - груз: Пиво «Балтика № 2»
Проверяем заплоненность матрицы – добавляем в клетку А3Б5 фиктивную загрузку 0 тонн. Проверяем разработанный план на оптимальность: 1) Вычисляем вспомогательные индексы Ui и Vj 2) Проверяем незанятые клетки на потенциальность Потенциальных клеток нет – оптимальный план составлен. Транспортная работа будет равна WP = 10·3 + 10·6 + 10·3 + 5·6 + 20·6 + 15·1 = 285 т. км Таблица 6 Исходный допустимый план - груз: Пиво «Балтика № 3»
Проверяем наполненность матрицы – добавляем в клетку А3Б5 фиктивную загрузку 0 тонн. Проверяем разработанный план на оптимальность: 1) Вычисляем вспомогательные индексы Ui и Vj 2) Проверяем незанятые клетки на потенциальность. Потенциальных клеток нет – оптимальный план составлен. Транспортная работа будет равна WP = 10·6 + 10·3 + 10·4 + 15·6 + 5·1 = 205 т. км Таблица 7 Исходный допустимый план - груз: Пиво «Балтика № 7»
Проверяем заплоненность матрицы Проверяем разработанный план на оптимальность: 1) Вычисляем вспомогательные индексы Ui и Vj 2) Проверяем незанятые клетки на потенциальность. Потенциальных клеток нет – оптимальный план составлен. Транспортная работа будет равна WP = 5·3 + 10·6 + 5·6 + 5·6 + 10·1 + 10·3 = 175 т. км В итоге получаем сводный план перевозок груза. Таблица 8 Сводный план перевозок груза
Общая транспортная работа будет равна WP = 15·3 + 20·6 + 10·6 + 20·3 + 10·6 + 10·4 + 40·6 + 30·1 + 10·3 = 685 т. км. Оптимальный план подачи подвижного состава под погрузку рассчитаем методом потенциалов. Составим исходный допустимый план согласно заданию. Таблица 9 Исходный допустимый план
В данном случае грузополучатели рассматриваются как отправители, а грузоотправители как потребители автотранспортных средств, готовых к дальнейшей перевозке грузов. перевозка груз маршрут транспортный Таблица 10
Проверяем наполненность матрицы – добавляем в клетку А3Б5 фиктивную загрузку 0 поездок. Проверяем разработанный план на оптимальность: 1) Вычисляем вспомогательные индексы Ui и Vj 2) Проверяем незанятые клетки на потенциальность. Потенциальных клеток нет – оптимальный план составлен. Полученный план холостых ездок обеспечивает минимальный пробег подвижного состава без груза при движении автомобилей от грузополучателей к грузоотправителям. 5 .Разработка плана рациональных маршрутов. Для решения задачи маршрутизации используем метод совмещенных матриц. Представим исходные данные в виде таблицы Таблица 10
Холостые ездки обозначим числом в круглых скобках, груженые ездки занесем в матрицу в виде числа, выделенного жирным шрифтом. Таким образом, получилась совмещенная матрица холостых и груженых ездок. С помощью этой матрицы будем формировать маршруты движения АТС. На первом этапе выявляем маятниковые маршруты. Наличие в одной ячейке таблицы холостых и груженых ездок свидетельствует о необходимости использования маятникового маршрута. Количество ездок в маятниковом маршруте будет равно минимальному из значений количества груженых ездок и количества холостых ездок. Маршрут 1: А1 - Б2 – А1 - 3 оборота Маршрут 2: А1 – Б3 – А1 - 2 оборота Маршрут 3: А2 – Б5 – А2 - 4 оборота Маршрут 4: А3 – Б1 – А3 – 2 оборота Маршрут 5: А3 – Б3 – А3 – 8 оборотов Маршрут 6: А3 – Б4 – А3 - 6 оборотов Объемы перевозок по маятниковым маршрутам вычитаем из загрузок соответствующих клеток и составляем новую матрицу для продолжения решения задачи (табл. 11). На втором этапе составляем кольцевые маршруты. С этой целью строим замкнутые контуры. Вершины контура должны находиться в загруженных ячейках матрицы, при этом значения загрузок в вер- шинах контура должны чередоваться: сначала идет ячейка, содер- жащая груженые ездки, затем ячейка, содержащая холостые езд- ки, и т.д. Каждый построенный контур соответствует кольцевому марш- руту. Количество ездок на маршруте соответствует наименьшему из числа холостых и груженых ездок по вершинам контура. Например, построим контур А2Б1-А2Б5- А3Б5-А3Б1-А2Б1. В матрице сплошные линии расположены горизонтально и соответствуют перевозке груза. Пунктирные линии, расположенные вертикально, соответствуют подаче порожнего подвижного состава. Минимальная загрузка по этому контуру составляет две ездки. Строим кольцевой маршрут: Маршрут 7 : А3-Б5-А2-Б1-А3 - 2 оборота. Таблица 11
Начальным пунктом кольцевого маршрута 7 выбираем грузо-отправителя А3 так как в данном случае нулевые пробеги минимальны и равны 10 км. (табл. 1). Построим следующий контур : А1Б2 – А1Б3 – А3Б3 – А3Б2 – А1Б2. Минимальная загрузка по этому контуру составляет две ездки. Строим кольцевой маршрут 8 : А3 – Б2 – А1 – Б3 – А3 - 2 оборота. Начальным пунктом кольцевого маршрута 8 выбираем грузо-отправителя А3, так как в данном случае нулевые пробеги минимальны и равны 6 км. (табл. 1). 6. Расчет времени на выполнение погрузочно-разгрузочных работ Погрузочно-разгрузочные работы будем выполнять электропогрузчиком. Норма времени на погрузочно-разгрузочные работы при перевозке пакетированных грузов для бортовых автомобилей, массой пакета m пн и разгрузке электропогрузчиком на 1 т груза представлена в табл. 3.5.9. [1]. В случае, если масса перевозимого пакета составляет m пф , то для погрузки всего груза число циклов погрузчика будет отличаться от нормы в (m пн / m пф ) раз, следовательно, норму времени необходимо пересчитать. Н п(р)ф = Н п(р) · m пн / m пф , мин. (1) Н п(р)ф = 7,1·0,7 / 0,46 = 10,8 мин. С учетом этого время простоя автомобиля при загрузке (разгрузке) пакетированных грузов t п(р) = (N п · m пф · Н п(р)ф · К н + t оф ) / 60 , (2) где N п – число перевозимых пакетов;
и разгрузке грузов пакетами на 1 т груза, мин (см. табл. 3.5.9); N п – число пакетов, загружаемых в автомобиль; m пф – масса пакета, т. Время на пересчет t п–р(пер) грузовых мест включим во время погрузки (выгрузки), время на оформление путевой и товарно-транспортной документации t п–р(оф) принимаем 5 мин. Коэффициент неравномерности подачи подвижного состава под погрузку и выгрузку в данном расчете устанавливаем К н = 1,1. t п(р) = (10,8· 0,46·11·1,1+ 5) / 60 = 1,1 часа Общее время погрузки-разгрузки равняется: t п-р = 2· t п(р) (3) t п-р = 2·1,1 = 2,2 часа 7. Маршрутная карта перевозок грузов Маятниковые маршруты: Маршрут 1: А1 - Б2 – А1 - 3 оборота
Рис. 3.1 Схема перевозок: АТП – автопредприятие, A – грузоотправитель; Б – грузополучатель Время, затрачиваемое на оборот, определяется по формуле tоб = (lм / Vт ) + n · tп-р ,ч, (4) где lм – длина маршрута, км; Vт – среднетехническая скорость, км / ч, принимаем Vт = 30 км/ч.; n – количество гружёных ездок за оборот, ед.; tп-р – время простоя под погрузкой и разгрузкой, ч. t об = 6 / 30 + 1· 2,2 = 2,4 часа Количество возможных оборотов за сутки по маршруту определяется по формуле Zоб = [Tн - (l01 + l02 - lх ) / Vт ] / tоб ,об, (5) где Tн – время в наряде, ч/сут; l01 – длина первого нулевого пробега, км; l02 –длина второго нулевого пробега, км; lх – длина порожней ездки, км; Zоб = [8 – (5 + 6 – 3) / 30] / 2,4 = 3 об. Отсюда следует, что для перевозки грузов по маршруту А1 - Б2 – А1 необходим один автомобиль. Маршрут 2: А1 – Б3 – А1 - 2 оборота
Рис. 3.2 Схема перевозок: АТП – автопредприятие, A – грузоотправитель; Б – грузополучатель t об = 12 / 30 + 2,2 = 2,6 часа Время на маршруте определяем по формуле: Тм = Tн - (l01 +l02 ) / Vт ,ч. (6) Тм = 8 – (5 + 4 ) / 30 = 7,7 ч. Фактическое время в наряде на маршруте определяется по формуле Tнф = Zоб · tоб + [ ( l01 + l02 – lх )/Vт ], ч (7) По этому маршруту необходимо сделать всего 2 оборота, поэтому выделенный автомобиль имеет резерв свободного времени Тр = Тм - 2t об + t з , ч., (8) где t з – время движения на холостой пробег от Б3 к А1 , которое не выполняется на последнем, втором обороте Тр = 7,7 - 2·2,6 + 6 / 30 = 2,7 часа Маршрут 3: А2 – Б5 – А2 - 4 оборота
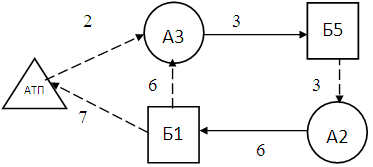
Рис. 3.3 Схема перевозок: АТП – автопредприятие, A – грузоотправитель; Б – грузополучатель tоб = (lм /Vт ) + tп-р = 6 /30 + 2,2 = 2,4 часа Тм = Tн - (l01 +l02 ) / Vт = 8 – (8+5) / 30 = 7,56 ч. Zоб = Тм / tоб = 7,56 / 2,4 = 3 оборота Маршрут 4: А3 – Б1 – А3 – 2 оборота tоб = (lм /Vт ) + tп-р = 12 / 30 + 2,2 = 2,6 часа Тм = Tн - (l01 +l02 ) / Vт = 8 – (2+7) / 30 = 7,7 часа Тр = Тм - 2t об + t з = 7,7 - 2·2,6 + 6 /30 = 2,7 часа
Рис. 3.4 Схема перевозок: АТП – автопредприятие, A – грузоотправитель; Б – грузополучатель Маршрут 5: А3 – Б3 – А3 – 8 оборотов
Рис. 3.5 Схема перевозок: АТП – автопредприятие, A – грузоотправитель; Б – грузополучатель tоб = (lм /Vт ) + tп-р = 12 /30 + 2,2 = 2,6 часа Тм = Tн - (l01 +l02 ) / Vт = 8 – (2 + 4) / 30 =7,8 часа Zоб = Тм / tоб = 7,8 / 2,6 = 3 оборота Для выполнения объема перевозок по данному маршруту необходимо 3 автомобиля. tоб = (lм /Vт ) + tп-р = (2 / 30) + 2,2 = 2,26 часа Тм = Tн - (l01 +l02 ) / Vт = 8 – (2 + 3) / 30 = 7,83 часа Zоб = Тм / tоб = 7,83 / 2,26 = 3 оборота
Рис. 3.6 Схема перевозок: АТП – автопредприятие, A – грузоотправитель; Б – грузополучатель Для выполнения объема перевозок по данному маршруту необходимо 2 автомобиля.
Рис. 3.7 Схема перевозок: АТП – автопредприятие, A – грузоотправитель; Б – грузополучатель tоб = (lм /Vт ) +n· tп-р = 18 /30 + 2·2,2 = 5 часов Тм = Tн - (l01 +l02 ) / Vт = 8 – (2 + 7) / 30 = 7,7 часа Тр = Тм - t об + t з = 7,7 – 5,0 + 0,2 = 2,9 часа Для вывоза всего объема груза по этому маршруту необходимо 2 автомобиля. К ольцевой маршрут 8 : А3 – Б2 – А1 – Б3 – А3 - 2 оборота. tоб = (lм /Vт ) +n· tп-р = ( 26 / 30) + 2·2,2 = 5,26 часа Тм = Tн - (l01 +l02 ) / Vт = 8 – (2 + 4) / 30 = 7,8 часа Тр = Тм - t об + t з = 7,8 – 5,26 + 0,2 = 2,74 часа
Рис. 3.8 Схема перевозок: АТП – автопредприятие, A – грузоотправитель; Б – грузополучатель Для вывоза всего объема груза по этому маршруту необходимо 2 автомобиля. Для рационального использования автомобилей произведем компановку маршрутов с учетом резервов времени у автомобилей на маршрутах: По одному обороту по маршруту 2: А1- Б3 выполним двумя автомобилями с кольцевого маршрута 7. Для снижения общего пробега по объединенному маршруту первой следует выполнять ездку по маршруту 2: А1- Б3. Фактическое время в наряде Тн ф после объединения маршрутов А1-Б3 + А3-Б5-А2-Б1составит: Тн ф = tдв + n· tп-р (9) где tдв - время в движении ,ч tдв = (l01 +l02 ) / Vт + ((lм1 -t з1 + lм2 -t з2 ) /Vт ) + tпод , ч., (10) где tпод - время подъезда с точки завершения работы на одном маршруте к точке погрузки на другом маршруте, ч. Тн ф = 0,17 + 0,2 + 0,2 + 0,1 + 0,1 + 0,2 + 0,23 + 3·2,2 = 7,7 часа
Рис. 3.9 Схема перевозок: АТП – автопредприятие, A – грузоотправитель; Б – грузополучатель Для выполнения объема перевозок по объединенному маршруту необходимо 2 автомобиля. По одному обороту по маршруту 4: А3- Б1- выполним двумя автомобилями с кольцевого маршрута 8. Для снижения общего пробега по объединенному маршруту первой следует выполнить ездку по маршруту 4: А3- Б1.
Рис. 3.8 Схема перевозок: АТП – автопредприятие, A – грузоотправитель; Б – грузополучатель Фактическое время в наряде Тн ф после объединения маршрутов составит: Тн ф = 0,07 + 0,2 + 0,2 + 0,13 + 0,1 + 0,2 + 0,13 + 3·2,2 = 7,63 часа Для выполнения объема перевозок по данному маршруту необходимо 2 автомобиля. Недостающий 1 оборот по машруту 3: А2-Б5 целесообразно выполнить автомобилем с маршрута 5: А3-Б3. Для снижения общего пробега по объединенному маршруту первой следует выполнить ездку по маршруту 3: А2- Б5.
Рис. 3.10 Схема перевозок: АТП – автопредприятие, A – грузоотправитель; Б – грузополучатель Фактическое время в наряде Тн ф после объединения маршрутов составит: Тн ф = 0,27 + 0,1 + 0,1+ 0,2 + 0,2 + 0,2+ 0,13 + 3·2,2 = 7,8 часа В итоге получаем: для перевозки общего объема грузов по всем маршрутам необходимо 11 автомобилей. Составим маршрутную карту согласно разработанны маршрутам Таблица 1 2 Маршрутная карта
Продолжение таблицы 12 Маршрутная карта
Составим для примера маршрутный лист по объединенному маршруту: А1-Б3 + А3-Б5-А2-Б1 МАРШРУТНЫЙ ЛИСТ Маршрут: АО « Балтика» Пивзавод № 1 – Оптовая торговая база № 2 АО « Балтика» Пивзавод № 3 – ООО «Продснаб» , АО « Балтика» Пивзавод № 2 – Оптовая торговая база № 1 Таблица. Автомобиль (марка, номер) КамАЗ 333603 № С 149 КВ
8. Технико-эксплуатационные показатели работы АТС за время выполнения заказа Рассчитаем технико-эксплуатационные показатели работы автомобилей на каждом маршруте. Маршрут А1 – Б2 – А1 1. Статический коэффициент использования грузоподъемности γ = q ф / q н , (11) где q ф - количество фактически перевезенного груза за ездку, т; q н — номинальная грузоподъемность подвижного состава, т. γ = 5 /5,6 = 0,89 2. Время оборота на маршруте tоб = (lм / Vт ) + n · tп-р , ч, (4) где lм – длина маршрута, км; Vт – среднетехническая скорость, км/ч, принимаем Vт = 30 км/ч.; n – количество гружёных ездок за оборот, ед; tп-р – время простоя под погрузкой и разгрузкой, ч. t об = 6 / 30 + 2,2 = 2,4 часа 3. Время, затрачиваемое на нулевые пробеги, ч t 0 = (l01 + l02 ) / Vт = (5 + 6) / 30 = 0,37 часа 4. Количество оборотов на маршруте, об. Zоб =[Tн -(l01 +l02 -lх )/Vт ]/tоб ,об, (5) Zоб = [8 – (5 + 6 – 3) / 30] / 2,4 = 3 об. 5. Время работы на маршруте, ч/сут. Тм = Tн - (l01 +l02 ) / Vт ,ч. (6) Тм = 8 – ( 5 + 6) / 30 = 7,63 часа 6. Фактическое время в наряде на маршруте определяется по формуле Tнф = Zоб · tоб + [ ( l01 + l02 – lх )/Vт ], ч (12) Tнф = 3·2,4 + [ (5 + 6 – 3) / 30 ] = 7,47 часа 7. Гружёный пробег автомобиля, км/сут. L г =ne · lге = 3 · 3 = 9 км. 8. Порожний пробег автомобиля, км/сут. L пор = Zоб ·L об - L г +l01 + l02 - lх L пор = 3· 6 – 9 + 5 + 6 – 3 = 17 км 9. Общий пробег автомобилей за смену, км/сут. L общ = L пор + L г L общ = 17 + 9 = 26 км. 10. Эксплуатационная скорость автомобиля на каждом маршруте определяется по формуле Vэ = Lобщ / Tнф , км/ч. Vэ = 26 / 7,47 = 3,48 км/ч. 11. Коэффициент использования пробега за смену, км b = L г / L общ (12) b = 9 / 26 = 0,35 12. Производительность автомобиля за смену, т/сут Wq см = qn ·Zоб ·γ с , т. (13) где Wqсм - производительность автомобиля за смену, т; qn – номинальная грузоподъёмность автомобиля, т; γс – статический коэффициент использования грузоподъёмности. Wqсм = 5,6 · 3 · 0,89 = 15 т. 13. Производительность автомобиля за смену, т·км. Wpсм = qн · Zоб · γс · lег , т·км. (14) Wpсм = 5,6 · 3 · 0,89 · 3 = 45 т·км. Аналогично расчитываем показатели по другим маршрутам. Полученные результаты заносим в таблицу 13. Таблица 13 . Технико-эксплуатационные показатели работы АТСза время выполнения заказа
Заключение В ходе выполнения курсовой работы для осуществления перевозочного процесса по заявке, согласно заданию на курсовой проект, был выбран автомобиль КамАЗ 333603, который по грузоподъемности и грузовместимости наиболее подходит для перевозки данного объема предоставленного груза. Была выполнена оптимизация грузопотоков и разработан план рациональных маршрутов перевозок, рассчитано время на выполнение погрузочно-разгрузочных работ. По результатам работы составлена маршрутная карта перевозок груза и произведен расчет технико-эксплуатационных показателей работы ПС по каждому маршруту. В результате - для выполнения перевозки заявленного объема груза понадобится 11 автомобилей, общая транспортная работа составит 685 т. км. Список литературы 1. Грузовые перевозки : учебно-методический комплекс/сост. И.В. Таневицкий. – СПб. : Изд-во СЗТУ, 2010. 2. Грузовые автомобильные перевозки : учеб. пособие для вузов /А.Э. Горев. – 2-е изд., – М. : Академия, 2008. 3. Грузовые автомобильные перевозки : учебник для вузов / А.В. Вельможин – М. : Горячая линия – Телеком, 2007. 4. Грузовые автомобильные перевозки : учебник / М.Е. Майборода, В.В. Беднарский. – Ростов н/Д : Феникс, 2007. 5. Современные грузовые автотранспортные средства : справочник / Пойченко В.В., Кондрашов П.В. – М: Агенство «Доринформсервис», 2004. |
||||||||||||||||||||||||||||||||||||||||||||||||||||||||||||||||||||||||||||||||||||||||||||||||||||||||||||||||||||||||||||||||||||||||||||||||||||||||||||||||||||||||||||||||||||||||||||||||||||||||||||||||||||||||||||||||||||||||||||||||||||||||||||||||||||||||||||||||||||||||||||||||||||||||||||||||||||||||||||||||||||||||||||||||||||||||||||||||||||||||||||||||||||||||||||||||||||||||||||||||||||||||||||||||||||||||||||||||||||||||||||||||||||||||||||||||||||||||||||||||||||||||||||||||||||||||||||||||||||||||||||||||||||||||||||||||||||||||||||||||||||||||||||||||||||||||||||||||||||||||||||||||||||||||||||||||||||||||||||||||||||||||||||||||||||||||||||||||||||||||||||||||||||||||||||||||||||||||||||||||||||||||||||||||||||||||||||||||||||||||||||||











